Differences between Monolinguals and Bilinguals in Phonetic and Phonological Learning and the Connection with Auditory Sensory Memory
Abstract
1. Introduction
2. Experiment: Materials and Methods
2.1. Hypotheses
2.2. Language Background Questionnaire
2.3. Testing Phonetic and Phonological Learning: The Novel Accent Learning Task
2.3.1. Stimuli
- 1.
- Tapping: intervocalic /l/ → [ɾ] e.g., ‘color’ →[kʌɾɚ]
- 2.
- Diphthongization: the vowel /ɛ/ → [jɛ] after an onset consonant, e.g., ‘bed’ → [bjɛd]
- 3.
- Vowel epenthesis: voiceless clusters of the form sC̥ → səC̥ e.g., ‘spy’ → [səphaj]
- 4.
- Intonation change: tag questions were realized with a novel Mid-Low-High (MLH) pattern. Tag questions (e.g., isn’t it?) are typically produced with either rising or falling intonation in standard American English.
2.3.2. Procedure
2.3.3. Data Processing and Analysis
2.4. Testing Auditory Sensory Memory: The Digit Span Task with Suffix
2.4.1. Stimuli
2.4.2. Procedure
2.4.3. Data Processing and Analysis
2.5. Participants
2.6. Results
2.6.1. Phonetic and Phonological Learning: The Novel Accent Learning Task
2.6.2. Auditory Sensory Memory: The Digit Span Task with Suffix
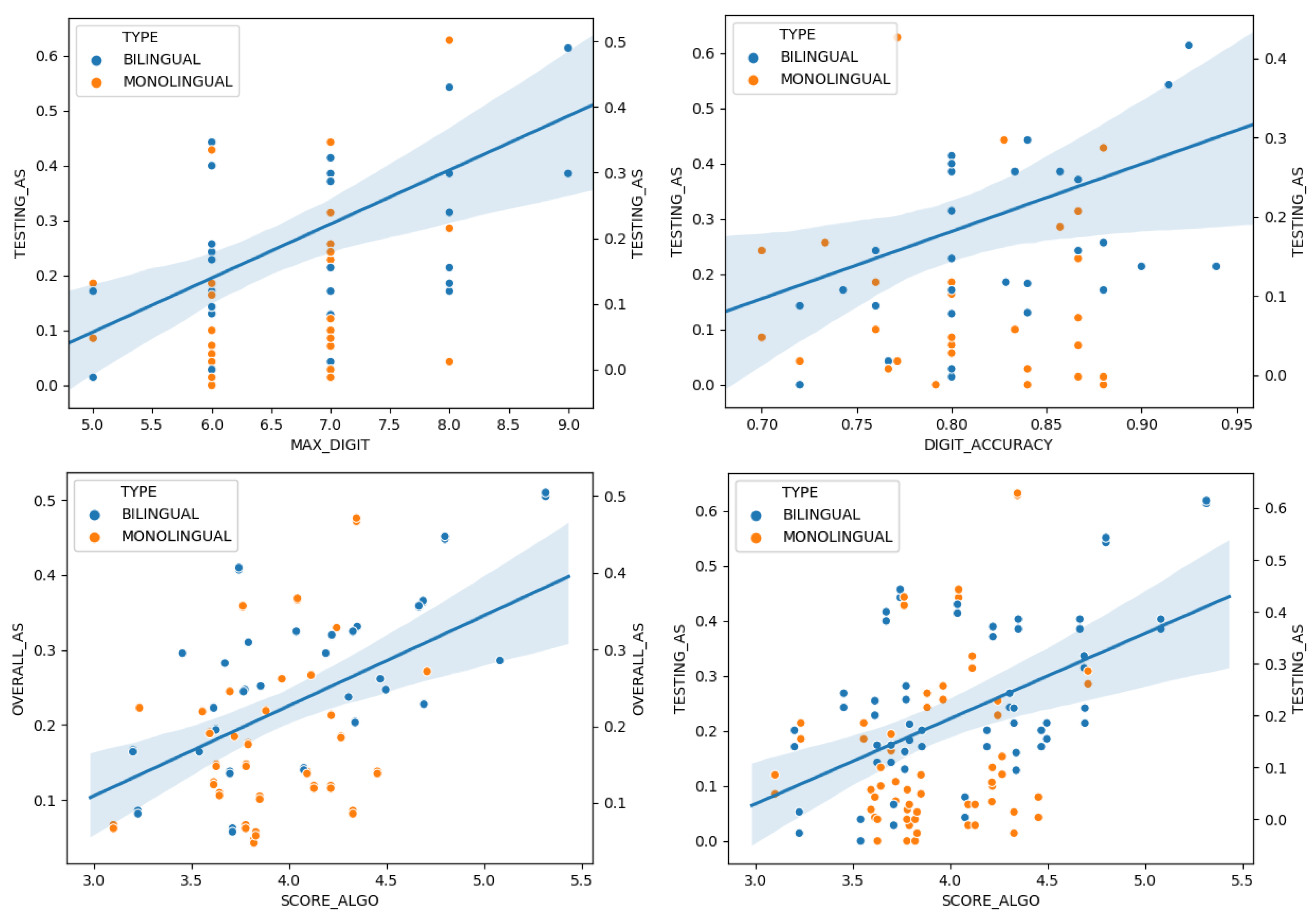
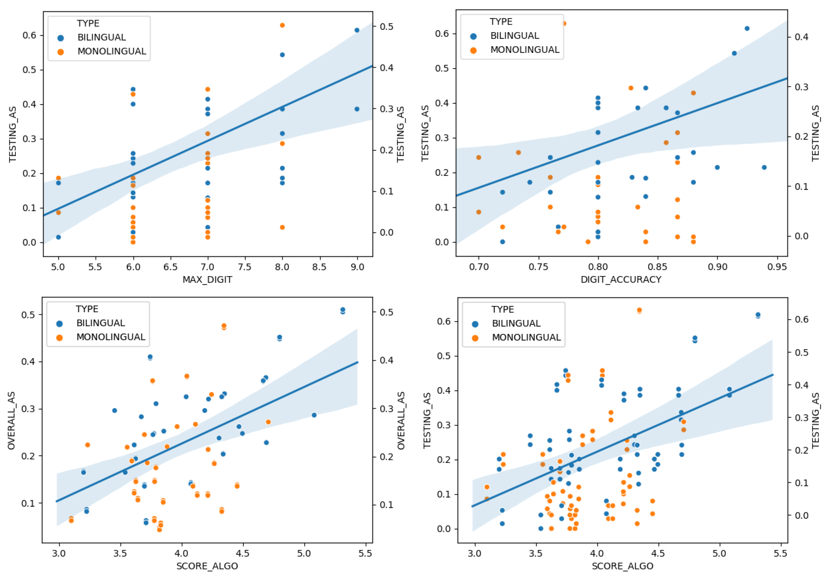
2.6.3. Correlations between Phonetic and Phonological Learning and Auditory Sensory Memory
- Phonetic and phonological learning: Accent Score (both Overall, collapsing performance on the Training and Testing blocks, and separately for each of these two blocks)
- Auditory sensory memory: Maximum Sequence Length reached, Overall Digit Accuracy obtained in the memory task, and Algorithm-based Score, that is, the digit recall score obtained by taking into account permutation errors, with bigger penalties for items displaced at longer distances.
3. Discussion
4. Conclusions
Author Contributions
Funding
Institutional Review Board Statement
Informed Consent Statement
Data Availability Statement
Conflicts of Interest
Appendix A
- Accent Score (Overall) The absence or presence of the four novel features associated with the Model Speech (in the appropriate environment) was scored with a 0 or 1, respectively. This was achieved for all three blocks completed by the participants (Baseline, Training, and Testing). Subsequently, an overall score was obtained for each participant, indicating the percentage of novel features produced (out of their total utterances). Note that the features were not expected to appear in the Baseline block which reflected participants’ natural accents.
