Aerobic Exercise and Stretching as Add-On to Inpatient Treatment for Depression Have No Differential Effects on Stress-Axis Activity, Serum-BDNF, TNF-Alpha and Objective Sleep Measures
Abstract
1. Introduction
2. Materials and Methods
2.1. Participants and Procedures
2.2. Intervention vs. Active Control Condition
2.3. Outcome Measures
2.3.1. Cortisol Awakening Response (CAR)
2.3.2. Serum Brain Derived Neurotrophic Factor (sBDNF) and Tumor Necrosis Factor-Alpha (TNF-Alpha)
2.3.3. Sleep Data
2.4. Statistical Analyses
3. Results
3.1. Sample Description
3.2. Neurobiological Variables
3.2.1. Cortisol Awakening Response (CAR)
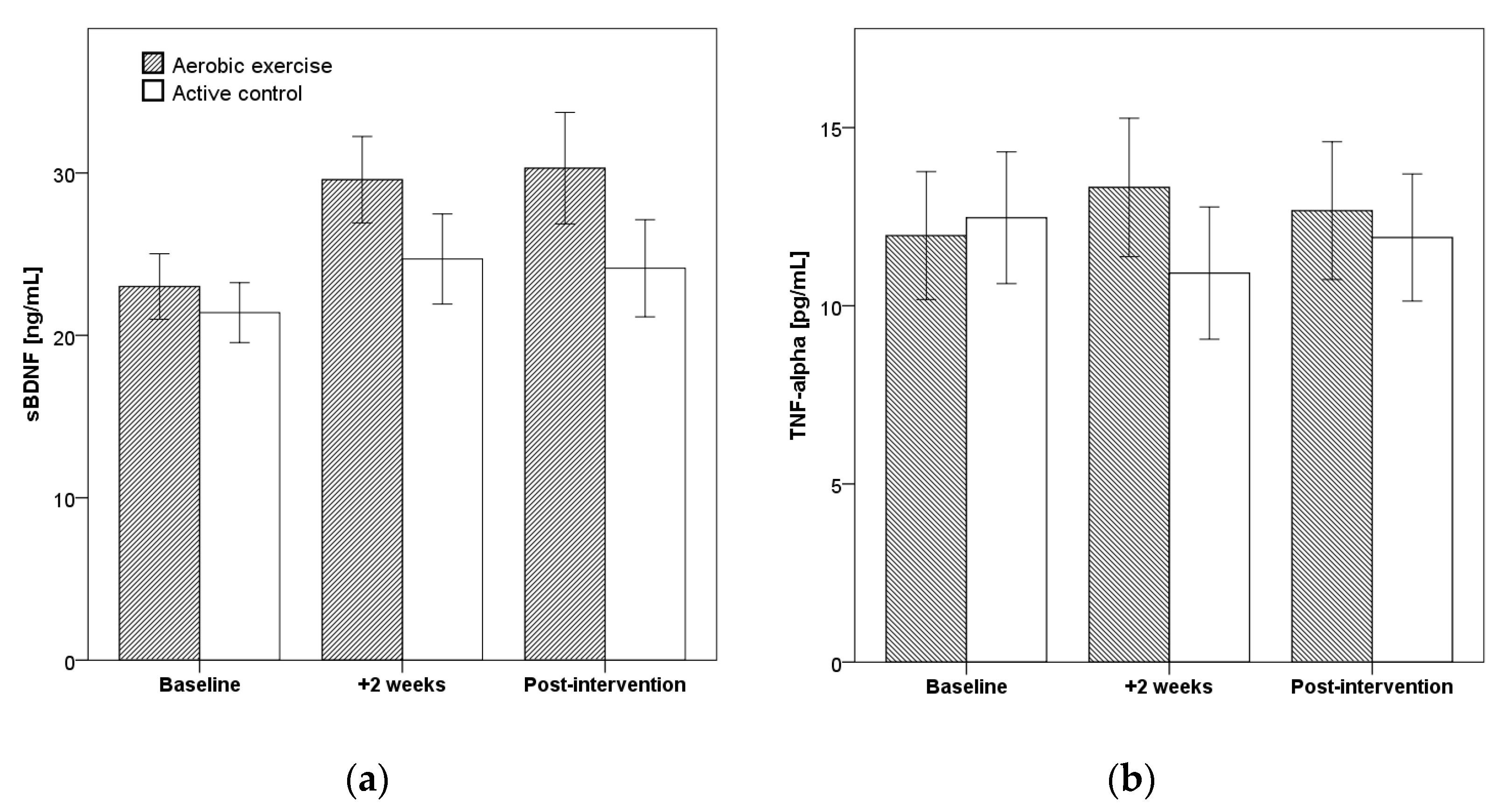
3.2.2. sBDNF and TNF-alpha
3.3. Sleep Data
3.4. Correlations
4. Discussion
5. Conclusions
Author Contributions
Funding
Institutional Review Board Statement
Informed Consent Statement
Data Availability Statement
Acknowledgments
Conflicts of Interest
Abbreviations
| AE | Aerobic exercise |
| ANOVA | Analyses of variance |
| AUC | Area under the curve |
| BMI | Body mass index |
| CAR | Cortisol awakening reaction |
| dVO2max | Change in maximum oxygen capacity |
| ECG | Electrocardiogram |
| EEG | Electroencephalogram |
| EMG | Electromyogram |
| HDRS17 | 17-item Hamilton Depression Rating Scale |
| HPA-axis | Hypothalamic-pituitary-adrenal axis |
| HR | Heartrate |
| HRmax | Maximal heartrate |
| ICD-10 | International classification of diseases 10 |
| ITT | Intention-to-treat |
| LOCF | Last observation carried forward |
| M | Mean |
| PSG | Polysomnography |
| PSQI | Pittsburgh Sleep Quality Index |
| RCT | Randomized controlled trial |
| REM | Rapid eye movement |
| sBDNF | Serum Brain Derived Neurotrophic Factor |
| SD | Standard deviation |
| SE | Standard error |
| SOL | Sleep onset latency |
| SNRI | Selective serotonine-norepinephrine-reuptake-inhibitors |
| SSRI | Selective serotonine-reuptake-inhibitors |
| SWS | Slow wave sleep |
| TNF-alpha | Tumor Necrosis Factor-alpha |
| TST | Total sleep time |
| VO2max | Maximum oxygen capacity |
| WASO | Wake after sleep onset |
References
- Liu, Q.; He, H.; Yang, J.; Feng, X.; Zhao, F.; Lyu, J. Changes in the global burden of depression from 1990 to 2017: Findings from the Global Burden of Disease study. J. Psychiatr. Res. 2020, 126, 134–140. [Google Scholar] [CrossRef]
- Laursen, T.M.; Musliner, K.L.; Benros, M.E.; Vestergaard, M.; Munk-Olsen, T. Mortality and life expectancy in persons with severe unipolar depression. J. Affect. Disord. 2016, 193, 203–207. [Google Scholar] [CrossRef]
- Holsboer, F.; Ising, M. Stress hormone regulation: Biological role and translation into therapy. Annu. Rev. Psychol. 2010, 61, 81–109. [Google Scholar] [CrossRef]
- Baglioni, C.; Nanovska, S.; Regen, W.; Spiegelhalder, K.; Feige, B.; Nissen, C.; Reynolds, C.F.; Riemann, D. Sleep and mental disorders: A meta-analysis of polysomnographic research. Psychol. Bull. 2016, 142, 969–990. [Google Scholar] [CrossRef]
