Multi-Modal Feature Selection with Feature Correlation and Feature Structure Fusion for MCI and AD Classification
Abstract
:1. Introduction
2. Materials and Methods
2.1. Research Framework
2.2. Data Acquisition and Preprocessing
2.3. Joint Feature Learning with Low-Rank Constraint
2.4. Feature Correlation and Feature Structure Regularization
2.5. Multi-Modal Feature Selection
2.6. Classification and Evaluation Measures
3. Results
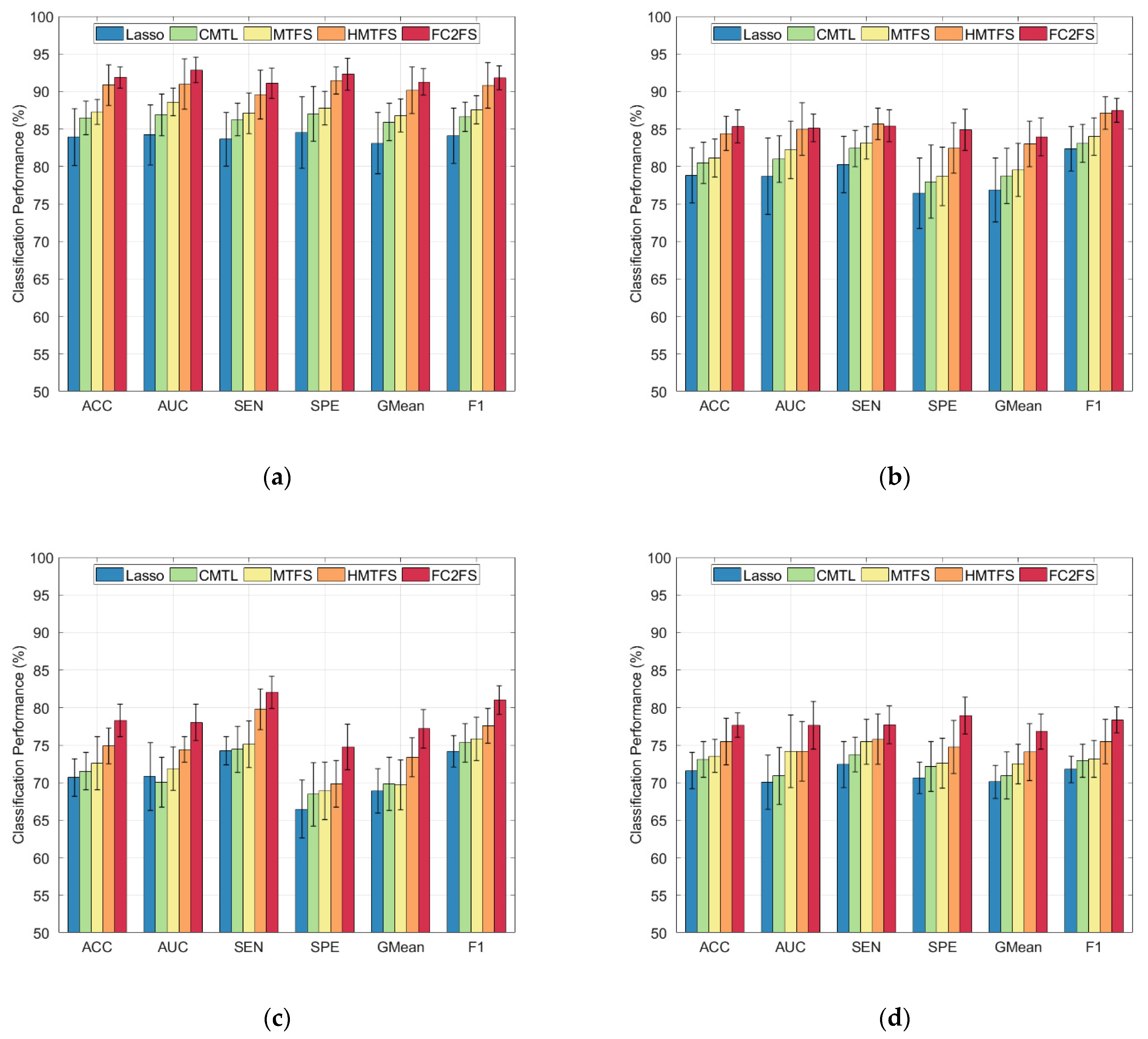
3.1. Classification Performance
3.2. Parameter Sensitivity and Correlation Analysis
3.2.1. The Influence of Fusion Coefficient on Classification Accuracy
3.2.2. Effects of Regularization Parameters on Classification Performance
3.2.3. The Influence of Correlation Coefficient Calculation Methods on Classification Performance
3.3. Discriminative Brain Regions
4. Discussion
5. Conclusions
Author Contributions
Funding
Institutional Review Board Statement
Informed Consent Statement
Acknowledgments
Conflicts of Interest
References
- Kalaria, R.N.; Maestre, G.E.; Arizaga, R.; Friedland, R.P.; Group TWFND. Alzheimer’s disease and vascular dementia in developing countries: Prevalence, management, and risk factors. Lancet Neurol. 2008, 7, 812–826. [Google Scholar] [CrossRef] [Green Version]
- Zhang, D.Q.; Shen, D.G. Multi-modal multi-task learning for joint prediction of multiple regression and classification variables in Alzheimer’s disease. NeuroImage 2012, 59, 895–907. [Google Scholar] [CrossRef] [Green Version]
- Li, Y.; Liu, J.Y.; Gao, X.Q.; Jie, B.; Minjeong, K.; Yap, P.T.; Wee, C.Y.; Shen, D.G. Multimodal hyper-connectivity of functional networks using functionally-weighted LASSO for MCI classification. Med. Image Anal. 2019, 52, 80–96. [Google Scholar] [CrossRef]
- Zhang, Y.D. Detection of subjects and brain regions related to Alzheimer’s disease using 3D MRI scans based on eigenbrain and machine learning. Front. Comput. Neurosci. 2015, 9, 66. [Google Scholar] [CrossRef] [Green Version]
- Dukart, J.; Kherif, F.; Mueller, K.; Adaszewski, S.; Schroeter, M.L.; Frackowiak, R.S.; Draganski, B.; Alzheimer’s Disease Neuroimaging Initiative. Generative FDG-PET and MRI model of aging and disease progression in Alzheimer’s disease. PLoS Comput. Biol. 2013, 9, e1002987. [Google Scholar] [CrossRef] [PubMed] [Green Version]
- Wang, S.H. Detection of Alzheimer’s disease by three-dimensional displacement field estimation in structural magnetic resonance imaging. J. Alzheimer’s Dis. 2016, 50, 233–248. [Google Scholar] [CrossRef] [PubMed]
- Zhang, Y.D. Detection of Alzheimer’s disease and mild cognitive impairment based on structural volumetric MR images using 3D-DWT and WTA-KSVM trained by PSOTVAC. Biomed. Signal Process. Control. 2015, 21, 58–73. [Google Scholar] [CrossRef]
- Andrea, B.; Sun, X.D.; Bernd, B.; Jörg, R.; Michel, L. Benchmark for filter methods for feature selection in high-dimensional classification data. Comput. Stat. Data Anal. 2020, 143, 106839. [Google Scholar]
- Majdi, M.; Seyedali, M. Whale optimization approaches for wrapper feature selection. Appl. Soft Comput. 2018, 62, 441–453. [Google Scholar]