- Accent Score (Training) The absence or presence of the four novel features associated with the Model Speech (in the appropriate environment) was scored with a 0 or 1, respectively. This was achieved separately for the Training block, which consisted of participants’ imitation of sentences uttered in the Model Speech accent immediately after hearing each one of them. Subsequently, an overall score was obtained for each participant, indicating the percentage of novel features produced during Training (out of their total utterances).
- Accent Score (Testing) The absence or presence of the four novel features associated with the Model Speech (in the appropriate environment) was scored with a 0 or 1, respectively. This was achieved separately for the Testing block, which consisted of participants’ re-reading of the sentences presented during the Baseline block, being prompted to now utter them in the Model Speech accent they had received training on, to the best of their ability. Subsequently, an overall score was obtained for each participant, indicating the percentage of novel features produced during Testing (out of their total utterances).
- Max Sequence Length This variable measures the longest digit sequence reached by a participant. The first digit sequence presented contained two digits only (and also served as a practice block) following which, if a participant correctly recalled at least 3 out of a total of 5 trials per block, the next digit sequence would be presented (one digit longer than the one that had just been completed). The task was adaptive therefore this part of the experiment would end whenever a participant failed to successfully recall at least 3 trials for a given sequence.
- Overall Digit Accuracy A participant’s overall accuracy in the digit span task. Since each sequence length included 5 trials, errors were possible even when participants were able to advance successfully to the next sequence length. Participants from both groups started making errors from sequence length = 4 and higher.
- Algorithm-based Accuracy Score A ’corrected’ score that took into account the similarity between a digit sequence input and a participant’s response. Thus, a response string that was very similar to the input (for instance by the transposition of 2 digits) received a higher score than a response in none of the digits matched the input (the Overall Digit Accuracy would have assigned both such sequences an identical score of 0). The algorithm searched for insertions or deletions by aligning a participant response string and the input string presented and counting the number of digits in each string to see if there was a discrepancy. If the number of digits in the response string was equal to the number of digits in the input string, then the answer was included in the analysis, but if the number of digits was not equal between the response and input strings, the answer was excluded. The algorithm evaluated the responses that were included digit-by-digit, employing a graded scoring method that assigned weighted scores based on transpositional distance. The goal of this graded scoring system was to award a higher score to transposed response digits that were closer to their original position in the participant response.
References
