Elastic-Plastic Threshold and Rational Unloading Level of Rocks
Abstract
:1. Introduction
2. Mechanical Study of Siltstone Under Loading
2.1. Test Protocol
2.2. Evolution Analysis of Deformation Parameter
2.3. Evolution Analysis of Strain
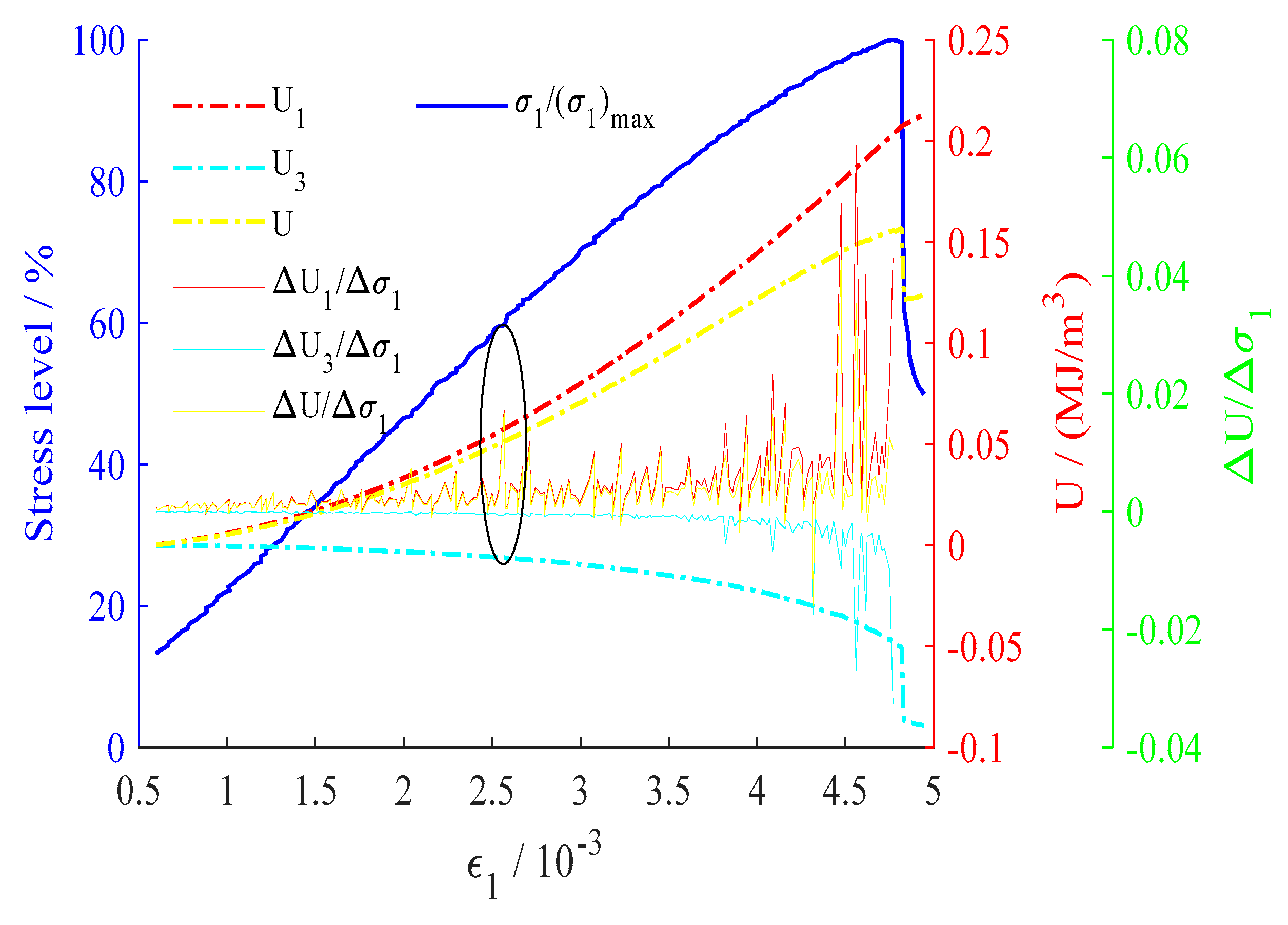
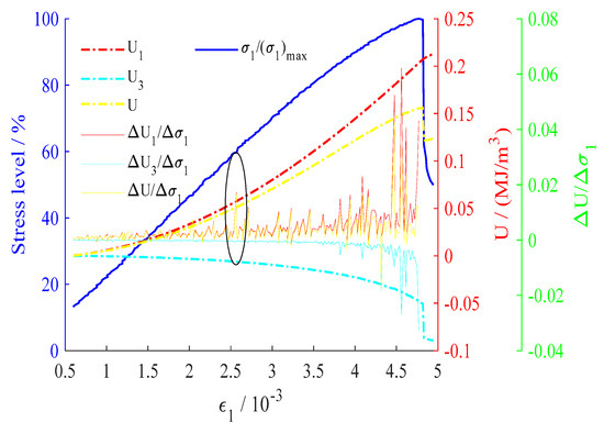
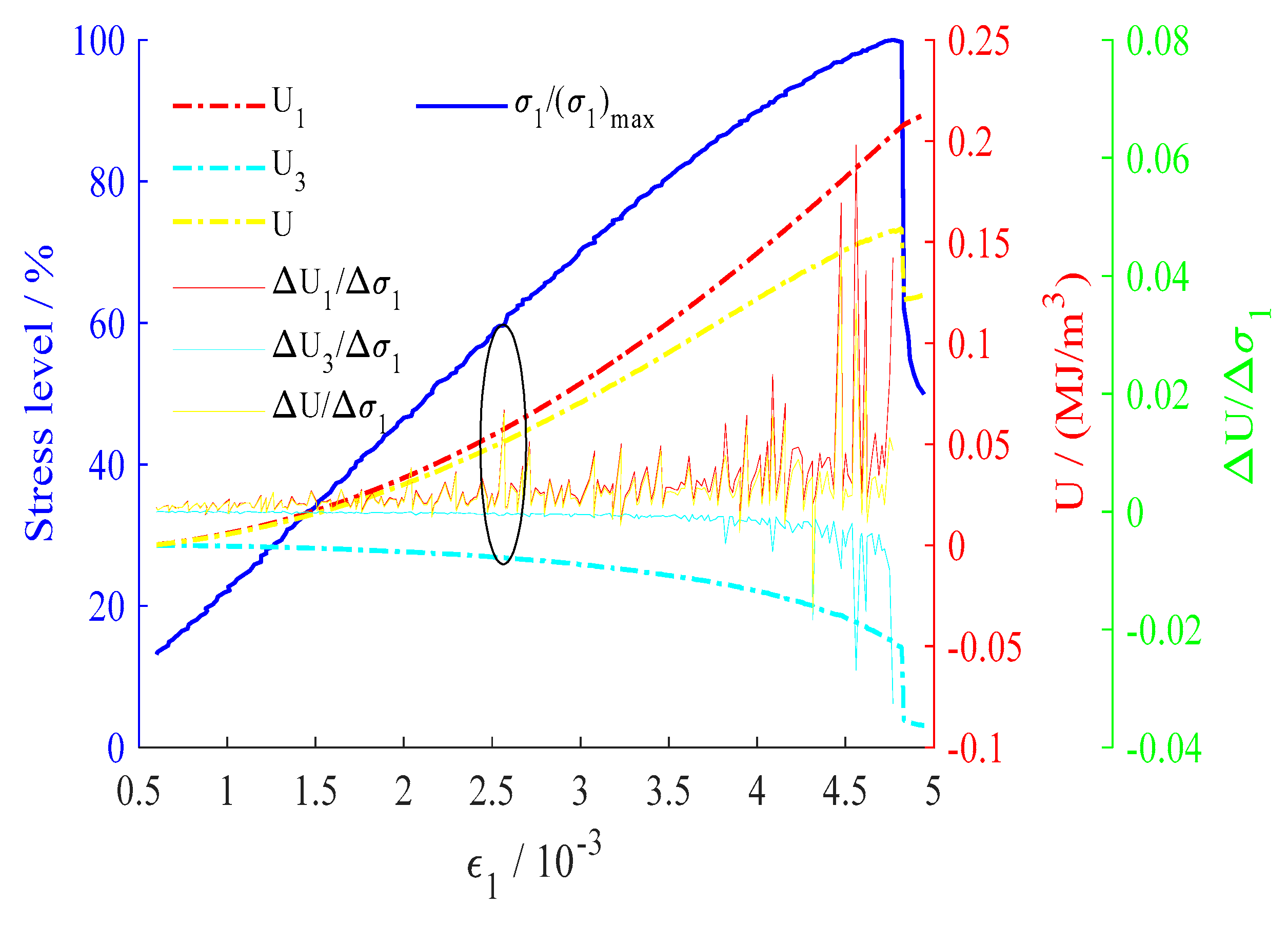
2.4. Evolution Analysis of Strain Energy
3. Mechanical Analysis of Different Rocks Under Loading
3.1. Mechanical Analysis of Mudstone Under Loading
3.2. Exploration of Rational Unloading Level for Unloading Tests
4. Conclusions
- (1)
- The nominal Poisson’s ratio changes highlight a U-shaped pattern while increasing axial pressure, namely first decreasing and then increasing. In contrast, the change of elasticity modulus shows an opposite trend. At a fixed confining pressure, the critical point of change in these trends corresponds to equal or similar stress levels;
- (2)
- At the same confining pressure condition, the stress levels corresponding to the first relatively pronounced or more pronounced change in the axial pressure increment ratio of various variables (strain, nominal elastic modulus, nominal Poisson’s ratio, and energy) for the same rock are similar or equal. Differences exist among rocks due to their intrinsic attributes and characteristics;
- (3)
- The unloading stress level of siltstone rocks increases linearly as the confining pressure increases. However, the gradients of increasement are varied among rocks with different lithology due to rock’s inherent properties;
- (4)
- For studies on unloading tests of rocks under complex stress paths, the unloading level is recommended to be equal to or slightly lower than the stress level at the elastic-plastic threshold of rocks under the corresponding confining pressure.
Author Contributions
Funding
Conflicts of Interest
References
