Effects of Binaural Beat Stimulation in Adults with Stuttering
Abstract
1. Background
2. Material and Methods
2.1. Experimental Design
2.2. Population
2.3. Exposure: Auditory Stimulation
2.4. EEG Registration and Signal Processing
2.5. ECG Registration and Signal Processing
2.6. Speech Quality Assessment
2.7. Statistical Analysis
3. Results
3.1. Auditory Stimulation Results in Reduction of Stress Level as Monitored by ECG
3.2. AWS Display Distinct Spatial Signatures of Brain Activation during Speech Production
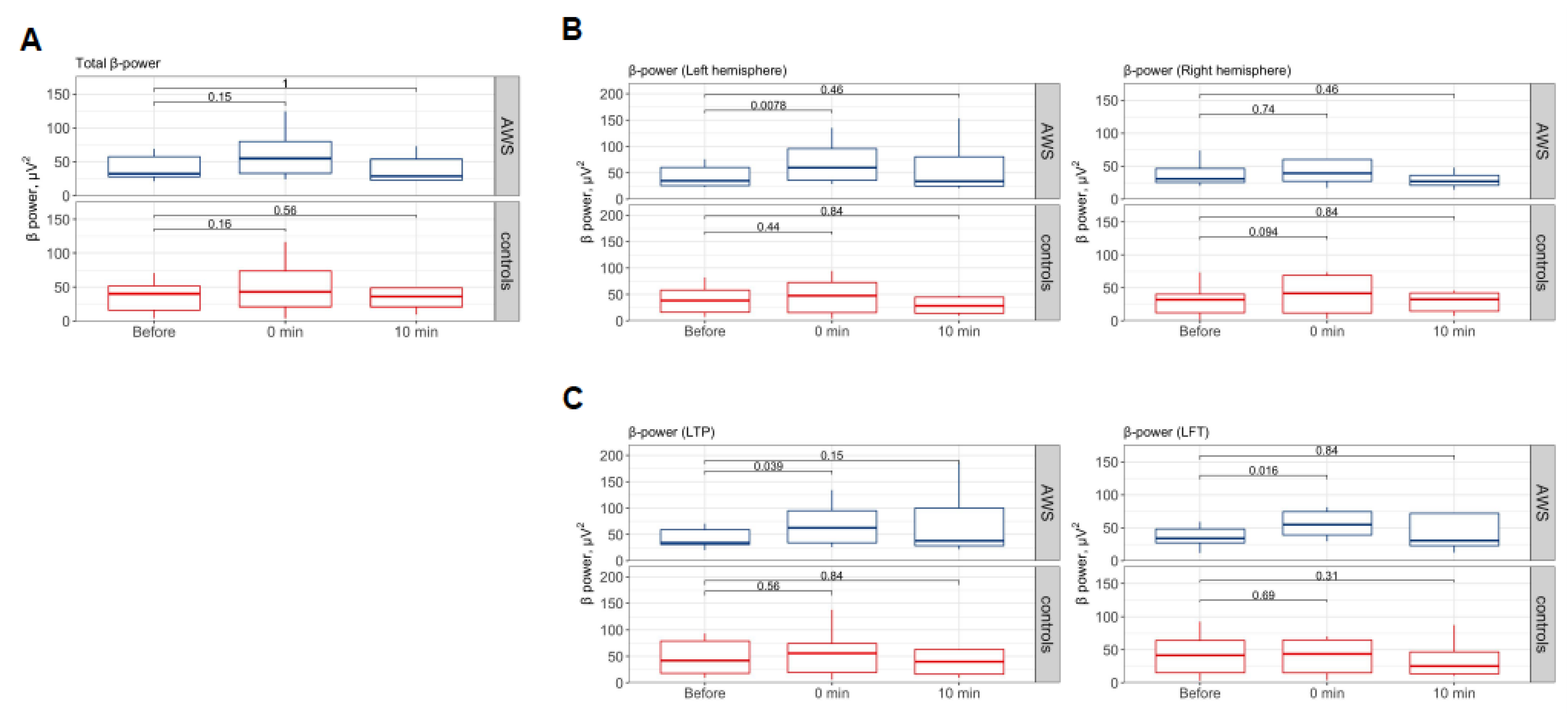
3.3. Auditory Stimulation Enhances β Spectral Power and Leads to Spatial Redistribution of Brain Activity
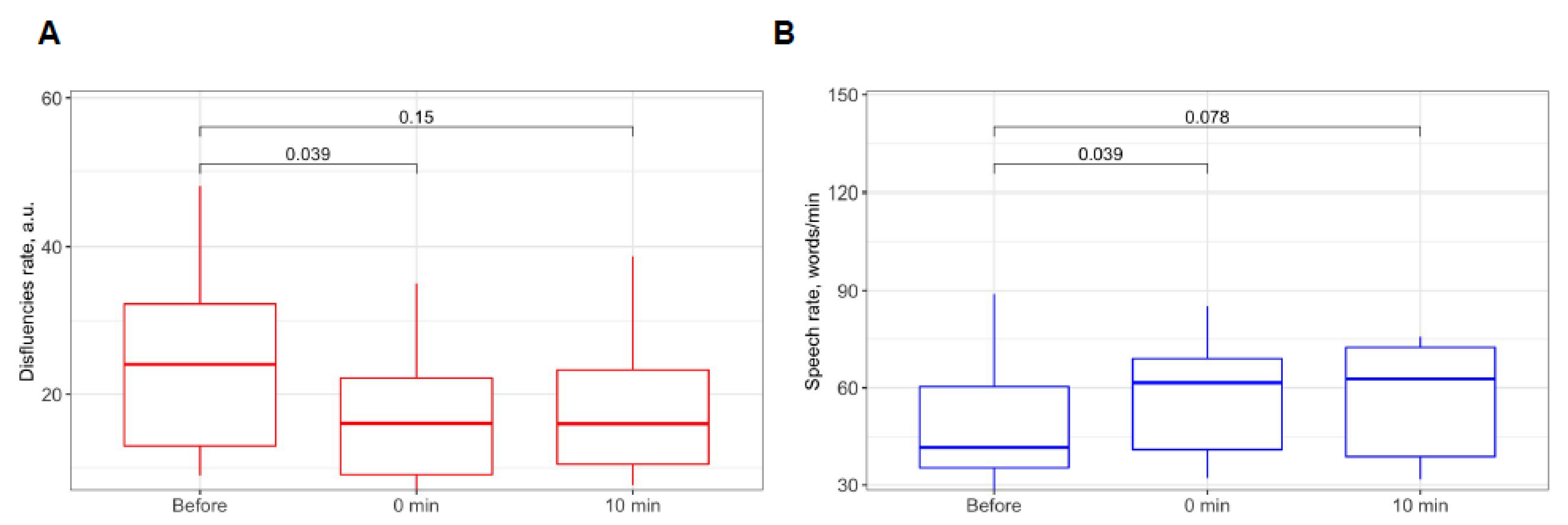
3.4. Auditory Stimulation Leads to Improvement of Speech Quality and Conditional β-activation in Speech Centers in AWS
3.5. Improvement of Speech Quality Is Correlated to the Specific Brain Activity Patterns
4. Discussion
Supplementary Materials
Author Contributions
Funding
Institutional Review Board Statement
Informed Consent Statement
Data Availability Statement
Acknowledgments
Conflicts of Interest
References
- Gerlach, H.; Totty, E.; Subramanian, A.; Zebrowski, P. Stuttering and Labor Market Outcomes in the United States. J. Speech Lang. Hear. Res. JSLHR 2018, 61, 1649–1663. [Google Scholar] [CrossRef]
- Yairi, E.; Ambrose, N. Epidemiology of stuttering: 21st century advances. J. Fluen. Disord. 2013, 38, 66–87. [Google Scholar] [CrossRef]
- Available online: https://westutter.org/facts-about-stuttering/ (accessed on 15 August 2021).
