The Effect of Mirror Visual Feedback on Spatial Neglect for Patients after Stroke: A Preliminary Randomized Controlled Trial
Abstract
1. Introduction
2. Materials and Methods
2.1. Participants
2.2. Intervention
2.3. Outcome Measurement
2.4. Statistical Analysis
3. Results
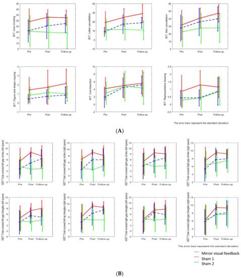
3.1. Primary Outcome: Spatial Neglect
3.2. Secondary Outcome: Upper Limb Motor Functions
4. Discussion
5. Conclusions
Author Contributions
Funding
Institutional Review Board Statement
Informed Consent Statement
Data Availability Statement
Conflicts of Interest
References
- Esposito, E.; Shekhtman, G.; Chen, P. Prevalence of spatial neglect post-stroke: A systematic review. Ann. Phys. Rehabil. Med. 2021, 64, 101459. [Google Scholar] [CrossRef] [PubMed]
- Buxbaum, L.J.; Ferraro, M.K.; Veramonti, T.; Farne, A.; Whyte, J.; Ladavas, E.; Frassinetti, F.; Coslett, H.B. Hemispatial neglect: Subtypes, neuroanatomy, and disability. Neurology 2004, 62, 749–756. [Google Scholar] [CrossRef] [PubMed]
- Kleinman, J.T.; Newhart, M.; Davis, C.; Heidler-Gary, J.; Gottesman, R.F.; Hillis, A.E. Right hemispatial neglect: Frequency and characterization following acute left hemisphere stroke. Brain Cogn. 2007, 64, 50–59. [Google Scholar] [CrossRef] [PubMed]
- Mesulam, M.M. Attentional networks, confusional states, and neglect syndromes. In Principles of Behavioural and Cognitive Neurology; Mesulam, M.M., Ed.; Oxford University Press: Oxford, UK, 2000; pp. 213–215. [Google Scholar]
- Carter, A.R.; Shulman, G.L.; Corbetta, M. Why use a connectivity-based approach to study stroke and recovery of function? Neuroimage 2012, 62, 2271–2280. [Google Scholar] [CrossRef]
- Corbetta, M.; Kincade, M.J.; Lewis, C.; Snyder, A.Z.; Sapir, A. Neural basis and recovery of spatial attention deficits in spatial neglect. Nat. Neurosci. 2005, 8, 1603–1610. [Google Scholar] [CrossRef]
- Szczepanski, S.M.; Kastner, S. Shifting attentional priorities: Control of spatial attention through hemispheric competition. J. Neurosci. 2013, 33, 5411–5421. [Google Scholar] [CrossRef]
- Bowen, A.; Longley, V.; Hazelton, C.; Heal, C.; Pollock, A.; Woodward-Nutt, K.; Mitchell, C.; Pobric, G.; Vail, A.; Bowen, A. Non-pharmacological interventions for spatial neglect or inattention following stroke and other non-progressive brain injury. Cochrane Database Syst. Rev. 2021, 7, CD003586. [Google Scholar] [CrossRef]
- Yang, N.Y.; Zhou, D.; Chung, R.C.; Li-Tsang, C.W.; Fong, K.N.K. Rehabilitation interventions for unilateral neglect after stroke: A systematic review from 1997 through 2012. Front. Hum. Neurosci. 2013, 7, 187. [Google Scholar] [CrossRef]
- Thieme, H.; Morkisch, N.; Mehrholz, J.; Pohl, M.; Behrens, J.; Borgetto, B.; Dohle, C. Mirror therapy for improving motor function after stroke: Update of a Cochrane Review. Stroke 2019, 50, e26–e27. [Google Scholar] [CrossRef]