- Bialystok, E.; Craik, F.I.M.; Binns, M.A.; Ossher, L.; Freedman, M. Effects of bilingualism on the age of onset and progression of MCI and AD: Evidence from executive function tests. Neuropsychology 2014, 28, 290–304. [Google Scholar] [CrossRef]
- Antoniou, M.; Liang, E.; Ettlinger, M.; Wong, P.C.M. The bilingual advantage in phonetic learning. Biling. Lang. Cogn. 2015, 18, 683–695. [Google Scholar] [CrossRef]
- Paradis, M. The Loch Ness monster approach to bilingual language lateralization: A response to Berquier and Ashton. Brain Lang. 1992, 43, 534. [Google Scholar] [CrossRef] [PubMed]
- Marzecová, A. Bilingual advantages in executive control—A Loch Ness Monster case or an instance of neural plasticity. Cortex 2015, 73, 364–366. [Google Scholar] [CrossRef] [PubMed]
- Van den Noort, M.; Struys, E.; Bosch, P.; Jaswetz, L.; Perriard, B.; Yeo, S.; Barisch, P.; Vermeire, K.; Lee, S.H.; Lim, S. Does the bilingual advantage in cognitive control exist and if so, what are its modulating factors? A systematic review. Behav. Sci. 2019, 9, 27. [Google Scholar] [CrossRef]
- DeLuca, V.; Rothman, J.; Bialystok, E.; Pliatsikas, C. Redefining bilingualism as a spectrum of experiences that differentially affects brain structure and function. Proc. Natl. Acad. Sci. USA 2019, 116, 7565–7574. [Google Scholar] [CrossRef]
- Bialystok, E. Bilingualism and executive function: What’s the connection? In Bilingual Cognition and Language: The State of the Science across Its Subfields; Miller, D., Bauram, F., Rothman, J., Eds.; John Benjamins: Amsterdam, The Netherlands, 2018; pp. 283–305. [Google Scholar]
- Valian, V. Bilingualism and cognition. Biling. Lang. Cogn. 2015, 18, 3–24. [Google Scholar] [CrossRef]
- Obler, L.K.; Fein, D.E. The Exceptional Brain: Neuropsychology of Talent and Special Abilities; Guilford Press: New York, NY, USA, 1988. [Google Scholar]
- Higby, E.; Kim, J.; Obler, L.K. Multilingualism and the brain. Annu. Rev. Appl. Linguist. 2013, 33, 68–101. [Google Scholar] [CrossRef]
- Bialystok, E.; Fergus, I.M.C.; Luk, G. Bilingualism: Consequences for Mind and Brain. Trends Cogn. Sci. 2012, 16, 240–250. [Google Scholar] [CrossRef]
- Poarch, G.J.; Krott, A. A bilingual advantage? An appeal for a change in perspective and recommendations for future research. Behav. Sci. 2019, 9, 95. [Google Scholar] [CrossRef]
- Marian, V.; Spivey, M. Competing activation in bilingual language processing: Within- and between-language competition. Biling. Lang. Cogn. 2003, 6, 97–115. [Google Scholar] [CrossRef]
- Thierry, G.; Wu, Y.J. Brain potentials reveal unconscious translation during foreign-language comprehension. Proc. Natl. Acad. Sci. USA 2007, 104, 12530–12535. [Google Scholar] [CrossRef] [PubMed]
- Luk, G.; Green, D.W.; Abutalebi, J.; Grady, C. Cognitive control for language switching in bilinguals: A quantitative meta-analysis of functional neuroimaging studies. Lang. Cogn. Process. 2011, 27, 1479–1488. [Google Scholar] [CrossRef] [PubMed]
- Green, D.W.; Abutalebi, J. Language control in bilinguals: The adaptive control hypothesis. J. Cogn. Psychol. 2013, 25, 515–530. [Google Scholar] [CrossRef]
- Miyake, A.; Friedman, N.P.; Emerson, M.J.; Witzki, A.H.; Howerter, A.; Wager, T.D. The unity and diversity of executive functions and their contributions to complex “Frontal Lobe” tasks: A latent variable analysis. Cogn. Psychol. 2000, 41, 49–100. [Google Scholar] [CrossRef] [PubMed]
