Comparative Study of Novel Noninvasive Cerebral Autoregulation Volumetric Reactivity Indices Reflected by Ultrasonic Speed and Attenuation as Dynamic Measurements in the Human Brain
Abstract
:1. Introduction
2. Materials and Methods
2.1. Cerebral Autoregulation Assessment
2.2. Post Hoc Analysis
2.3. Statistical Analysis
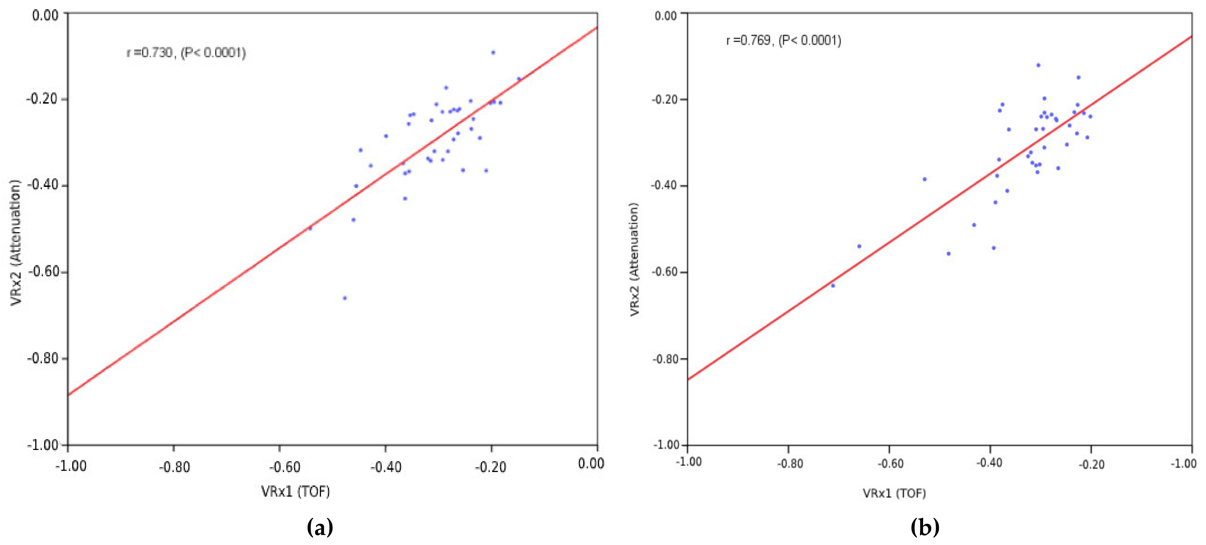
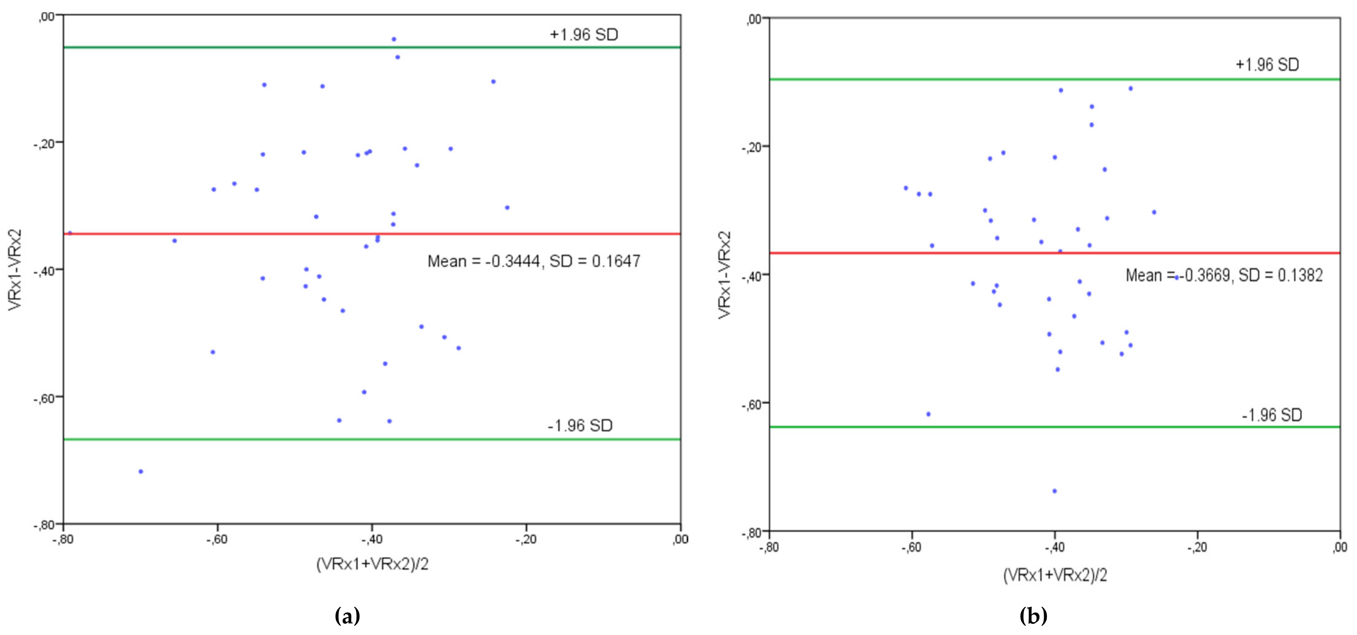
3. Results
4. Discussion
5. Conclusions
6. Limitations of the study
Author Contributions
Funding
Acknowledgments
Conflicts of Interest
References
- Salinet, A.S.; Panerai, R.B.; Robinson, T.G. The longitudinal evolution of cerebral blood flow regulation after acute ischaemic stroke. Cerebrovasc. Dis. Extra 2014, 4, 186–197. [Google Scholar] [CrossRef] [PubMed]
- Aries, M.J.H.; Czosnyka, M.; Budohoski, K.P.; Kolias, A.G.; Radolovich, D.K.; Lavinio, A.; Pickard, J.D.; Smielewski, P. Continuous monitoring of cerebrovascular reactivity using pulse waveform of intracranial pressure. Neurocrit. Care 2012, 17, 67–76. [Google Scholar] [CrossRef] [PubMed]
