Concordance of Alzheimer’s Disease Subtypes Produced from Different Representative Morphological Measures: A Comparative Study
Abstract
:1. Introduction
2. Materials and Methods
2.1. Subjects and MRI Processing
2.2. Definition of AD Subtypes
2.3. Statistical Analysis
3. Results
3.1. Subtypes Definition and Matching
3.2. GM Density Map between Matched Subtypes
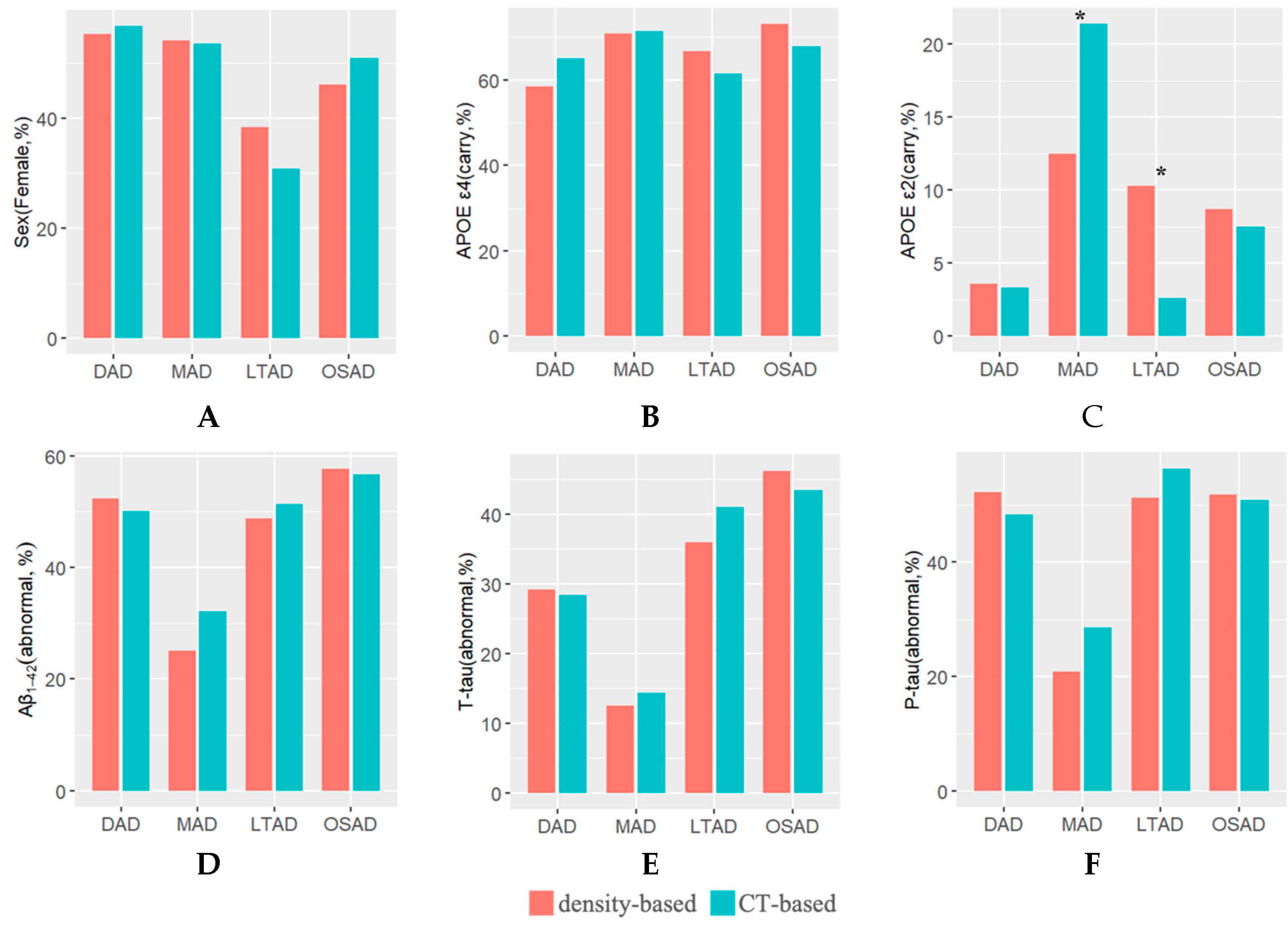
3.3. Cognitive and Neuropathological Characteristics between Matched Subtypes
4. Discussion
5. Conclusions
Author Contributions
Funding
Institutional Review Board Statement
Informed Consent Statement
Data Availability Statement
Acknowledgments
Conflicts of Interest
Abbreviations
| AAL | Automated anatomical atlas | LAN | Language ability |
| ACC | Cross-validated accuracy | LTAD | left temporal dominant atrophy AD subtype |
| AD | Alzheimer’s disease | MAD | Minimal atrophy AD subtype |
| ADAS-Cog | AD assessment scale-cognitive subscale | MEM | Memory ability |
| ADNI | AD Neuroimaging Initiative | MMSE | Mini-Mental State Examination |
| ANOVA | Analysis of variance | MOE | Mixture of experts |
| APOE | Apolipoprotein E | MRI | Magnetic resonance imaging |
| Aβ1-42 | Beta-amyloid 1-42 | MTL | Medial temporal lobe |
| BPC | Bezdek partition coefficient | NFTs | Neurofibrillary tangles |
| CDRSB | Clinical dementia rating scale-sum of boxes | OSAD | Occipital sparing AD subtype |
| CN | Cognitive normal subjects | P-tau | Phosphorylated tau |
| CT | Cortical thickness | ROI | Region-of-interest |
| CSF | Cerebrospinal fluid | SPM | Statistical parametric mapping |
| DAD | Diffuse atrophy AD subtype | SVM | Support vector machines |
| EF | Executive function | T-tau | Total tau |
| FCM | Fuzzy C-Means | VBM | Voxel-based morphometry |
| GM | Gray matter | VS | Visuospatial ability |
| ICV | Intracranial volume | Wr | Maximum pair-wise inner-product |
References
- Braak, H.; Braak, E. Neuropathological stageing of Alzheimer-related changes. Acta Neuropathol. 1991, 82, 239–259. [Google Scholar] [CrossRef] [PubMed]
- Murray, M.E.; Graff-Radford, N.R.; Ross, O.A.; Petersen, R.C.; Duara, R.; Dickson, D.W. Neuropathologically defined subtypes of Alzheimer’s disease with distinct clinical characteristics: A retrospective study. Lancet Neurol. 2011, 10, 785–796. [Google Scholar] [CrossRef] [Green Version]
- Ferreira, D.; Nordberg, A.; Westman, E. Biological subtypes of Alzheimer disease. Neurology 2020, 94, 436–448. [Google Scholar] [CrossRef] [PubMed] [Green Version]
- Pelkmans, W.; Ossenkoppele, R.; Dicks, E.; Strandberg, O.; Barkhof, F.; Tijms, B.M.; Pereira, J.B.; Hansson, O. Tau-related grey matter network breakdown across the Alzheimer’s disease continuum. Alzheimer’s Res. Ther. 2021, 13, 138. [Google Scholar] [CrossRef]
