Analytical Solution for Heat Transfer in Electroosmotic Flow of a Carreau Fluid in a Wavy Microchannel
Abstract
1. Introduction
2. Electroosmotic Peristaltic Carreau Rheological Model
2.1. Flow Regime
2.2. Rheological Carreau Fluid Model
- (a).
- For or , Carreau-model reduces to Newtonian fluids.
- (b).
- For , Carreau-model reduces to pseudoplastic fluids (shear thinning fluids).
- (c).
- For , Carreau-model reduces to dilatant fluids (shear thickening fluids).
2.3. Governing Equations and Non-Dimensionalization
2.4. Distribution of Electric Potential
2.5. Boundary Conditions and Volume Flow Rate
3. Solution Methodology
3.1. Perturbation/Series Solution
3.2. Zero Order System
3.3. First Order System
4. Computational Results and Discussion
4.1. Flow Characteristics
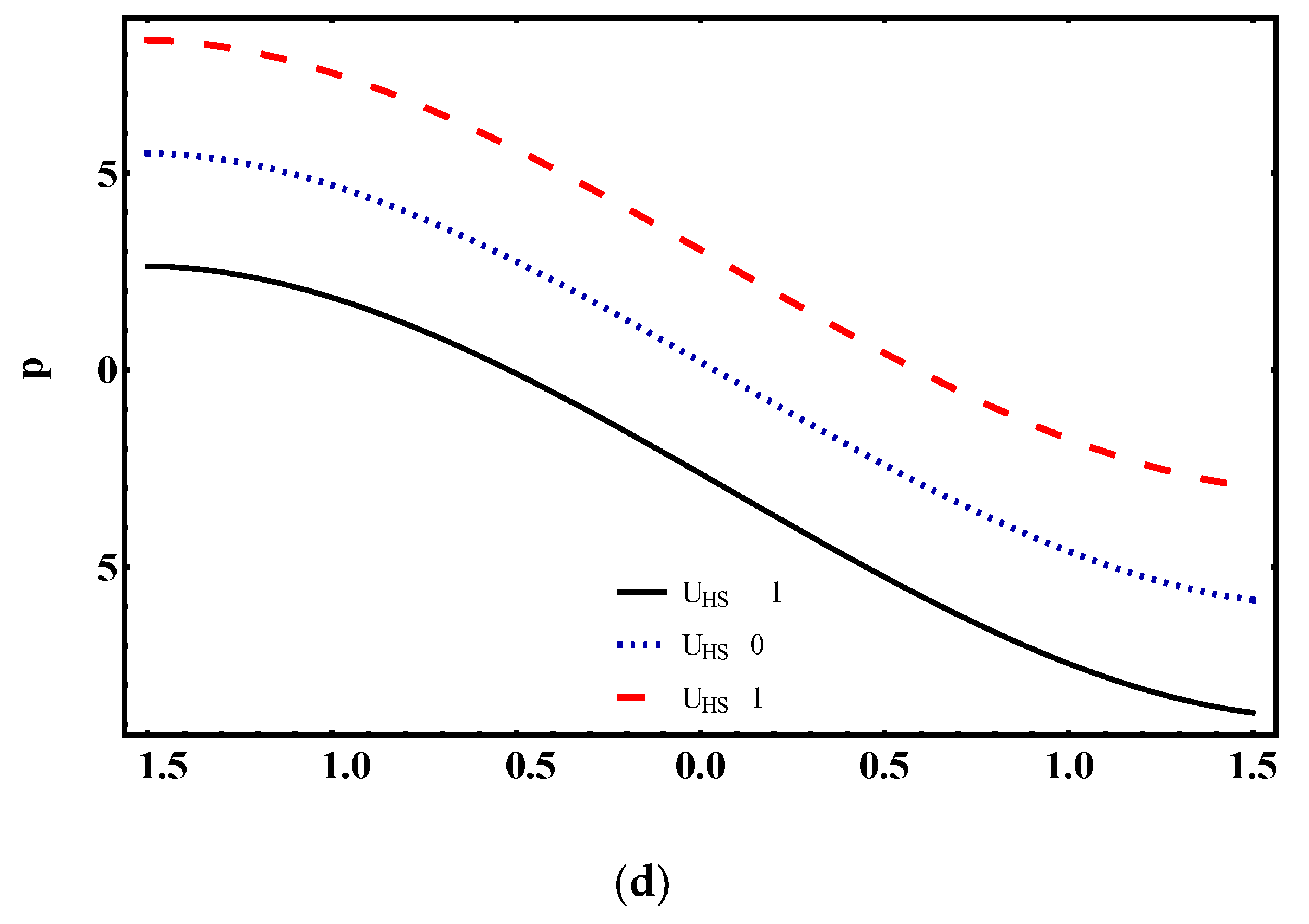
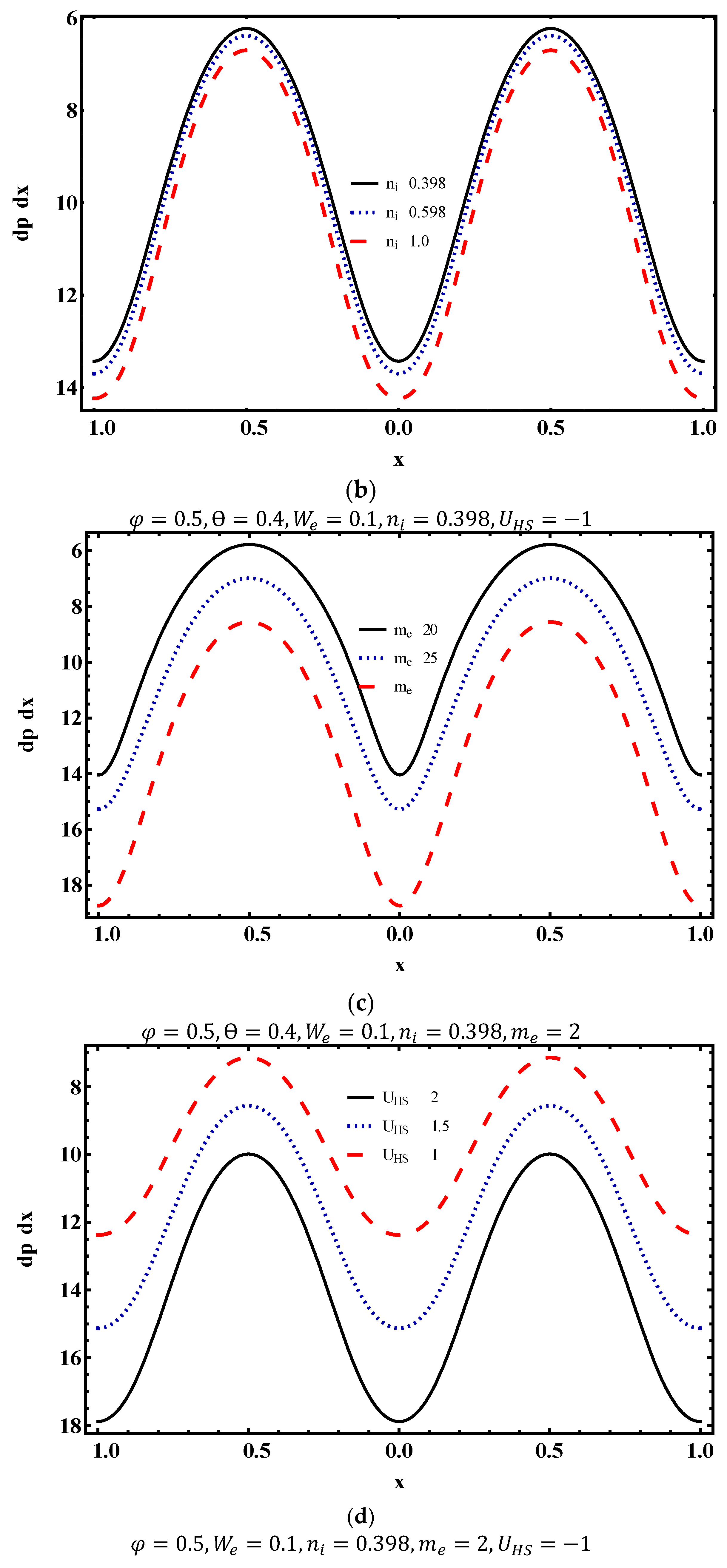
4.2. Pumping Characteristics
4.3. Trapping Characteristics
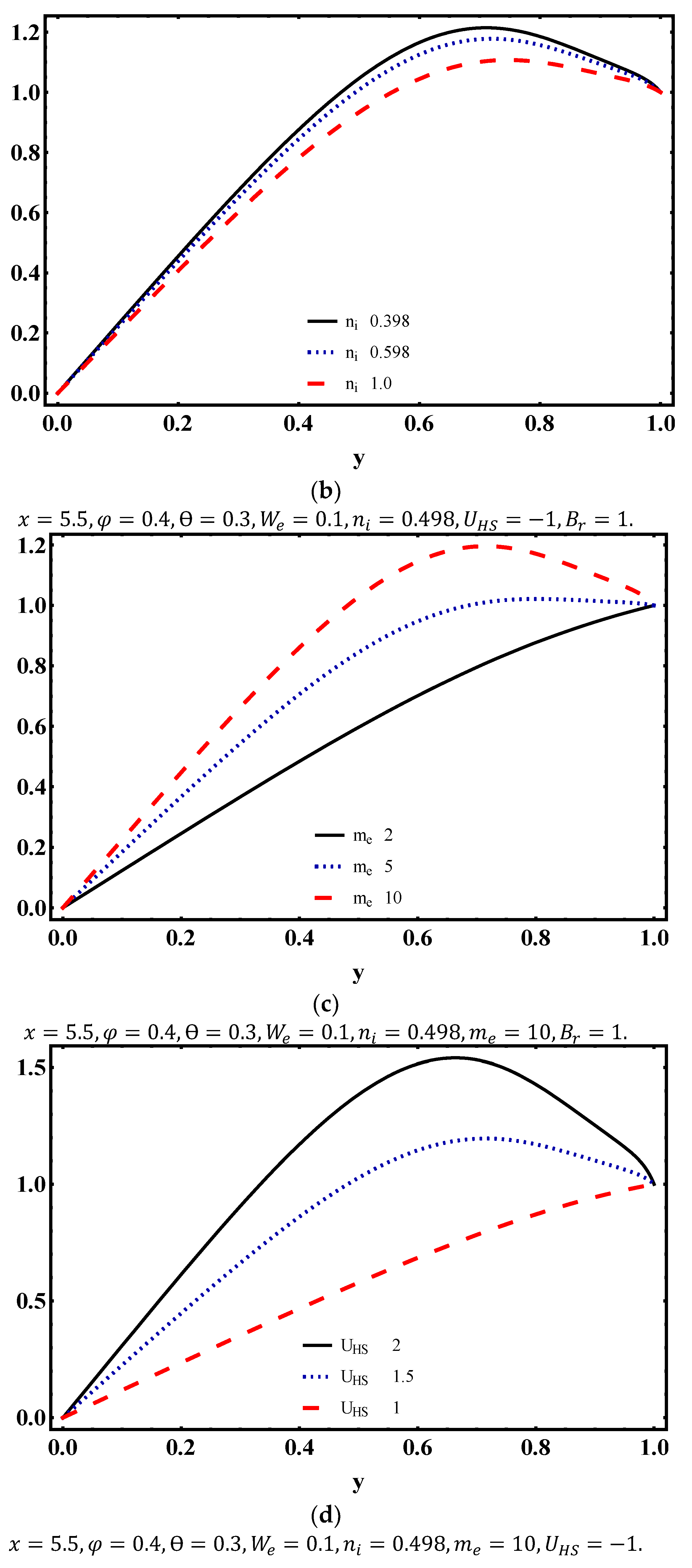