- Molendijk, M.L.; Spinhoven, P.; Polak, M.; Bus, B.A.; Penninx, B.W.; Elzinga, B.M. Serum BDNF concentrations as peripheral manifestations of depression: Evidence from a systematic review and meta-analyses on 179 associations (N = 9484). Mol. Psychiatry 2014, 19, 791–800. [Google Scholar] [CrossRef] [PubMed]
- Himmerich, H.; Fulda, S.; Linseisen, J.; Seiler, H.; Wolfram, G.; Himmerich, S.; Gedrich, K.; Kloiber, S.; Lucae, S.; Ising, M.; et al. Depression, comorbidities and the TNF-alpha system. Eur. Psychiatry 2008, 23, 421–429. [Google Scholar] [CrossRef] [PubMed]
- Kvam, S.; Kleppe, C.L.; Nordhus, I.H.; Hovland, A. Exercise as a treatment for depression: A meta-analysis. J. Affect. Disord. 2016, 202, 67–86. [Google Scholar] [CrossRef] [PubMed]
- Morres, I.D.; Hatzigeorgiadis, A.; Stathi, A.; Comoutos, N.; Arpin-Cribbie, C.; Krommidas, C.; Theodorakis, Y. Aerobic exercise for adult patients with major depressive disorder in mental health services: A systematic review and meta-analysis. Depress. Anxiety 2019, 36, 39–53. [Google Scholar] [CrossRef] [PubMed]
- Krogh, J.; Videbech, P.; Thomsen, C.; Gluud, C.; Nordentoft, M. DEMO-II trial. Aerobic exercise versus stretching exercise in patients with major depression-a randomised clinical trial. PLoS ONE 2012, 7, e48316. [Google Scholar] [CrossRef]
- Greer, T.L.; Grannemann, B.D.; Chansard, M.; Karim, A.I.; Trivedi, M.H. Dose-dependent changes in cognitive function with exercise augmentation for major depression: Results from the TREAD study. Eur. Neuropsychopharmacol. J. Eur. Coll. Neuropsychopharmacol. 2015, 25, 248–256. [Google Scholar] [CrossRef]
- Imboden, C.; Gerber, M.; Beck, J.; Holsboer-Trachsler, E.; Pühse, U.; Hatzinger, M. Aerobic exercise or stretching as add-on to inpatient treatment of depression: Similar antidepressant effects on depressive symptoms and larger effects on working memory for aerobic exercise alone. J. Affect. Disord. 2020, 276, 866–876. [Google Scholar] [CrossRef]
- Erickson, K.I.; Miller, D.L.; Roecklein, K.A. The Aging Hippocampus: Interactions between Exercise, Depression, and BDNF. Neurosci. Rev. J. Bringing Neurobiol. Neurol. Psychiatry 2012, 18, 82–97. [Google Scholar] [CrossRef]
- van Praag, H.; Shubert, T.; Zhao, C.; Gage, F.H. Exercise enhances learning and hippocampal neurogenesis in aged mice. J. Neurosci. 2005, 25, 8680–8685. [Google Scholar] [CrossRef] [PubMed]
- Szuhany, K.L.; Bugatti, M.; Otto, M.W. A meta-analytic review of the effects of exercise on brain-derived neurotrophic factor. J. Psychiatr. Res. 2015, 60, 56–64. [Google Scholar] [CrossRef]
- Szuhany, K.L.; Otto, M.W. Assessing BDNF as a mediator of the effects of exercise on depression. J. Psychiatr. Res. 2020, 123, 114–118. [Google Scholar] [CrossRef]