- Zhang, B.; Lin, L.; Wu, S. A Review of Brain Atrophy Subtypes Definition and Analysis for Alzheimer’s Disease Heterogeneity Studies. J. Alzheimer’s Dis. 2021, 80, 1339–1352. [Google Scholar] [CrossRef]
- Jellinger, K.A. Recent update on the heterogeneity of the Alzheimer’s disease spectrum. J. Neural Transm. 2022, 129, 1–24. [Google Scholar] [CrossRef]
- Hwang, J.; Kim, C.M.; Jeon, S.; Lee, J.M.; Hong, Y.J.; Roh, J.H.; Lee, J.-H.; Koh, J.-Y.; Na, D.L. Prediction of Alzheimer’s disease pathophysiology based on cortical thickness patterns. Alzheimer’s Dement. 2016, 2, 58–67. [Google Scholar] [CrossRef] [Green Version]
- Groot, C.; Grothe, M.J.; Mukherjee, S.; Jelistratova, I.; Jansen, I.; van Loenhoud, A.C.; Risacher, S.L.; Saykin, A.J.; Mac Donald, C.L.; Mez, J.; et al. Differential patterns of gray matter volumes and associated gene expression profiles in cognitively-defined Alzheimer’s disease subgroups. NeuroImage Clin. 2021, 30, 102660. [Google Scholar] [CrossRef]
- Ashburner, J.; Friston, K.J. Voxel-Based Morphometry—The Methods. NeuroImage 2000, 11, 805–821. [Google Scholar] [CrossRef] [Green Version]
- Fischl, B. FreeSurfer. NeuroImage 2012, 62, 774–781. [Google Scholar] [CrossRef] [Green Version]
- Busovaca, E.; Zimmerman, M.E.; Meier, I.B.; Griffith, E.Y.; Grieve, S.M.; Korgaonkar, M.S.; Williams, L.M.; Brickman, A.M. Is the Alzheimer’s disease cortical thickness signature a biological marker for memory? Br. Imaging Behav. 2016, 10, 517–523. [Google Scholar] [CrossRef] [PubMed]
- Desikan, R.S.; Ségonne, F.; Fischl, B.; Quinn, B.T.; Dickerson, B.C.; Blacker, D.; Buckner, R.L.; Dale, A.M.; Maguire, R.P.; Hyman, B.T.; et al. An automated labeling system for subdividing the human cerebral cortex on MRI scans into gyral based regions of interest. NeuroImage 2006, 31, 968–980. [Google Scholar] [CrossRef] [PubMed]
- Clerx, L.; Jacobs, H.I.; Burgmans, S.; Gronenschild, E.H.; Uylings, H.B.; Echávarri, C.; Visser, P.J.; Verhey, F.R.; Aalten, P. Sensitivity of different MRI-techniques to assess gray matter atrophy patterns in Alzheimer’s disease is region-specific. Curr. Alzheimer Res. 2013, 10, 940–951. [Google Scholar] [CrossRef] [PubMed]
- Tzourio-Mazoyer, N.; Landeau, B.; Papathanassiou, D.; Crivello, F.; Etard, O.; Delcroix, N.; Mazoyer, B.; Joliot, M. Automated Anatomical Labeling of Activations in SPM Using a Macroscopic Anatomical Parcellation of the MNI MRI Single-Subject Brain. NeuroImage 2002, 15, 273–289. [Google Scholar] [CrossRef] [PubMed]