- Ji, Y.X.; Zhang, Y.T.; Shi, H.F.; Jiao, Z.Q.; Wang, S.H.; Wang, C. Constructing dynamic brain functional networks via hyper-graph manifold regularization for mild cognitive impairment classification. Front. Neurosci. 2021, 15, 358. [Google Scholar] [CrossRef] [PubMed]
- Wang, S.H. Single slice based detection for Alzheimer’s disease via wavelet entropy and multilayer perceptron trained by biogeography-based optimization. Multimed. Tools Appl. 2018, 77, 10393–10417. [Google Scholar] [CrossRef]
- Robert, T. Regression shrinkage and selection via the lasso. J. R. Stat. Soc. Ser. B Methodol. 1996, 58, 267–288. [Google Scholar]
- Wang, S.H. ADVIAN: Alzheimer’s disease VGG-inspired attention network based on convolutional block attention module and multiple way data augmentation. Front. Aging Neurosci. 2021, 13, 687456. [Google Scholar] [CrossRef]
- Saba, E.; Anya, M.; Wei, X. Prognosis and Diagnosis of Parkinson’s Disease Using Multi-Task Learning. In Proceedings of the 23rd ACM SIGKDD International Conference on Knowledge Discovery and Data Mining, Halifax, NS, Canada, 13–17 August 2017; pp. 1457–1466. [Google Scholar]
- Lei, B.Y.; Cheng, N.N.; Alejandro, F.F.; Tan, E.L.; Cao, J.W.; Yang, P.; Ahmed, E.; Du, J.; Xu, Y.W.; Wang, T.F. Self-calibrated brain network estimation and joint non-convex multi-task learning for identification of early Alzheimer’s disease. Med. Image Anal. 2020, 61, 101652. [Google Scholar] [CrossRef] [PubMed]
- Ma, Q.M.; Zhang, T.H.; Marcus, V.Z.; Shen, H.; Theodore, D.S.; Daniel, H.W.; Raquel, E.G.; Fan, Y.; Hu, D.W.; Geraldo, F.B. Classification of multi-site MR images in the presence of heterogeneity using multi-task learning. NeuroImage Clin. 2018, 19, 476–486. [Google Scholar] [CrossRef] [PubMed]
- Jie, B.; Zhang, D.Q.; Cheng, B.; Shen, D.G. Manifold Regularized Multi-Task Feature Selection for Multi-Modality Classification in Alzheimer’s Disease. In Proceedings of the International Conference on Medical Image Computing and Computer-Assisted Intervention, Nagoya, Japan, 22–26 September 2013; pp. 275–283. [Google Scholar]
- Shao, W.; Peng, Y.; Zu, C.; Wang, M.L.; Zhang, D.Q.; Alzheimer’s Disease Neuroimaging Initiative. Hypergraph based multi-task feature selection for multimodal classification of Alzheimer’s disease. Comput. Med Imaging Graph. 2020, 80, 101663. [Google Scholar] [CrossRef] [PubMed]
- Dubois, B.; Feldman, H.H.; Jacova, C.; Dekosky, S.T.; Barberger-Gateau, P.; Cummings, J.; Delacourte, A.; Galasko, D.; Gauthier, S.; Jicha, G. Research criteria for the diagnosis of Alzheimer’s disease: Revising the NINCDS–ADRDA criteria. Lancet Neurol. 2007, 6, 734–746. [Google Scholar] [CrossRef]
- John, A.; Barnes, G.; Chen, C.C.; Jean, D.; Guillaume, F.; Karl, F.; Stefan, K.; James, K.; Vladimir, L.; Rosalyn, M. SPM12 Manual; Wellcome Trust Centre for Neuroimaging: London, UK, 2014; p. 2464. [Google Scholar]