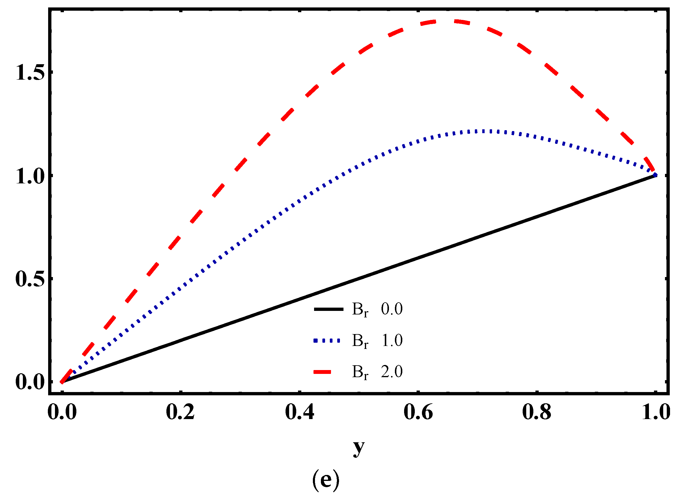
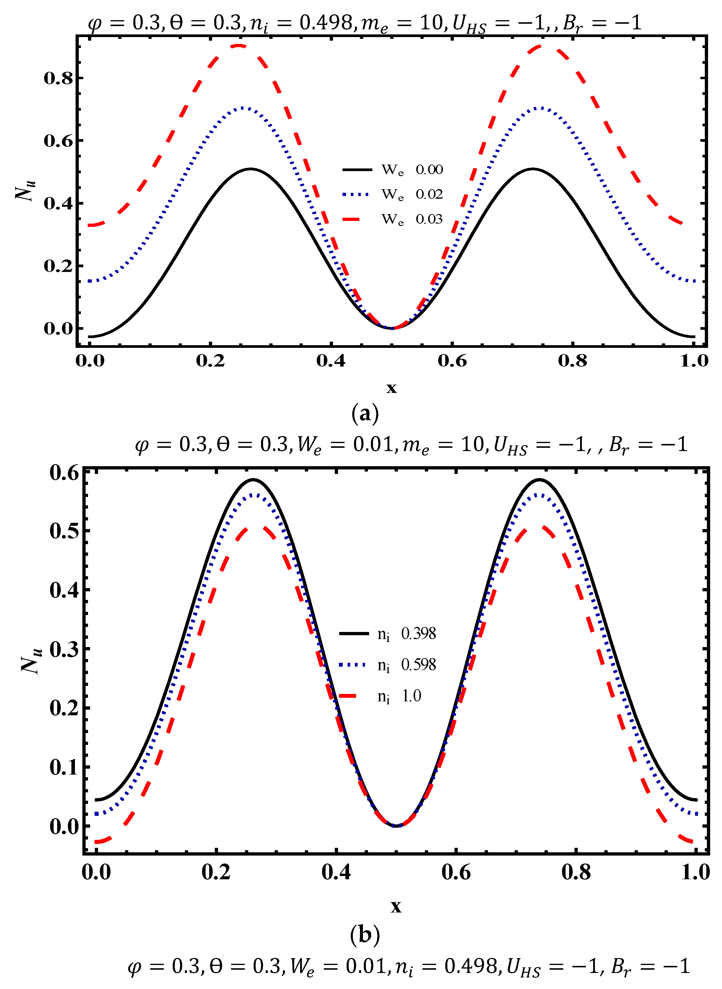
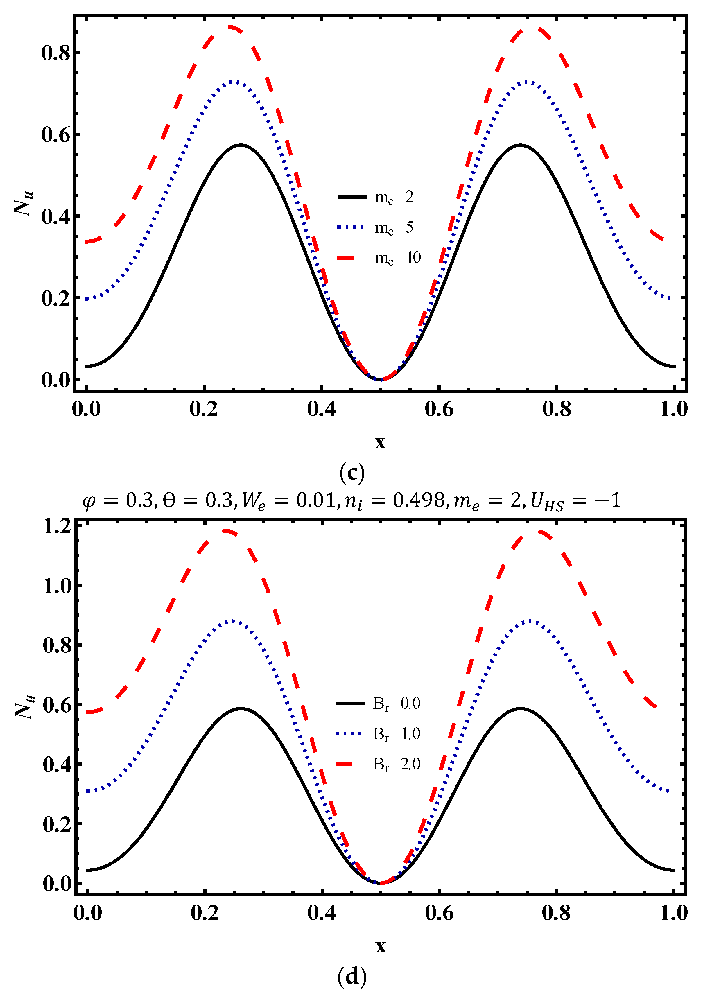
4.4. Temperature Characteristics
5. Concluding Remarks
- The axial velocity increases with higher values of Weissenberg number, electroosmotic parameter and averaged time flow rate.