- Schuch, F.B.; Vasconcelos-Moreno, M.P.; Borowsky, C.; Zimmermann, A.B.; Wollenhaupt-Aguiar, B.; Ferrari, P.; de Almeida Fleck, M.P. The effects of exercise on oxidative stress (TBARS) and BDNF in severely depressed inpatients. Eur. Arch. Psychiatry Clin. Neurosci. 2014, 264, 605–613. [Google Scholar] [CrossRef] [PubMed]
- Gourgouvelis, J.; Yielder, P.; Clarke, S.T.; Behbahani, H.; Murphy, B.A. Exercise Leads to Better Clinical Outcomes in Those Receiving Medication Plus Cognitive Behavioral Therapy for Major Depressive Disorder. Front. Psychiatry 2018, 9, 37. [Google Scholar] [CrossRef] [PubMed]
- Dwivedi, Y. Brain-derived neurotrophic factor: Role in depression and suicide. Neuropsychiatr. Dis. Treat. 2009, 5, 433–449. [Google Scholar] [CrossRef]
- Giese, M.; Unternaehrer, E.; Brand, S.; Calabrese, P.; Holsboer-Trachsler, E.; Eckert, A. The interplay of stress and sleep impacts BDNF level. PLoS ONE 2013, 8, e76050. [Google Scholar] [CrossRef] [PubMed]
- Gerber, M.; Jonsdottir, I.H.; Kalak, N.; Elliot, C.; Puhse, U.; Holsboer-Trachsler, E.; Brand, S. Objectively assessed physical activity is associated with increased hair cortisol content in young adults. Stress 2013, 16, 593–599. [Google Scholar] [CrossRef]
- Krogh, J.; Nordentoft, M.; Mohammad-Nezhad, M.; Westrin, A. Growth hormone, prolactin and cortisol response to exercise in patients with depression. J. Affect. Disord. 2010, 125, 189–197. [Google Scholar] [CrossRef] [PubMed]
- Kiive, E.; Maaroos, J.; Shlik, J.; Tõru, I.; Harro, J. Growth hormone, cortisol and prolactin responses to physical exercise: Higher prolactin response in depressed patients. Prog. Neuropsychopharmacol. Biol. Psychiatry 2004, 28, 1007–1013. [Google Scholar] [CrossRef]
- Ida, M.; Ida, I.; Wada, N.; Sohmiya, M.; Tazawa, M.; Shirakura, K. A clinical study of the efficacy of a single session of individual exercise for depressive patients, assessed by the change in saliva free cortisol level. Biopsychosoc. Med. 2013, 7, 18. [Google Scholar] [CrossRef]
- Foley, L.S.; Prapavessis, H.; Osuch, E.A.; De Pace, J.A.; Murphy, B.A.; Podolinsky, N.J. An examination of potential mechanisms for exercise as a treatment for depression: A pilot study. Ment. Health Phys. Act. 2008, 1, 69–73. [Google Scholar] [CrossRef]
- Rahman, M.S.; Zhao, X.; Liu, J.J.; Torres, E.Q.; Tibert, B.; Kumar, P.; Kaldo, V.; Lindefors, N.; Forsell, Y.; Lavebratt, C. Exercise Reduces Salivary Morning Cortisol Levels in Patients with Depression. Mol. Neuropsychiatry 2019, 4, 196–203. [Google Scholar] [CrossRef] [PubMed]
- Kiecolt-Glaser, J.K.; Derry, H.M.; Fagundes, C.P. Inflammation: Depression fans the flames and feasts on the heat. Am. J. Psychiatry 2015, 172, 1075–1091. [Google Scholar] [CrossRef] [PubMed]
- Liu, Y.; Ho, R.C.; Mak, A. Interleukin (IL)-6, tumour necrosis factor alpha (TNF-α) and soluble interleukin-2 receptors (sIL-2R) are elevated in patients with major depressive disorder: A meta-analysis and meta-regression. J. Affect. Disord. 2012, 139, 230–239. [Google Scholar] [CrossRef] [PubMed]