- Panerai, R.B. Assessment of cerebral pressure autoregulation in humans--a review of measurement methods. Physiol. Meas. 1998, 19, 305–338. [Google Scholar] [CrossRef]
- Peterson, E.C.; Wang, Z.; Britz, G. Regulation of cerebral blood flow. Int. J. Vasc. Med. 2011, 2011, 8. [Google Scholar] [CrossRef] [PubMed]
- Stein, S.C.; Georgoff, P.; Meghan, S. 150 Years of treating severe traumatic brain injury: A systematic review of progress in mortality. J. Neurotrauma 2010, 27, 1343–1353. [Google Scholar] [CrossRef] [PubMed]
- Maas, A.I.R.; Menon, D.K. Traumatic brain injury: Rethinking ideas and approaches. Lancet Neurol. 2012, 11, 12–13. [Google Scholar] [CrossRef]
- Donnelly, J.; Budohoski, K.P.; Smielewski, P.; Czosnyka, M. Regulation of the cerebral circulation: Bedside assessment and clinical implications. Crit. Care 2016, 20, 129. [Google Scholar] [CrossRef] [Green Version]
- Silverman, A.; Petersen, N.H. Physiology, Cerebral Autoregulation; StatPearls Publishing: Treasure Island, FL, USA, 2020. Available online: https://www.ncbi.nlm.nih.gov/books/NBK553183/ (accessed on 5 February 2020).