- The magnitude of pressure rise decreases in the pumping region with the increase of Weissenberg number and electroosmotic parameter.
- Pressure gradient is more for Weissenberg number and Helmholtz–Smoluchowski velocity and declines for fluid index, electroosmotic parameter and averaged time flow rate.
- No. of trapped bolus increases for increasing values of Weissenberg number and electroosmotic parameter. And suppressed for fluid index and Helmholtz–Smoluchowski velocity.
- Temperature distribution strongly depends on Weissenberg number, electroosmotic parameter and Brinkman number.
Author Contributions
Funding
Acknowledgments
Conflicts of Interest
Appendix A
References
- Noreen, S.; Qasim, M. Influence of Hall Current and Viscous Dissipation on Pressure Driven Flow of Pseudoplastic Fluid with Heat Generation: A Mathematical Study. PLoS ONE 2015, 10, e0129588. [Google Scholar] [CrossRef] [PubMed]
- Reddy, M.G.; Makinde, O.D. Magnetohydrodynamic peristaltic transport of Jeffrey nanofluid in an asymmetric channel. J. Mol. Liq. 2016, 223, 1242–1248. [Google Scholar] [CrossRef]
- Noreen, S.; Saleem, M. Soret and Dufour effects on the MHD peristaltic flow in a porous medium with thermal radiation and chemical reaction. Heat Transf. Res. 2016, 47. [Google Scholar] [CrossRef]
- Noreen, S. Effects of Joule Heating and Convective Boundary Conditions on Magnetohydrodynamic Peristaltic Flow of Couple-Stress Fluid. J. Heat Transf. 2016, 138, 094502. [Google Scholar] [CrossRef]
- Makinde, O.D.; Reddy, M.G.; Reddy, K.V. Effects of thermal radiation on MHD peristaltic motion of walters-b fluid with heat source and slip conditions. Energy 2017, 5, 7. [Google Scholar] [CrossRef]
- Kavitha, A.; Reddy, R.H.; Saravana, R.; Sreenadh, S. Peristaltic transport of a Jeffrey fluid in contact with a Newtonian fluid in an inclined channel. Ain Shams Eng. J. 2017, 8, 683–687. [Google Scholar] [CrossRef]
- Noreen, S. Magneto-thermo hydrodynamic peristaltic flow of Eyring-Powell nanofluid in asymmetric channel. Nonlinear Eng. 2018, 7, 83–90. [Google Scholar] [CrossRef]
- Ijaz, N.; Zeeshan, A.; Bhatti, M.M. Peristaltic propulsion of particulate non-Newtonian Ree-Eyring fluid in a duct through constant magnetic field. Alex. Eng. J. 2018, 57, 1055–1060. [Google Scholar] [CrossRef]
- Mekheimer, K.S.; Hasona, W.M.; Abo-Elkhair, R.E.; Zaher, A.Z. Peristaltic blood flow with gold nanoparticles as a third grade nanofluid in catheter: Application of cancer therapy. Phys. Lett. A 2018, 382, 85–93. [Google Scholar] [CrossRef]
- Manjunatha, G.; Choudhary, R.V. Slip effects on peristaltic transport of Casson fluid in an inclined elastic tube with porous walls. J. Adv. Res. Fluid Mech. Therm. Sci. 2018, 43, 67–80. [Google Scholar]
- Chakraborty, S. Augmentation of peristaltic microflows through electro-osmotic mechanisms. J. Phys. D Appl. Phys. 2006, 39, 5356. [Google Scholar] [CrossRef]
- Chakraborty, S. Electroosmotically driven capillary transport of typical non-Newtonian biofluids in rectangular microchannels. Anal. Chim. Acta 2007, 605, 175–184. [Google Scholar] [CrossRef] [PubMed]