- Ezendam, D.; Bongers, R.M.; Jannink, M.J. Systematic review of the effectiveness of mirror therapy in upper extremity function. Disabil. Rehabil. 2009, 31, 2135–2149. [Google Scholar] [CrossRef]
- Rothgangel, A.S.; Braun, S.M.; Beurskens, A.J.; Seitz, R.J.; Wade, D.T. The clinical aspects of mirror therapy in rehabilitation: A systematic review of the literature. Int. J. Rehabil. Res. 2011, 34, 1–13. [Google Scholar] [CrossRef]
- Zhang, Y.; Xing, Y.; Li, C.; Hua, Y.; Wang, Y.; Ya, R.; Meng, Q.; Bai, Y. Mirror therapy for unilateral neglect after stroke: A systematic review. Eur. J. Neurol. 2022, 29, 358–371. [Google Scholar] [CrossRef]
- Dohle, C.; Pullen, J.; Nakaten, A.; Kust, J.; Rietz, C.; Karbe, H. Mirror therapy promotes recovery from severe hemiparesis: A randomized controlled trial. Neurorehabil. Neural Repair. 2009, 23, 209–217. [Google Scholar] [CrossRef]
- Pandian, J.D.; Arora, R.; Kaur, P.; Sharma, D.; Vishwambaran, D.K.; Arima, H. Mirror therapy in unilateral neglect after stroke (MUST trial): A randomized controlled trial. Neurology 2014, 83, 1012–1017. [Google Scholar] [CrossRef]
- Thieme, H.; Morkisch, N.; Mehrholz, J.; Pohl, M.; Behrens, J.; Borgetto, B.; Dohle, C. Mirror therapy for improving motor function after stroke (Review). Cochrane Database Syst. Rev. 2018, 7, Cd008449. [Google Scholar] [CrossRef]
- Zhang, J.; Fong, K.N.K.; Welage, N.; Liu, K.P.Y. The activation of the mirror neuron system during action observation and action execution with mirror visual feedback in stroke: A systematic review. Neural Plast. 2018, 2018, 2321045. [Google Scholar] [CrossRef]
- Appelros, P.; Nydevik, I.; Karlsson, G.M.; Thorwalls, A.; Seiger, A. Recovery from unilateral neglect after right-hemisphere stroke. Disabil. Rehabil. 2004, 26, 471–477. [Google Scholar] [CrossRef]
- Walz, A.D.; Doppl, K.; Kaza, E.; Roschka, S.; Platz, T.; Lotze, M. Changes in cortical, cerebellar and basal ganglia representation after comprehensive long term unilateral hand motor training. Behav. Brain Res. 2015, 278, 393–403. [Google Scholar] [CrossRef]
- Wilson, B.; Cockburn, J.; Halligan, P. Behavioural Inattention Test Manual; Thames Valley Test Company: Suffolk, UK, 1987. [Google Scholar]
- World Health Organization. Consultation on the Development of Standards for Characterization of Vision Loss and Visual Functioning; World Health Organization: Geneva, Switzerland, 2003. [Google Scholar]
- Wilson, D.J.; Baker, L.L.; Craddock, J.A. Functional test for the hemiparetic upper extremity. Am. J. Occup. Ther. 1984, 38, 159–164. [Google Scholar] [CrossRef]
