Wind Tunnel Study on Bidirectional Vibration Control of Lattice Towers with Omnidirectional Cantilever-Type Eddy Current TMD
Abstract
1. Introduction
2. Cantilever-Type ECTMD
2.1. Configuration of ECTMD
2.2. Dynamic Characteristics
3. Experimental Setup
3.1. Finite Element Model of Prototype Transmission Tower
3.2. Aeroelastic Model for Wind Tunnel Test
3.3. Wind Environment Simulation
3.4. Experimental Procedure
4. Results
4.1. Parametric Study of ECTMD
4.2. Effect of Wind Condition
5. Numerical Verification
5.1. Methodology
5.2. Numerical Results
6. Conclusions
- 1)
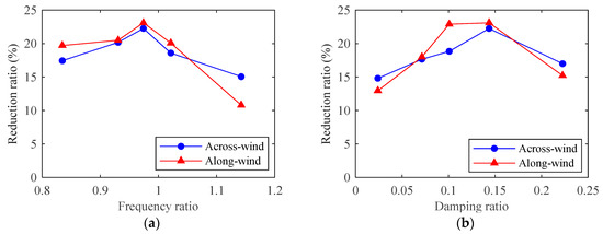
- The wind tunnel study on the lattice tower shows that there exists a significant across-wind vibration, and it deserves efforts made to design and manufacture an omnidirectional ECTMD to suppress the bidirectional vibration. The parameter adjustability of the newly designed ECTMD in a wide range is verified experimentally. Thus, the vibration of the tower can be suppressed by tuning the frequency of the ECTMD to a value close to the first natural frequency of the tower. The parametric study of ECTMD in wind tunnel test shows that with a frequency ratio of 0.97 and an ECTMD damping ratio of 0.14, the vibration of the tower can be effectively mitigated.
- 2)
- The wind tunnel study on the vibration of a lattice tower with an ECTMD mounted indicates that the newly designed ECTMD is capable of effectively reducing the bidirectional response under various wind speed and wind directions. This may be attributed to the fact that the first two natural frequencies of the tower are very close. The ECTMD technique presented in this paper can be applied to tall structures and long-span bridges that undergo significant vibration induced by wind/earthquake loadings.
- 3)
- It is found that the effectiveness of the ECTMD model is least favorable when the wind direction is consistent with the principal axis directions of the lattice tower. Therefore, these cases should be considered in the preliminary design of ECTMDs. That is to say, if the vibration of the tower in these cases can be well mitigated, the vibration under other wind conditions can be also suppressed very well.
- 4)
- A governing equation is established for the motion of the simplified model, and the equation is transformed in modal space to obtain the frequency response function of each mode. A frequency domain approach is presented to achieve variance of dynamic response. The comparison of numerical and experimental results indicates that the theoretical approach introduced herein is capable of capturing the optimal settings of the ECTMD, and producing a good prediction of the dynamic responses of the tower with or without the ECTMD.