- Gao, Y.; Wang, C.; Wong, T.N.; Yang, C.; Nguyen, N.T.; Ooi, K.T. Electro-osmotic control of the interface position of two-liquid flow through a microchannel. J. Micromech. Microeng. 2007, 17, 358. [Google Scholar] [CrossRef]
- Zhao, C.; Zholkovskij, E.; Masliyah, J.H.; Yang, C. Analysis of electroosmotic flow of power-law fluids in a slit microchannel. J. Colloid Interface Sci. 2008, 326, 503–510. [Google Scholar] [CrossRef] [PubMed]
- Tang, G.H.; Li, X.F.; He, Y.L.; Tao, W.Q. Electroosmotic flow of non-Newtonian fluid in microchannels. J. Non-Newton. Fluid Mech. 2009, 157, 133–137. [Google Scholar] [CrossRef]
- Vasu, N.; De, S. Electroosmotic flow of power-law fluids at high zeta potentials. Colloids Surf. A Physicochem. Eng. Asp. 2010, 368, 44–52. [Google Scholar] [CrossRef]
- Hadigol, M.; Nosrati, R.; Nourbakhsh, A.; Raisee, M. Numerical study of electroosmotic micromixing of non-Newtonian fluids. J. Non-Newton. Fluid Mech. 2011, 166, 965–971. [Google Scholar] [CrossRef]
- Choi, W.; Joo, S.W.; Lim, G. Electroosmotic flows of viscoelastic fluids with asymmetric electrochemical boundary conditions. J. Non-Newton. Fluid Mech. 2012, 187, 1–7. [Google Scholar] [CrossRef]
- Zhao, C.; Yang, C. Electroosmotic flows of non-Newtonian power-law fluids in a cylindrical microchannel. Electrophoresis 2013, 34, 662–667. [Google Scholar] [CrossRef]
- Yavari, H.; Sadeghi, A.; Saidi, M.H.; Chakraborty, S. Temperature rise in electroosmotic flow of typical non-newtonian biofluids through rectangular microchannels. J. Heat Transf. 2014, 136, 031702. [Google Scholar] [CrossRef]
- Qi, C.; Ng, C.O. Electroosmotic flow of a power-law fluid in a slit microchannel with gradually varying channel height and wall potential. Eur. J. Mech. B Fluids 2015, 52, 160–168. [Google Scholar] [CrossRef]
- Kung, Y.C.; Huang, K.W.; Fan, Y.J.; Chiou, P.Y. Fabrication of 3D high aspect ratio PDMS microfluidic networks with a hybrid stamp. Lab Chip 2015, 15, 1861–1868. [Google Scholar] [CrossRef] [PubMed]
- Tripathi, D.; Bhushan, S.; Bég, O.A. Transverse magnetic field driven modification in unsteady peristaltic transport with electrical double layer effects. Colloids Surf. A Physicochem. Eng. Asp. 2016, 506, 32–39. [Google Scholar] [CrossRef]
- Kung, Y.C.; Huang, K.W.; Chong, W.; Chiou, P.Y. Tunnel Dielectrophoresis for Tunable, Single-Stream Cell Focusing in Physiological Buffers in High-Speed Microfluidic Flows. Small 2016, 12, 4343–4348. [Google Scholar] [CrossRef]
- Bhatti, M.M.; Sheikholeslami, M.; Zeeshan, A. Entropy analysis on electro-kinetically modulated peristaltic propulsion of magnetized nanofluid flow through a microchannel. Entropy 2017, 19, 481. [Google Scholar] [CrossRef]
- Prakash, J.; Tripathi, D. Electroosmotic flow of Williamson ionic nanoliquids in a tapered microfluidic channel in presence of thermal radiation and peristalsis. J. Mol. Liq. 2018, 256, 352–371. [Google Scholar] [CrossRef]
- Tripathi, D.; Yadav, A.; Bég, O.A.; Kumar, R. Study of microvascular non-Newtonian blood flow modulated by electroosmosis. Microvasc. Res. 2018, 117, 28–36. [Google Scholar] [CrossRef]
