Disrupted Topological Organization of Brain Network in Rats with Spatial Memory Impairments Induced by Acute Microwave Radiation
Abstract
1. Introduction
2. Materials and Methods
2.1. Animals and Groups
2.2. MW Exposure
2.3. Dosimetric Analysis
2.4. Morris Water Maze (MWM)
2.5. rs-fMRI Data Acquisition and Analysis
2.6. Statistical Analysis
3. Results
3.1. Dosimetric Analysis
3.2. Acute Exposure to 30 mW/cm2 1.5 GHz MW Induced Spatial Memory Decline in Rats
3.3. Acute Exposure to 10 mW/cm2 or 30 mW/cm2 9.375 GHz MW Induced No Adverse Effect on Spatial Memory in Rats
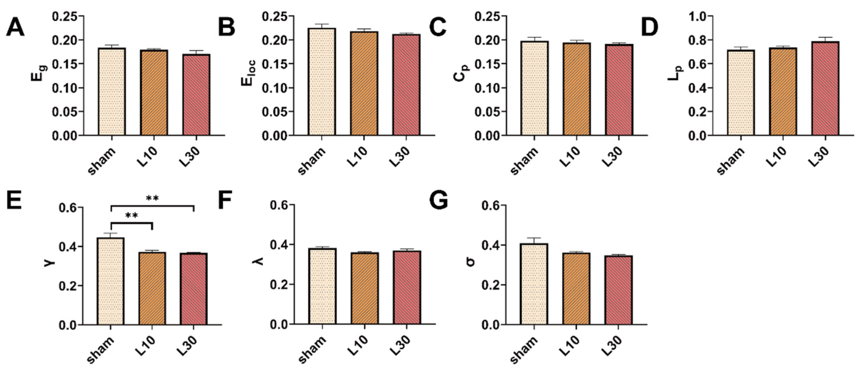
3.4. Acute Exposure to 10 mW/cm2 and 30 mW/cm2 1.5 GHz MW Induced Disrupted Topological Organization of the Brain Network in Rats
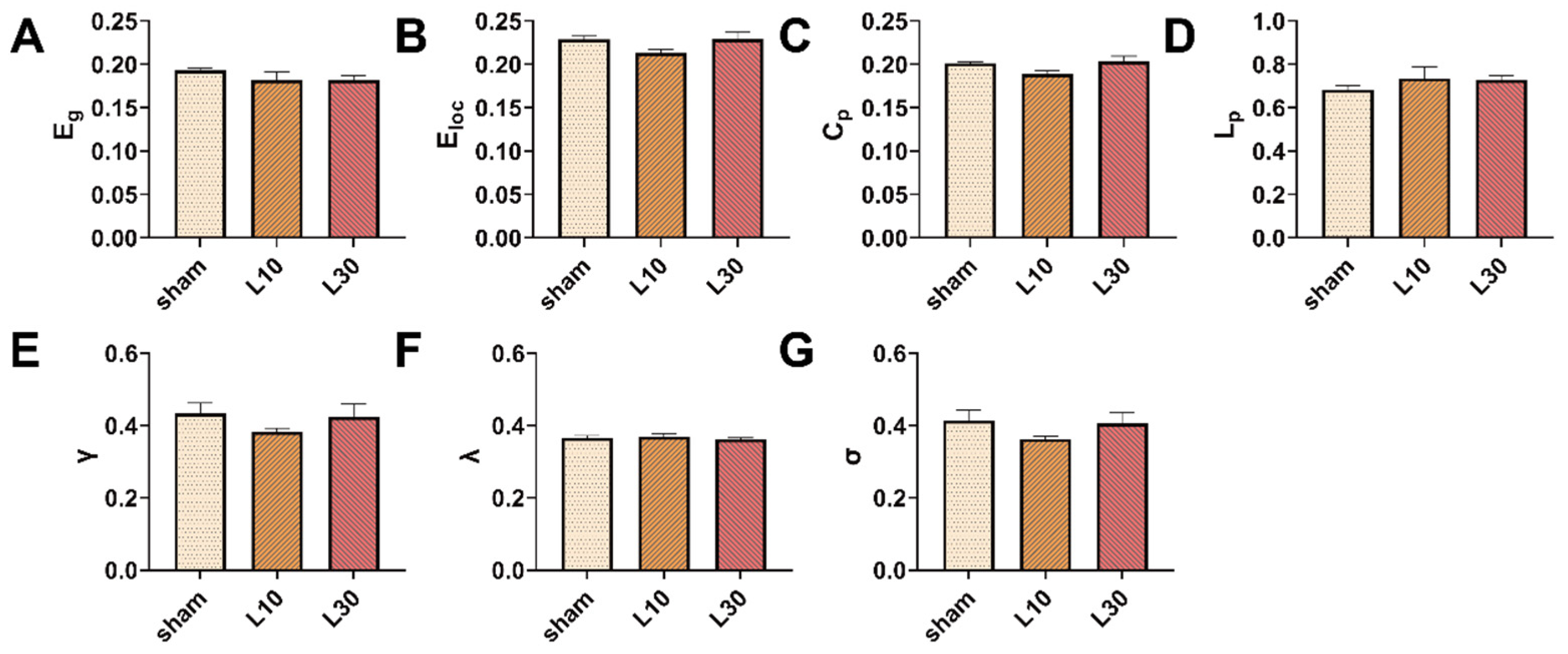
3.5. Acute Exposure to 10 mW/cm2 or 30 mW/cm2 9.375 GHz MW Induced No Adverse Effects on Topological Organization of the Brain Network in Rats
4. Discussion
5. Conclusions
Author Contributions
Funding
Institutional Review Board Statement
Informed Consent Statement
Data Availability Statement
Conflicts of Interest
References
- Benke, G.; Abramson, M.J. The Effect of Long-Term Radiofrequency Exposure on Cognition in Human Observational Studies: A Protocol for a Systematic Review. Environ. Int. 2022, 159, 106972. [Google Scholar] [CrossRef]
- Zhi, W.J.; Wang, L.F. Recent Advances in the Effects of Microwave Radiation on Brains. Mil. Med. Res. 2017, 4, 29. [Google Scholar] [CrossRef]
- Foerster, M.; Thielens, A. A Prospective Cohort Study of Adolescents’ Memory Performance and Individual Brain Dose of Microwave Radiation from Wireless Communication. Environ. Health Perspect. 2018, 126, 077007. [Google Scholar] [CrossRef]
- Mortazavi, S.M.J.; Taeb, S. Alterations of Visual Reaction Time and Short Term Memory in Military Radar Personnel. Iran. J. Public Health 2013, 42, 428–435. [Google Scholar]
- Sharma, A.; Kesari, K.K. The influence of prenatal 10 GHz microwave radiation exposure on a developing mice brain. Gen. Physiol. Biophys. 2017, 36, 41–51. [Google Scholar] [CrossRef]
- Sharma, A.; Sisodia, R. Spatial memory and learning performance and its relationship to protein synthesis of Swiss albino mice exposed to 10 GHz microwaves. Int. J. Radiat. Biol. 2014, 90, 29–35. [Google Scholar] [CrossRef]
- Tan, S.; Wang, H. Study on dose-dependent, frequency-dependent, and accumulative effects of 1.5 GHz and 2.856 GHz microwave on cognitive functions in Wistar rats. Sci. Rep. 2017, 7, 2045–2322. [Google Scholar] [CrossRef] [PubMed]