- Petkus, V.; Krakauskait, S.; Preikšaitis, A.; Ročka, S.; Chomskis, R.; Ragauskas, A. Association between the outcome of traumatic brain injury patients and cerebrovascular autoregulation, cerebral perfusion pressure, age, and injury grades. Medicina 2016, 52, 46–53. [Google Scholar] [CrossRef]
- Zubaviciute, E.; Rocka, S.; Preiksaitis, A.; Petkus, V.; Ragauskas, A.; Vosylius, S.; Rastenyte, D. Benefit on optimal cerebral perfusion pressure targeted treatment for traumatic brain injury patients. J. Crit. Care 2017, 41, 49–55. [Google Scholar]
- Klein, S.P.; Depreitere, B.; Meyfroidt, G. How I monitor cerebral autoregulation. Crit. Care 2019, 23, 160. [Google Scholar] [CrossRef] [Green Version]
- Moerman, A.; de Hert, S. Why and how to assess cerebral autoregulation? Best Pract. Res. Clin. Anaesthesiol. 2019, 33, 211–220. [Google Scholar] [CrossRef] [PubMed]
- Czosnyka, M.; Smielewski, P.; Kirkpatrick, P.; Menon, D.K.; Pickard, J.D. Monitoring of cerebral autoregulation in head-injured patients. Stroke 1996, 27, 1829–1834. [Google Scholar] [CrossRef]
- Eames, P.J.; Blake, M.J.; Dawson, S.L.; Panerai, R.B.; Potter, J.F. Dynamic cerebral autoregulation and beat to beat blood pressure control are impaired in acute ischaemic stroke. J. Neurol. Neurosurg. Psychiatry 2002, 72, 467–473. [Google Scholar] [PubMed]
- Czosnyka, M.; Smielewski, P.; Kirkpatrick, P.; Laing, R.J.; Menon, D.; Pickard, J.D. Continuous assessment of the cerebral vasomotor reactivity in head injury. Neurosurgery 1997, 41, 11–17. [Google Scholar] [CrossRef]
- Czosnyka, M.; Smielewski, P.; Lavinio, A.; Czosnyka, Z.; Pickard, J.D. A synopsis of brain pressures: Which? when? Are they all useful? Neurol. Res. 2007, 29, 672–679. [Google Scholar] [CrossRef] [PubMed]
- Liu, X.; Maurits, N.M.; Aries, M.J.H.; Czosnyka, M.; Ercole, A.; Donnelly, J.; Smielewski, P. Monitoring of optimal cerebral perfusion pressure in traumatic brain injured patients using a multi-window weighting algorithm. J. Neurotrauma 2017, 34, 22. [Google Scholar] [CrossRef] [PubMed]
- Kasprowicz, M.; Schmidt, E.; Kim, D.J.; Haubrich, C.; Czosnyka, Z.; Smielewski, P.; Czosnyka, M. Evaluation of the cerebrovascular pressure reactivity index using noninvasive finapres arterial blood pressure. Physiol. Meas. 2010, 31, 1217–1228. [Google Scholar] [CrossRef]
- Liu, X.; Donnelly, J.; Czosnyka, M.; Aries, M.J.H.; Brady, K.; Cardim, D.; Smielewski, P. Cerebrovascular pressure reactivity monitoring using wavelet analysis in traumatic brain injury patients: A retrospective study. PLoS Med. 2017, 14, e1002348. [Google Scholar] [CrossRef]
- Lang, E.W.; Kasprowicz, M.; Smielewski, P.; Santos, E.; Pickard, J.; Czosnyka, M. Short pressure reactivity index versus long pressure reactivity index in the management of traumatic brain injury. J. Neurosurg. 2015, 122, 588–594. [Google Scholar] [CrossRef] [Green Version]
- Ragauskas, A.; Daubaris, G.; Petkus, V.; Raisutis, R. Apparatus and Method of Noninvasive Cerebrovascular Autoregulation Monitoring. European Patent No. 2111787 B1, 23 March 2011. U.S. Patent 20090270734, 29 October 2009. [Google Scholar]
- Sorrentino, E.; Diedler, J.; Kasprowicz, M.; Budohoski, K.P.; Haubrich, C.; Smielewski, P.; Outtrim, J.G.; Manktelow, A.; Hutchinson, P.J.; Pickard, J.D.; et al. Critical thresholds for cerebrovascular reactivity after traumatic brain injury. Neurocrit. Care 2012, 16, 258–266. [Google Scholar] [CrossRef]
- Lavinio, A.; Ene-Iordache, B.; Nodari, I.; Girardini, A.; Cagnazzi, E.; Rasulo, F.; Smielewski, P.; Czosnyka, M.; Latronico, N. Cerebrovascular reactivity and autonomic drive following traumatic brain injury. Acta Neurochir. Suppl. 2008, 102, 3–7. [Google Scholar]