- Nathalie, T.M.; Brigitte, L.; Dimitri, P.; Fabrice, C.; Olivier, E.; Nicolas, D.; Bernard, M.; Marc, J. Automated anatomical labeling of activations in SPM using a macroscopic anatomical parcellation of the MNI MRI single-subject brain. NeuroImage 2002, 15, 273–289. [Google Scholar]
- Alan, C.E.; Andrew, L.J.; Louis, C.; Sylvain, B. Brain templates and atlases. NeuroImage 2012, 62, 911–922. [Google Scholar]
- Zhang, Y.; Yang, Q. A survey on multi-task learning. IEEE Trans. Knowl. Data Eng. 2021, 1, 1. [Google Scholar] [CrossRef]
- Wang, S.; Chang, X.J.; Li, X.; Sheng, Q.Z.; Chen, W.T. Multi-task support vector machines for feature selection with shared knowledge discovery. Signal Process. 2016, 120, 746–753. [Google Scholar] [CrossRef]
- Carlo, C.; Dimitris, S.; Massimiliano, P. Reexamining low rank matrix factorization for trace norm regularization. arXiv 2017, arXiv:1706.08934. [Google Scholar]
- Nie, F.P.; Huang, H.; Ding, C. Low-Rank Matrix Recovery via Efficient Schatten P-Norm Minimization. In Proceedings of the Twenty-sixth AAAI Conference on Artificial Intelligence, Toronto, ON, Canada, 22–26 July 2012. [Google Scholar]
- Girish, C.; Ferat, S. A survey on feature selection methods. Comput. Electr. Eng. 2014, 40, 16–28. [Google Scholar]
- Huang, L.L.; Tang, J.; Chen, S.-B.; Ding, C.; Luo, B. An Efficient Algorithm for Feature Selection with Feature Correlation. In Proceedings of the International Conference on Intelligent Science and Intelligent Data Engineering, Nanjing, China, 15–17 October 2012; pp. 639–646. [Google Scholar]
- Benesty, J.; Chen, J.; Huang, Y.; Cohen, I. Pearson Correlation Coefficient, Noise Reduction in Speech Processing; Springer: Berlin/Heidelberg, Germany, 2009; pp. 1–4. [Google Scholar]
- Hauke, J.; Kossowski, T. Comparison of Values of Pearson’s and Spearman’s Correlation Coefficient on The Same Sets of Data; Wydział Nauk Geograficznych i Geologicznych Uniwersytetu im. Adama Mickiewicza: Poznań, Poland, 2011. [Google Scholar]
- Zhao, Y.; You, X.G.; Yu, S.J.; Xu, C.; Yuan, W.; Jing, X.Y.; Zhang, T.P.; Tao, D.C. Multi-view manifold learning with locality alignment. Pattern Recognit. 2018, 78, 154–166. [Google Scholar] [CrossRef]
- Wang, S.H. Alzheimer’s Disease Detection by Pseudo Zernike Moment and Linear Regression Classification. CNS Neurol. Disord. Drug Targets 2017, 16, 11–15. [Google Scholar] [CrossRef]
- Jiao, Z.Q.; Xia, Z.W.; Ming, X.L.; Cheng, C.; Wang, S.H. Multi-scale feature combination of brain functional network for eMCI classification. IEEE Access 2019, 7, 74263–74273. [Google Scholar] [CrossRef]
- Belkin, M.; Niyogi, P. Laplacian Eigenmaps and Spectral Techniques for Embedding and Clustering. Adv. Neural Inf. Process. Syst. 2001, 14, 585–591. [Google Scholar]
- Zhang, Y.D. Multivariate approach for Alzheimer’s disease detection using stationary wavelet entropy and predator-prey particle swarm optimization. J. Alzheimer’s Dis. 2018, 65, 855–869. [Google Scholar] [CrossRef]
- Lorenzo, R.; Silvia, V.; Bang Công, V. Convergence of stochastic proximal gradient algorithm. arXiv 2014, arXiv:1403.5074. [Google Scholar]