- Pfurtscheller, G. Central beta rhythm during sensorimotor activities in man. Electroencephalogr. Clin. Neurophysiol. 1981, 51, 253–264. [Google Scholar] [CrossRef]
- Alm, P.A. Stuttering: A Disorder of Energy Supply to Neurons? Front. Hum. Neurosci. 2021, 15, 662204. [Google Scholar] [CrossRef]
- Beal, D.S.; Gracco, V.L.; Brettschneider, J.; Kroll, R.M.; De Nil, L.F. A voxel-based morphometry (VBM) analysis of regional grey and white matter volume abnormalities within the speech production network of children who stutter. Cortex 2013, 49, 2151–2161. [Google Scholar] [CrossRef] [PubMed]
- Beal, D.S.; Gracco, V.L.; Lafaille, S.J.; De Nil, L.F. Voxel-based morphometry of auditory and speech-related cortex in stutterers. NeuroReport 2007, 18, 1257–1260. [Google Scholar] [CrossRef] [PubMed]
- Frigerio-Domingues, C.; Drayna, D. Genetic contributions to stuttering: The current evidence. Mol. Genet. Genom. Med. 2017, 5, 95–102. [Google Scholar] [CrossRef] [PubMed]
- Choi, D.; Conture, E.G.; Walden, T.A.; Jones, R.M.; Kim, H. Emotional Diathesis, Emotional Stress, and Childhood Stuttering. J. Speech Lang. Hear. Res. 2016, 59, 616–630. [Google Scholar] [CrossRef] [PubMed]
- Onslow, M.; O’Brian, S. Management of childhood stuttering. J. Paediatr. Child. Health. 2013, 49, E112–E115. [Google Scholar] [CrossRef]
- Özge, A.; Toros, F.; Çömelekoğlu, Ü. The Role of Hemispheral Asymmetry and Regional Activity of Quantitative EEG in Children with Stuttering. Child Psychiatry Hum. Dev. 2003, 34, 269–280. [Google Scholar] [CrossRef]
- Saltuklaroglu, T.; Harkrider, A.W.; Thornton, D.; Jenson, D.; Kittilstved, T. EEG Mu (µ) rhythm spectra and oscillatory activity differentiate stuttering from non-stuttering adults. NeuroImage 2017, 153, 232–245. [Google Scholar] [CrossRef]
- Liljeström, M.; Stevenson, C.; Kujala, J.; Salmelin, R. Task- and stimulus-related cortical networks in language production: Exploring similarity of MEG- and fMRI-derived functional connectivity. NeuroImage 2015, 120, 75–87. [Google Scholar] [CrossRef]
- Fujioka, T.; Trainor, L.J.; Large, E.W.; Ross, B. Internalized Timing of Isochronous Sounds Is Represented in Neuromagnetic Beta Oscillations. J. Neurosci. 2012, 32, 1791–1802. [Google Scholar] [CrossRef] [PubMed]
- Gehrig, J.; Wibral, M.; Arnold, C.; Kell, C.A. Setting Up the Speech Production Network: How Oscillations Contribute to Lateralized Information Routing. Front. Psychol. 2012, 3, 169. [Google Scholar] [CrossRef] [PubMed]
- Jenson, D.; Bowers, A.L.; Harkrider, A.W.; Thornton, D.; Cuellar, M.; Saltuklaroglu, T. Temporal dynamics of sensorimotor integration in speech perception and production: Independent component analysis of EEG data. Front. Psychol. 2014, 5, 656. [Google Scholar] [CrossRef] [PubMed]
- Salmelin, R.; Sams, M. Motor cortex involvement during verbal versus non-verbal lip and tongue movements. Hum. Brain Mapp. 2002, 16, 81–91. [Google Scholar] [CrossRef]
