Three-Dimensional Reconstruction of Thermal Volumetric Sources from Surface Temperature Fields Measured by Infrared Thermography
Abstract
1. Introduction
2. Methodology of the Inversion
2.1. Direct Problem
2.2. Inverse Problem
2.3. Regularization Methods
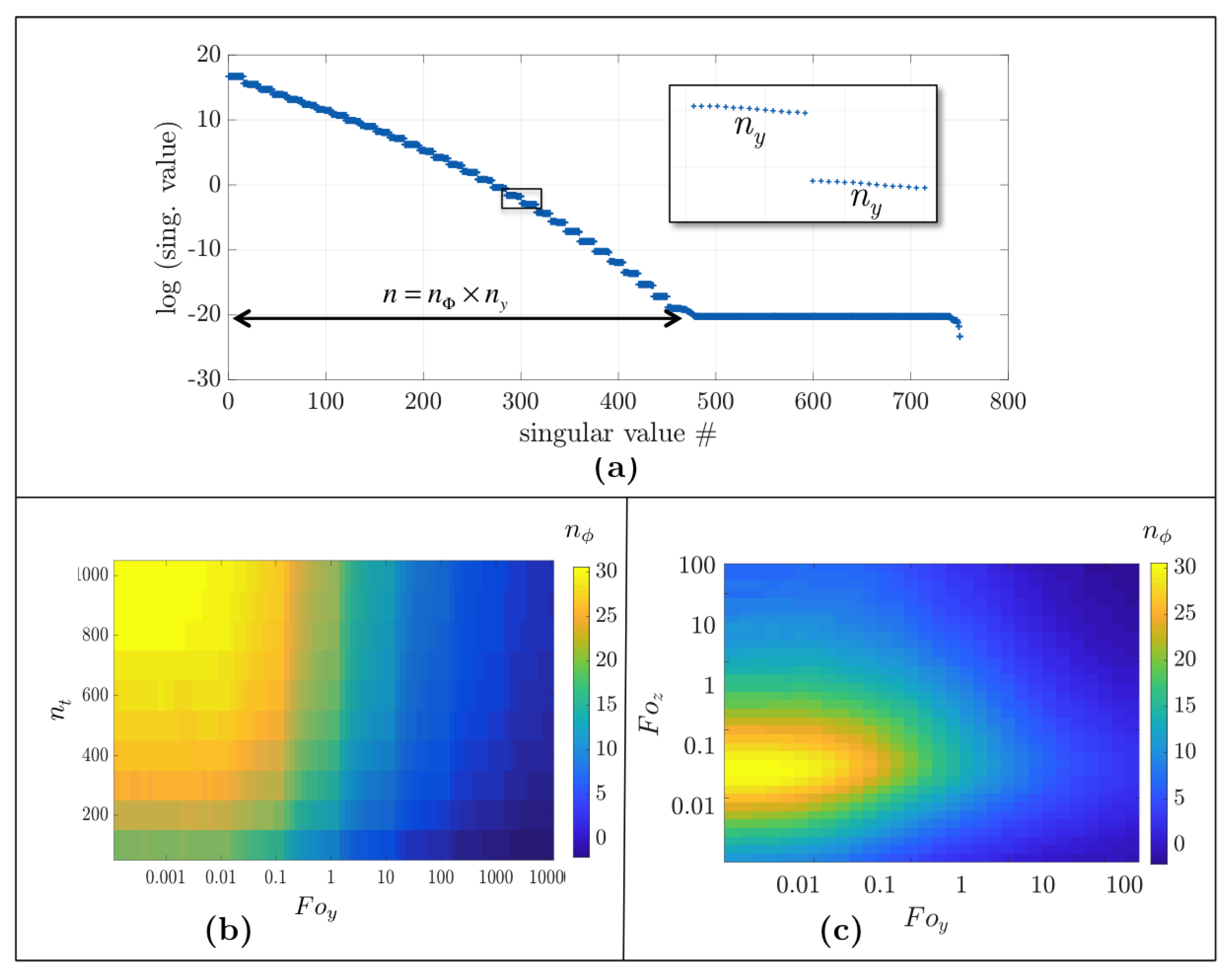
3. Highlighting an Optimal Criterion Based on Fourier Number
3.1. Analysis of the Criterion
Analysis of the Influence of Each Mode
3.2. 3D Generalisation
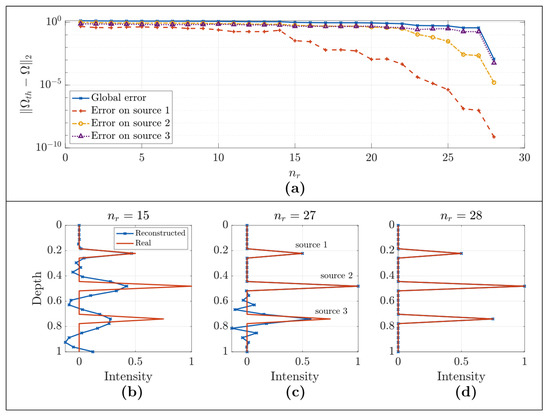
3.3. Application of the Criterion on a 3D Example
3.4. Coupling the Fourier Criterion and the Regularization Parameter
4. Experimental Results
5. Conclusions
Author Contributions
Funding
Acknowledgments
Conflicts of Interest
References
- Crowther, D.; Favro, L.; Kuo, P.; Thomas, R. Inverse scattering algorithm applied to infrared thermal wave images. J. Appl. Phys. 1993, 74, 5828–5834. [Google Scholar] [CrossRef]
- Mendioroz, A.; Castelo, A.; Celorrio, R.; Salazar, A. Characterization of vertical buried defects using lock-in vibrothermography: I. Direct problem. Meas. Sci. Technol. 2013, 24, 065601. [Google Scholar] [CrossRef]
- Mendioroz, A.; Castelo, A.; Celorrio, R.; Salazar, A. Characterization and spatial resolution of cracks using lock-in vibrothermography. NDT E Int. 2014, 66, 8–15. [Google Scholar] [CrossRef]
- Mendioroz, A.; Celorrio, R.; Cifuentes, A.; Zatón, L.; Salazar, A. Sizing vertical cracks using burst vibrothermography. NDT E Int. 2016, 84, 36–46. [Google Scholar] [CrossRef]
- Celorrio, R.; Mendioroz, A.; Salazar, A. Characterization of vertical buried defects using lock-in vibrothermography: II. Inverse problem. Meas. Sci. Technol. 2013, 24, 065602. [Google Scholar] [CrossRef]
- Mendioroz, A.; Castelo, A.; Celorrio, R.; Salazar, A. Defect Characterization from Lock-in Vibrothermography Data. Int. J. Thermophys. 2015, 36, 1208–1216. [Google Scholar] [CrossRef]
- Burgholzer, P.; Thor, M.; Gruber, J.; Mayr, G. Three-dimensional thermographic imaging using a virtual wave concept. J. Appl. Phys. 2017, 121, 105102. [Google Scholar] [CrossRef]