- Chiu, H.F.K.; Lee, H.C.; Chung, W.S.; Kwong, P.K.; Kee, H.C. Reliability and validity of the Cantonese version of mini-mental state examination: A preliminary study. J. Hong Kong Coll. Psychiatry 1994, 4, 25–28. [Google Scholar]
- Bohannon, R.W.; Smith, M.B. Interrater reliability of a modified Ashworth scale of muscle spasticity. Phys. Ther. 1987, 67, 206–207. [Google Scholar] [CrossRef] [PubMed]
- Toh, S.F.M.; Fong, K.N.K. Systematic review on the effectiveness of mirror therapy in training upper limb hemiparesis after stroke. Hong Kong J. Occup. Ther. 2012, 22, 84–95. [Google Scholar] [CrossRef]
- Fukumura, K.; Sugawara, K.; Tanabe, S.; Ushiba, J.; Tomita, Y. Influence of mirror therapy on human motor cortex. Int. J. Neurosci. 2007, 117, 1039–1048. [Google Scholar] [CrossRef] [PubMed]
- Watanabe, S.; Amimoto, K. Mirror approach for the patients with unilateral spatial neglect and mirror agnosia. J. Phys. Ther. Sci. 2007, 19, 73–76. [Google Scholar] [CrossRef][Green Version]
- Ota, H.; Fujii, T.; Suzuki, K.; Yamadori, A. Dissociation of body-centered and stimulus-centered representations in unilateral neglect. Neurology 2001, 57, 2064–2069. [Google Scholar] [CrossRef]
- Azouvi, P.; Olivier, S.; de Montety, G.; Samuel, C.; Louis-Dreyfus, A.; Tesio, L. Behavioral assessment of unilateral neglect: Study of the psychometric properties of the Catherine Bergego Scale. Arch. Phys. Med. Rehabil. 2003, 84, 51–57. [Google Scholar] [CrossRef]
- Duncan, P.W.; Propst, M.; Nelson, S.G. Reliability of the Fugl-Meyer Assessment of sensorimotor recovery following cerebrovascular accident. Phys. Ther. 1983, 63, 1606–1610. [Google Scholar] [CrossRef]
- Fugl-Meyer, A.R.; Jaasko, L.; Leyman, I.; Olsson, S.; Steglind, S. The post-stroke hemiplegic patient. 1.A method for evaluation of physical performance. Scand. J. Rehabil. Med. 1975, 7, 13–31. [Google Scholar]
- Fong, K.N.K.; Ting, K.H.; Zhang, J.J.Q.; Yau, C.S.F.; Li, L.S.W. Event-related desynchronization during mirror visual feedback: A comparison of older adults and people after stroke. Front. Hum. Neurosci. 2021, 15, 629592. [Google Scholar] [CrossRef]
- Zhang, J.; Fong, K. Effects of intermittent Theta Burst Stimulation combined with mirror visual feedback in healthy adults. Brain Stimul. 2019, 12, 451. [Google Scholar] [CrossRef]
- Moore, M.J.; Vancleef, K.; Shalev, N.; Husain, M.; Demeyere, N. When neglect is neglected: NIHSS observational measure lacks sensitivity in identifying post-stroke unilateral neglect. J. Neurol. Neurosurg. Psychiatry 2019, 90, 1070–1071. [Google Scholar] [CrossRef]
- Yang, Y.H.; Fong, K.N.K.; Li-Tsang, C.W.P.; Zhou, D. Effects of repetitive transcranial magnetic stimulation combined with sensory cueing on unilateral neglect in subacute patients with right hemispheric stroke: A randomized controlled study. Clin. Rehabil. 2017, 31, 1154–1163. [Google Scholar] [CrossRef]