- Calabrese, F.; Rossetti, A.C.; Racagni, G.; Gass, P.; Riva, M.A.; Molteni, R. Brain-derived neurotrophic factor: A bridge between inflammation and neuroplasticity. Front. Cell. Neurosci. 2014, 8, 430. [Google Scholar] [CrossRef] [PubMed]
- Sochal, M.; Małecka-Panas, E.; Gabryelska, A.; Fichna, J.; Talar-Wojnarowska, R.; Szmyd, B.; Białasiewicz, P. Brain-derived neurotrophic factor is elevated in the blood serum of Crohn’s disease patients, but is not influenced by anti-TNF-α treatment—A pilot study. Neurogastroenterol. Motil. 2020, e13978. [Google Scholar] [CrossRef] [PubMed]
- Forsgren, S.; Grimsholm, O.; Dalén, T.; Rantapää-Dahlqvist, S. Measurements in the Blood of BDNF for RA Patients and in Response to Anti-TNF Treatment Help Us to Clarify the Magnitude of Centrally Related Pain and to Explain the Relief of This Pain upon Treatment. Int. J. Inflam. 2011, 2011, 650685. [Google Scholar] [CrossRef] [PubMed]
- Byrne, G.; Rosenfeld, G.; Leung, Y.; Qian, H.; Raudzus, J.; Nunez, C.; Bressler, B. Prevalence of Anxiety and Depression in Patients with Inflammatory Bowel Disease. Can. J. Gastroenterol. Hepatol. 2017, 2017, 6496727. [Google Scholar] [CrossRef] [PubMed]
- Rethorst, C.D.; Toups, M.S.; Greer, T.L.; Nakonezny, P.A.; Carmody, T.J.; Grannemann, B.D.; Huebinger, R.M.; Barber, R.C.; Trivedi, M.H. Pro-inflammatory cytokines as predictors of antidepressant effects of exercise in major depressive disorder. Mol. Psychiatry 2013, 18, 1119–1124. [Google Scholar] [CrossRef] [PubMed]
- Kredlow, M.A.; Capozzoli, M.C.; Hearon, B.A.; Calkins, A.W.; Otto, M.W. The effects of physical activity on sleep: A meta-analytic review. J. Behav. Med. 2015, 38, 427–449. [Google Scholar] [CrossRef] [PubMed]
- Lederman, O.; Ward, P.B.; Firth, J.; Maloney, C.; Carney, R.; Vancampfort, D.; Stubbs, B.; Kalucy, M.; Rosenbaum, S. Does exercise improve sleep quality in individuals with mental illness? A systematic review and meta-analysis. J. Psychiatr. Res. 2018, 109, 96–106. [Google Scholar] [CrossRef]
- Brupbacher, G.; Gerger, H.; Zander-Schellenberg, T.; Straus, D.; Porschke, H.; Gerber, M.; von Känel, R.; Schmidt-Trucksäss, A. The effects of exercise on sleep in unipolar depression: A systematic review and network meta-analysis. Sleep Med. Rev. 2021, 2021, 101452. [Google Scholar] [CrossRef] [PubMed]
- Gerber, M.; Minghetti, A.; Beck, J.; Zahner, L.; Donath, L. Is improved fitness following a 12-week exercise program associated with decreased symptom severity, better wellbeing, and fewer sleep complaints in patients with major depressive disorders? A secondary analysis of a randomized controlled trial. J. Psychiatr. Res. 2019, 113, 58–64. [Google Scholar] [CrossRef]