Author Contributions
Funding
Conflicts of Interest
References
- Zhang, P.; Ren, L.; Li, H.; Jia, Z.; Jiang, T. Control of Wind-Induced Vibration of Transmission Tower-Line System by Using a Spring Pendulum. Math. Probl. Eng. 2015, 2015, 1–10. [Google Scholar] [CrossRef]
- Harikrishna, P.; Shanmugasundaram, J.; Gomathinayagam, S.; Lakshmanan, N. Analytical and experimental studies on the gust response of a 52 m tall steel lattice tower under wind loading. Comput. Struct. 1999, 70, 149–160. [Google Scholar] [CrossRef]
- Mulherin, N. Atmospheric icing and communication tower failure in the United States. Cold Reg. Sci. Technol. 1998, 27, 91–104. [Google Scholar] [CrossRef]
- Da Silva, J.; Vellasco, P.D.S.; De Andrade, S.; De Oliveira, M.; Da Silva, J.G.S. Structural assessment of current steel design models for transmission and telecommunication towers. J. Constr. Steel Res. 2005, 61, 1108–1134. [Google Scholar] [CrossRef]
- Hitchcock, P.; Glanville, M.; Kwok, K.; Watkins, R.; Samali, B. Damping properties and wind-induced response of a steel frame tower fitted with liquid column vibration absorbers. J. Wind. Eng. Ind. Aerodyn. 1999, 83, 183–196. [Google Scholar] [CrossRef]
- Qu, W.; Qin, W.; Liang, Z. The wavelet recognition method of joint bolt looseness damage diagnosis based on the wind-induced responses of transmission towers. J. Earthq. Eng. Eng. Vib. 2008, 4, 146–153. (In Chinese) [Google Scholar]
- Shu, X.; Hu, X.; Yu, Z. The Accident Analysis of a Collapsed Tower. J. Hunan Univ. 2004, 31, 56–58. (In Chinese) [Google Scholar]
- Park, J.H.; Moon, B.W.; Min, K.W.; Lee, S.K.; Kim, C.K. Cyclic loading test of friction-type reinforcing members upgrading wind-resistant performance of transmission towers. Eng. Struct. 2007, 29, 3185–3196. [Google Scholar] [CrossRef]
- Tian, L.; Yu, Q.; Ma, R.; Wang, C. The Collapse Analysis of a Transmission Tower Under Wind Excitation. Open Civ. Eng. J. 2014, 8, 136–142. [Google Scholar] [CrossRef][Green Version]
- Jiang, Y.; Pan, C.; Zhuang, Z.; Li, M. Analysis of collapse accident of transmission line tower causing by typhoon attacking in the coastal district of Guangdong province. South Energy Constr. 2016, 3, 82–87. (In Chinese) [Google Scholar]
- Jiang, J.; Zhang, P.; Patil, D.; Li, H.N.; Song, G.; Li, H. Experimental studies on the effectiveness and robustness of a pounding tuned mass damper for vibration suppression of a submerged cylindrical pipe. Struct. Control. Health Monit. 2017, 24, e2027. [Google Scholar] [CrossRef]
- Tan, J.; Ho, S.M.; Zhang, P.; Jiang, J. Experimental Study on Vibration Control of Suspended Piping System by Single-Sided Pounding Tuned Mass Damper. Appl. Sci. 2019, 9, 285. [Google Scholar] [CrossRef]
- Jiang, J.; Ho, S.C.M.; Markle, N.J.; Wang, N.; Song, G. Design and control performance of a frictional tuned mass damper with bearing–shaft assemblies. J. Vib. Control 2019, 25, 1812–1822. [Google Scholar] [CrossRef]
- Lu, X.; Zhang, Q.; Weng, D.; Zhou, Z.; Wang, S.; Mahin, S.A.; Ding, S.; Qian, F. Improving performance of a super tall building using a new eddy-current tuned mass damper. Struct. Control Health. Monit. 2017, 24, e1882. [Google Scholar] [CrossRef]
