Fabrication of a Silicon Nanowire Solar Cell on a Silicon-on-Insulator Substrate
Abstract
1. Introduction
2. Materials and Methods
2.1. Fabrication of SiNW Arrays
2.2. Solar Cell Fabrication
3. Results and Discussion
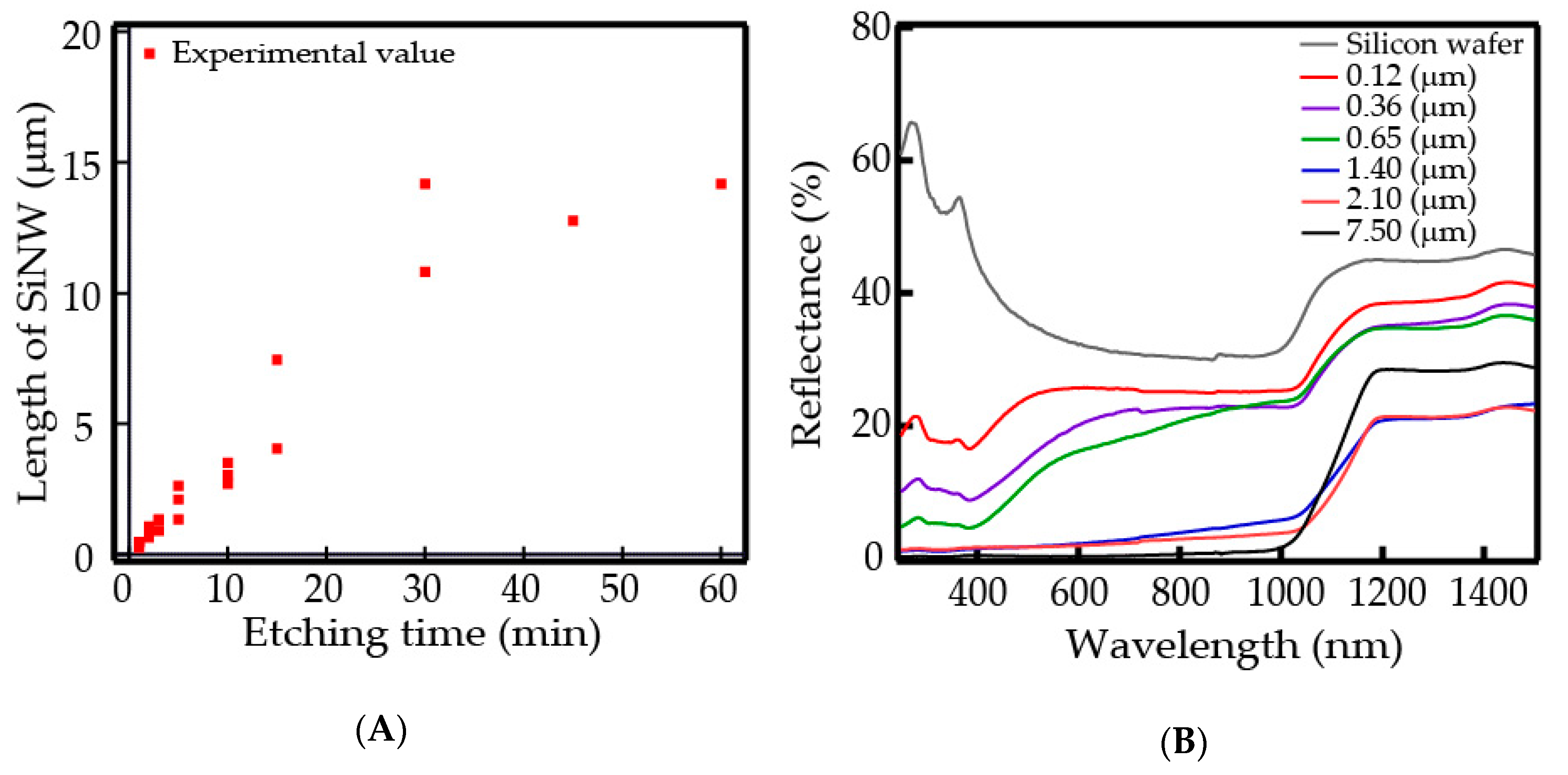
3.1. Evaluation of Structure and rReflectance of SiNWs on Si Wafers
3.2. Properties of Solar Cells with the SiNW Array Structure on an SOI Substrate
4. Conclusions
Author Contributions
Funding
Conflicts of Interest
References
- Yoshikawa, K.; Kawasaki, H.; Yoshida, W.; Irie, T.; Konishi, K.; Nakano, K.; Uto, T.; Adachi, D.; Kanmatsu, M.; Uzu, H.; et al. Silicon heterojunction solar cell with interdigitated back contacts for a photoconversion efficiency over 26%. Nat. Energy 2017, 2, 17032. [Google Scholar] [CrossRef]
- Masuko, K.; Shigematsu, M.; Hashiguchi, T.; Fujishima, D.; Kai, M.; Yoshimura, N.; Yamaguchi, T.; Ichihashi, Y.; Mishrima, T.; Matsubara, N.; et al. Achievement of More Than 25% Conversion Efficiency with Crystalline Silicon Heterojunction Solar Cell. IEEE J. Photovolt. 2014, 4, 1433–1435. [Google Scholar] [CrossRef]
- Haase, F.; Hollemann, C.; Schafer, S.; Merkle, A.; Rienacker, M.; Krugener, J.; Brendel, R.; Peibst, R. Laser contact openings for local poly-Si-metal contacts enabling 26.1%-efficient POLO-IBC solar cells. Sol. Energy Mater. Sol. Cells 2018, 186, 184–193. [Google Scholar] [CrossRef]
- Benick, J.; Richter, A.; Muller, R.; Hauser, H.; Feldmann, F.; Krenckel, P.; Riepe, S.; Schindler, F.; Schubert, C.M.; Hermle, M.; et al. High-Efficiency n-Type HP mc Silicon Solar Cells. IEEE J. Photovolt. 2017, 7, 1171–1175. [Google Scholar] [CrossRef]
- Green, M.A. Lifits on the Open-Circut Voltage and Efficiency of Silicon Solar-Cells Imposed by Intrinsic Aurge Processes. IEEE. Electron. Dev. 1984, 31, 671–678. [Google Scholar] [CrossRef]
- Swanson, R.M. Approaching the 29% limit efficiency of silicon solar cells. In Proceedings of the Conference Record of the Thirty-First IEEE Photovoltaic Specialists Conference, Lake Buena Vista, FL, USA, 3–7 January 2005; pp. 889–894. [Google Scholar]
- Sai, H.; Kanamori, Y.; Arafune, K.; Ohshita, Y.; Yamaguchi, M. Light trapping effect of submicron surface textures in crystalline Si solar cells. Prog. Photovolt. 2007, 15, 415–423. [Google Scholar] [CrossRef]