- Imboden, C.; Gerber, M.; Beck, J.; Eckert, A.; Puhse, U.; Holsboer-Trachsler, E.; Hatzinger, M. Effects of Aerobic Exercise as Add-On Treatment for Inpatients With Moderate to Severe Depression on Depression Severity, Sleep, Cognition, Psychological Well-Being, and Biomarkers: Study Protocol, Description of Study Population, and Manipulation Check. Front. Psychiatry 2019, 10, 262. [Google Scholar] [CrossRef]
- Dunn, A.L.; Trivedi, M.H.; Kampert, J.B.; Clark, C.G.; Chambliss, H.O. Exercise treatment for depression. Efficacy and dose response. Am. J. Prev. Med. 2005, 28, 1–8. [Google Scholar] [CrossRef]
- Holsboer-Trachsler, E.; Hättenschwiler, J.; Beck, J.; Brand, S.; Hemmeter, U.M.; Keck, M.E.; Rennhard, S.; Hatzinger, M.; Merlo, M.; Bondolfi, G.; et al. Die somatische Behandlung der unipolaren depressiven Störung—Teil 1. Schweiz. Med. Forum 2010, 10, 802–809. [Google Scholar]
- Hamilton, M. A rating scale for depression. J. Neurol. Neurosurg. Psychiatry 1960, 23, 56. [Google Scholar] [CrossRef]
- Chatterjee, S.; Chatterjee, P.; Mukherjee, P.S.; Bandyopadhyay, A. Validity of Queen’s College step test for use with young Indian men. Br. J. Sports Med. 2004, 38, 289–291. [Google Scholar] [CrossRef] [PubMed]
- McArdle, W.D.; Katch, F.I.; Pechar, G.S.; Jacobson, L.; Ruck, S. Reliability and interrelationships between maximal oxygen intake, physical work capacity and step-test scores in college women. Med. Sci. Sports 1972, 4, 182–186. [Google Scholar] [CrossRef]
- Pruessner, J.C.; Wolf, O.T.; Hellhammer, D.H.; Buske-Kirschbaum, A.; Von Auer, K.; Jobst, S.; Kaspers, F.; Kirschbaum, C. Free cortisol levels after awakening: A reliable biological marker for the assessment of adrenocortical activity. Life Sci. 1997, 61, 2539–2549. [Google Scholar] [CrossRef]
- Dressendorfer, R.A.; Kirschbaum, C.; Rohde, W.; Stahl, F.; Strasburger, C.J. Synthesis of a cortisol-biotin conjugate and evaluation as a tracer in an immunoassay for salivary cortisol measurement. J. Steroid Biochem. Mol. Biol. 1992, 43, 683–692. [Google Scholar] [CrossRef]
- Giese, M.; Beck, J.; Brand, S.; Muheim, F.; Hemmeter, U.; Hatzinger, M.; Holsboer-Trachsler, E.; Eckert, A. Fast BDNF serum level increase and diurnal BDNF oscillations are associated with therapeutic response after partial sleep deprivation. J. Psychiatr. Res. 2014, 59, 1–7. [Google Scholar] [CrossRef] [PubMed]
- Buysse, D.J.; Reynolds, C.F., 3rd; Monk, T.H.; Berman, S.R.; Kupfer, D.J. The Pittsburgh Sleep Quality Index: A new instrument for psychiatric practice and research. Psychiatry Res. 1989, 28, 193–213. [Google Scholar] [CrossRef]
- Rechtschaffen, A.; Kales, A. (Eds.) A manual for standardized terminology, techniques and scoring system for sleep stages in human subjects. In Brain Information Service; Brain Research Institute, University of California: Los Angeles, CA, USA, 1968. [Google Scholar]