- Warburton, G.B.; Ayorinde, E.O. Optimum absorber parameters for simple systems. Earthq. Eng. Struct. Dyn. 1980, 8, 197–217. [Google Scholar] [CrossRef]
- Fujino, Y.; Abe, M. Design formulas for tuned mass dampers based on a perturbation technique. Earthq. Eng. Struct. Dyn. 1993, 22, 833–854. [Google Scholar] [CrossRef]
- Rana, R.; Soong, T. Parametric study and simplified design of tuned mass dampers. Eng. Struct. 1998, 20, 193–204. [Google Scholar] [CrossRef]
- Pelc, J.; Kolator, B. Passive vibration damping in a truss telecommunication tower. Tech. Sci. Warm. Maz. Olsztyn 2014, 17, 249–258. [Google Scholar]
- Tian, L.; Zeng, Y. Parametric Study of Tuned Mass Dampers for Long Span Transmission Tower-Line System under Wind Loads. Shock. Vib. 2016, 2016, 1–11. [Google Scholar] [CrossRef]
- Barros, R.; Guimarães, H.; César, M.B. Analysis of the dynamic behavior of a radar tower. In Dynamical Systems Theory and Applications, Proceedings of the Dynamical Systems: Modelling, Łódź, Poland, 7–10 December 2015; Awrejcewicz, J., Ed.; Springer: Cham, Switzerland, 2015; pp. 39–48. [Google Scholar]
- Qu, W.; Chen, Z.; Xu, Y.-L. Dynamic analysis of wind-excited truss tower with friction dampers. Comput. Struct. 2001, 79, 2817–2831. [Google Scholar] [CrossRef]
- Tanaka, H.; Mak, C. Effect of tuned mass dampers on wind induced response of tall buildings. J. Wind. Eng. Ind. Aerodyn. 1983, 14, 357–368. [Google Scholar] [CrossRef]
- Xu, Y.L.; Kwok, K.; Samali, B. Control of wind-induced tall building vibration by tuned mass dampers. J. Wind. Eng. Ind. Aerodyn. 1992, 40, 1–32. [Google Scholar] [CrossRef]
- Isyumov, N.; Holmes, J.D.; Surry, D.; Davenport, A.G. A Study of Wind Effects for the First National City Corporation Project—New York, USA; Boundary Layer Wind Tunnel Laboratory Special Study Report No. BLWT-SSI-75; University of Western Ontario: London, ON, Canada, 1975. [Google Scholar]
- Vickery, B.J.; Davenport, A.G. An Investigation of the Behaviour in Wind of the Proposed Centrepoint Tower, in Sydney, Australia; Engineering Science Report No. BLWT-1-70; University of Western Ontario: London, ON, Canada, 1970. [Google Scholar]
- Deng, H.; Zhu, S.; Chen, Y.; Wang, Z. Study on wind-induced vibration control of long span transmission line system. J. Build. Struct. 2003, 24, 60–64. (In Chinese) [Google Scholar]
- Wang, Z. Development and Applications of the Self-Powered Magnetorheological Damper and TMDs Using Eddy Current Damping; Hunan University: Changsha, China, 2011. (In Chinese) [Google Scholar]
- Bae, J.S.; Hwang, J.H.; Kwag, D.G.; Park, J.; Inman, D.J. Vibration Suppression of a Large Beam Structure Using Tuned Mass Damper and Eddy Current Damping. Shock Vib. 2014, 2014, 1–10. [Google Scholar] [CrossRef]
- Wang, W.; Dalton, D.; Hua, X.; Wang, X.; Chen, Z.; Song, G. Experimental Study on Vibration Control of a Submerged Pipeline Model by Eddy Current Tuned Mass Damper. Appl. Sci. 2017, 7, 987. [Google Scholar] [CrossRef]