- Zhao, J.H.; Wang, A.H.; Green, M.A.; Ferrazza, F. 19.8% efficient “honeycomb” textured multicrystalline and 24.4% monocrystalline silicon solar cells. Appl. Phys. Lett. 1998, 73, 1991–1993. [Google Scholar] [CrossRef]
- Mavrokefalos, A.; Han, S.E.; Yerci, S.; Branham, M.S.; Chen, G. Efficient Light Trapping in Inverted Nanopyramid Thin Crystalline Silicon Membranes for Solar Cell Applications. Nano Lett. 2012, 12, 2792–2796. [Google Scholar] [CrossRef] [PubMed]
- Green, M.A. Lambertian light trapping in textured solar cells and light-emitting diodes: Analytical solutions. Prog. Photovolt. 2002, 10, 235–241. [Google Scholar] [CrossRef]
- Macdonald, D.H.; Cuevas, A.; Kerr, M.J.; Samundsett, C.; Ruby, D.; Winderbaum, S.; Leo, A. Texturing industrial multicrystalline silicon solar cells. Sol. Energy 2004, 76, 277–283. [Google Scholar] [CrossRef]
- Kato, S.; Kurokawa, Y.; Watanabe, Y.; Yamada, Y.; Yamada, A.; Ohta, Y.; Niwa, Y.; Hirota, M. Optical assessment of silicon nanowire arrays fabricated by metal-assisted chemical etching. Nanoscale Res. 2013, 8. [Google Scholar] [CrossRef] [PubMed]
- Kurokawa, Y.; Nezasa, R.; Kato, S.; Miyazaki, H.; Takahashi, I.; Usami, N. Fabrication of silicon nanowire based solar cells using TiO2/Al2O3 stack thin films. Mrs Adv. 2018, 3, 1419–1426. [Google Scholar] [CrossRef]
- Ishikawa, R.; Kato, S.; Yamazaki, T.; Kurokawa, Y.; Miyajima, S.; Konagai, M. Solid-phase crystallization of amorphous silicon nanowire array and optical properties. Jpn. J. Appl. Phys. 2014, 53. [Google Scholar] [CrossRef]
- Cui, Y.; Duan, X.F.; Hu, J.T.; Lieber, C.M. Doping and electrical transport in silicon nanowires. J. Phys. Chem. 2000, 104, 5213–5216. [Google Scholar] [CrossRef]
- Zhang, Y.F.; Tang, Y.H.; Wang, N.; Yu, D.P.; Lee, C.S.; Bello, I.; Lee, S.T. Silicon nanowires prepared by laser ablation at high temperature. Appl. Phys. Lett. 1998, 72, 1835–1837. [Google Scholar] [CrossRef]
- Pan, H.; Lim, S.; Poh, C.; Sun, H.; Wu, X.; Feng, Y.; Lin, J. Growth of Si nanowires by thermal evaporation. Nanotechnology 2005, 16, 417–421. [Google Scholar] [CrossRef]
- Hannon, J.B.; Kodambaka, S.; Ross, F.M.; Tromp, R.M. The influence of the surface migration of gold on the growth of silicon nanowires. Nature 2006, 440, 69–71. [Google Scholar] [CrossRef] [PubMed]