- Sun, N.; Mormino, E.C.; Chen, J.; Sabuncu, M.R.; Yeo, B.T.T. Multi-modal latent factor exploration of atrophy, cognitive and tau heterogeneity in Alzheimer’s disease. NeuroImage 2019, 201, 116043. [Google Scholar] [CrossRef] [PubMed] [Green Version]
- Zhang, X.; Mormino, E.C.; Sun, N.; Sperling, R.A.; Sabuncu, M.R.; Yeo, B.T.T.; Alzheimer’s Disease Neuroimaging Initiative. Bayesian model reveals latent atrophy factors with dissociable cognitive trajectories in Alzheimer’s disease. Proc. Natl. Acad. Sci. USA 2016, 113, E6535–E6544. [Google Scholar] [CrossRef] [Green Version]
- ten Kate, M.; Dicks, E.; Visser, P.J.; van der Flier, W.M.; Teunissen, C.E.; Barkhof, F.; Scheltens, P.; Tijms, B.M.; Initiative, A.s.D.N. Atrophy subtypes in prodromal Alzheimer’s disease are associated with cognitive decline. Brain 2018, 141, 3443–3456. [Google Scholar] [CrossRef]
- Kong, L.; Herold, C.J.; Zöllner, F.; Salat, D.H.; Lässer, M.M.; Schmid, L.A.; Fellhauer, I.; Thomann, P.A.; Essig, M.; Schad, L.R.; et al. Comparison of grey matter volume and thickness for analysing cortical changes in chronic schizophrenia: A matter of surface area, grey/white matter intensity contrast, and curvature. Psychiatry Res. 2015, 231, 176–183. [Google Scholar] [CrossRef]
- Zhang, B.; Lin, L.; Wu, S.; Al-Masqari, Z.H.M.A. Multiple Subtypes of Alzheimer’s Disease Base on Brain Atrophy Pattern. Br. Sci. 2021, 11, 278. [Google Scholar] [CrossRef] [PubMed]
- Petersen, R.C.; Aisen, P.S.; Beckett, L.A.; Donohue, M.C.; Gamst, A.C.; Harvey, D.J.; Jack, C.R.; Jagust, W.J.; Shaw, L.M.; Toga, A.W.; et al. Alzheimer’s Disease Neuroimaging Initiative (ADNI). Clin. Charact. 2010, 74, 201–209. [Google Scholar] [CrossRef] [Green Version]
- Jack, C.R., Jr.; Bernstein, M.A.; Fox, N.C.; Thompson, P.; Alexander, G.; Harvey, D.; Borowski, B.; Britson, P.J.; Whitwell, J.L.; Ward, C.; et al. The Alzheimer’s Disease Neuroimaging Initiative (ADNI): MRI methods. J. Magn. Reson. Imaging 2008, 27, 685–691. [Google Scholar] [CrossRef] [PubMed] [Green Version]
- Eavani, H.; Hsieh, M.K.; An, Y.; Erus, G.; Beason-Held, L.; Resnick, S.; Davatzikos, C. Capturing heterogeneous group differences using mixture-of-experts: Application to a study of aging. NeuroImage 2016, 125, 498–514. [Google Scholar] [CrossRef] [PubMed] [Green Version]
- Bezdek, J.C.; Ehrlich, R.; Full, W. FCM: The fuzzy c-means clustering algorithm. Comput. Geosci. 1984, 10, 191–203. [Google Scholar] [CrossRef]
- Crane, P.K.; Carle, A.; Gibbons, L.E.; Insel, P.; Mackin, R.S.; Gross, A.; Jones, R.N.; Mukherjee, S.; Curtis, S.M.; Harvey, D.; et al. Development and assessment of a composite score for memory in the Alzheimer’s Disease Neuroimaging Initiative (ADNI). Br. Imaging Behav. 2012, 6, 502–516. [Google Scholar] [CrossRef] [Green Version]