- Fong, K.N.K.; Chan, M.K.L.; Ng, P.P.K.; Tsang, M.H.M.; Chow, K.K.Y.; Lau, C.W.L.; Chan, F.S.; Wong, I.P.; Chan, D.Y.; Chan, C.C. The effect of voluntary trunk rotation and half-field eye patching for patients with unilateral neglect in stroke: A randomized controlled trial. Clin. Rehabil. 2007, 21, 729–741. [Google Scholar] [CrossRef]



| Corresponding Levels in FTHUE 1 | Principles of Movement | Tasks Recommended # |
|---|---|---|
| 1–3 | 1. Range of motion exercise 2. Limb segments working together as functional synergy | 1. Elbow flexion and extension with hand in resting position 2. Forearm pronation with full fist |
| 3–4 | 1. Range of motion exercise 2. Limb segments working together as functional synergy | 1. Wrist flexion and extension with elbow support on table 2. Elbow flexion and extension with finger extension |
| 4–5 | 1. Individual limb segments control training 2. Grasp and release training | 1. Grasp and release (with cylindrical grasp) 2. Wrist circumduction with fingers in prayer position |
| 5–6 | 1. Individual finger movement 2. Grasp and release training | 1. Finger opposition 2. Grasp and release (with soft ball) |
| 6–7 | 1. Fine motor skills training 2. Endurance, speed, and coordination in arm use | 1. Pen shifting using fingers 2. Card translation between fingers |
| Variable | MVF | Sham 1 | Sham 2 | Between-Group Comparisons (p) |
|---|---|---|---|---|
| (n = 7) | (n = 7) | (n = 7) | ||
| Age (years) (mean, SD) | 63.86 (8.78) | 49.57 (12.46) | 61.86 (14.90) | 0.09 |
| Gender: Female (n, %) | 3 (42.9%) | 1 (14.3%) | 1 (14.3%) | 0.35 |
| Time after onset (days) (mean, SD) | 34.57 (35.68) | 89.29 (106.77) | 76.29 (54.14) | 0.354 |
| Type | ||||
| Ischemic (n, %) | 5 (71.4%) | 4 (57.1%) | 1 (14.3%) | 0.084 |
| Hemorrhagic (n, %) | 2 (28.6%) | 3 (42.9%) | 6 (85.7%) | |
| MMSE (mean, SD) | 19.00 (5.80) | 25.14 (4.18) | 20.00 (2.38) | 0.036 * |
| FTHUE levels (n, %) | ||||
| 1 | 5 (71.4) | 3 (42.9) | 5 (71.4) | 0.675 |
| 2 | 1 (14.3) | 2 (28.6) | 2 (28.6) | |
| 3 | 0 (0) | 1 (14.3) | 0 (0) | |
| 4 | 1 (14.3) | 1 (14.3) | 0 (0) |
| Descriptive Means (SD) | Time Effects | Group-by-Time Interaction Effects | ||||||||
|---|---|---|---|---|---|---|---|---|---|---|
| Pre | Post | FU | p | Comparisons | Δβ | 95% CI | p | |||
| BIT | Conventional total score | MVF | 60.29 (30.48) | 83.86 (35.15) | 93.00 (23.81) | 0.005 ** | 1, 2 | 0.36 | −14.78–15.50 | 0.961 |
| Sham 1 | 86.57 (43.70) | 106.71 (30.61) | 118.57 (28.27) | 0.005 ** | 1, 3 | 13.79 | −1.35–28.93 | 0.072 | ||
| Sham 2 | 58.86 (43.73) | 65.29 (37.41) | 64.00 (37.24) | 0.623 | ||||||
| Line crossing | MVF | 21.00 (10.13) | 25.29 (11.22) | 27.43 (7.74) | 0.003 ** | 1, 2 | 0.00 | −4.40–4.40 | 0.999 | |
