Analysis of Application Parameters of Hydraulic Slotting Technology in Jointed Coal Reservoirs
Abstract
1. Introduction
2. Optimization of Borehole Angles
2.1. Crack Initiation Criteria
2.2. Establishment of Model
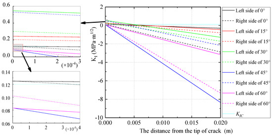
2.3. Simulation Results and Analysis
3. Optimization of Slotting Parameters
3.1. Test System and Specimen Preparation
3.2. Effect of Slotting Parameters on Slot Shape
3.2.1. Effect of Pump Pressure on Slot Shape
3.2.2. Effect of Transverse Slotting Speed on Slot Shape
3.3. Effect of Slotting Parameters on Crack Development
4. Field Application
4.1. Application Details
4.2. Application Effect
5. Conclusions
Author Contributions
Funding
Conflicts of Interest
References
- Karacan, C.O.; Ruiz, F.A.; Cote, M.; Phipps, S. Coal mine methane: A review of capture and utilization practices with benefits to mining safety and to greenhouse gas reduction. Int. J. Coal Geol. 2011, 86, 121–156. [Google Scholar] [CrossRef]
- Liu, X.F.; Song, D.Z.; He, X.Q.; Nie, B.S.; Wang, L.K. Insight into the macromolecular structural differences between hard coal and deformed soft coal. Fuel 2019, 245, 188–197. [Google Scholar] [CrossRef]
- Ritter, D.; Vinson, D.; Barnhart, E.; Akob, D.M.; Fields, M.W.; Cunningham, A.; Orem, W.; McIntosh, J.C. Enhanced microbial coalbed methane generation: A review of research, commercial activity, and remaining challenges. Int. J. Coal Geol. 2015, 146, 28–41. [Google Scholar] [CrossRef]
- Moore, T.A. Coalbed methane: A review. Int. J. Coal Geol. 2012, 101, 36–81. [Google Scholar] [CrossRef]
- Vedachalam, N.; Srinivasalu, S.; Rajendran, G.; Ramadass, G.A.; Atmanand, M.A. Review of unconventional hydrocarbon resources in major energy consuming countries and efforts in realizing natural gas hydrates as a future source of energy. J. Nat. Gas Sci. Eng. 2015, 26, 163–175. [Google Scholar] [CrossRef]
- Towler, B.; Firouzi, M.; Underschultz, J.; Rifkin, W.; Garnett, A.; Schultz, H.; Esterle, J.; Tyson, S.; Witt, K. An overview of the coal seam gas developments in Queensland. J. Nat. Gas Sci. Eng. 2016, 31, 249–271. [Google Scholar] [CrossRef]
- Li, H.Y.; Lau, H.C.; Huang, S. China’s coalbed methane development: A review of the challenges and opportunities in subsurface and surface engineering. J. Pet. Sci. Eng. 2018, 166, 621–635. [Google Scholar] [CrossRef]
- Aguado, M.B.D.; Nicieza, C.G. Control and prevention of gas outbursts in coal mines, Riosa-Olloniego coalfield, Spain. Int. J. Coal Geol. 2007, 69, 253–266. [Google Scholar] [CrossRef]
- Zuo, S.J.; Ge, Z.L.; Zhou, Z.; Wang, L.; Zhao, H.Y. A Novel Hydraulic Mode to Promote Gas Extraction: Pressure Relief Technologies for Tectonic Regions and Fracturing Technologies for Nontectonic Regions. Appl. Sci. 2019, 9, 1404. [Google Scholar] [CrossRef]
- Cheng, L.; Ge, Z.L.; Xia, B.W.; Li, Q.; Tang, J.R.; Cheng, Y.G.; Zuo, S.J. Research on Hydraulic Technology for Seam Permeability Enhancement in Underground Coal Mines in China. Energies 2018, 11, 427. [Google Scholar] [CrossRef]
- Zhang, H.; Cheng, Y.P.; Liu, Q.Q.; Yuan, L.; Dong, J.; Wang, L.; Qi, Y.X.; Wang, W. A novel in-seam borehole hydraulic flushing gas extraction technology in the heading face: Enhanced permeability mechanism, gas flow characteristics, and application. J. Nat. Gas Sci. Eng. 2017, 46, 498–514. [Google Scholar] [CrossRef]
- Shimizu, H.; Murata, S.; Ishida, T. The distinct element analysis for hydraulic fracturing in hard rock considering fluid viscosity and particle size distribution. Int. J. Rock Mech. Min. Sci. 2011, 48, 712–727. [Google Scholar] [CrossRef]