- Wang, H.; Song, L.Q. The dose-dependent effect of 1.5-GHz microwave exposure on spatial memory and the NMDAR pathway in Wistar rats. Environ. Sci. Pollut. Res. Int. 2023, 30, 37427–37439. [Google Scholar] [CrossRef]
- Filippi, M.; Agosta, F. Structural and Functional Network Connectivity Breakdown in Alzheimer’s Disease Studied with Magnetic Resonance Imaging Techniques. J. Alzheimer’s Dis. 2011, 24, 455–474. [Google Scholar] [CrossRef] [PubMed]
- Sorg, C.; Riedl, V. Impact of Alzheimer’s Disease on the Functional Connectivity of Spontaneous Brain Activity. Curr. Alzheimer Res. 2009, 6, 541–553. [Google Scholar] [CrossRef] [PubMed]
- Wang, H.; Tan, S. Protective Role of Nmdar for Microwave-Induced Synaptic Plasticity Injuries in Primary Hippocampal Neurons. Cell. Physiol. Biochem. 2018, 51, 97–112. [Google Scholar] [CrossRef] [PubMed]
- Mwansisya, T.E.; Hu, A.M. Task and Resting-State fMRI Studies in First-Episode Schizophrenia: A Systematic Review. Schizophr. Res. 2017, 189, 9–18. [Google Scholar] [CrossRef] [PubMed]
- Aertsen, A.; Gerstein, G.L. Dynamics of Neuronal Firing Correlation—Modulation of Effective Connectivity. J. Neurophysiol. 1989, 61, 900–917. [Google Scholar] [CrossRef] [PubMed]
- Friston, K. Analysis of Covariance in Statistical Parametric Mapping—Reply. J. Cereb. Blood Flow. Metab. 1993, 13, 1038–1040. [Google Scholar] [CrossRef]
- Lv, B.; Chen, Z. The Alteration of Spontaneous Low Frequency Oscillations Caused by Acute Electromagnetic Fields Exposure. Clin. Neurophysiol. 2014, 125, 277–286. [Google Scholar] [CrossRef]
- Wei, Y.; Yang, J. Modulation of Resting-State Brain Functional Connectivity by Exposure to Acute Fourth-Generation Long-Term Evolution Electromagnetic Field: An fMRI Study. Bioelectromagnetics 2019, 40, 42–51. [Google Scholar] [CrossRef]
- Van den Heuvel, M.P.; Pol, H.E.H. Exploring the Brain Network: A Review on Resting-State fMRI Functional Connectivity. Eur. Neuropsychopharmacol. 2010, 20, 519–534. [Google Scholar] [CrossRef]
- Liao, X.; Vasilakos, A.V. Small-World Human Brain Networks: Perspectives and Challenges. Neurosci. Biobehav. Rev. 2017, 77, 286–300. [Google Scholar] [CrossRef] [PubMed]
- Watts, D.J.; Strogatz, S.H. Collective Dynamics of ‘Small-World’ Networks. Nature 1998, 393, 440–442. [Google Scholar] [CrossRef]