- Gunawan, O.; Guha, S. Characteristics of vapor-liquid-solid grown silicon nanowire solar cells. Sol. Energy Mater. Sol. Cells 2009, 93, 1388–1393. [Google Scholar] [CrossRef]
- Huang, Z.P.; Fang, H.; Zhu, J. Fabrication of silicon nanowire arrays with controlled diameter, length, and density. Adv. Mater. 2007, 19, 744–748. [Google Scholar] [CrossRef]
- Garnett, E.; Yang, P.D. Light Trapping in Silicon Nanowire Solar Cells. Nano Lett. 2010, 10, 1082–1087. [Google Scholar] [CrossRef] [PubMed]
- Peng, K.Q.; Yan, Y.J.; Gao, S.P.; Zhu, J. Synthesis of large-area silicon nanowire arrays via self-assembling nanoelectrochemistry. Adv. Mater. 2002, 14, 1164–1167. [Google Scholar] [CrossRef]
- Jung, J.Y.; Guo, Z.; Jee, S.W.; Um, H.D.; Park, K.T.; Lee, J.H. A strong antireflective solar cell prepared by tapering silicon nanowires. Opt. Express 2010, 18, A286–A292. [Google Scholar] [CrossRef] [PubMed]
- Chern, W.; Hsu, K.; Chun, I.S.; de Azeredo, B.P.; Ahmed, N.; Kim, K.H. Nonlithographic Patterning and Metal-Assisted Chemical Etching for Manufacturing of Tunable Light-Emitting Silicon Nanowire Arrays. Nano Lett. 2010, 10, 1582–1588. [Google Scholar] [CrossRef] [PubMed]
- Peng, K.Q.; Zhang, M.L.; Lu, A.J.; Wong, N.B.; Zhang, R.Q.; Lee, S.T. Ordered silicon nanowire arrays via nanosphere lithography and metal-induced etching. App. Phys. Lett. 2007, 90. [Google Scholar] [CrossRef]
- Kato, S.; Watanabe, Y.; Kurokawa, Y.; Yamada, A.; Ohta, Y.; Niwa, Y.; Hirota, M. Metal-Assisted Chemical Etching Using Silica Nanoparticle for the Fabrication of a Silicon Nanowire Array. Jpn. J. Appl. Phys. 2012, 51. [Google Scholar] [CrossRef]
- Zhang, M.L.; Peng, K.Q.; Fan, X.; Jie, J.S.; Zhang, R.Q.; Lee, S.T.; Wong, N.B. Preparation of large-area uniform silicon nanowires arrays through metal-assisted chemical etching. J. Phys. Chem. C 2008, 112, 4444–4450. [Google Scholar] [CrossRef]
- Kayes, B.M.; Atwater, H.A.; Lewis, N.S. Comparison of the device physics principles of planar and radial p-n junction nanorod solar cells. J. Appl. Phys. 2005, 97. [Google Scholar] [CrossRef]
- Shen, X.J.; Sun, B.Q.; Liu, D.; Lee, S.T. Hybrid Heterojunction Solar Cell Based on Organic-Inorganic Silicon Nanowire Array Architecture. J. Am. Chem. Soc. 2011, 133, 19408–19415. [Google Scholar] [CrossRef] [PubMed]