- Needham, E.; McFadyen, C.; Newcombe, V.; Synnot, A.J.; Czosnyka, M.; Menon, D. Cerebral perfusion pressure targets individualized to pressure-reactivity index in moderate to severe traumatic brain injury: A Systematic Review. J. Neurotrauma 2017, 34, 963–970. [Google Scholar] [CrossRef] [PubMed]
- Petkus, V.; Preiksaitis, A.; Krakauskaite, S.; Bartusis, L.; Chomskis, R.; Hamarat, Y.; Ragauskas, A. Non - invasive cerebrovascular autoregulation assessment using the volumetric reactivity index: Prospective study. Neurocrit. Care 2019, 30, 42–50. [Google Scholar] [CrossRef] [PubMed]
- Zweifel, C.; Castellani, G.; Czosnyka, M.; Carrera, E.; Brady, K.M.; Kirkpatrick, P.J.; Pickard, J.D.; Smielewski, P. Continuous assessment of cerebral autoregulation with near-infrared spectroscopy in adults after subarachnoid hemorrhage. Stroke 2010, 41, 1963–1968. [Google Scholar] [CrossRef] [PubMed] [Green Version]
- Rivera-Lara, L.; Geocadin, R.; Zorrilla-Vaca, A.; Healy, R.; Radzik, B.R.; Palmisano, C.; Mirski, M.; Ziai, W.C.; Hogue, C. Validation of near-infrared spectroscopy for monitoring cerebral autoregulation in comatose patients. Neurocrit. Care 2017, 27, 362–369. [Google Scholar] [CrossRef] [PubMed]
- Blaine, E.; Kibler, K.K.; Brady, K.M.; Joshi, B.; Brown, C.; Hogue, C.W. Continuous cerebrovascular reactivity monitoring and autoregulation monitoring identify similar lower limits of autoregulation in patients undergoing cardiopulmonary bypass. HHS Public Access 2017, 35, 344–354. [Google Scholar] [CrossRef] [Green Version]
- Petkus, V.; Preiksaitis, A.; Krakauskaite, S.; Chomskis, R.; Rocka, S.; Kalasauskiene, A. Novel method and device for fully noninvasive cerebrovascular autoregulation monitoring. Electron. Electr. Eng. 2014, 20, 24–29. [Google Scholar]
- Ragauskas, A.; Daubaris, G.; Ragaisis, V.; Petkus, V. Implementation of noninvasive brain physiological monitoring concepts. Med. Eng. Phys. 2003, 25, 667–678. [Google Scholar] [CrossRef]
- Petkus, V.; Krakauskaite, S.; Chomskis, R.; Bartusis, L.; Ragauskas, A.; Preiksaitis, A.; Rocka, S. Novel Technology of Non-invasive Cerebrovascular Autoregulation Monitoring. In Proceedings of the, IEEE 27th International Symposium on Computer-Based Medical Systems (CBMS), New York, NY, USA, 27–29 May 2014; pp. 427–430.
- Petkus, V.; Ragauskas, A.; Jurkonis, R. Investigation of intracranial media ultrasonic monitoring model. Ultrasonics 2002, 40, 829–833. [Google Scholar] [CrossRef]
- Schmidt, B.; Reinhard, M.; Lezaic, V.; McLeod, D.D.; Wein hold, M.; Mattes, H.; Klingelhöfer, J. Autoregulation monitoring and outcome prediction in neurocritical care patients: Does one index fit all? J. Clin. Monit. Comput. 2016, 30, 367–375. [Google Scholar] [CrossRef] [Green Version]
- Bruggemans, E.F. Cognitive dysfunction after cardiac surgery: Pathophysiological mechanisms and preventive strategies. Neth. Heart J. 2013, 21, 70–73. [Google Scholar] [CrossRef] [PubMed] [Green Version]
- Zweifel, C.; Lavinio, A.; Steiner, L.A.; Radolovich, D.; Smielewski, P.; Timofeev, I.; Hiler, M.; Balestreri, M.; Kirkpatrick, P.J.; Pickard, J.D.; et al. Continuous monitoring of cerebrovascular pressure reactivity in patients with head injury. Neurosurg. Focus 2008, 25, E2. [Google Scholar] [CrossRef] [PubMed]
- Czosnyka, M.; Brady, K.; Reinhard, M.; Smielewski, P.; Steiner, L.A. Monitoring of cerebrovascular autoregulation: Facts, myths, and missing links. Neurocrit. Care 2009, 10, 373–386. [Google Scholar] [CrossRef] [PubMed]
- Czosnyka, M.; Czosnyka, Z.; Momjian, S.; Pickard, J.D. Cerebrospinal fluid dynamics. Physiol. Meas. 2004, 25, R51–R76. [Google Scholar] [CrossRef]
- Spiegelberg, A.; Preuß, M.; Kurtcuoglu, V. B-waves revisited. Interdiscip. Neurosurg. 2016, 6, 13–17. [Google Scholar] [CrossRef] [Green Version]