- Choi, S.E.; Mukherjee, S.; Gibbons, L.E.; Sanders, R.E.; Jones, R.N.; Tommet, D.; Mez, J.; Trittschuh, E.H.; Saykin, A.; Lamar, M.; et al. Development and validation of language and visuospatial composite scores in ADNI. Alzheimer’s Dement. (N. Y.) 2020, 6, e12072. [Google Scholar] [CrossRef]
- Shaw, L.M.; Vanderstichele, H.; Knapik-Czajka, M.; Figurski, M.; Coart, E.; Blennow, K.; Soares, H.; Simon, A.J.; Lewczuk, P.; Dean, R.A.; et al. Qualification of the analytical and clinical performance of CSF biomarker analyses in ADNI. Acta Neuropathol. 2011, 121, 597–609. [Google Scholar] [CrossRef] [Green Version]
- Shaw, L.M.; Vanderstichele, H.; Knapik-Czajka, M.; Clark, C.M.; Aisen, P.S.; Petersen, R.C.; Blennow, K.; Soares, H.; Simon, A.; Lewczuk, P.; et al. Cerebrospinal fluid biomarker signature in Alzheimer’s disease neuroimaging initiative subjects. Ann. Neurol. 2009, 65, 403–413. [Google Scholar] [CrossRef] [Green Version]
- Whitwell, J.L.; Dickson, D.W.; Murray, M.E.; Weigand, S.D.; Tosakulwong, N.; Senjem, M.L.; Knopman, D.S.; Boeve, B.F.; Parisi, J.E.; Petersen, R.C.; et al. Neuroimaging correlates of pathologically defined subtypes of Alzheimer’s disease: A case-control study. Lancet Neurol. 2012, 11, 868–877. [Google Scholar] [CrossRef] [Green Version]
- Guo, X.; Chen, K.; Zhang, Y.; Wang, Y.; Yao, L. Regional covariance patterns of gray matter alterations in Alzheimer’s disease and its replicability evaluation. J. Magn. Reson. Imaging 2014, 39, 143–149. [Google Scholar] [CrossRef] [Green Version]
- Lin, L.; Wu, S. Applying spatial covariance modeling on cortical thickness measurement. In Proceedings of the 2012 5th International Conference on BioMedical Engineering and Informatics, Chongqing, China, 16–18 October 2012; pp. 209–211. [Google Scholar]
- Seeley, W.W.; Crawford, R.K.; Zhou, J.; Miller, B.L.; Greicius, M.D. Neurodegenerative Diseases Target Large-Scale Human Brain Networks. Neuron 2009, 62, 42–52. [Google Scholar] [CrossRef] [Green Version]
- Lois, C.; Gonzalez, I.; Johnson, K.A.; Price, J.C. PET imaging of tau protein targets: A methodology perspective. Br. Imaging Behav. 2019, 13, 333–344. [Google Scholar] [CrossRef] [PubMed]
- Piccini, A.; Russo, C.; Gliozzi, A.; Relini, A.; Vitali, A.; Borghi, R.; Giliberto, L.; Armirotti, A.; D’Arrigo, C.; Bachi, A.; et al. Beta-amyloid is different in normal aging and in Alzheimer disease. J. Biol. Chem. 2005, 280, 34186–34192. [Google Scholar] [CrossRef] [Green Version]