- Bamdev, M.; Gilles, M.; Francis, B.; Rodolphe, S. Low-rank optimization with trace norm penalty. SIAM J. Optim. 2013, 23, 2124–2149. [Google Scholar]
- Pong, T.K.; Tseng, P.; Ji, S.W.; Ye, J.P. Trace norm regularization: Reformulations, algorithms, and multi-task learning. SIAM J. Optim. 2010, 20, 3465–3489. [Google Scholar] [CrossRef] [Green Version]
- Zhang, Y.D. Classification of Alzheimer Disease Based on Structural Magnetic Resonance Imaging by Kernel Support Vector Machine Decision Tree. Prog. Electromagn. Res. Pier 2014, 144, 185–191. [Google Scholar] [CrossRef] [Green Version]
- Jiao, Z.Q.; Ji, Y.X.; Gao, P.; Wang, S.H. Extraction and analysis of brain functional statuses for early mild cognitive impairment using variational auto-encoder. J. Ambient. Intell. Humaniz. Comput. 2020. prepublish. [Google Scholar] [CrossRef]
- Jiao, Z.Q.; Ji, Y.X.; Jiao, T.X.; Wang, S.H. Extracting sub-networks from brain functional network using graph regularized nonnegative matrix factorization. Comput. Model. Eng. Sci. 2020, 123, 845–871. [Google Scholar] [CrossRef]
- Zhou, J.; Chen, J.; Ye, J. Clustered Multi-Task Learning Via Alternating Structure Optimization. Adv. Neural Inf. Process. Syst. 2011, 2011, 702. [Google Scholar] [PubMed]
- Qiao, L.S.; Chen, S.C.; Tan, X.Y. Sparsity preserving projections with applications to face recognition. Pattern Recognit. 2009, 43, 331–341. [Google Scholar] [CrossRef] [Green Version]
- Xia, M.R.; Wang, J.H.; He, Y. BrainNet Viewer: A network visualization tool for human brain connectomics. PLoS ONE 2013, 8, e68910. [Google Scholar]
- Jon, D.; Hojjat, A. Graph theory and brain connectivity in Alzheimer’s disease. Neuroscientist 2017, 23, 616–626. [Google Scholar]
- Bi, X.A.; Xu, Q.; Luo, X.H.; Sun, Q.; Wang, Z.G. Analysis of progression toward Alzheimer’s disease based on evolutionary weighted random support vector machine cluster. Front. Neurosci. 2018, 12, 716. [Google Scholar] [CrossRef] [PubMed] [Green Version]
- Liu, J.; Pan, Y.; Wu, F.X.; Wang, J.X. Enhancing the feature representation of multi-modal MRI data by combining multi-view information for MCI classification. Neurocomputing 2020, 400, 322–332. [Google Scholar] [CrossRef]
- Liu, X.Z.; Chen, W.; Tu, Y.H.; Hou, H.T.; Huang, X.Y.; Chen, X.L.; Guo, Z.W.; Bai, G.H.; Chen, W. The Abnormal functional connectivity between the hypothalamus and the temporal gyrus underlying depression in Alzheimer’s disease patients. Front. Aging Neurosci. 2018, 10, 37. [Google Scholar] [CrossRef] [PubMed]
- Lee, E.S.; Yoo, K.; Lee, Y.B.; Chung, J.; Lim, J.E.; Yoon, B.; Jeong, Y. Default Mode Network Functional Connectivity in Early and Late Mild Cognitive Impairment: Results from the Alzheimer’s Disease Neuroimaging Initiative. Alzheimer Dis. Assoc. Disord. 2016, 30, 289–296. [Google Scholar] [CrossRef] [Green Version]
- Le, G.; Kristian, S.F.; Otto, M.H.; Lan, L.; Lasse, A.; Birgitte, B.A.; Eva, B.; Anne-Mette, H.; Peter, H.; Steen, G.H. A visual rating scale for cingulate island sign on 18F-FDG-PET to differentiate dementia with Lewy bodies and Alzheimer’s disease. J. Neurol. Sci. 2020, 410, 116645. [Google Scholar]