- Pruessner, J.C.; Kirschbaum, C.; Meinlschmid, G.; Hellhammer, D.H. Two formulas for computation of the area under the curve represent measures of total hormone concentration versus time-dependent change. Psychoneuroendocrinology 2003, 28, 916–931. [Google Scholar] [CrossRef]
- Zhou, C.; Zhong, J.; Zou, B.; Fang, L.; Chen, J.; Deng, X.; Zhang, L.; Zhao, X.; Qu, Z.; Lei, Y.; et al. Meta-analyses of comparative efficacy of antidepressant medications on peripheral BDNF concentration in patients with depression. PLoS ONE 2017, 12, e0172270. [Google Scholar] [CrossRef]
- Hannestad, J.; DellaGioia, N.; Bloch, M. The effect of antidepressant medication treatment on serum levels of inflammatory cytokines: A meta-analysis. Neuropsychopharmacology 2011, 36, 2452–2459. [Google Scholar] [CrossRef]
- Martinsen, E.W.; Medhus, A.; Sandvik, L. Effects of aerobic exercise on depression: A controlled study. Br. Med. J. (Clin. Res. Ed.) 1985, 291, 109. [Google Scholar] [CrossRef]
- Palagini, L.; Baglioni, C.; Ciapparelli, A.; Gemignani, A.; Riemann, D. REM sleep dysregulation in depression: State of the art. Sleep Med. Rev. 2013, 17, 377–390. [Google Scholar] [CrossRef]
- Lauer, C.J.; Riemann, D.; Wiegand, M.; Berger, M. From early to late adulthood. Changes in EEG sleep of depressed patients and healthy volunteers. Biol. Psychiatry 1991, 29, 979–993. [Google Scholar] [CrossRef]
- Stalder, T.; Kirschbaum, C.; Kudielka, B.M.; Adam, E.K.; Pruessner, J.C.; Wust, S.; Dockray, S.; Smyth, N.; Evans, P.; Hellhammer, D.H.; et al. Assessment of the cortisol awakening response: Expert consensus guidelines. Psychoneuroendocrinology 2016, 63, 414–432. [Google Scholar] [CrossRef]
- Melo, M.C.; Daher Ede, F.; Albuquerque, S.G.; de Bruin, V.M. Exercise in bipolar patients: A systematic review. J. Affect. Disord. 2016, 198, 32–38. [Google Scholar] [CrossRef] [PubMed]
- Bukh, J.D.; Andersen, P.K.; Kessing, L.V. Rates and predictors of remission, recurrence and conversion to bipolar disorder after the first lifetime episode of depression--a prospective 5-year follow-up study. Psychol. Med. 2016, 46, 1151–1161. [Google Scholar] [CrossRef]
- Malhi, G.S.; Tanious, M.; Das, P.; Coulston, C.M.; Berk, M. Potential mechanisms of action of lithium in bipolar disorder. Current understanding. CNS Drugs 2013, 27, 135–153. [Google Scholar] [CrossRef] [PubMed]


| Aerobic Exercise | Active Control Group | Total Sample | |||||
|---|---|---|---|---|---|---|---|
| n | 22 | 20 | 42 | ||||
| n | % | n | % | n | % | p [Chi2 Test] | |
| Females | 10 | 45.5% | 10 | 50.0% | 20 | 47.6% | 0.768 |
| Smokers | 7 | 31.8% | 11 | 55.0% | 18 | 42.9% | 0.256 |
| Diagnosis: | |||||||
| First depression (F32) | 10 | 45.5% | 7 | 35.0% | 17 | 40.5% | 0.393 |
| Recurrent depression (F33) | 9 | 40.9% | 12 | 60.0% | 21 | 50.0% | |
| Bipolar depression (F31) | 3 | 13.6% | 1 | 5.0% | 4 | 9.5% | |
| M | SD | M | SD | M | SD | p [ANOVA] | |