| Sham 1 | 29.14 (11.41) | 33.00 (6.63) | 32.57 (6.53) | 0.003 ** | 1, 3 | 5.21 | 0.81–9.62 | 0.022 * | ||
| Sham 2 | 20.57 (13.77) | 19.71 (13.71) | 19.14 (13.69) | 0.850 | ||||||
| Letter cancellation | MVF | 9.00 (5.20) | 17.29 (10.14) | 18.86 (5.93) | 0.029 * | 1, 2 | 1.50 | −2.54–5.54 | 0.449 | |
| Sham 1 | 19.14 (12.13) | 24.86 (9.91) | 29.00 (9.97) | 0.226 | 1, 3 | 3.93 | −0.11–7.97 | 0.056 | ||
| Sham 2 | 11.29 (11.49) | 11.57 (11.57) | 10.71 (10.27) | −0.609 | ||||||
| Star cancellation | MVF | 27.57 (17.52) | 35.71 (18.18) | 39.86 (15.99) | 0.061 | 1, 2 | −1.64 | −10.77–7.48 | 0.712 | |
| Sham 1 | 31.71 (19.53) | 40.86 (13.25) | 47.29 (11.46) | 0.020 * | 1, 3 | 3.57 | 5.55–12.70 | 0.425 | ||
| Sham 2 | 22.85 (20.21) | 27.57 (19.84) | 28.00 (18.84) | 0.417 | ||||||
| Figure and shape copying | MVF | 0.43 (0.53) | 0.71 (0.76) | 0.86 (0.90) | 0.354 | 1, 2 | −0.14 | −0.81–0.52 | 0.659 | |
| Sham 1 | 1.43 (1.40) | 1.71 (1.89) | 2.14 (1.57) | 0.129 | 1, 3 | 0.14 | −0.52–0.81 | 0.659 | ||
| Sham 2 | 0.86 (0.90) | 1.14 (0.69) | 1.00 (0.82) | 0.775 | ||||||
| Line bisection | MVF | 1.86 (2.73) | 4.43 (2.57) | 5.14 (2.34) | 0.033 * | 1, 2 | 0.93 | −1.20–3.05 | 0.373 | |
| Sham 1 | 4.14 (3.02) | 5.00 (3.21) | 5.57 (3.36) | 0.334 | 1, 3 | 1.00 | −1.12–3.12 | 0.339 | ||
| Sham 2 | 3.00 (3.00) | 4.86 (3.98) | 4.29 (4.23) | 0.383 | ||||||
| Representative drawing | MVF | 0.43 (0.53) | 0.43 (0.53) | 0.86 (0.90) | 0.220 | 1, 2 | 0.07 | −0.43–0.57 | 0.768 | |
| Sham 1 | 0.86 (1.07) | 1.29 (0.95) | 1.14 (0.69) | 0.408 | 1, 3 | −0.07 | −0.57–0.43 | 0.768 | ||
| Sham 2 | 0.29 (0.49) | 0.43 (0.79) | 0.86 (0.90) | 0.106 | ||||||
| CBS | Total score | MVF | 13.77 (6.68) | 8.23 (7.58) | 8.58 (8.62) | 0.026 * | 1, 2 | 1.86 | −1.34–5.06 | 0.241 |
| Sham 1 | 15.17 (9.00) | 10.59 (5.06) | 6.26 (5.20) | 0.001 ** | 1, 3 | 0.05 | −3.15–3.25 | 0.974 | ||
| Sham 2 | 15.68 (9.45) | 11.78 (6.06) | 10.39 (5.60) | 0.024 * | ||||||
| GDT | Total crossed circle (left space) | MVF | 11.50 (14.59) | 16.86 (13.80) | 20.50 (10.95) | 0.023 * | 1, 2 | −0.07 | −5.47–5.33 | 0.978 |
| Sham 1 | 16.43 (14.11) | 25.93 (5.18) | 25.57 (5.67) | 0.021 * | 1, 3 | 4.61 | −0.79–10.01 | 0.091 | ||
| Sham 2 | 12.36 (11.95) | 12.50 (12.87) | 12.14 (13.75) | 0.954 | ||||||
| Total crossed circle (right space) | MVF | 21.36 (7.94) | 24.79 (8.56) | 26.14 (6.69) | 0.053 | 1, 2 | 0.07 | −3.37–3.51 | 0.966 | |
| Sham 1 | 23.71 (9.23) | 29.36 (0.24) | 28.36 (2.29) | 0.060 | 1, 3 | −0.04 | −3.47–3.40 | 0.983 | ||
| Sham 2 | 19.71 (10.43) | 23.00 (9.63) | 24.57 (9.03) | 0.050 * | ||||||
| Total crossed left−gap circle (left space) | MVF | 2.64 (3.42) | 4.79 (4.05) | 6.29 (3.41) | 0.003 ** | 1, 2 | 0.89 | −0.77–2.55 | 0.284 | |
| Sham 1 | 5.50 (4.73) | 8.57 (1.77) | 7.36 (3.74) | 0.118 | 1, 3 | 2.14 | 0.48–3.80 | 0.013 * | ||