- Li, C.X.; Li, Y.J.; Zheng, L.; Zhu, X.Q.; Shao, B.X.; Fan, G.; Liu, T.; Wang, J.; Alzheimer’s Disease Neuroimaging Initiative. Abnormal brain network connectivity in a triple-network model of Alzheimer’s disease. J. Alzheimer’s Dis. 2019, 69, 237–252. [Google Scholar] [CrossRef]
- Bailly, M.; Destrieux, C.; Hommet, C.; Mondon, K.; Cottier, J.P.; Beaufils, E.; Vierron, E.; Vercouillie, J.; Ibazizene, M.; Voisin, T. Precuneus and cingulate cortex atrophy and hypometabolism in patients with Alzheimer’s disease and mild cognitive impairment: MRI and 18F-FDG PET quantitative analysis using FreeSurfer. BioMed Res. Int. 2015, 2015, 583931. [Google Scholar] [CrossRef] [PubMed] [Green Version]
- Cai, S.P.; Huang, L.Y.; Zou, J.; Jing, L.L.; Zhai, B.Z.; Ji, G.J.; Von Deneen, K.M.; Ren, J.C.; Ren, A.; Alzheimer’s Disease Neuroimaging Initiative. Changes in thalamic connectivity in the early and late stages of amnestic mild cognitive impairment: A resting-state functional magnetic resonance study from ADNI. PLoS ONE 2015, 10, e0115573. [Google Scholar] [CrossRef] [PubMed]
- Salvatore, C.; Cerasa, A.; Castiglioni, I. MRI characterizes the progressive course of AD and predicts conversion to Alzheimer’s dementia 24 months before probable diagnosis. Front. Aging Neurosci. 2018, 10, 135. [Google Scholar] [CrossRef] [PubMed] [Green Version]
- Katsel, P.; Roussos, P.; Beeri, M.; Gama-Sosa, M.; Gandy, S.; Khan, S.; Haroutunian, V. Parahippocampal gyrus expression of endothelial and insulin receptor signaling pathway genes is modulated by Alzheimer’s disease and normalized by treatment with anti-diabetic agents. PLoS ONE 2018, 13, e0206547. [Google Scholar] [CrossRef] [Green Version]
- Zhang, Y.; Zhang, H.; Chen, X.B.; Liu, M.X.; Zhu, X.F.; Lee, S.W.; Shen, D.G. Strength and similarity guided group-level brain functional network construction for MCI diagnosis. Pattern Recognit. 2019, 88, 421–430. [Google Scholar] [CrossRef]
- Chen, X.B.; Zhang, H.; Lee, S.W.; Shen, D.G. Hierarchical high-order functional connectivity networks and selective feature fusion for MCI classification. Neuroinformatics 2017, 15, 271–284. [Google Scholar] [CrossRef] [PubMed]
- Wu, L.Y.; Rowley, J.; Mohades, S.; Leuzy, A.; Dauar, M.T.; Shin, M.; Fonov, V.; Jia, J.P.; Gauthier, S.; Rosa-Neto, P. Dissociation between brain amyloid deposition and metabolism in early mild cognitive impairment. PLoS ONE 2012, 7, e47905. [Google Scholar] [CrossRef]
- Anna, L.; Islem, R. Joint pairing and structured mapping of convolutional brain morphological multiplexes for early dementia diagnosis. Brain Connect. 2019, 9, 22–36. [Google Scholar]
- Vasavada, M.M.; Wang, J.L.; Eslinger, P.J.; Gill, D.J.; Sun, X.Y.; Karunanayaka, P.; Yang, Q.X. Olfactory cortex degeneration in Alzheimer’s disease and mild cognitive impairment. J. Alzheimer’s Dis. 2015, 45, 947–958. [Google Scholar] [CrossRef] [PubMed]