- Damoiseaux, J.S.; Rombouts, S.A.R.B. Consistent Resting-State Networks across Healthy Subjects. Proc. Natl. Acad. Sci. USA 2006, 103, 13848–13853. [Google Scholar] [CrossRef]
- Cordes, D.; Haughton, V.M. Frequencies Contributing to Functional Connectivity in the Cerebral Cortex in “Resting-State” Data. Am. J. Neuroradiol. 2001, 22, 1326–1333. [Google Scholar] [PubMed]
- Biswal, B.; Yetkin, F.Z. Functional Connectivity in the Motor Cortex of Resting Human Brain Using Echo-Planar MRI. Magn. Reson. Med. 1995, 34, 537–541. [Google Scholar] [CrossRef] [PubMed]
- Cordes, D.; Haughton, V.M. Mapping Functionally Related Regions of Brain with Functional Connectivity MR Imaging. Am. J. Neuroradiol. 2000, 21, 1636–1644. [Google Scholar] [PubMed]
- Beckmann, C.F.; DeLuca, M. Investigations into Resting-State Connectivity Using Independent Component Analysis. Philos. Trans. R. Soc. Lond. B Biol. Sci. 2005, 360, 1001–1013. [Google Scholar] [CrossRef]
- Damoiseaux, J.S.; Beckmann, C.F. Reduced Resting-State Brain Activity in the “Default Network” in Normal Aging. Cereb. Cortex 2008, 18, 1856–1864. [Google Scholar] [CrossRef]
- Greicius, M.D.; Krasnow, B. Functional Connectivity in the Resting Brain: A Network Analysis of the Default Mode Hypothesis. Proc. Natl. Acad. Sci. USA 2003, 100, 253–258. [Google Scholar] [CrossRef]
- Van den Heuvel, M.; Mandl, R. Microstructural Organization of the Cingulum Tract and the Level of Default Mode Functional Connectivity. J. Neurosci. 2008, 28, 10844–10851. [Google Scholar] [CrossRef]
- Whitfield-Gabrieli, S.; Thermenos, H.W. Hyperactivity and Hyperconnectivity of the Default Network in Schizophrenia and in First-Degree Relatives of Persons with Schizophrenia. Proc. Natl. Acad. Sci. USA 2009, 106, 1279–1284. [Google Scholar] [CrossRef]
- Becerra, L.; Pendse, G. Robust Reproducible Resting State Networks in the Awake Rodent Brain. PLoS ONE 2011, 6, e25701. [Google Scholar] [CrossRef]
- Sforazzini, F.; Schwarz, A.J. Distributed Bold and CBV-Weighted Resting-State Networks in the Mouse Brain. NeuroImage 2014, 87, 403–415. [Google Scholar] [CrossRef]
- Upadhyay, J.; Baker, S.J. Default-Mode-Like Network Activation in Awake Rodents. PLoS ONE 2011, 6, e27839. [Google Scholar] [CrossRef]
- Lu, H.; Zou, Q. Rat Brains Also Have a Default Mode Network. Proc. Natl. Acad. Sci. USA 2012, 109, 3979–3984. [Google Scholar] [CrossRef] [PubMed]
- Wang, J.; Nie, B. Functionally Brain Network Connected to the Retrosplenial Cortex of Rats Revealed by 7T fMRI. PLoS ONE 2016, 11, e0146535. [Google Scholar] [CrossRef]