- Calabrese, A. Auditory representations and phonological illusions: A linguists perspective on the neuropsychological bases of speech perception. J. Neurolinguist. 2012, 25, 355–381. [Google Scholar] [CrossRef]
- Reiterer, S.M.; Hu, X.; Erb, M.; Rota, G.; Nardo, D.; Grodd, W.; Winkler, S.; Ackermann, H. Individual differences in audio-vocal speech imitation aptitude in late bilinguals: Functional neuroimaging and brain morphology. Front. Psychol. 2011, 2, 271. [Google Scholar] [CrossRef] [PubMed]
- Pliatsikas, C.; DeLuca, V.; Voits, T. The many shades of bilingualism: Language experiences modulate adaptations in brain structure. Lang. Learn. 2020, 70, 133–149. [Google Scholar] [CrossRef]
- Simmonds, A.J.; Wise, R.J.; Leech, R. Two tongues, one brain: Imaging bilingual speech production. Front. Psychol. 2011, 2, 166. [Google Scholar] [CrossRef]
- Kröger, B.J.; Birkholz, P.; Neuschaefer-Rube, C. Towards an articulation-based developmental robotics approach for word processing in face-to-face communication. Paladyn 2011, 2, 82–93. [Google Scholar] [CrossRef]
- Lindenberger, U.; Baltes, P.B. Sensory functioning and intelligence in old age: A strong connection. Psychol. Aging 1994, 9, 339–355. [Google Scholar] [CrossRef] [PubMed]
- Lindenberger, U.; Marsiske, M.; Baltes, P.B. Memorizing while walking: Increase in dual-task costs from young adulthood to old age. Psychol. Aging 2000, 15, 417–436. [Google Scholar] [CrossRef] [PubMed]
- Schäfer, S.; Huxhold, O.; Lindenberger, U. Healthy mind in healthy body? A review of sensorimotor-cognitive interdependencies in old age. Eur. Rev. Aging Phys. Act. 2006, 3, 45–54. [Google Scholar] [CrossRef]
- Kopeckova, R. The bilingual advantage in L3 learning: A developmental study of rhotic sounds. Int. J. Multiling. 2016, 13, 410–425. [Google Scholar] [CrossRef]
- Tremblay, M.-C.; Sabourin, L. Comparing behavioral discrimination and learning abilities in mono- linguals, bilinguals and multilinguals. J. Acoust. Soc. Am. 2012, 132, 3465–3474. [Google Scholar] [CrossRef] [PubMed]
- Spinu, L.E.; Hwang, J.; Lohmann, R. Is there a bilingual advantage in phonetic and phonological acquisition? The initial learning of word-final coronal stop realization in a novel accent of English. Int. J. Biling. 2018, 22, 350–370. [Google Scholar] [CrossRef]
- Spinu, L.; Hwang, J.; Pincus, N.; Vasilita, M. Exploring the use of an artificial accent of English to assess phonetic learning in monolingual and bilingual speakers. Proc. Interspeech 2020, 2377–2381. [Google Scholar]
- Bloom, L.C. Two-component theory of the suffix effect: Contrary evidence. Mem. Cogn. 2006, 34, 648–667. [Google Scholar] [CrossRef]
- Crowder, R.G. Echoic memory and the study of aging memory systems. In New Directions in Memory and Aging: Proceedings of the G. A. Talland Memorial Conference; Poon, L., Fozard, J., Cermak, L., Arenberg, D., Thompson, L., Eds.; Originally Published 1980; Routledge—Taylor & Francis Group, Psychology Press: London, UK, 2014; pp. 181–204. [Google Scholar]
- Pilotti, M.; Beyer, T.; Yasunami, M. Top-down processing and the suffix effect in young and older adults. Mem. Cogn. 2002, 30, 89–96. [Google Scholar] [CrossRef]
- Cowan, N. On short and long auditory stores. Psychol. Bull. 1984, 96, 341–370. [Google Scholar] [CrossRef]
- Crowder, R.G. Mechanisms of auditory backward masking in the stimulus suffix effect. Psychol. 1978, 85, 502–524. [Google Scholar] [CrossRef]