- Guo, H.J.; Ji, M.; Zhang, Y.D.; Zhang, M. Study of Effect on Mechanical Property of Rock under Uniaxial Cyclic Loading and Unloading. Adv. Civ. Eng. 2018, 1–6. [Google Scholar] [CrossRef]
- Ji, M.; Chen, K.; Guo, H.J. Constitutive Model of Rock Uniaxial Damage Based on Rock Strength Statistics. Adv. Civ. Eng. 2018, 1–8. [Google Scholar] [CrossRef]
- Ji, M.; Zhang, Y.D.; Liu, W.P.; Cheng, L. Damage Evolution Law Based on Acoustic Emission and Weibull Distribution of Granite under Uniaxial Stress. Acta Geodyn. Geomater. 2014, 11, 269–277. [Google Scholar]
- Momeni, A.; Karakus, M.; Khanlari, G.R. Effects of Cyclic Loading on the Mechanical Properties of a Granite. Int. J. Rock Mech. Min. Sci. 2015, 77, 89–96. [Google Scholar] [CrossRef]
- Munoz, H.; Taheri, A.; Chanda, E.K. Fracture Energy-Based Brittleness Index Development and Brittleness Quantification by Pre-Peak Strength Parameters in Rock Uniaxial Compression. Rock Mech. Rock Eng. 2016, 49, 4587–4606. [Google Scholar] [CrossRef]
- Singh, A.; Kumar, C.; Kannan, L.G.; Rao, K.S.; Ayothiraman, R. Estimation of Creep Parameters of Rock Salt from Uniaxial Compression Tests. Int. J. Rock Mech. Min. Sci. 2018, 107, 243–248. [Google Scholar] [CrossRef]
- Liu, J.; Li, J. Experimental Research on Sandstone Pre-Peak Unloading Process under High Confining Pressure. Chin. J. Rock Mech. Eng. 2011, 30, 473–479. [Google Scholar]
- Li, T. Siltstone’s Mechanical Properties in Different Stress Paths and Research of Unloading Constitutive Model; China University of Mining and Technology: Xuzhou, China, 2015. [Google Scholar]
- Liu, X.R.; Liu, J.; Li, D.L.; Wang, J.B.; Wang, Z.J.; Zhong, Z.L. Unloading Mechanical Properties and Constitutive Model of Sandstone Under Different Pore Pressures and Initial Unloading Levels. J. Chin. Coal Soc. 2017, 42, 2592–2600. [Google Scholar]
- Zhang, L.M.; Gao, S.; Wang, Z.Q.; Cong, Y. Analysis of Marble Failure Energy Evolution under Loading and Unloading Conditions. Chin. J. Rock Mech. Eng. 2013, 32, 1572–1578. [Google Scholar]