- Mersov, A.-M.; Jobst, C.; Cheyne, D.O.; De Nil, L. Sensorimotor Oscillations Prior to Speech Onset Reflect Altered Motor Networks in Adults Who Stutter. Front. Hum. Neurosci. 2016, 10, 443. [Google Scholar] [CrossRef]
- Korzeczek, A.; Neef, N.E.; Steinmann, I.; Paulus, W.; Sommer, M. Stuttering severity relates to frontotemporal low-beta synchronization during pre-speech preparation. Clin. Neurophysiol. 2022, 138, 84–96. [Google Scholar] [CrossRef]
- Alm, P.A. Stuttering, emotions, and heart rate during anticipatory anxiety: A critical review. J. Fluen. Disord. 2004, 29, 123–133. [Google Scholar] [CrossRef]
- Peters, H.F.M.; Hulstijn, W. Stuttering and anxiety: The difference between stutterers and nonstutterers in verbal apprehension and physiologic arousal during the anticipation of speech and non-speech tasks. J. Fluen. Disord. 1984, 9, 67–84. [Google Scholar] [CrossRef]
- Weber, C.M.; Smith, A. Autonomic Correlates of Stuttering and Speech Assessed in a Range of Experimental Tasks. J. Speech Lang. Hear. Res. 1990, 33, 690–706. [Google Scholar] [CrossRef] [PubMed]
- Bauerly, K.R.; Jones, R.M.; Miller, C. Effects of Social Stress on Autonomic, Behavioral, and Acoustic Parameters in Adults Who Stutter. J. Speech Lang. Hear. Res. 2019, 62, 2185–2202. [Google Scholar] [CrossRef] [PubMed]
- Caruso, A.J.; Chodzko-Zajko, W.J.; Bidinger, D.A.; Sommers, R.K. Adults Who Stutter: Responses to Cognitive Stress. J. Speech Lang. Hear. Res. 1994, 37, 746–754. [Google Scholar] [CrossRef] [PubMed]
- Aganov, S.; Nayshtetik, E.; Nagibin, V.; Lebed, Y. Pure purr virtual reality technology: Measuring heart rate variability and anxiety levels in healthy volunteers affected by moderate stress. Arch. Med. Sci. 2020, 18, 336–343. [Google Scholar] [CrossRef]
- Herrmann, C.S. Human EEG responses to 1-100 Hz flicker: Resonance phenomena in visual cortex and their potential correlation to cognitive phenomena. Exp. Brain Res. 2001, 137, 346–353. [Google Scholar] [CrossRef]
- Ross, B.; Jamali, S.; Miyazaki, T.; Fujioka, T. Synchronization of beta and gamma oscillations in the somatosensory evoked neuromagnetic steady-state response. Exp. Neurol. 2013, 245, 40–51. [Google Scholar] [CrossRef]
- Chang, A.; Bedoin, N.; Canette, L.-H.; Nozaradan, S.; Thompson, D.; Corneyllie, A.; Tillmann, B.; Trainor, L.J. Atypical beta power fluctuation while listening to an isochronous sequence in dyslexia. Clin. Neurophysiol. 2021, 132, 2384–2390. [Google Scholar] [CrossRef]
- Chaieb, L.; Wilpert, E.C.; Hoppe, C.; Axmacher, N.; Fell, J. The Impact of Monaural Beat Stimulation on Anxiety and Cognition. Front. Hum. Neurosci. 2017, 11, 251. [Google Scholar] [CrossRef]
- Ortiz, T.; Martínez, A.M.; Fernández, A.; Maestu, F.; Campo, P.; Hornero, R.; Escudero, J.; Poch, J. Impact of auditory stimulation at a frequency of 5 Hz in verbal memory. Actas Esp. De. Psiquiatr. 2008, 36, 307–313. [Google Scholar]
- Schwarz, D.W.F.; Taylor, P. Human auditory steady state responses to binaural and monaural beats. Clin. Neurophysiol. Off. J. Int. Fed. Clin. Neurophysiol. 2005, 116, 658–668. [Google Scholar] [CrossRef]