- Pennanen, C.; Kivipelto, M.; Tuomainen, S.; Hartikainen, P.; Hänninen, T.; Laakso, M.P.; Hallikainen, M.; Vanhanen, M.; Nissinen, A.; Helkala, E.L. Hippocampus and entorhinal cortex in mild cognitive impairment and early AD. Neurobiol. Aging 2004, 25, 303–310. [Google Scholar] [CrossRef]
- Killiany, R.; Hyman, B.; Gomez-Isla, T.; Moss, M.; Kikinis, R.; Jolesz, F.; Tanzi, R.; Jones, K.; Albert, M. MRI measures of entorhinal cortex vs hippocampus in preclinical AD. Neurology 2002, 58, 1188–1196. [Google Scholar] [CrossRef] [PubMed]
- Lei, H.J.; Huang, Z.W.; Zhou, F.; Elazab, A.; Tan, E.L.; Li, H.C.; Qin, J.; Lei, B.Y. Parkinson’s disease diagnosis via joint learning from multiple modalities and relations. IEEE J. Biomed. Health Inform. 2018, 23, 1437–1449. [Google Scholar] [CrossRef]
- Crowe, M.; Andel, R.; Wadley, V.; Cook, S.; Unverzagt, F.; Marsiske, M. BallK.Subjective cognitive function and decline among older adults with psychometrically defined amnestic MCI. Int. J. Geriatr. Psychiatry A J. Psychiatry Late Life Allied Sci. 2006, 21, 1187–1192. [Google Scholar] [CrossRef] [Green Version]
- Fraser, K.C.; Lundholm Fors, K.; Eckerström, M.; Themistocleous, C.; Kokkinakis, D. Improving the Sensitivity and Specificity of MCI Screening with Linguistic Information. In Proceedings of the LREC Workshop: RaPID-2, Miyazaki, Japan, 8 May 2018. [Google Scholar]
- Yue, Z.; Wang, P.; Li, X.; Ren, J.; Wu, B. Abnormal brain functional networks in end-stage renal disease patients with cognitive impairment. Brain Behav. 2021, 11, e02076. [Google Scholar] [CrossRef]
- Lu, H.; Gu, Z.; Xing, W.; Han, S.; Wu, J.; Zhou, H.; Ding, J.; Zhang, J. Alterations of default mode functional connectivity in individuals with end-stage renal disease and mild cognitive impairment. BMC Nephrol. 2019, 20, 1–8. [Google Scholar] [CrossRef]
- Zhou, Z.H. Ensemble Learning, Machine Learning; Springer: Berlin/Heidelberg, Germany, 2021; pp. 181–210. [Google Scholar]






| Characteristic | Normal | EMCI | LMCI | AD |
|---|---|---|---|---|
| Number | 73 | 53 | 49 | 69 |
| Male/Female | 39/34 | 23/30 | 22/27 | 36/33 |
| Age (mean ± SD) | 75.9 ± 6.79 | 72.9 ± 7.6 | 73.1 ± 8.23 | 72.54 ± 6.12 |
| MMSE (mean ± SD) | 28.14 ± 1.21 | 27.1 ± 1.62 | 26.3 ± 2.1 | 22.54 ± 2.16 |
| Line No. | Optimization Algorithm of Loss Function |
|---|---|
| 1 | Input: represents the feature matrix of the i-th modality; represents the label corresponding to the i-th modality subjects. |
| 2 | Output: represents the weight matrix of the feature. |
| 3 | Normalize feature matrix and initialize , ; |
| 4 | Compute feature correlation matrix of i-th modality, and weighted average; |
| 5 | Weighted fusion of the feature matrix, and compute feature Laplacian matrix ; |
| 6 | Do |
| 7 | Compute SVD of ; |
| 8 | Update ; |
| 9 | Update ; |
| 10 | Update step length ; |
| 11 | While it reaches the maximum number of iterations or converges |
| Task | Methods | ACC (%) ±STD | AUC (%) ±STD | SEN (%) ±STD | SPE (%) ±STD | GMean (%) ±STD | F1 (%) ±STD |
|---|---|---|---|---|---|---|---|
| NC vs. AD | Lasso | 83.89 ± 3.80 | 84.18 ± 4.00 | 83.60 ± 3.55 | 84.50 ± 4.76 | 83.09 ± 4.06 | 84.08 ± 3.67 |