- Waters, S.; Burgholzer, P.; Mendioroz, A.; de Ocáriz, I.S. 3D reconstruction of tilted cracks using infrared thermography and the virtual wave concept. In Proceedings of the 14th International Conference on Quantitative Infrared Thermography, Berlin, Germany, 25–29 June 2018. [Google Scholar]
- Özışık, M.N. Heat Conduction; John Wiley & Sons: Hoboken, NJ, USA, 1993. [Google Scholar]
- Maillet, D. Thermal Quadrupoles: Solving the Heat Equation through Integral Transforms; John Wiley & Sons Inc.: Hoboken, NJ, USA, 2000. [Google Scholar]
- Gray, R.M. Toeplitz and circulant matrices: A review. Found. Trends Commun. Inf. Theory 2006, 2, 155–239. [Google Scholar] [CrossRef]
- Moore, E.H. On the reciprocal of the general algebraic matrix. Bull. Am. Math. Soc. 1920, 26, 394–395. [Google Scholar]
- Penrose, R. A generalized inverse for matrices. In Mathematical Proceedings of the Cambridge Philosophical Society; Cambridge University Press: Cambridge, UK, 1955; Volume 51, pp. 406–413. [Google Scholar]
- Stewart, G.W. On the early history of the singular value decomposition. SIAM Rev. 1993, 35, 551–566. [Google Scholar] [CrossRef]
- Jordan, C. Sur la réduction des formes bilinéaires. Comptes Rendus de l’Académie des Sciences 1874, 78, 614–617. [Google Scholar]
- Sylvester, J.J. Sur la reduction biorthogonale d’une forme lineo-linéaire a sa forme canonique. Comptes Rendus 1889, 108, 651–653. [Google Scholar]
- Picard, É. Sur un theoreme general relatif aux equations integrales de premiere espece et sur quelques problemes de physique mathematique. Rendiconti del Circolo Matematico di Palermo (1884–1940) 1910, 29, 79–97. [Google Scholar] [CrossRef]
- Hadamard, J. Lectures on Cauchy’s Problem in Linear Partial Differential Equations; Yale University Press: New Haven, CT, USA, 1923; Volume 37. [Google Scholar]
- Vogel, C.R. Computational Methods for Inverse Problems; SIAM: Philadelphia, PA, USA, 2002; Volume 23. [Google Scholar]
- Hanke, M.; Hansen, P.C. Regularization methods for large-scale problems. Surv. Math. Ind. 1993, 3, 253–315. [Google Scholar]
- Hansen, P.C. Rank-Deficient and Discrete Ill-Posed Problems: Numerical Aspects of Linear Inversion; SIAM: Philadelphia, PA, USA, 2005; Volume 4. [Google Scholar]