- Greene, R.L.; Crowder, R.G. Modality and suffix effects in the absence of auditory stimulation. J. Verbal Learn. Verbal Behav. 1984, 23, 371–382. [Google Scholar] [CrossRef]
- Nees, M.A. Have we forgotten auditory sensory memory? Retention intervals in studies of nonverbal auditory working memory. Front. Psychol. 2016, 7, 1892. [Google Scholar] [CrossRef] [PubMed]
- Cowan, N. What are the differences between long-term, short-term, and working memory? Prog. Brain Res. 2008, 169, 323–338. [Google Scholar]
- Jones, D.M.; Hughes, R.W.; Macken, W.J. Perceptual organization masquerading as phonological storage: Further support for a perceptual-gestural view of short-term memory. J. Mem. Lang. 2006, 54, 265–281. [Google Scholar] [CrossRef]
- Jones, D.M.; Macken, W.J.; Nicholls, A.P. The phonological store of working memory: Is it phonological and is it a store? J. Exp. Psychol. Learn. Mem. Cogn. 2004, 30, 656–674. [Google Scholar] [CrossRef] [PubMed]
- Sofologi, M.; Zafiri, M.; Pliogou, V. Investigating the relationship of working memory and inhibitory control: Bilingual education and pedagogical implications in elementary school. Int. J. Learn. Teach. Educ. Res. 2020, 19, 163–183. [Google Scholar] [CrossRef]
- Yang, E. Bilinguals’ Working Memory (WM) Advantage and Their Dual Language Practices. Brain Sci. 2017, 7, 86. [Google Scholar] [CrossRef]
- Morales, J.; Calvo, A.; Bialystok, E. Working memory development in monolingual and bilingual children. J. Exp. Child Psychol. 2013, 114, 187–202. [Google Scholar] [CrossRef]
- Krizman, J.; Marian, V.; Shook, A.; Skoe, E.; Kraus, N. Subcortical encoding of sound is enhanced in bilinguals and relates to executive function advantages. Proc. Natl. Acad. Sci. USA 2012, 109, 7877–7881. [Google Scholar] [CrossRef]
- Ljungberg, J.K.; Hansson, P.; Andrés, P.; Josefsson, M.; Nilsson, L.G. A longitudinal study of memory advantages in bilinguals. PLoS ONE 2013, 8, e73029. [Google Scholar] [CrossRef] [PubMed]
- Philipp-Müller, N.; Spinu, L.; Rafat, Y.; Rand, J. Serial memory error patterns in bilinguals and monolinguals. Proc. Mtgs. Acoust. 2018, 35, 060007. [Google Scholar] [CrossRef]
- Spinu, L. Serial memory mechanisms in monolingual and bilingual speakers. Int. J. Biling. 2022, 13670069211070977. [Google Scholar] [CrossRef]
- Marian, V.; Blumenfeld, H.K.; Kaushanskaya, M. The Language Experience and Proficiency Questionnaire (LEAP-Q): Assessing language profiles in bilinguals and multilinguals. J. Speech Lang. Hear. Res. 2007, 50, 940–967. [Google Scholar] [CrossRef]
- Adank, P.; Hagoort, P.; Bekkering, H. Imitation improves language comprehension. Psychol. Sci. 2010, 21, 1903–1909. [Google Scholar] [CrossRef]
- Peirce, J.W.; Gray, J.R.; Simpson, S.; MacAskill, M.R.; Höchenberger, R.; Sogo, H.; Kastman, E.; Lindeløv, J. PsychoPy2: Experiments in behavior made easy. Behav. Res. Methods 2019, 51, 195–203. [Google Scholar] [CrossRef] [PubMed]
- Cohen, J.; MacWhinney, B.; Flatt, M.; Provost, J. PsyScope: A new graphic interactive environment for designing psychology experiments. Behav. Res. Methods Instrum. Comput. 1993, 25, 257–271. [Google Scholar] [CrossRef]
- MATLAB, Version: 9.13.0 (R2022b); The MathWorks Inc.: Natick, MA, USA, 2022. Available online: https://www.mathworks.com (accessed on 5 February 2023).