- Zhang, J. Deep Hard Rock under High Stress Unloading Rheological and Mechanical Properties Research; Northeastern University: Shenyang, China, 2013. [Google Scholar]
- Zhu, J.B. Study on Unloading Mechanics and its Reological Properties of Rock under High Stress; Institute of Rock and Soil Mechanics Chinese Academy of Sciences: Wuhan, China, 2009. [Google Scholar]
- Liu, L.P.; Wang, X.G.; Jia, Z.X.; Duan, Q.Q.; Zhang, L. Experiment Study of Marble Mechanical Properties of Jinping II Hydropower Station under Complex Loading and Unloading Conditions. Rock Soil Mech. 2013, 34, 2287–2294. [Google Scholar]
- Cong, Y. Study on Rock Macroscopic and Mesoscopic Failure Mechanism under Unloading Conditions and Designing and Calculating Methods of Underground Engineering; Qingdao Technological University: Qingdao, China, 2014. [Google Scholar]
- Cong, Y.; Wang, Z.Q.; Zheng, Y.R.; Feng, X.T.; Zhang, L.M. Energy Evolution Principle of Fracture Propagation of Marble with Different Unloading Stress Paths. J. Cen. South Univ. (Sci. Technol.) 2016, 47, 3140–3147. [Google Scholar]
- Deng, H.F.; Zhou, M.L.; Li, J.L.; Hu, Y.Y.; Xiao, Z.Y.; Wang, Y. Experimental Research on Unloading Triaxial Rheological Mechanical Properties of Sandy Mudstone. Rock Soil Mech. 2016, 37, 315–322. [Google Scholar]
- Chen, X.Z.; He, J.D.; Xie, H.Q.; Xiao, M.L.; Liu, J.F. Study on Deformation Failure and Energy Properties of Marble under Unloading and High Confining Pressure. J. Sichuan Univ. 2014, 46, 60–64. [Google Scholar]
- Chen, X.Z.; He, J.D.; Xiao, M.L.; Xie, H.Q.; Liu, J.F. Dilatancy and Energy Properties of Marble under Triaxial Unloading Condition. Chin. J. Geotech. Eng. 2014, 36, 1106–1112. [Google Scholar]
- Yang, H.T.; Yu, X.G.; Wang, L.; Li, J.W. Experimental Research on Deformation Characteristics of Schist under Different Loading and Unloading Conditions. Chin. J. Undergr. Space Eng. 2016, 12, 381–386. [Google Scholar]