- Hansen, P.C.; O’Leary, D.P. The use of the L-curve in the regularization of discrete ill-posed problems. SIAM J. Sci. Comput. 1993, 14, 1487–1503. [Google Scholar] [CrossRef]
- Thompson, A.M.; Brown, J.C.; Kay, J.W.; Titterington, D.M. A study of methods of choosing the smoothing parameter in image restoration by regularization. IEEE Trans. Pattern Anal. Mach. Intell. 1991, 13, 326–339. [Google Scholar] [CrossRef]
- Tikhonov, A.N. On the solution of ill-posed problems and the method of regularization. In Doklady Akademii Nauk; Russian Academy of Sciences: Moscow, Russia, 1963; Volume 151, pp. 501–504. [Google Scholar]
- Tibshirani, R. Regression shrinkage and selection via the lasso. J. R. Stat. Soc. Ser. Methodol. 1996, 58, 267–288. [Google Scholar] [CrossRef]















© 2019 by the authors. Licensee MDPI, Basel, Switzerland. This article is an open access article distributed under the terms and conditions of the Creative Commons Attribution (CC BY) license (http://creativecommons.org/licenses/by/4.0/).
Share and Cite
Groz, M.-M.; Abisset-Chavanne, E.; Meziane, A.; Sommier, A.; Pradère, C. Three-Dimensional Reconstruction of Thermal Volumetric Sources from Surface Temperature Fields Measured by Infrared Thermography. Appl. Sci. 2019, 9, 5464. https://doi.org/10.3390/app9245464
Groz M-M, Abisset-Chavanne E, Meziane A, Sommier A, Pradère C. Three-Dimensional Reconstruction of Thermal Volumetric Sources from Surface Temperature Fields Measured by Infrared Thermography. Applied Sciences. 2019; 9(24):5464. https://doi.org/10.3390/app9245464
Chicago/Turabian StyleGroz, Marie-Marthe, Emmanuelle Abisset-Chavanne, Anissa Meziane, Alain Sommier, and Christophe Pradère. 2019. "Three-Dimensional Reconstruction of Thermal Volumetric Sources from Surface Temperature Fields Measured by Infrared Thermography" Applied Sciences 9, no. 24: 5464. https://doi.org/10.3390/app9245464
APA StyleGroz, M.-M., Abisset-Chavanne, E., Meziane, A., Sommier, A., & Pradère, C. (2019). Three-Dimensional Reconstruction of Thermal Volumetric Sources from Surface Temperature Fields Measured by Infrared Thermography. Applied Sciences, 9(24), 5464. https://doi.org/10.3390/app9245464