| CMTL | 86.44 ± 2.26 | 86.86 ± 2.79 | 86.24 ± 2.14 | 86.99 ± 3.62 | 85.91 ± 2.51 | 86.59 ± 1.98 | |
| MTFS | 87.28 ± 1.66 | 88.58 ± 1.87 | 87.09 ± 2.70 | 87.76 ± 2.26 | 86.75 ± 2.21 | 87.52 ± 1.88 | |
| HMTFS | 90.83 ± 2.72 | 90.96 ± 3.38 | 89.54 ± 3.24 | 91.45 ± 1.80 | 90.14 ± 3.12 | 90.78 ± 3.01 | |
| FC2FS | 91.85 ± 1.42 | 92.84 ± 1.69 | 91.07 ± 2.02 | 92.27 ± 2.12 | 91.23 ± 1.77 | 91.81 ± 1.59 | |
| NC vs. LMCI | Lasso | 78.81 ± 3.69 | 78.66 ± 5.09 | 80.24 ± 3.75 | 76.41 ± 4.71 | 76.85 ± 4.28 | 82.36 ± 2.97 |
| CMTL | 80.45 ± 2.72 | 80.96 ± 3.09 | 82.38 ± 2.40 | 77.96 ± 4.87 | 78.75 ± 3.68 | 83.09 ± 2.53 | |
| MTFS | 81.10 ± 2.55 | 82.20 ± 3.84 | 83.14 ± 2.18 | 78.65 ± 3.89 | 79.52 ± 3.51 | 83.96 ± 2.49 | |
| HMTFS | 84.39 ± 2.30 | 84.96 ± 3.52 | 85.65 ± 2.07 | 82.42 ± 3.36 | 83.00 ± 3.02 | 87.09 ± 2.17 | |
| FC2FS | 85.33 ± 2.22 | 85.11 ± 1.86 | 85.38 ± 2.13 | 84.85 ± 2.73 | 83.91 ± 2.55 | 87.45 ± 1.59 | |
| NC vs. EMCI | Lasso | 70.67 ± 2.47 | 70.81 ± 4.54 | 74.24 ± 1.91 | 66.47 ± 3.89 | 68.90 ± 2.96 | 74.18 ± 2.10 |
| CMTL | 71.52 ± 2.48 | 70.06 ± 3.34 | 74.44 ± 3.07 | 68.44 ± 4.21 | 69.82 ± 3.56 | 75.30 ± 2.56 | |
| MTFS | 72.56 ± 3.55 | 71.86 ± 2.86 | 75.10 ± 3.11 | 68.89 ± 3.83 | 69.69 ± 3.30 | 75.80 ± 2.89 | |
| HMTFS | 74.90 ± 2.41 | 74.41 ± 1.68 | 79.77 ± 2.72 | 69.86 ± 3.11 | 73.37 ± 2.61 | 77.56 ± 2.32 | |
| FC2FS | 78.29 ± 2.20 | 78.03 ± 2.41 | 82.02 ± 2.13 | 74.73 ± 3.04 | 77.18 ± 2.58 | 81.00 ± 1.93 | |
| EMCI vs. LMCI | Lasso | 71.58 ± 2.43 | 70.07 ± 3.62 | 72.41 ± 3.06 | 70.65 ± 2.11 | 70.09 ± 2.20 | 71.77 ± 1.76 |
| CMTL | 73.08 ± 2.37 | 70.89 ± 3.81 | 73.71 ± 2.31 | 72.15 ± 3.32 | 70.95 ± 3.12 | 72.91 ± 2.23 | |
| MTFS | 73.54 ± 2.22 | 74.14 ± 4.84 | 75.45 ± 2.98 | 72.58 ± 3.29 | 72.48 ± 2.62 | 73.16 ± 2.49 | |
| HMTFS | 75.46 ± 3.12 | 74.18 ± 3.97 | 75.77 ± 3.36 | 74.74 ± 3.53 | 74.08 ± 3.78 | 75.46 ± 2.98 | |
| FC2FS | 77.67 ± 1.65 | 77.63 ± 3.17 | 77.72 ± 2.54 | 78.94 ± 2.47 | 76.83 ± 2.35 | 78.35 ± 1.75 |
| NC vs. AD | NC vs. LMCI | ||||||
| ID | Regions | Abbreviation | References | ID | Regions | Abbreviation | References |
| 29 | Insula_L | INS.L | Jon et al. [45] Bi et al. [46] | 11 | Frontal_Inf_Oper_L | IFGoperc.L | Liu et al. [47] |
| 81 | Temporal_Sup_L | STG.L | Liu et al. [48] | 39 | ParaHippocampal_L | PHG.L | Lee et al. [49] |
| 45 | Cuneus_L | CUN.L | Le et al. [50] | 29 | Insula_R | INS.R | Li et al. [51] |
| 10 | Frontal_Mid_Orb_R | ORBmid.R | 32 | Cingulum_Ant_R | ACG.R | Li et al. [51] | |
| 67 | Precuneus_L | PCUN.L | Bailly et al. [52] | 1 | Precentral_L | PreCG.L | Cai et al. [53] |
| 85 | Temporal_Mid_L | MTG.L | Liu et al. [48] | 5 | Frontal_Sup_Orb_L | ORBsup.L | Li et al. [51] |
| 37 | Hippocampus_L | HIP.L | Salvatore et al. [54] | 19 | Supp_Motor_Area_L | SMA.L | |
| 53 | Occipital_Inf_L | IOG.L | 45 | Cuneus_L | CUN.L | Le et al. [50] | |
| 50 | Occipital_Sup_R | SOG.R | 46 | Cuneus_R | CUN.R | Le et al. [50] | |
| 39 | ParaHippocampal_L | PHG.L | Katsel et al. [55] | 50 | Occipital_Sup_R | SOG.R | |