- Zhao, X.J. Mechanical Experiments of Time-dependent Properties and Study on Constitutive Model of Marble in Jinping; Henan Polytechnic University: Jiaozuo, China, 2012. [Google Scholar]
- Zhong, Z.B. Experimental Study on Mechanical Properties of Micro-Fissured Rhyolite under Triaxial Test; Southwest Jiaotong University: Chengdu, China, 2013. [Google Scholar]
- Ji, H.G.; Hou, Z.F.; Zhang, L.; Kong, F.B. Acoustic Emission Character of Loaded Rock under Load-Unload Disturbance. J. Univ. Sci. Technol. Beijing 2011, 33, 1–5. [Google Scholar]
- Du, K.; Tao, M.; Li, X.B.; Zhou, J. Experimental Study of Slabbing and Rock burst Induced by True-Triaxial Unloading and Local Dynamic Disturbance. Rock Mech. Rock Eng. 2016, 49, 3437–3453. [Google Scholar] [CrossRef]
- Dai, B.; Zhao, G.Y.; Dong, L.J.; Yang, C. Mechanical Characteristics for Rocks under Different Paths and Unloading Rates under Confining Pressures. Shock Vib. 2015, 1–8. [Google Scholar] [CrossRef]
- Qin, T.; Sun, H.R.; Liu, H.; Zhang, J.W.; Li, T.; Liu, G.; Liu, Z.W. Experimental Study on Mechanical and Acoustic Emission Characteristics of Rock Samples under Different Stress Paths. Shock Vib. 2018, 1–9. [Google Scholar] [CrossRef]
- Zhao, G.Y.; Dai, B.; Dong, L.J.; Yang, C. Energy Conversion of Rocks in Process of Unloading Confining Pressure under Different Unloading Paths. Trans. Nonferrous Met. Soc. Chin. 2015, 25, 1626–1632. [Google Scholar] [CrossRef]
- Sun, Q.; Ji, M.; Xue, L.; Su, T.M. The Influence of Moisture Content on the Acoustic Emission at Threshold of Rock Destruction. Acta Geodyn. Geomater. 2015, 12, 279–287. [Google Scholar] [CrossRef]
- Qiu, S.L.; Feng, X.T.; Zhang, C.Q.; Zhou, H.; Sun, F. Experimental Research on Mechanical Properties of Deep-Buried Marble under Different Unloading Rates of Confining Pressures. Chin. J. Rock Mech. Eng. 2012, 31, 1686–1698. [Google Scholar]