- Oh, H.; Habeck, C.; Madison, C.; Jagust, W. Covarying alterations in Aβ deposition, glucose metabolism, and gray matter volume in cognitively normal elderly. Hum. Br. Mapp. 2014, 35, 297–308. [Google Scholar] [CrossRef] [PubMed] [Green Version]
- Schroeder, C.; Park, M.T.M.; Germann, J.; Chakravarty, M.M.; Michels, L.; Kollias, S.; Kroll, S.L.; Buck, A.; Treyer, V.; Savaskan, E.; et al. Hippocampal shape alterations are associated with regional Aβ load in cognitively normal elderly individuals. Eur. J. Neurosci. 2017, 45, 1241–1251. [Google Scholar] [CrossRef] [PubMed] [Green Version]
- Iaccarino, L.; La Joie, R.; Edwards, L.; Strom, A.; Schonhaut, D.R.; Ossenkoppele, R.; Pham, J.; Mellinger, T.; Janabi, M.; Baker, S.L.; et al. Spatial Relationships between Molecular Pathology and Neurodegeneration in the Alzheimer’s Disease Continuum. Cereb. Cortex 2021, 31, 1–14. [Google Scholar] [CrossRef] [PubMed]
- Lin, L.; Zhang, G.; Zhang, B.; Wu, S. Understanding the role of APOE Gene Polymorphisms in Minimal Atrophy Alzheimer’s Disease by mixture of expert models. In Proceedings of the 2021 International Conference on Environmental and Engineering Management (EEM 2021), Changsha, China, 23–25 April 2021; Volume 253. [Google Scholar] [CrossRef]
- Ferreira, D.; Shams, S.; Cavallin, L.; Viitanen, M.; Martola, J.; Granberg, T.; Shams, M.; Aspelin, P.; Kristoffersen-Wiberg, M.; Nordberg, A.; et al. The contribution of small vessel disease to subtypes of Alzheimer’s disease: A study on cerebrospinal fluid and imaging biomarkers. Neurobiol. Aging 2018, 70, 18–29. [Google Scholar] [CrossRef] [PubMed]
- Poulakis, K.; Pereira, J.B.; Mecocci, P.; Vellas, B.; Tsolaki, M.; Kłoszewska, I.; Soininen, H.; Lovestone, S.; Simmons, A.; Wahlund, L.-O.; et al. Heterogeneous patterns of brain atrophy in Alzheimer’s disease. Neurobiol. Aging 2018, 65, 98–108. [Google Scholar] [CrossRef] [Green Version]
- Byun, M.S.; Kim, S.E.; Park, J.; Yi, D.; Choe, Y.M.; Sohn, B.K.; Choi, H.J.; Baek, H.; Han, J.Y.; Woo, J.I.; et al. Heterogeneity of Regional Brain Atrophy Patterns Associated with Distinct Progression Rates in Alzheimer’s Disease. PLoS ONE 2015, 10, e0142756. [Google Scholar] [CrossRef] [PubMed]
- Persson, K.; Eldholm, R.S.; Barca, M.L.; Cavallin, L.; Ferreira, D.; Knapskog, A.-B.; Selbæk, G.; Brækhus, A.; Saltvedt, I.; Westman, E.; et al. MRI-assessed atrophy subtypes in Alzheimer’s disease and the cognitive reserve hypothesis. PLoS ONE 2017, 12, e0186595. [Google Scholar] [CrossRef] [PubMed] [Green Version]