- Lu, Y.Y.; Zuo, S.J.; Ge, Z.L.; Xiao, S.Q.; Cheng, Y.G. Experimental Study of Crack Initiation and Extension Induced by Hydraulic Fracturing in a Tree-Type Borehole Array. Energies 2016, 9, 514. [Google Scholar] [CrossRef]
- Zheng, C.S.; Lin, B.Q.; Kizil, M.S.; Aminossadati, S.M.; Li, H.; Chen, Z.W. Analysis on the multi-phase flow characterization in cross-measure borehole during coal hydraulic slotting. Int. J. Min. Sci. Technol. 2018, 28, 701–705. [Google Scholar] [CrossRef]
- Lin, B.Q.; Liu, T.; Zou, Q.L.; Zhu, C.J.; Yan, F.Z.; Zhang, Z. Crack propagation patterns and energy evolution rules of coal within slotting disturbed zone under various lateral pressure coefficients. Arab. J. Geosci. 2015, 8, 6643–6654. [Google Scholar]
- Jiang, J.Y.; Yang, W.H.; Cheng, Y.P.; Lv, B.M.; Zhang, K.; Zhao, K. Application of Hydraulic Flushing in Coal Seams to Reduce Hazardous Outbursts in the Mengjin Mine, China. Environ. Eng. Geosci. 2018, 24, 425–440. [Google Scholar] [CrossRef]
- Zhang, Y.J.; Zou, Q.L. A prediction model for the slot depth of high pressure water jet. Results Phys. 2018, 11, 1105–1109. [Google Scholar] [CrossRef]
- Zou, Q.L.; Lin, B.Q.; Liu, T.; Zhou, Y.; Zhang, Z.; Yan, F.Z. Variation of methane adsorption property of coal after the treatment of hydraulic slotting and methane pre-drainage: A case study. J. Nat. Gas Sci. Eng. 2014, 20, 396–406. [Google Scholar] [CrossRef]
- Zou, Q.L.; Lin, B.Q. Fluid-solid coupling characteristics of gas-bearing coal subjected to hydraulic slotting: An experimental investigation. Energy Fuels 2018, 32, 1047–1060. [Google Scholar] [CrossRef]
- Simone, A.; Duarte, C.A.; Van der Giessen, E. A Generalized Finite Element Method for polycrystals with discontinuous grain boundaries. Int. J. Numer. Methods Eng. 2006, 67, 1122–1145. [Google Scholar] [CrossRef]
- Belytschko, T.; Gracie, R.; Ventura, G. A Review of Extended/Generalized Finite Element Methods for Material Modelling. Model. Simul. Mater. Sci. Eng. 2009, 17, 043001. [Google Scholar] [CrossRef]
- Prevost, J.; Sukumar, N. Faults simulations for three-dimensional reservoir-geomechanical Models with the extended finite element method. J. Mech. Phys. Solids 2015, 86, 1–18. [Google Scholar] [CrossRef]
- Prevost, J. Two-way coupling in reservoir-geomechanical models: Vertex-centered Galerkin geomechanical model cell-centered and vertex-centered finite volume reservoir models. Int. J. Numer. Methods Eng. 2014, 98, 612–624. [Google Scholar] [CrossRef]
- Liu, C.; Prevost, J.; Sukumar, N. Modeling branched and intersecting faults in reservoir-geomechanics models with the extended finite element method. Int. J. Numer. Anal. Methods Geomech. 2019. [Google Scholar] [CrossRef]
- Rivas, E.; Esfahani, M.; Gracie, R. A two-dimensional eXtended Finite Element Method model of Discrete Fracture Networks: An eXtended Finite Element Method model of Discrete Fracture Networks. Int. J. Numer. Methods Eng. 2018, 117, 1263–1282. [Google Scholar] [CrossRef]
- Zhang, J.G.; Zhang, J.J.; Zhou, Z. Investigation of a Self-Excited Pulsed Water Jet Slotting for Coal Roadway Driving. Adv. Eng. Res. 2016, 73, 475–481. [Google Scholar]
- Lin, B.Q.; Yan, F.Z.; Zhu, C.J.; Zhou, Y.; Zou, Q.L.; Guo, C.; Liu, T. Cross-borehole hydraulic slotting technique for preventing and controlling coal and gas outbursts during coal roadway excavation. J. Nat. Gas Sci. Eng. 2015, 26, 518–525. [Google Scholar] [CrossRef]
- Kong, X.G.; Wang, E.Y.; Liu, X.F.; Li, N.; Chen, L.; Feng, J.J.; Kong, B.; Li, D.X.; Liu, Q.L. Coupled analysis about multi-factors to the effective influence radius of hydraulic flushing: Application of response surface methodology. J. Nat. Gas Sci. Eng. 2016, 32, 538–548. [Google Scholar] [CrossRef]