| Sham 2 | 3.50 (3.49) | 2.57 (3.75) | 2.86 (3.77) | −0.583 | ||||||
| Total crossed left−gap circle (right space) | MVF | 3.71 (2.69) | 6.79 (3.17) | 6.86 (3.40) | 0.003 ** | 1, 2 | 1.00 | −0.45–2.45 | 0.173 | |
| Sham 1 | 7.00 (2.99) | 9.07 (0.79) | 8.14 (3.01) | 0.270 | 1, 3 | 1.14 | −0.30–2.59 | 0.120 | ||
| Sham 2 | 4.14 (3.97) | 3.86 (3.67) | 5.00 (3.12) | 0.407 | ||||||
| Total crossed right−gap circle (left | MVF | 3.71 (4.67) | 5.50 (4.23) | 6.57 (3.82) | 0.024 * | 1, 2 | 0.11 | −1.62–1.83 | 0.898 | |
| Sham 1 | 5.43 (4.64) | 8.43 (1.72) | 8.07 (2.75) | 0.035 * | 1, 3 | 1.71 | −0.01–3.44 | 0.051 | ||
| space) | Sham 2 | 4.43 (4.13) | 3.64 (3.99) | 3.86 (4.40) | 0.631 | |||||
| Total crossed right−gap circle (right space) | MVF | 5.29 (3.05) | 7.71 (3.01) | 7.93 (2.42) | 0.006 ** | 1, 2 | 0.46 | −0.81–1.74 | 0.456 | |
| Sham 1 | 7.50 (3.46) | 9.50 (0.58) | 9.21 (1.11) | 0.061 | 1, 3 | 0.79 | −0.49–2.06 | 0.213 | ||
| Sham 2 | 6.43 (3.43) | 6.86 (3.40) | 7.50 (3.07) | 0.229 | ||||||
| Total crossed triangle (left space) | MVF | 11.36 (14.40) | 20.21 (10.40) | 19.07 (10.44) | 0.038 * | 1, 2 | −1.32 | −6.46–3.81 | 0.598 | |
| Sham 1 | 14.36 (13.73) | 23.00 (8.18) | 24.71 (8.69) | 0.007 ** | 1, 3 | 3.04 | −2.10–8.17 | 0.233 | ||
| Sham 2 | 12.43 (13.07) | 12.71 (12.59) | 14.07 (13.66) | 0.643 | ||||||
| Total crossed triangle (right space) | MVF | 18.57 (9.41) | 25.36 (7.86) | 28.21 (2.16) | 0.003 ** | 1, 2 | 1.21 | −2.93–5.36 | 0.549 | |
| Sham 1 | 21.00 (9.28) | 29.21 (0.95) | 28.21 (2.90) | 0.018 * | 1, 3 | 2.93 | −1.21–7.07 | 0.156 | ||
| Sham 2 | 19.64 (11.47) | 23.14 (9.28) | 23.43 (9.57) | 0.193 | ||||||
| Total crossed left−gap triangle (left space) | MVF | 3.14 (4.30) | 5.50 (2.87) | 4.93 (2.86) | 0.162 | 1, 2 | −0.82 | −2.63–0.99 | 0.356 | |
| Sham 1 | 4.64 (4.51) | 7.29 (2.63) | 8.07 (2.85) | 0.011 * | 1, 3 | 0.68 | −1.13–2.49 | 0.444 | ||
| Sham 2 | 3.50 (3.52) | 3.29 (3.34) | 3.93 (3.98) | 0.731 | ||||||
| Total crossed left−gap triangle (right space) | MVF | 4.36 (3.02) | 7.07 (3.61) | 8.14 (1.35) | 0.001 ** | 1, 2 | 0.46 | −1.08–2.01 | 0.547 | |
| Sham 1 | 6.07 (3.89) | 9.36 (0.75) | 8.93 (1.79) | 0.012 * | 1, 3 | 2.07 | −0.52–3.62 | 0.010* | ||
| Sham 2 | 5.50 (4.40) | 5.07 (3.14) | 5.14 (3.47) | 0.743 | ||||||
| Total crossed right−gap triangle (left space) | MVF | 3.29 (4.24) | 6.64 (3.13) | 5.86 (3.47) | 0.030 * | 1, 2 | −0.50 | −2.13–1.13 | 0.529 | |
| Sham 1 | 4.21 (4.60) | 7.50 (2.94) | 7.79 (3.15) | 0.004 ** | 1, 3 | 1.36 | −0.27–2.98 | 0.097 | ||
| Sham 2 | 4.43 (4.42) | 3.93 (4.13) | 4.29 (4.39) | 0.898 | ||||||
| Total crossed right−gap triangle (right space) | MVF | 5.79 (3.20) | 7.71 (2.71) | 8.07 (3.22) | 0.047 * | 1, 2 | −0.36 | −1.95–1.24 | 0.646 | |