- Chen, S.; Li, X. Changes of Small-World Properties of Functional Brain Networks and Correlation with Cognition in Patients with Alzheimer Disease. Chin. J. Med. Imaging Technol. 2018, 34, 1632–1636. [Google Scholar]
- Liang, J.; Huang, W. Differences of Resting fMRI and Cognitive Function between Drug-Naive Bipolar Disorder and Schizophrenia. BMC Psychiatry 2022, 22, 654. [Google Scholar] [CrossRef] [PubMed]
- Zhu, H.; Li, Y. Increased Functional Segregation of Brain Network Associated with Symptomatology and Sustained Attention in Chronic Post-Traumatic Stress Disorder. J. Affect. Disord. 2019, 247, 183–191. [Google Scholar] [CrossRef]
- Xiong, K.L.; Zhang, J.N. Brain Functional Connectivity and Cognition in Mild Traumatic Brain Injury. Neuroradiology 2016, 58, 733–739. [Google Scholar] [CrossRef]
- Zhang, D.; Chen, Y. Associations of the Disrupted Functional Brain Network and Cognitive Function in End-Stage Renal Disease Patients on Maintenance Hemodialysis: A Graph Theory-Based Study of Resting-State Functional Magnetic Resonance Imaging. Front. Hum. Neurosci. 2021, 15, 716719. [Google Scholar] [CrossRef]
- Kumar, M.; Singh, S. Brain Functional Connectivity in Patients with Hyperthyroidism after Anti-Thyroid Treatment. J. Neuroendocrinol. 2022, 34, e13075. [Google Scholar] [CrossRef]
- Xu, J.; Chen, F. Brain Functional Networks in Type 2 Diabetes Mellitus Patients: A Resting-State Functional MRI Study. Front. Neurosci. 2019, 13, 239. [Google Scholar] [CrossRef]
- Wang, H.; Liu, Y. Changes in Rat Spatial memory as Well as Serum Exosome Proteins after Simultaneous Exposure to 1.5 GHz and 4.3 GHz Microwaves. Ecotoxicol. Environ. Saf. 2022, 243, 113983. [Google Scholar] [CrossRef] [PubMed]
- Zhu, R.; Wang, H. Effects of 1.5 and 4.3 GHz Microwave Radiation on Cognitive Function and Hippocampal Tissue Structure in Wistar Rats. Sci. Rep. 2021, 11, 10061. [Google Scholar] [CrossRef] [PubMed]
- Wang, H.Y.; Li, C.F. The Specific Absorption Rate in Different Brain Regions of Rats Exposed to Electromagnetic Plane Waves. Sci. Rep. 2019, 9, 13277. [Google Scholar] [CrossRef]
- Vorhees, C.V.; Williams, M.T. Morris Water Maze: Procedures for Assessing Spatial and Related Forms of Learning and Memory. Nat. Protoc. 2006, 1, 848–858. [Google Scholar] [CrossRef]
- Data Processing Assistant for Resting-State fMRI (DPARSF). Available online: http://rfMRI.org/DPARSF (accessed on 18 August 2014).