- Ali, N.; Hayat, T. Peristaltic motion of a Carreau fluid in an asymmetric channel. Appl. Math. Comput. 2007, 193, 535–552. [Google Scholar] [CrossRef]
- Sobh, A.M. Slip flow in peristaltic transport of a Carreau fluid in an asymmetric channel. Can. J. Phys. 2009, 87, 957–965. [Google Scholar] [CrossRef]
- Hayat, T.; Saleem, N.; Ali, N. Effect of induced magnetic field on peristaltic transport of a Carreau fluid. Commun. Nonlinear Sci. Numer. Simul. 2010, 15, 2407–2423. [Google Scholar] [CrossRef]
- Olajuwon, I.B. Convection heat and mass transfer in a hydromagnetic Carreau fluid past a vertical porous plate in presence of thermal radiation and thermal diffusion. Therm. Sci. 2011, 15 (Suppl. 2), 241–252. [Google Scholar] [CrossRef]
- Noreen, S.; Hayat, T.; Alsaedi, A. Flow of MHD Carreau fluid in a curved channel. Appl. Bionics Biomech. 2013, 10, 29–39. [Google Scholar] [CrossRef]
- Nadeem, S.; Akram, S.; Hayat, T.; Hendi, A.A. Peristaltic flow of a Carreau fluid in a rectangular duct. J. Fluids Eng. 2012, 134, 041201. [Google Scholar] [CrossRef]
- Akbar, N.S.; Nadeem, S.; Khan, Z.H. Numerical simulation of peristaltic flow of a Carreau nanofluid in an asymmetric channel. Alex. Eng. J. 2014, 53, 191–197. [Google Scholar] [CrossRef]
- Ellahi, R.; Bhatti, M.M.; Khalique, C.M. Three-dimensional flow analysis of Carreau fluid model induced by peristaltic wave in the presence of magnetic field. J. Mol. Liq. 2017, 241, 1059–1068. [Google Scholar] [CrossRef]
- Prakash, J.; Balaji, N.; Siva, E.P.; Kothandapani, M.; Govindarajan, A. Effects of Magnetic field on Peristalsis transport of a Carreau Fluid in a tapered asymmetric channel. J. Phys. Conf. Ser. 2018, 1000, 012166. [Google Scholar] [CrossRef]
- Tanveer, A. Magnetohydrodynamic Peristaltic Flow of Carreau Fluid in Curved Channel through Modified Darcy Law. In HVAC System; IntechOpen: London, UK, 2018. [Google Scholar]



















© 2019 by the authors. Licensee MDPI, Basel, Switzerland. This article is an open access article distributed under the terms and conditions of the Creative Commons Attribution (CC BY) license (http://creativecommons.org/licenses/by/4.0/).
Share and Cite
Noreen, S.; Waheed, S.; Hussanan, A.; Lu, D. Analytical Solution for Heat Transfer in Electroosmotic Flow of a Carreau Fluid in a Wavy Microchannel. Appl. Sci. 2019, 9, 4359. https://doi.org/10.3390/app9204359
Noreen S, Waheed S, Hussanan A, Lu D. Analytical Solution for Heat Transfer in Electroosmotic Flow of a Carreau Fluid in a Wavy Microchannel. Applied Sciences. 2019; 9(20):4359. https://doi.org/10.3390/app9204359
Chicago/Turabian StyleNoreen, Saima, Sadia Waheed, Abid Hussanan, and Dianchen Lu. 2019. "Analytical Solution for Heat Transfer in Electroosmotic Flow of a Carreau Fluid in a Wavy Microchannel" Applied Sciences 9, no. 20: 4359. https://doi.org/10.3390/app9204359
APA StyleNoreen, S., Waheed, S., Hussanan, A., & Lu, D. (2019). Analytical Solution for Heat Transfer in Electroosmotic Flow of a Carreau Fluid in a Wavy Microchannel. Applied Sciences, 9(20), 4359. https://doi.org/10.3390/app9204359