- Ge, Z.; Li, S.; Zhou, Z.; Lu, Y.; Xia, B.; Tang, J. Modeling and experiment on permeability of coal with hydraulic fracturing by stimulated reservoir volume. Rock Mech. Rock Eng. 2019, 52, 2605–2615. [Google Scholar] [CrossRef]
- Liu, Y.L.; Xu, H.; Tang, D.Z.; Mathews, J.P.; Zhai, Y.Y.; Hou, W.; Li, S.; Tao, S.; Xiong, X.Y.; Wang, W. The impact of the coal macrolithotype on reservoir productivity, hydraulic fracture initiation and propagation. Fuel 2019, 239, 471–483. [Google Scholar] [CrossRef]
- Xu, B.X.; Li, X.F.; Haghighi, M.; Ren, W.N.; Du, X.Y.; Chen, D.; Zhai, Y.Y. Optimization of hydraulically fractured well configuration in anisotropic coal-bed methane reservoirs. Fuel 2013, 107, 859–865. [Google Scholar] [CrossRef]
- Li, Y.W.; Jia, D.; Wang, M.; Liu, J.; Fu, C.K.; Yang, X.L.; Ai, C. Hydraulic fracturing model featuring initiation beyond the wellbore wall for directional well in coal bed. J. Geophys. Eng. 2016, 13, 536–548. [Google Scholar] [CrossRef]
- Ni, H.J.; Wang, R.H.; Zhang, Y.Q. A damage model for rock under high pressure water jet. Eng. Mech. 2003, 20, 59–62. (In Chinese) [Google Scholar]
- Liang, S.; Ren, X.; Li, J. A mesh-size-objective modeling of quasi-brittle material using micro-cell informed damage law. Int. J. Damage Mech. 2018, 27, 913–936. [Google Scholar] [CrossRef]
- Zhou, L.; Wang, C.; Zhang, X. Finite element simulation of hot rolling process for SiCp/Al composites. Acta Metall. Sin. 2015, 51, 889–896. (In Chinese) [Google Scholar]
- Crastiu, I.; Pop-Gozman, C.; Deac, S. The influence of the mesh element size on the natural frequencies of beam. In Proceedings of the 2018 IEEE 16th International Symposium on Intelligent Systems and Informatics (SISY), Subotica, Serbia, 13–15 September 2018; pp. 137–142. [Google Scholar]
- Dehkhoda, S.; Hood, M. An experimental study of surface and sub-surface damage in pulsed water-jet breakage of rocks. Int. J. Rock Mech. Min. Sci. 2013, 63, 138–147. [Google Scholar] [CrossRef]
- Lu, Y.Y.; Xiao, S.Q.; Ge, Z.L.; Zhou, Z.; Ling, Y.F.; Wang, L. Experimental study on rock-breaking performance of water jets generated by self-rotatory bit and rock failure mechanism. Powder Technol. 2019, 346, 203–216. [Google Scholar] [CrossRef]














| Properties | Values |
|---|---|
| Young’s Modulus (MPa) | 1750 |
| Poisson’s ratio | 0.3 |
| Density (kg.m−3) | 1400 |
| Internal friction angle (°) | 23 |
| Uniaxial compressive strength (MPa) | 13 |
| Fracture toughness (MPa·m1/2) | 0.11 |
| Initial porosity | 0.0186 |
© 2019 by the authors. Licensee MDPI, Basel, Switzerland. This article is an open access article distributed under the terms and conditions of the Creative Commons Attribution (CC BY) license (http://creativecommons.org/licenses/by/4.0/).
Share and Cite
Ge, Z.; Zuo, S.; Wang, Y.; Lyu, Y.; Feng, X. Analysis of Application Parameters of Hydraulic Slotting Technology in Jointed Coal Reservoirs. Appl. Sci. 2019, 9, 5536. https://doi.org/10.3390/app9245536
Ge Z, Zuo S, Wang Y, Lyu Y, Feng X. Analysis of Application Parameters of Hydraulic Slotting Technology in Jointed Coal Reservoirs. Applied Sciences. 2019; 9(24):5536. https://doi.org/10.3390/app9245536
Chicago/Turabian StyleGe, Zhaolong, Shaojie Zuo, Yingwei Wang, Youchang Lyu, and Xinyan Feng. 2019. "Analysis of Application Parameters of Hydraulic Slotting Technology in Jointed Coal Reservoirs" Applied Sciences 9, no. 24: 5536. https://doi.org/10.3390/app9245536
APA StyleGe, Z., Zuo, S., Wang, Y., Lyu, Y., & Feng, X. (2019). Analysis of Application Parameters of Hydraulic Slotting Technology in Jointed Coal Reservoirs. Applied Sciences, 9(24), 5536. https://doi.org/10.3390/app9245536