- Dong, A.; Toledo, J.B.; Honnorat, N.; Doshi, J.; Varol, E.; Sotiras, A.; Wolk, D.; Trojanowski, J.Q.; Davatzikos, C.; Alzheimer’s Disease Neuroimaging Initiative. Heterogeneity of neuroanatomical patterns in prodromal Alzheimer’s disease: Links to cognition, progression and biomarkers. Brain 2016, 140, 735–747. [Google Scholar] [CrossRef] [PubMed] [Green Version]
- Roe, C.M.; Ances, B.M.; Head, D.; Babulal, G.M.; Stout, S.H.; Grant, E.A.; Hassenstab, J.; Xiong, C.; Holtzman, D.M.; Benzinger, T.L.S.; et al. Incident cognitive impairment: Longitudinal changes in molecular, structural and cognitive biomarkers. Brain 2018, 141, 3233–3248. [Google Scholar] [CrossRef] [PubMed] [Green Version]
- Nikitidou, E.; Khoonsari, P.E.; Shevchenko, G.; Ingelsson, M.; Kultima, K.; Erlandsson, A. Increased Release of Apolipoprotein E in Extracellular Vesicles Following Amyloid-β Protofibril Exposure of Neuroglial Co-Cultures. J. Alzheimer’s Dis. 2017, 60, 305–321. [Google Scholar] [CrossRef] [PubMed] [Green Version]
- Suri, S.; Heise, V.; Trachtenberg, A.J.; Mackay, C.E. The forgotten APOE allele: A review of the evidence and suggested mechanisms for the protective effect of APOE ɛ2. Neurosci. Biobehav. Rev. 2013, 37, 2878–2886. [Google Scholar] [CrossRef] [PubMed]
- Shaw, P.; Lerch, J.P.; Pruessner, J.C.; Taylor, K.N.; Rose, A.B.; Greenstein, D.; Clasen, L.; Evans, A.; Rapoport, J.L.; Giedd, J.N. Cortical morphology in children and adolescents with different apolipoprotein E gene polymorphisms: An observational study. Lancet Neurol. 2007, 6, 494–500. [Google Scholar] [CrossRef]
- Chiang, G.C.; Insel, P.S.; Tosun, D.; Schuff, N.; Truran-Sacrey, D.; Raptentsetsang, S.T.; Jack, C.R.; Aisen, P.S.; Petersen, R.C.; Weiner, M.W.; et al. Hippocampal atrophy rates and CSF biomarkers in elderly APOE2 normal subjects. Neurology 2010, 75, 1976–1981. [Google Scholar] [CrossRef] [Green Version]
- Murphy, E.A.; Holland, D.; Donohue, M.; McEvoy, L.K.; Hagler, D.J., Jr.; Dale, A.M.; Brewer, J.B. Six-month atrophy in MTL structures is associated with subsequent memory decline in elderly controls. Neuroimage 2010, 53, 1310–1317. [Google Scholar] [CrossRef] [Green Version]
- Donix, M.; Burggren, A.C.; Scharf, M.; Marschner, K.; Suthana, N.A.; Siddarth, P.; Krupa, A.K.; Jones, M.; Martin-Harris, L.; Ercoli, L.M.; et al. APOE associated hemispheric asymmetry of entorhinal cortical thickness in aging and Alzheimer’s disease. Psychiatry Res. Neuroimaging 2013, 214, 212–220. [Google Scholar] [CrossRef] [Green Version]
- Smith, S.M.; Jenkinson, M.; Woolrich, M.W.; Beckmann, C.F.; Behrens, T.E.J.; Johansen-Berg, H.; Bannister, P.R.; De Luca, M.; Drobnjak, I.; Flitney, D.E.; et al. Advances in functional and structural MR image analysis and implementation as FSL. NeuroImage 2004, 23, S208–S219. [Google Scholar] [CrossRef] [Green Version]