- Nie, B.; Liu, H. A Statistical Parametric Mapping Toolbox Used for Voxel-Wise Analysis of FDG-PET Images of Rat Brain. PLoS ONE 2014, 9, e108295. [Google Scholar] [CrossRef] [PubMed]
- Latora, V.; Marchiori, M. Efficient Behavior of Small-World Networks. Phys. Rev. Lett. 2001, 87, 198701. [Google Scholar] [CrossRef]
- Latora, V.; Marchiori, M. Economic Small-World Behavior in Weighted Networks. Eur. Phys. J. B 2003, 32, 249–263. [Google Scholar] [CrossRef]
- Onnela, J.P.; Saramaki, J. Intensity and Coherence of Motifs in Weighted Complex Networks. Phys. Rev. E 2005, 71, 065103. [Google Scholar] [CrossRef]
- Wu, B.L.; Li, X.K. Altered Whole-Brain Functional Networks in Drug-Naive, First-Episode Adolescents with Major Depression Disorder. J. Magn. Reson. Imaging 2020, 52, 1790–1798. [Google Scholar] [CrossRef]
- Yang, X.; Liu, J. Network Analysis Reveals Disrupted Functional Brain Circuitry in Drug-Naive Social Anxiety Disorder. NeuroImage 2019, 190, 213–223. [Google Scholar] [CrossRef]
- Scharwaechter, L.; Schmitt, F.J. Network Analysis of Neuroimaging in Mice. NeuroImage 2022, 253, 119110. [Google Scholar] [CrossRef] [PubMed]
- Wang, J.; Zuo, X. Graph-Based Network Analysis of Resting-State Functional MRI. Front. Syst. Neurosci. 2010, 4, 16. [Google Scholar] [CrossRef]
- Xu, Z.W.; Hou, B. Theophylline attenuates microwave-induced impairment of memory acquisition. Neurosci. Lett. 2007, 412, 129–133. [Google Scholar] [CrossRef] [PubMed]
- Li, H.J.; Peng, R.Y. Alterations of cognitive function and 5-HT system in rats after long term microwave exposure. Physiol. Behav. 2015, 140, 236–246. [Google Scholar] [CrossRef] [PubMed]
- Narayanan, S.N.; Jetti, R. Radiofrequency Electromagnetic Radiation-Induced Behavioral Changes and Their Possible Basis. Environ. Sci. Pollut. Res. Int. 2019, 26, 30693–30710. [Google Scholar] [CrossRef] [PubMed]
- Sienkiewicz, Z.; van Rongen, E. Can Low-Level Exposure to Radiofrequency Fields Effect Cognitive Behaviour in Laboratory Animals? A Systematic Review of the Literature Related to Spatial Learning and Place Memory. Int. J. Environ. Res. Public Health 2019, 16, 1607. [Google Scholar] [CrossRef]
- Tan, S.; Wang, H. Acute Effects of 2.856 GHz and 1.5 GHz Microwaves on Spatial Memory Abilities and CREB-Related Pathways. Sci. Rep. 2021, 11, 12348. [Google Scholar] [CrossRef]
- Jiao, B.; Zhang, D. Association between Resting-State Brain Network Topological Organization and Creative Ability: Evidence from a Multiple Linear Regression Model. Biol. Psychol. 2017, 129, 165–177. [Google Scholar] [CrossRef]
- Guye, M.; Bartolomei, F. Imaging Structural and Functional Connectivity: Towards a Unified Definition of Human Brain Organization? Curr. Opin. Neurol. 2008, 21, 393–403. [Google Scholar] [CrossRef]
- Pietzuch, M.; King, A.E. The Influence of Genetic Factors and Cognitive Reserve on Structural and Functional Resting-State Brain Networks in Aging and Alzheimer’s Disease. Front. Aging Neurosci. 2019, 11, 30. [Google Scholar] [CrossRef]
- Chou, M.C.; Ko, C.H. Disruptions of Brain Structural Network in End-Stage Renal Disease Patients with Long-Term Hemodialysis and Normal-Appearing Brain Tissues. J. Neuroradiol. 2019, 46, 256–262. [Google Scholar] [CrossRef] [PubMed]
- Wu, B.L.; Li, X.K. Disrupted Brain Functional Networks in Patients with End-Stage Renal Disease Undergoing Hemodialysis. J. Neurosci. Res. 2020, 98, 2566–2578. [Google Scholar] [CrossRef]
- Sinha, P.; Reddy, R.V. Network Neurobiology of Electroconvulsive Therapy in Patients with Depression. Psychiatry Res. Neuroimaging 2019, 287, 31–40. [Google Scholar] [CrossRef]
- Drakesmith, M.; Caeyenberghs, K. Schizophrenia-Like Topological Changes in the Structural Connectome of Individuals with Subclinical Psychotic Experiences. Hum. Brain Mapp. 2015, 36, 2629–2643. [Google Scholar] [CrossRef]