| Sham 1 | 6.29 (3.83) | 9.43 (0.61) | 9.29 (0.64) | 0.011 * | 1, 3 | 0.40 | −2.00–1.20 | 0.613 | ||
| Sham 2 | 6.21 (3.91) | 7.57 (3.47) | 7.71 (3.39) | 0.181 | ||||||
| FMA | Total score | MVF | 8.71 (10.00) | 16.43 (18.41) | 19.14 (20.34) | 0.017 * | 1, 2 | 1.57 | −4.37–7.51 | 0.588 |
| Sham 1 | 11.71 (13.43) | 15.14 (17.07) | 19.00 (22.00) | 0.085 | 1, 3 | 4.29 | −1.65–10.22 | 0.148 | ||
| Sham 2 | 9.14 (8.34) | 10.00 (8.19) | 11.00 (8.72) | 0.650 | ||||||
| Upper extremity subscore | MVF | 7.57 (8.58) | 11.85 (10.79) | 14.00 (12.19) | 0.013 * | 1, 2 | 1.29 | −2.20–4.78 | 0.452 | |
| Sham 1 | 9.00 (9.18) | 11.29 (10.58) | 12.86 (11.61) | 0.119 | 1, 3 | 2.57 | −0.92–6.06 | 0.140 | ||
| Sham 2 | 7.43 (4.89) | 8.14 (4.67) | 8.71 (5.00) | 0.594 | ||||||
| Hand subscore | MVF | 1.14 (1.95) | 4.57 (7.81) | 5.14 (8.86) | 0.067 | 1, 2 | 0.29 | −2.76–3.33 | 0.847 | |
| Sham 1 | 2.71 (4.35) | 3.86 (6.64) | 6.14 (10.49) | 0.112 | 1, 3 | 1.71 | −1.33–4.76 | 0.254 | ||
| Sham 2 | 1.71 (3.73) | 1.86 (3.76) | 2.29 (4.07) | 0.785 | ||||||
Disclaimer/Publisher’s Note: The statements, opinions and data contained in all publications are solely those of the individual author(s) and contributor(s) and not of MDPI and/or the editor(s). MDPI and/or the editor(s) disclaim responsibility for any injury to people or property resulting from any ideas, methods, instructions or products referred to in the content. |
© 2022 by the authors. Licensee MDPI, Basel, Switzerland. This article is an open access article distributed under the terms and conditions of the Creative Commons Attribution (CC BY) license (https://creativecommons.org/licenses/by/4.0/).
Share and Cite
Fong, K.N.K.; Ting, K.H.; Zhang, X.; Yau, C.S.F.; Li, L.S.W. The Effect of Mirror Visual Feedback on Spatial Neglect for Patients after Stroke: A Preliminary Randomized Controlled Trial. Brain Sci. 2023, 13, 3. https://doi.org/10.3390/brainsci13010003
Fong KNK, Ting KH, Zhang X, Yau CSF, Li LSW. The Effect of Mirror Visual Feedback on Spatial Neglect for Patients after Stroke: A Preliminary Randomized Controlled Trial. Brain Sciences. 2023; 13(1):3. https://doi.org/10.3390/brainsci13010003
Chicago/Turabian StyleFong, Kenneth N. K., K. H. Ting, Xinfei Zhang, Christina S. F. Yau, and Leonard S. W. Li. 2023. "The Effect of Mirror Visual Feedback on Spatial Neglect for Patients after Stroke: A Preliminary Randomized Controlled Trial" Brain Sciences 13, no. 1: 3. https://doi.org/10.3390/brainsci13010003
APA StyleFong, K. N. K., Ting, K. H., Zhang, X., Yau, C. S. F., & Li, L. S. W. (2023). The Effect of Mirror Visual Feedback on Spatial Neglect for Patients after Stroke: A Preliminary Randomized Controlled Trial. Brain Sciences, 13(1), 3. https://doi.org/10.3390/brainsci13010003