- Yu, P.C.; Tsai, C.Y.; Chang, J.K.; Lai, C.C.; Chen, P.H.; Lai, Y.C.; Tsai, P.T.; Li, M.C.; Pan, H.Z.; Huang, Y.Y.; et al. 13% Efficiency Hybrid Organic/Silicon-Nanowire Heterojunction Solar Cell via Interface Engineering. ACS Nano 2013, 7, 10780–10787. [Google Scholar] [CrossRef] [PubMed]
- Zeng, L.S.; Yu, X.G.; Han, Y.G.; Yang, D.R. Performance of Silicon Nanowire Solar Cells with Phosphorus-Diffused Emitters. J. Nanomater. 2012. [Google Scholar] [CrossRef]
- Kumar, D.; Srivastava, S.K.; Singh, P.K.; Husain, M.; Kumar, V. Fabrication of silicon nanowire arrays based solar cell with improved performance. Sol. Energy Mater. Sol. Cells 2011, 95, 215–218. [Google Scholar] [CrossRef]







| Reference | Length of SiNW | Purpose | Doping Concentration of SiNW | pn-Junction Type | Substrate |
|---|---|---|---|---|---|
| This study | 9 μm | Absorption layer | 1015–1016 cm−3 | Heterojunction (SiNW/a-Si) | SOI substrate (SiNW:9 μm Si layer:1 μm) |
| Ref [29,30] | <1 μm | Anti-reflection | 1015–1016 cm−3 | Heterojunction (organic/SiNW) | Si wafer |
| Ref [31,32] | <4 μm | Anti-reflection | >1019 cm−3 | Homo-junction | Si wafer |
© 2019 by the authors. Licensee MDPI, Basel, Switzerland. This article is an open access article distributed under the terms and conditions of the Creative Commons Attribution (CC BY) license (http://creativecommons.org/licenses/by/4.0/).
Share and Cite
Kato, S.; Kurokawa, Y.; Gotoh, K.; Soga, T. Fabrication of a Silicon Nanowire Solar Cell on a Silicon-on-Insulator Substrate. Appl. Sci. 2019, 9, 818. https://doi.org/10.3390/app9050818
Kato S, Kurokawa Y, Gotoh K, Soga T. Fabrication of a Silicon Nanowire Solar Cell on a Silicon-on-Insulator Substrate. Applied Sciences. 2019; 9(5):818. https://doi.org/10.3390/app9050818
Chicago/Turabian StyleKato, Shinya, Yasuyoshi Kurokawa, Kazuhiro Gotoh, and Tetsuo Soga. 2019. "Fabrication of a Silicon Nanowire Solar Cell on a Silicon-on-Insulator Substrate" Applied Sciences 9, no. 5: 818. https://doi.org/10.3390/app9050818
APA StyleKato, S., Kurokawa, Y., Gotoh, K., & Soga, T. (2019). Fabrication of a Silicon Nanowire Solar Cell on a Silicon-on-Insulator Substrate. Applied Sciences, 9(5), 818. https://doi.org/10.3390/app9050818