- Chen, J.; Lu, G.; Li, Y.; Wang, T.; Wang, W.; Song, G. Experimental Study on Robustness of an Eddy Current-Tuned Mass Damper. Appl. Sci. 2017, 7, 895. [Google Scholar] [CrossRef]
- Sodano, H.A.; Bae, J.S.; Inman, D.J.; Belvin, W.K. Improved Concept and Model of Eddy Current Damper. J. Vib. Acoust. 2006, 128, 294–302. [Google Scholar] [CrossRef]
- LaRose, G.; Larsen, A.; Svensson, E. Modelling of tuned mass dampers for wind-tunnel tests on a full-bridge aeroelastic model. J. Wind. Eng. Ind. Aerodyn. 1995, 54, 427–437. [Google Scholar] [CrossRef]
- Livesey, F.; Søndergaard, T. Verification of the effectiveness of TMDs using wind tunnel section model tests. J. Wind. Eng. Ind. Aerodyn. 1996, 64, 161–170. [Google Scholar] [CrossRef]
- Ravaud, R.; Lemarquand, G.; Babic, S.; Lemarquand, V.; Akyel, C. Cylindrical Magnets and Coils: Fields, Forces, and Inductances. IEEE Trans. Magn. 2010, 46, 3585–3590. [Google Scholar] [CrossRef]
- Wiederick, H.D. Magnetic braking: Simple theory and experiment. Am. J. Phys. 1987, 55, 500. [Google Scholar] [CrossRef]
- Huang, M.; Zhang, B.; Lou, W. A computer vision-based vibration measurement method for wind tunnel tests of high-rise buildings. J. Wind. Eng. Ind. Aerodyn. 2018, 182, 222–234. [Google Scholar] [CrossRef]
- Huang, N.E.; Shen, Z.; Long, S.R.; Wu, M.C.; Shih, H.H.; Zheng, Q.; Yen, N.C.; Tung, C.C.; Liu, H.H. The empirical mode decomposition and the Hilbert spectrum for nonlinear and non-stationary time series analysis. Proc. R. Soc. A Math Phys. Eng. Sci. 1998, 454, 903–995. [Google Scholar] [CrossRef]
- Liang, S.; Zou, L.; Wang, D.; Cao, H. Investigation on wind tunnel tests of a full aeroelastic model of electrical transmission tower-line system. Eng. Struct. 2015, 85, 63–72. [Google Scholar] [CrossRef]
- Heeg, J.; Spain, C.; Rivera, J. Wind Tunnel to Atmospheric Mapping for Static Aeroelastic Scaling. In Proceedings of the 45th AIAA/ASME/ASCE/AHS/ASC Structures, Structural Dynamics & Materials Conference, Palm Springs, CA, USA, 19–22 April 2004; p. 2044. [Google Scholar]
- Chinese Standard. GB5009-2012 Load Code for the Design of Building Structures; China Architecture & Building: Beijing, China, 2012. (In Chinese) [Google Scholar]
- Sharma, R.; Richards, P. A re-examination of the characteristics of tropical cyclone winds. J. Wind. Eng. Ind. Aerodyn. 1999, 83, 21–33. [Google Scholar] [CrossRef]
- Kaimal, J.; Wyngaard, J.; Izumi, Y.; Cote, O. Spectral characteristics of surface-layer turbulence. Q. J. R. Meteorol. Soc. 1972, 98, 563–589. [Google Scholar] [CrossRef]
- Den Hartog, J.P. Mechanical Vibrations; Dover Publication, Inc.: Mineola, NY, USA, 1985; pp. 93–94. [Google Scholar]
- Clough, R.W.; Penzien, J. Dynamics of Structures; Computers & Structures Incorporated: Berkeley, CA, USA, 2003; pp. 234–236. [Google Scholar]
- Davenport, A.F. The relationship of wind structure to wind loading. Wind effects on buildings and structures. In Proceedings of the International Conference on Wind Effects on Buildings and Structures, Teddington, UK, 26–28 June 1963; HMSO: London, UK, 1965. [Google Scholar]


























| Part | Property | Symbol | Value |
|---|---|---|---|