- Tuo, J.; He, W. Disrupted Topological Organization of Functional Networks in Asymptomatic Carotid Plaque without Significant Carotid Stenosis: A Resting-State fMRI Study. Front. Hum. Neurosci. 2021, 15, 685763. [Google Scholar] [CrossRef] [PubMed]
- Vander Vorst, A.; Rosen, A.; Kotsuka, Y. RF/Microwave Interaction with Biological Tissues, 2nd ed.; John Wiley & Sons: Hoboken, NJ, USA, 2006; p. 94. [Google Scholar]
- Gokcek-Sarac, C.; Akcay, G. Possible Effects of Different Doses of 2.1 GHz Electromagnetic Radiation on Learning, and Hippocampal Levels of Cholinergic Biomarkers in Wistar Rats. Electromagn. Biol. Med. 2021, 40, 179–190. [Google Scholar] [CrossRef] [PubMed]
- Wang, H.; Tan, S. Long Term Impairment of Cognitive Functions and Alterations of NMDAR Subunits after Continuous Microwave Exposure. Physiol. Behav. 2017, 181, 1–9. [Google Scholar] [CrossRef]
- Chuang, K.-H.; Nasrallah, F.A. Functional Networks and Network Perturbations in Rodents. NeuroImage 2017, 163, 419–436. [Google Scholar] [CrossRef]
- Paasonen, J.; Stenroos, P. Functional Connectivity under Six Anesthesia Protocols and the Awake Condition in Rat Brain. NeuroImage 2018, 172, 9–20. [Google Scholar] [CrossRef]











| SARbrain,0° (W/kg) | SARbrain,45° (W/kg) | SARbrain,90° (W/kg) | SARbrain,135° (W/kg) | SARbrain,180° (W/kg) | SARbrain,225° (W/kg) | SARbrain,270° (W/kg) | SARbrain,315° (W/kg) | (W/kg) | |
|---|---|---|---|---|---|---|---|---|---|
| L10 | 18.859 | 13.549 | 8.058 | 13.368 | 18.859 | 13.549 | 8.058 | 13.368 | 13.458 |
| L30 | 56.578 | 40.647 | 24.175 | 40.106 | 56.578 | 40.647 | 24.175 | 40.106 | 40.376 |
| X10 | 3.717 | 3.351 | 3.033 | 3.399 | 3.717 | 3.351 | 3.033 | 3.399 | 3.375 |
| X30 | 11.151 | 10.052 | 9.098 | 10.197 | 11.151 | 10.052 | 9.098 | 10.197 | 10.125 |
Disclaimer/Publisher’s Note: The statements, opinions and data contained in all publications are solely those of the individual author(s) and contributor(s) and not of MDPI and/or the editor(s). MDPI and/or the editor(s) disclaim responsibility for any injury to people or property resulting from any ideas, methods, instructions or products referred to in the content. |
© 2023 by the authors. Licensee MDPI, Basel, Switzerland. This article is an open access article distributed under the terms and conditions of the Creative Commons Attribution (CC BY) license (https://creativecommons.org/licenses/by/4.0/).
Share and Cite
Wang, H.; Zhao, H.; Li, C.; Dong, J.; Zhao, J.; Yue, H.; Lai, Y.; Zhao, L.; Wang, H.; Zhang, J.; et al. Disrupted Topological Organization of Brain Network in Rats with Spatial Memory Impairments Induced by Acute Microwave Radiation. Brain Sci. 2023, 13, 1006. https://doi.org/10.3390/brainsci13071006
Wang H, Zhao H, Li C, Dong J, Zhao J, Yue H, Lai Y, Zhao L, Wang H, Zhang J, et al. Disrupted Topological Organization of Brain Network in Rats with Spatial Memory Impairments Induced by Acute Microwave Radiation. Brain Sciences. 2023; 13(7):1006. https://doi.org/10.3390/brainsci13071006
Chicago/Turabian StyleWang, Haoyu, Haixia Zhao, Chunfang Li, Ji Dong, Jianghao Zhao, Hanlin Yue, Yunfei Lai, Li Zhao, Hui Wang, Jing Zhang, and et al. 2023. "Disrupted Topological Organization of Brain Network in Rats with Spatial Memory Impairments Induced by Acute Microwave Radiation" Brain Sciences 13, no. 7: 1006. https://doi.org/10.3390/brainsci13071006
APA StyleWang, H., Zhao, H., Li, C., Dong, J., Zhao, J., Yue, H., Lai, Y., Zhao, L., Wang, H., Zhang, J., Xu, X., Yao, B., Zhou, H., Nie, B., Du, X., & Peng, R. (2023). Disrupted Topological Organization of Brain Network in Rats with Spatial Memory Impairments Induced by Acute Microwave Radiation. Brain Sciences, 13(7), 1006. https://doi.org/10.3390/brainsci13071006