| Method | Optimized Parameters | Evaluation Indicators | |||
|---|---|---|---|---|---|
| t | C | ACC (%) | BPC | Wr | |
| Density | 2 | 2−3 | 77.3 (4.4) | 0.82 (0.03) | 0.32 (0.44) |
| CT | 2−2 | 2−3 | 83.1 (4.8) | 0.63 (0.02) | 0.29 (0.07) |
| Subtype | Description | Demographic, Neuropsychological, and Neuropathology Characteristics |
|---|---|---|
| DAD | Extensive cortical and subcortical atrophy. | Severe and extensive deficits in all cognitive domains. Higher proportions of APOE ε4 carriers, higher levels of abnormal Aβ1-42 and P-tau. |
| MAD | With the least extent and amount of atrophy in cortical regions, but with sporadic atrophy in subcortical regions. | Good cognitive performance in all fields among the four subtypes. With higher APOE ε2 carriers, and the lowest levels of abnormal Aβ1-42, P-tau, and T-tau. |
| LTAD | Asymmetrical atrophy in the left temporal-parietal cortex. | A relatively low proportion of women, and a higher proportion of APOE ε2 carriers. |
| OSAD | Prominent atrophy in most of cortex and subcortex, except the occipital area. | The higher levels of abnormal Aβ1-42 and T-tau. |
Publisher’s Note: MDPI stays neutral with regard to jurisdictional claims in published maps and institutional affiliations. |
© 2022 by the authors. Licensee MDPI, Basel, Switzerland. This article is an open access article distributed under the terms and conditions of the Creative Commons Attribution (CC BY) license (https://creativecommons.org/licenses/by/4.0/).
Share and Cite
Zhang, B.; Lin, L.; Liu, L.; Shen, X.; Wu, S. Concordance of Alzheimer’s Disease Subtypes Produced from Different Representative Morphological Measures: A Comparative Study. Brain Sci. 2022, 12, 187. https://doi.org/10.3390/brainsci12020187
Zhang B, Lin L, Liu L, Shen X, Wu S. Concordance of Alzheimer’s Disease Subtypes Produced from Different Representative Morphological Measures: A Comparative Study. Brain Sciences. 2022; 12(2):187. https://doi.org/10.3390/brainsci12020187
Chicago/Turabian StyleZhang, Baiwen, Lan Lin, Lingyu Liu, Xiaoqi Shen, and Shuicai Wu. 2022. "Concordance of Alzheimer’s Disease Subtypes Produced from Different Representative Morphological Measures: A Comparative Study" Brain Sciences 12, no. 2: 187. https://doi.org/10.3390/brainsci12020187
APA StyleZhang, B., Lin, L., Liu, L., Shen, X., & Wu, S. (2022). Concordance of Alzheimer’s Disease Subtypes Produced from Different Representative Morphological Measures: A Comparative Study. Brain Sciences, 12(2), 187. https://doi.org/10.3390/brainsci12020187