| Cantilever | Young’s modulus | E () | |
| Moment of inertia of the cross-section | I () | ||
| Magnet | Mass | m (g) | 11.5 |
| Magnetic flux density at the surface | (T) | 0.16 | |
| Diameter | D (m) | 0.025 | |
| Copper plate | Electrical resistivity | () | |
| Thickness | t (mm) | 6 |
| Mode | Frequency (Hz) |
|---|---|
| 1 | 1.879 |
| 2 | 1.898 |
| 3 | 5.356 |
| 4 | 6.668 |
| 5 | 7.037 |
| 6 | 7.079 |
| Prototype Frequency (Hz) | Scaled Model Frequency (Hz) | |
|---|---|---|
| First mode in X direction | 1.879 | 20.9 |
| First mode in Y direction | 1.898 | 21.2 |
| Scale Factor | Value |
|---|---|
| Geometry | 1:30 |
| Density | 2.05:1 |
| Mass | 1:13185 |
| Lateral bending rigidity | 1:5.8 |
| Frequency | 11.2:1 |
| Acceleration | 2.03:1 |
| Wind speed | 1:2.69 |
| Segment No. | Segment Mass (kg) | Segment Height (m) | Shape Coefficient | Windward Area (m2) |
|---|---|---|---|---|
| 1 | 87.5 | 0.5 | 2.03 | 0.26 |
| 2 | 498.0 | 2.1 | 1.63 | 1.71 |
| 3 | 858.0 | 0.9 | 2.05 | 2.38 |
| 4 | 418.4 | 1.4 | 2.01 | 1.50 |
| 5 | 686.3 | 3.9 | 2.15 | 1.78 |
| 6 | 699.9 | 1.6 | 2.18 | 2.98 |
| 7 | 1006.3 | 4.8 | 2.23 | 2.45 |
| 8 | 603.9 | 1.4 | 2.16 | 2.36 |
| 9 | 767.9 | 2.5 | 2.21 | 1.63 |
| 10 | 269.0 | 1.3 | 2.37 | 0.70 |
| 11 | 422.1 | 2.5 | 2.37 | 1.47 |
| 12 | 454.4 | 2.6 | 2.43 | 1.58 |
| 13 | 524.3 | 3 | 2.48 | 1.82 |
| 14 | 842.7 | 4.2 | 2.51 | 2.62 |
| 15 | 640.5 | 2.6 | 2.56 | 1.58 |
| 16 | 723.1 | 1.4 | 2.43 | 1.48 |
| 17 | 1612.2 | 6.9 | 2.59 | 4.19 |
| Wind Speed (m/s) | RMS Acceleration | Reduction Ratio (%) | ||||
|---|---|---|---|---|---|---|
| Without ECTMD | With ECTMD | |||||
| Theoretical | Experimental | Theoretical | Experimental | Theoretical | Experimental | |
| 18.5 | 0.400 | 0.447 | 0.304 | 0.363 | 24.1 | 18.8 |
| 22.6 | 0.658 | 0.672 | 0.497 | 0.513 | 24.5 | 23.7 |
| 24.7 | 0.818 | 0.801 | 0.615 | 0.616 | 24.8 | 23.1 |
© 2019 by the authors. Licensee MDPI, Basel, Switzerland. This article is an open access article distributed under the terms and conditions of the Creative Commons Attribution (CC BY) license (http://creativecommons.org/licenses/by/4.0/).
Share and Cite
Lou, W.; Wen, Z.; Chen, Y.; Huang, M. Wind Tunnel Study on Bidirectional Vibration Control of Lattice Towers with Omnidirectional Cantilever-Type Eddy Current TMD. Appl. Sci. 2019, 9, 2978. https://doi.org/10.3390/app9152978
Lou W, Wen Z, Chen Y, Huang M. Wind Tunnel Study on Bidirectional Vibration Control of Lattice Towers with Omnidirectional Cantilever-Type Eddy Current TMD. Applied Sciences. 2019; 9(15):2978. https://doi.org/10.3390/app9152978
Chicago/Turabian StyleLou, Wenjuan, Zuopeng Wen, Yong Chen, and Mingfeng Huang. 2019. "Wind Tunnel Study on Bidirectional Vibration Control of Lattice Towers with Omnidirectional Cantilever-Type Eddy Current TMD" Applied Sciences 9, no. 15: 2978. https://doi.org/10.3390/app9152978
APA StyleLou, W., Wen, Z., Chen, Y., & Huang, M. (2019). Wind Tunnel Study on Bidirectional Vibration Control of Lattice Towers with Omnidirectional Cantilever-Type Eddy Current TMD. Applied Sciences, 9(15), 2978. https://doi.org/10.3390/app9152978