- Zhang, D.M.; Yang, Y.S.; Chu, Y.P.; Zhang, X.; Xue, Y.G. Influence of Loading and Unloading Velocity of Confining Pressure on Strength and Permeability Characteristics of Crystalline Sandstone. Results Phys. 2018, 9, 1363–1370. [Google Scholar] [CrossRef]
- Huang, D.; Li, Y.R. Conversion of Strain Energy in Triaxial Unloading Tests on Marble. Int. J. Rock Mech. Min. Sci. 2014, 66, 160–168. [Google Scholar] [CrossRef]














| Rock | Threshold Value of Elastic-Plastic Transformation | Researcher and References |
|---|---|---|
| Sandstone | 85–95% | Liu [7] |
| Siltstone | 85–95% | Li [8] |
| Sandstone | 70%, 80%, 90% | Liu [9] |
| Marble | 60% and 80% | Zhang [10] |
| Gneiss | 55–65% | Zhang [11] |
| Shale | About 65% | Zhu [12] |
| Marble | 50% | Liu [13] |
| Marble | 60% | Cong [14,15] |
| Mudstone | 80% | Deng [16] |
| Marble | 70% | Chen [17,18], Zhao [20] |
| Schist | 70% | Yang [19] |
| Rhyolite | 80–90% | Zhong [21] |
| Siltstone | 15–90% | Ji [22] |
| Granite, red sandstone | 80% | Du [23] |
| Granitic rock | 80% | Dai [24] |
| Sandstone | 80% | Qin [25] |
| Marble | 80% | Zhao [26] |
© 2019 by the authors. Licensee MDPI, Basel, Switzerland. This article is an open access article distributed under the terms and conditions of the Creative Commons Attribution (CC BY) license (http://creativecommons.org/licenses/by/4.0/).
Share and Cite
Ji, M.; Guo, H. Elastic-Plastic Threshold and Rational Unloading Level of Rocks. Appl. Sci. 2019, 9, 3164. https://doi.org/10.3390/app9153164
Ji M, Guo H. Elastic-Plastic Threshold and Rational Unloading Level of Rocks. Applied Sciences. 2019; 9(15):3164. https://doi.org/10.3390/app9153164
Chicago/Turabian StyleJi, Ming, and Hongjun Guo. 2019. "Elastic-Plastic Threshold and Rational Unloading Level of Rocks" Applied Sciences 9, no. 15: 3164. https://doi.org/10.3390/app9153164
APA StyleJi, M., & Guo, H. (2019). Elastic-Plastic Threshold and Rational Unloading Level of Rocks. Applied Sciences, 9(15), 3164. https://doi.org/10.3390/app9153164