- Comishen, K.J.; Bialystok, E. Increases in attentional demands are associated with language group differences in working memory performance. Brain Cogn. 2021, 147, 105658. [Google Scholar] [CrossRef]
- Ma, X.; Ma, X.; Li, P.; Liu, Y. Differences in working memory with emotional distraction between proficient and non-proficient bilinguals. Front. Psychol. 2020, 11, 1414. [Google Scholar] [CrossRef]
- Signorelli, T.; Obler, L.K. Working memory in simultaneous interpreters. In Memory, Language, and Bilingualism: Theoretical and Applied Approaches; Altarriba, J., Isurin, L., Eds.; Cambridge University Press: New York, NY, USA, 2013; pp. 95–125. [Google Scholar]
- Morrison, C.; Kamal, F.; Taler, V. The influence of bilingualism on working memory event-related potentials. Biling. Lang. Cogn. 2019, 22, 191–199. [Google Scholar] [CrossRef]
- Bialystok, E.; Craik, F.I.M.; Luk, G. Lexical access in bilinguals: Effects of vocabulary size and executive control. J. Neurolinguist. 2008, 21, 522–538. [Google Scholar] [CrossRef]
- Engel de Abreu, P.M. Working memory in multilingual children: Is there a bilingual effect? Memory 2011, 19, 529–537. [Google Scholar] [CrossRef]
- Werker, J.F.; Logan, J. Cross-language evidence for three factors in speech perception. Percept. Psychophys. 1985, 37, 35–44. [Google Scholar] [CrossRef]
- Aziz-Zadeh, L.; Ivry, R.B. The human mirror neuron system and embodied representations. Adv. Exp. Med. Biol. 2009, 629, 355–376. [Google Scholar] [PubMed]
- DD’Ausilio, A.; Pulvermüller, F.; Salmas, P.; Bufalari, I.; Begliomini, C.; Fadiga, L. The motor somatotopy of speech perception. Curr. Biol. 2009, 19, 381–385. [Google Scholar] [CrossRef]
- Chee, M.W.; Soon, C.S.; Lee, H.L.; Pallier, C. Left insula activation: A marker for language attainment in bilinguals. Proc. Natl. Acad. Sci. USA 2004, 101, 15265–15270. [Google Scholar] [CrossRef] [PubMed]
- Ghazi-Saidi, L.; Dash, T.; Ansaldo, A.I. How native-like can you possibly get: FMRI evidence for processing accent. Front. Hum. Neurosci. 2015, 9, 587. [Google Scholar] [CrossRef] [PubMed]
- de Bruin, A.; Dick, A.S.; Carreiras, M. Clear theories are needed to interpret differences: Perspectives on the bilingual advantage debate. Neurobiol. Lang. 2021, 2, 1–46. [Google Scholar] [CrossRef]
- Marian, V.; Hayakawa, S. Measuring bilingualism: The quest for a “bilingualism quotient”. Appl. Psycholinguist. 2021, 42, 527–548. [Google Scholar] [CrossRef]
- Del Maschio, N.; Abutalebi, J. Neurobiology of bilingualism. In Bilingual Cognition and Language: The State of the Science across Its Subfields; Miller, D., Bauram, F., Rothman, J., Eds.; John Benjamins: Amsterdam, The Netherlands, 2018; pp. 325–346. [Google Scholar]
- Noble, K.G.; McCandliss, B.D.; Farah, M.J. Socioeconomic gradients predict individual differences in neurocognitive abilities. Dev. Sci. 2007, 10, 464–480. [Google Scholar] [CrossRef]
- Best, J.R. Effects of physical activity on children’s executive function: Contributions of experimental research on aerobic exercise. Dev. Sci. 2010, 30, 331–551. [Google Scholar] [CrossRef] [PubMed]
- Kuula, L.; Pesonen, A.-K.; Martikainen, S.; Kajantie, E.; Lahti, J.; Strandberg, T.; Tuovinen, S.; Heinonen, K.; Pyhälä, R.; Lahti, M.; et al. Poor sleep and neurocognitive function in early adolescence. Sleep Med. 2015, 16, 1207–1212. [Google Scholar] [CrossRef] [PubMed]