- Grose, J.H.; Buss, E.; Hall, J.W. Binaural beat salience. Hear. Res. 2012, 285, 40–45. [Google Scholar] [CrossRef] [PubMed]
- Kasprzak, C. Influence of Binaural Beats on EEG Signal. Acta Phys. Pol. A 2011, 119, 986–990. [Google Scholar] [CrossRef]
- Lane, J.D.; Kasian, S.J.; Owens, J.E.; Marsh, G.R. Binaural auditory beats affect vigilance performance and mood. Physiol. Behav. 1998, 63, 249–252. [Google Scholar] [CrossRef] [PubMed]
- Martin, R.R.; Johnson, L.J.; Siegel, G.M.; Haroldson, S.K. Auditory Stimulation, Rhythm, and Stuttering. J. Speech Lang. Hear. Res. 1985, 28, 487–495. [Google Scholar] [CrossRef] [PubMed]
- Rastatter, M.P.; Stuart, A.; Kalinowski, J. Quantitative Electroencephalogram of Posterior Cortical Areas of Fluent and Stuttering Participants during Reading with Normal and Altered Auditory Feedback. Percept. Mot. Ski. 1998, 87, 623–633. [Google Scholar] [CrossRef] [PubMed]
- Chang, S.-E.; Zhu, D.C. Neural network connectivity differences in children who stutter. Brain 2013, 136, 3709–3726. [Google Scholar] [CrossRef] [PubMed]
- den Hollander, J.; Jonkers, R.; Mariën, P.; Bastiaanse, R. Identifying the Speech Production Stages in Early and Late Adulthood by Using Electroencephalography. Front. Hum. Neurosci. 2019, 13, 298. [Google Scholar] [CrossRef]
- Jenson, D.; Reilly, K.J.; Harkrider, A.W.; Thornton, D.; Saltuklaroglu, T. Trait related sensorimotor deficits in people who stutter: An EEG investigation of μ rhythm dynamics during spontaneous fluency. NeuroImage Clin. 2018, 19, 690–702. [Google Scholar] [CrossRef]
- Cai, S.; Tourville, J.A.; Beal, D.S.; Perkell, J.S.; Guenther, F.H.; Ghosh, S.S. Diffusion imaging of cerebral white matter in persons who stutter: Evidence for network-level anomalies. Front. Hum. Neurosci. 2014, 8, 54. [Google Scholar] [CrossRef]
- Neumann, K.; Preibisch, C.; Euler, H.A.; Gudenberg AW von Lanfermann, H.; Gall, V.; Giraud, A.-L. Cortical plasticity associated with stuttering therapy. J. Fluen. Disord. 2005, 30, 23–39. [Google Scholar] [CrossRef]
- Preibisch, C.; Neumann, K.; Raab, P.; Euler, H.A.; von Gudenberg, A.W.; Lanfermann, H.; Giraud, A.-L. Evidence for compensation for stuttering by the right frontal operculum. NeuroImage 2003, 20, 1356–1364. [Google Scholar] [CrossRef] [PubMed]
- Etchell, A.C.; Johnson, B.W.; Sowman, P.F. Beta oscillations, timing, and stuttering. Front. Hum. Neurosci. 2015, 8, 1036. [Google Scholar] [CrossRef] [PubMed]
- Mollaei, F.; Mersov, A.; Woodbury, M.; Jobst, C.; Cheyne, D.; De Nil, L. White matter microstructural differences underlying beta oscillations during speech in adults who stutter. Brain Lang. 2021, 215, 104921. [Google Scholar] [CrossRef]
- Ross, B.; Miyazaki, T.; Thompson, J.; Jamali, S.; Fujioka, T. Human cortical responses to slow and fast binaural beats reveal multiple mechanisms of binaural hearing. J. Neurophysiol. 2014, 112, 1871–1884. [Google Scholar] [CrossRef] [PubMed]