- Kumpaitiene, B.; Svagzdiene, M.; Sirvinskas, E.; Adomaitiene, V.; Petkus, V.; Zakelis, R.; Krakauskaite, S.; Chomskis, R.; Ragauskas, A.; Benetis, R. Cerebrovascular autoregulation impairments during cardiac surgery with cardiopulmonary bypass are related to postoperative cognitive deterioration: Prospective observational study. Minerva Anestesiol. 2019, 85, 594–603. [Google Scholar] [CrossRef]
- Hori, D.; Hogue, C.W., Jr.; Shah, A.; Brown, C.; Neufeld, K.J.; Conte, J.V.; Price, J.; Sciortino, C.; Max, L.; Laflam, A.; et al. Cerebral autoregulation monitoring with ultrasound-tagged near-infrared spectroscopy in cardiac surgery patients. Anesth. Analg. 2015, 121, 1187–1193. [Google Scholar] [CrossRef] [Green Version]
- Ono, M.; Joshi, B.; Brady, K.; Easley, R.B.; Zheng, Y.; Brown, C.; Baumgartner, W.; Hogue, C.W. Risks for impaired cerebral autoregulation during cardiopulmonary bypass and postoperative stroke. Br. J. Anaesth. 2012, 109, 391–398. [Google Scholar] [CrossRef] [Green Version]
- Brady, K.; Joshi, B.; Zweifel, C.; Smielewski, P.; Czosnyka, M.; Easley, R.B.; Hogue, C.W. Real-time continuous monitoring of cerebral blood flow autoregulation using near-infrared spectroscopy in patients undergoing cardiopulmonary bypass. Stroke 2010, 41, 1951–1956. [Google Scholar] [CrossRef]
- Fantini, S.; Sassaroli, A.; Tgavalekos, K.T.; Kornbluth, J. Cerebral blood flow and autoregulation: Current measurement techniques and prospects for noninvasive optical methods. Neurophotonics 2016, 3, 031411. [Google Scholar] [CrossRef]
- Horsfield, M.A.; Jara, J.L.; Saeed, N.P.; Panerai, R.B.; Robinson, T.G. Regional differences in dynamic cerebral autoregulation in the healthy brain assessed by magnetic resonance imaging. PLoS ONE 2013, 8, e62588. [Google Scholar] [CrossRef] [PubMed] [Green Version]
- Larsen, F.S.; Olsen, K.S.; Hansen, B.A.; Paulson, O.B.; Knudsen, G.M. Transcranial Doppler is valid for determination of the lower limit of cerebral blood flow autoregulation. Stroke 1994, 25, 1985–1988. [Google Scholar] [CrossRef] [PubMed] [Green Version]







| Correlation Outcome (r) | Band-Pass Filtered Slow Wave | FIR Filtered Slow Wave |
|---|---|---|
| >0.5 | 31 participants | 33 participants |
| <0.5 to 0 | 12 participants | 10 participants |
© 2020 by the authors. Licensee MDPI, Basel, Switzerland. This article is an open access article distributed under the terms and conditions of the Creative Commons Attribution (CC BY) license (http://creativecommons.org/licenses/by/4.0/).
Share and Cite
Bajpai, B.K.; Zakelis, R.; Deimantavicius, M.; Imbrasiene, D. Comparative Study of Novel Noninvasive Cerebral Autoregulation Volumetric Reactivity Indices Reflected by Ultrasonic Speed and Attenuation as Dynamic Measurements in the Human Brain. Brain Sci. 2020, 10, 205. https://doi.org/10.3390/brainsci10040205
Bajpai BK, Zakelis R, Deimantavicius M, Imbrasiene D. Comparative Study of Novel Noninvasive Cerebral Autoregulation Volumetric Reactivity Indices Reflected by Ultrasonic Speed and Attenuation as Dynamic Measurements in the Human Brain. Brain Sciences. 2020; 10(4):205. https://doi.org/10.3390/brainsci10040205
Chicago/Turabian StyleBajpai, Basant K., Rolandas Zakelis, Mantas Deimantavicius, and Daiva Imbrasiene. 2020. "Comparative Study of Novel Noninvasive Cerebral Autoregulation Volumetric Reactivity Indices Reflected by Ultrasonic Speed and Attenuation as Dynamic Measurements in the Human Brain" Brain Sciences 10, no. 4: 205. https://doi.org/10.3390/brainsci10040205
APA StyleBajpai, B. K., Zakelis, R., Deimantavicius, M., & Imbrasiene, D. (2020). Comparative Study of Novel Noninvasive Cerebral Autoregulation Volumetric Reactivity Indices Reflected by Ultrasonic Speed and Attenuation as Dynamic Measurements in the Human Brain. Brain Sciences, 10(4), 205. https://doi.org/10.3390/brainsci10040205