| Age | 41.3 | (9.2) | 38.3 | (13.4) | 39.9 | (11.4) | 0.404 |
| Age at first episode | 33.8 | (12.1) | 28.9 | (13.6) | 31.3 | (13.0) | 0.232 |
| Duration of episode [weeks] | 15.6 | (15.2) | 21.6 | (23.6) | 18.4 | (19.6) | 0.340 |
| Prior depressive episodes [#] | 1.9 | (2.9) | 3.6 | (7.0) | 2.7 | (5.2) | 0.465 (1) |
| Prior maniac episodes [#] | 0.3 | (0.9) | 0.0 | (0.0) | 0.1 | (0.7) | 0.165 (1) |
| HDRS17 | 22.0 | (4.0) | 20.9 | (2.6) | 21.5 | (3.4) | 0.266 |
| BMI [kg/m2] | 25.9 | (5.4) | 23.9 | (4.8) | 25.0 | (5.2) | 0.227 |
| Baseline | 2 Weeks | Post Intervention | ||||||||||||||||
|---|---|---|---|---|---|---|---|---|---|---|---|---|---|---|---|---|---|---|
| Aerobic Exercise | Active Control Group | Aerobic Exercise | Active Control Group | Aerobic Exercise | Active Control Group | Time | Time × Group | |||||||||||
| M | SD | M | SD | M | SD | M | SD | M | SD | M | SD | F | p | Eta2 | F | p | Eta2 | |
| Cortisol awakening response (CAR) | ||||||||||||||||||
| AUC total | 332.5 | 145.5 | 353.3 | 175.3 | 269.7 | 156.5 | 262.6 | 115.4 | 264.4 | 195.2 | 314.2 | 168.9 | 8.417 | 0.001 | 0.307 | 1.370 | 0.266 | 0.067 |
| AUC basal | 270.3 | 148.0 | 235.7 | 118.7 | 212.8 | 126.2 | 178.9 | 102.8 | 180.2 | 128.4 | 217.5 | 162.8 | 4.787 | 0.014 | 0.201 | 2.521 | 0.094 | 0.117 |
| AUC net | 62.2 | 81.5 | 117.6 | 105.9 | 56.0 | 78.5 | 83.8 | 76.7 | 84.2 | 106.1 | 96.8 | 82.6 | 2.181 | 0.127 | 0.103 | 0.800 | 0.457 | 0.040 |
| sBDNF [ng/mL] | 23.0 | 9.5 | 21.4 | 8.2 | 29.6 | 12.5 | 24.7 | 12.4 | 30.3 | 16.1 | 24.1 | 13.4 | 2.000 | 0.014 | 0.196 | 0.643 | 0.531 | 0.032 |
| TNF-alpha [pg/mL] | 12.0 | 8.4 | 12.5 | 8.3 | 13.3 | 9.1 | 10.9 | 8.3 | 12.7 | 9.1 | 11.9 | 8.0 | 0.023 | 0.977 | 0.001 | 1.258 | 0.295 | 0.061 |
| Baseline | Post intervention | |||||||||||||||||
|---|---|---|---|---|---|---|---|---|---|---|---|---|---|---|---|---|---|---|
| Aerobic Exercise | Active Control Group | Aerobic Exercise | Active Control Group | Time | Time × Group | |||||||||||||
| n | M | SD | n | M | SD | n | M | SD | n | M | SD | F | p | Eta2 | F | p | Eta2 | |
| PSQI score | 22 | 10.5 | 4.0 | 19 | 12.2 | 3.9 | 22 | 7.2 | 2.9 | 19 | 8.5 | 4.4 | 26.582 | <0.001 | 0.412 | 0.111 | 0.741 | 0.003 |
| Stage 1 [%] | 19 | 9.6 | 6.0 | 17 | 7.5 | 4.8 | 13 | 7.7 | 5.6 | 14 | 4.9 | 2.4 | 3.998 | 0.057 | 0.138 | 0.049 | 0.826 | 0.002 |
| Stage 2 [%] | 19 | 66.2 | 9.9 | 17 | 66.1 | 7.0 | 13 | 67.5 | 10.2 | 14 | 67.9 | 8.3 | 0.177 | 0.677 | 0.007 | 0.014 | 0.096 | 0.001 |
| Stage SWS [%] | 19 | 4.6 | 5.6 | 17 | 5.7 | 7.0 | 13 | 6.2 | 6.3 | 14 | 7.2 | 7.2 | 2.078 | 0.162 | 0.077 | 0.807 | 0.378 | 0.031 |
| Stage REM [%] | 19 | 17.7 | 7.5 | 17 | 18.4 | 6.3 | 13 | 16.6 | 9.2 | 14 | 17.9 | 4.6 | 0.006 | 0.937 | 0.000 | 0.666 | 0.422 | 0.026 |
| Sleep efficiency [%] | 19 | 84.0 | 9.9 | 17 | 84.0 | 8.8 | 13 | 80.5 | 11.6 | 14 | 85.6 | 9.4 | 0.158 | 0.695 | 0.006 | 0.633 | 0.434 | 0.025 |