- Acharya, J.N.; Hani, A.; Cheek, J.; Thirumala, P.; Tsuchida, T.N. American Clinical Neurophysiology Society Guideline 2: Guidelines for Standard Electrode Position Nomenclature. J. Clin. Neurophysiol. Off. Publ. Am. Electroencephalogr. Soc. 2016, 33, 308–311. [Google Scholar] [CrossRef]
- Pan, J.; Tompkins, W.J. A Real-Time QRS Detection Algorithm. IEEE Trans. Biomed. Eng. 1985, BME-32, 230–236. [Google Scholar] [CrossRef]
- Tarvainen, M.P.; Ranta-aho, P.O.; Karjalainen, P.A. An advanced detrending method with application to HRV analysis. IEEE Trans. Biomed. Eng. 2002, 49, 172–175. [Google Scholar] [CrossRef]
- Gelman, A.; Hill, J. Data Analysis Using Regression and Multilevel/Hierarchical Models; Cambridge University Press: Cambridge, UK, 2006. [Google Scholar] [CrossRef]
- Kulawik, H. Stuttering and neurosis. Psychiatr. Neurol. Und. Med. Psychol. 1977, 29, 193–201. [Google Scholar]
- Yaruss, J.S.; Quesal, R.W. Overall Assessment of the Speaker’s Experience of Stuttering (OASES): Documenting multiple outcomes in stuttering treatment. J. Fluen. Disord. 2006, 31, 90–115. [Google Scholar] [CrossRef]
- Lavallee, C.F.; Koren, S.A.; Persinger, M.A. A Quantitative Electroencephalographic Study of Meditation and Binaural Beat Entrainment. J. Altern. Complement. Med. 2011, 17, 351–355. [Google Scholar] [CrossRef]
- Baumgartner, J.M.; Brutten, G.J. Expectancy and Heart Rate as Predictors of the Speech Performance of Stutterers. J. Speech Lang. Hear. Res. 1983, 26, 383–388. [Google Scholar] [CrossRef] [PubMed]






Disclaimer/Publisher’s Note: The statements, opinions and data contained in all publications are solely those of the individual author(s) and contributor(s) and not of MDPI and/or the editor(s). MDPI and/or the editor(s) disclaim responsibility for any injury to people or property resulting from any ideas, methods, instructions or products referred to in the content. |
© 2023 by the authors. Licensee MDPI, Basel, Switzerland. This article is an open access article distributed under the terms and conditions of the Creative Commons Attribution (CC BY) license (https://creativecommons.org/licenses/by/4.0/).
Share and Cite
Chernetchenko, D.; Prasolov, P.; Aganov, S.; Voropai, A.; Polishchuk, Y.; Lituiev, D.; Nayshtetik, E. Effects of Binaural Beat Stimulation in Adults with Stuttering. Brain Sci. 2023, 13, 309. https://doi.org/10.3390/brainsci13020309
Chernetchenko D, Prasolov P, Aganov S, Voropai A, Polishchuk Y, Lituiev D, Nayshtetik E. Effects of Binaural Beat Stimulation in Adults with Stuttering. Brain Sciences. 2023; 13(2):309. https://doi.org/10.3390/brainsci13020309
Chicago/Turabian StyleChernetchenko, Dmytro, Pramax Prasolov, Sam Aganov, Andrii Voropai, Yuliia Polishchuk, Dmytro Lituiev, and Eugene Nayshtetik. 2023. "Effects of Binaural Beat Stimulation in Adults with Stuttering" Brain Sciences 13, no. 2: 309. https://doi.org/10.3390/brainsci13020309
APA StyleChernetchenko, D., Prasolov, P., Aganov, S., Voropai, A., Polishchuk, Y., Lituiev, D., & Nayshtetik, E. (2023). Effects of Binaural Beat Stimulation in Adults with Stuttering. Brain Sciences, 13(2), 309. https://doi.org/10.3390/brainsci13020309