| 84 | Temporal_Pole_Sup_R | TPOsup.R | Salvatore et al. [54] | 67 | Precuneus_L | PCUN.L | Bailly et al. [52] |
| 66 | Angular_R | ANG.R | 68 | Precuneus_R | PCUN.R | Bailly et al. [52] | |
| 46 | Cuneus_R | CUN.R | Le et al. [50] | 81 | Temporal_Sup_L | STG.L | |
| 14 | Frontal_Inf_Tri_R | IFGtriang.R | Salvatore et al. [54] | 84 | Temporal_Pole_Sup_R | TPOsup.R | Salvatore et al. [54] |
| 9 | Frontal_Mid_Orb_L | ORBmid.L | Zhang et al. [56] | 86 | Temporal_Mid_R | MTG.R | |
| NC vs. EMCI | EMCI vs. LMCI | ||||||
| ID | Regions | Abbreviation | References | ID | Regions | Abbreviation | References |
| 88 | Temporal_Pole_Mid_R | TPOmid.R | 68 | Precuneus_R | PCUN.R | Lee et al. [49] | |
| 12 | Frontal_Inf_Oper_R | IFGoperc.R | Chen et al. [57] | 75 | Pallidum_L | PAL.L | |
| 82 | Temporal_Sup_R | STG.R | Lee et al. [49] | 37 | Hippocampus_L | HIP.L | Wu et al. [58] |
| 29 | Insula_L | INS.L | Anna et al. [59] | 66 | Angular_R | ANG.R | Lee et al. [49] |
| 32 | Cingulum_Ant_R | ACG.R | 2 | Precentral_R | PreCG.R | ||
| 50 | Occipital_Sup_R | SOG.R | 11 | Frontal_Inf_Oper_L | IFGoperc.L | ||
| 68 | Precuneus_R | PCUN.R | Lee et al. [49] | 25 | Frontal_Mid_Orb_L | ORBsupmed.L | |
| 4 | Frontal_Sup_R | SFGdor.R | 30 | Insula_R | INS.R | Bi et al. [46] | |
| 8 | Frontal_Mid_R | MFG.R | Lee et al. [49] | 36 | Cingulum_Post_R | PCG.R | |
| 19 | Supp_Motor_Area_L | SMA.L | 44 | Calcarine_R | CAL.R | ||
| 21 | Olfactory_L | OLF.L | Vasavada et al. [60] | 53 | Occipital_Inf_L | IOG.L | |
| 26 | Frontal_Mid_Orb_R | ORBsupmed.R | 54 | Occipital_Inf_R | IOG.R | ||
| 30 | Insula_R | INS.R | Anna et al. [59] | 26 | Frontal_Mid_Orb_R | ORBsupmed.R | |
| 36 | Cingulum_Post_R | PCG.R | 45 | Cuneus_L | CUN.L | ||
| 52 | Occipital_Mid_R | MOG.R | 58 | Postcentral_R | PoCG.R | ||
Publisher’s Note: MDPI stays neutral with regard to jurisdictional claims in published maps and institutional affiliations. |
© 2022 by the authors. Licensee MDPI, Basel, Switzerland. This article is an open access article distributed under the terms and conditions of the Creative Commons Attribution (CC BY) license (https://creativecommons.org/licenses/by/4.0/).
Share and Cite
Jiao, Z.; Chen, S.; Shi, H.; Xu, J. Multi-Modal Feature Selection with Feature Correlation and Feature Structure Fusion for MCI and AD Classification. Brain Sci. 2022, 12, 80. https://doi.org/10.3390/brainsci12010080
Jiao Z, Chen S, Shi H, Xu J. Multi-Modal Feature Selection with Feature Correlation and Feature Structure Fusion for MCI and AD Classification. Brain Sciences. 2022; 12(1):80. https://doi.org/10.3390/brainsci12010080
Chicago/Turabian StyleJiao, Zhuqing, Siwei Chen, Haifeng Shi, and Jia Xu. 2022. "Multi-Modal Feature Selection with Feature Correlation and Feature Structure Fusion for MCI and AD Classification" Brain Sciences 12, no. 1: 80. https://doi.org/10.3390/brainsci12010080
APA StyleJiao, Z., Chen, S., Shi, H., & Xu, J. (2022). Multi-Modal Feature Selection with Feature Correlation and Feature Structure Fusion for MCI and AD Classification. Brain Sciences, 12(1), 80. https://doi.org/10.3390/brainsci12010080