| TST [min] | 19 | 410.0 | 66.3 | 17 | 410.6 | 55.0 | 13 | 378.2 | 82.0 | 14 | 412.4 | 71.2 | 1.920 | 0.178 | 0.071 | 0.964 | 0.336 | 0.037 |
| SOL [min] | 19 | 20.4 | 14.8 | 17 | 22.9 | 15.5 | 13 | 49.2 | 47.0 | 14 | 28.0 | 39.3 | 3.416 | 0.076 | 0.120 | 1.870 | 0.184 | 0.070 |
| WASO [min] | 19 | 54.7 | 48.4 | 17 | 53.5 | 44.4 | 13 | 40.4 | 25.4 | 14 | 37.9 | 38.0 | 2.182 | 0.152 | 0.08 | 0.077 | 0.783 | 0.003 |
| REM latency [min] | 18 | 170.4 | 71.7 | 17 | 181.7 | 110.0 | 13 | 156.2 | 85.0 | 14 | 144.4 | 72.4 | 2.159 | 0.155 | 0.083 | 1.122 | 0.300 | 0.045 |
| Awakenings | 19 | 27.0 | 16.0 | 17 | 26.5 | 19.1 | 13 | 22.7 | 10.6 | 14 | 17.1 | 10.1 | 4.985 | 0.035 | 0.166 | 1.751 | 0.198 | 0.065 |
| HDRS17 Post | PSQI Baseline | PSQI Post | REM Latency Post | ||
|---|---|---|---|---|---|
| dVO2max | r | −0.322 | −0.375 | −0.599 | −0.437 |
| p | 0.049 | 0.024 | <0.001 | 0.010 | |
| TNF-alpha pre | r | −0.158 | 0.327 | 0.029 | −0.076 |
| p | 0.317 | 0.039 | 0.859 | 0.661 |
Publisher’s Note: MDPI stays neutral with regard to jurisdictional claims in published maps and institutional affiliations. |
© 2021 by the authors. Licensee MDPI, Basel, Switzerland. This article is an open access article distributed under the terms and conditions of the Creative Commons Attribution (CC BY) license (http://creativecommons.org/licenses/by/4.0/).
Share and Cite
Imboden, C.; Gerber, M.; Beck, J.; Eckert, A.; Lejri, I.; Pühse, U.; Holsboer-Trachsler, E.; Hatzinger, M. Aerobic Exercise and Stretching as Add-On to Inpatient Treatment for Depression Have No Differential Effects on Stress-Axis Activity, Serum-BDNF, TNF-Alpha and Objective Sleep Measures. Brain Sci. 2021, 11, 411. https://doi.org/10.3390/brainsci11040411
Imboden C, Gerber M, Beck J, Eckert A, Lejri I, Pühse U, Holsboer-Trachsler E, Hatzinger M. Aerobic Exercise and Stretching as Add-On to Inpatient Treatment for Depression Have No Differential Effects on Stress-Axis Activity, Serum-BDNF, TNF-Alpha and Objective Sleep Measures. Brain Sciences. 2021; 11(4):411. https://doi.org/10.3390/brainsci11040411
Chicago/Turabian StyleImboden, Christian, Markus Gerber, Johannes Beck, Anne Eckert, Imane Lejri, Uwe Pühse, Edith Holsboer-Trachsler, and Martin Hatzinger. 2021. "Aerobic Exercise and Stretching as Add-On to Inpatient Treatment for Depression Have No Differential Effects on Stress-Axis Activity, Serum-BDNF, TNF-Alpha and Objective Sleep Measures" Brain Sciences 11, no. 4: 411. https://doi.org/10.3390/brainsci11040411
APA StyleImboden, C., Gerber, M., Beck, J., Eckert, A., Lejri, I., Pühse, U., Holsboer-Trachsler, E., & Hatzinger, M. (2021). Aerobic Exercise and Stretching as Add-On to Inpatient Treatment for Depression Have No Differential Effects on Stress-Axis Activity, Serum-BDNF, TNF-Alpha and Objective Sleep Measures. Brain Sciences, 11(4), 411. https://doi.org/10.3390/brainsci11040411