- Kim, J.Y.; Wang, S.W. Relationships between dietary intake and cognitive function in healthy Korean children and adolescents. J. Lifestyle Med. 2017, 7, 10–17. [Google Scholar] [CrossRef]
- Zuk, J.; Benjamin, C.; Kenyon, A.; Gaab, N. Behavioral and neural correlates of executive functioning in musicians and non-musicians. PLoS ONE 2014, 9, e99868. [Google Scholar] [CrossRef] [PubMed]
- Hayakawa, S.; Marian, V. Consequences of multilingualism for neural architecture. Behav. Brain Funct. 2019, 15, 1–24. [Google Scholar] [CrossRef] [PubMed]








| Max Sequence Length | Overall Accuracy | Algorithm-Based Score | |
|---|---|---|---|
| Accent Score (Overall) | r(58) = 0.497 p < 0.001 | n.s. | r(58) = 0.504 p < 0.001 |
| Accent Score (Testing) | r(58) = 0.479 p < 0.001 | r(58) = 0.297 p < 0.05 | r(58) = 0.469 p < 0.001 |
| Accent Score (Training) | r(58) = 0.445 p < 0.001 | r(58) = 0.312 p < 0.05 | r(58) = 0.459 p < 0.001 |
| Max Sequence Length | Overall Accuracy | Algorithm-Based Score | |
|---|---|---|---|
| Accent Score (Overall) | r(28) = 0.379 p < 0.05 | n.s. | n.s. |
| Accent Score (Testing) | r(28) = 0.370 p < 0.05 | n.s. | n.s. |
| Accent Score (Training) | r(28) = 0.336 p < 0.05 | n.s. | n.s. |
| Max Sequence Length | Overall Accuracy | Algorithm-Based Score | |
|---|---|---|---|
| Accent Score (Overall) | r(28) = 0.572 p < 0.001 | r(28) = 0.525 p = 0.001 | r(58) = 0.617 p < 0.001 |
| Accent Score (Testing) | r(28) = 0.539 p = 0.001 | r(28) = 0.518 p < 0.05 | r(28) = 0.581 p < 0.001 |
| Accent Score (Training) | r(28) = 0.499 p < 0.05 | r(28) = 0.451 p < 0.05 | r(28) = 0.527 p < 0.001 |
Disclaimer/Publisher’s Note: The statements, opinions and data contained in all publications are solely those of the individual author(s) and contributor(s) and not of MDPI and/or the editor(s). MDPI and/or the editor(s) disclaim responsibility for any injury to people or property resulting from any ideas, methods, instructions or products referred to in the content. |
© 2023 by the authors. Licensee MDPI, Basel, Switzerland. This article is an open access article distributed under the terms and conditions of the Creative Commons Attribution (CC BY) license (https://creativecommons.org/licenses/by/4.0/).
Share and Cite
Spinu, L.; Hwang, J.; Vasilita, M. Differences between Monolinguals and Bilinguals in Phonetic and Phonological Learning and the Connection with Auditory Sensory Memory. Brain Sci. 2023, 13, 488. https://doi.org/10.3390/brainsci13030488
Spinu L, Hwang J, Vasilita M. Differences between Monolinguals and Bilinguals in Phonetic and Phonological Learning and the Connection with Auditory Sensory Memory. Brain Sciences. 2023; 13(3):488. https://doi.org/10.3390/brainsci13030488
Chicago/Turabian StyleSpinu, Laura, Jiwon Hwang, and Mariana Vasilita. 2023. "Differences between Monolinguals and Bilinguals in Phonetic and Phonological Learning and the Connection with Auditory Sensory Memory" Brain Sciences 13, no. 3: 488. https://doi.org/10.3390/brainsci13030488
APA StyleSpinu, L., Hwang, J., & Vasilita, M. (2023). Differences between Monolinguals and Bilinguals in Phonetic and Phonological Learning and the Connection with Auditory Sensory Memory. Brain Sciences, 13(3), 488. https://doi.org/10.3390/brainsci13030488
