Empirical Formula to Predict the NOx Emissions from Coal Power Plant using Lab-Scale and Real-Scale Operating Data
Abstract
:1. Introduction
2. Materials and Methods
2.1. Coal and Biomass Samples
2.2. Experimental Apparatus
3. Results and Discussion
3.1. Coal and Biomass Sample Properties
3.2. DTF Experiment Results
3.2.1. NOx Emission Propensity Analyses in DTF Experiments
3.2.2. DTF NOx Index
4. Conclusions
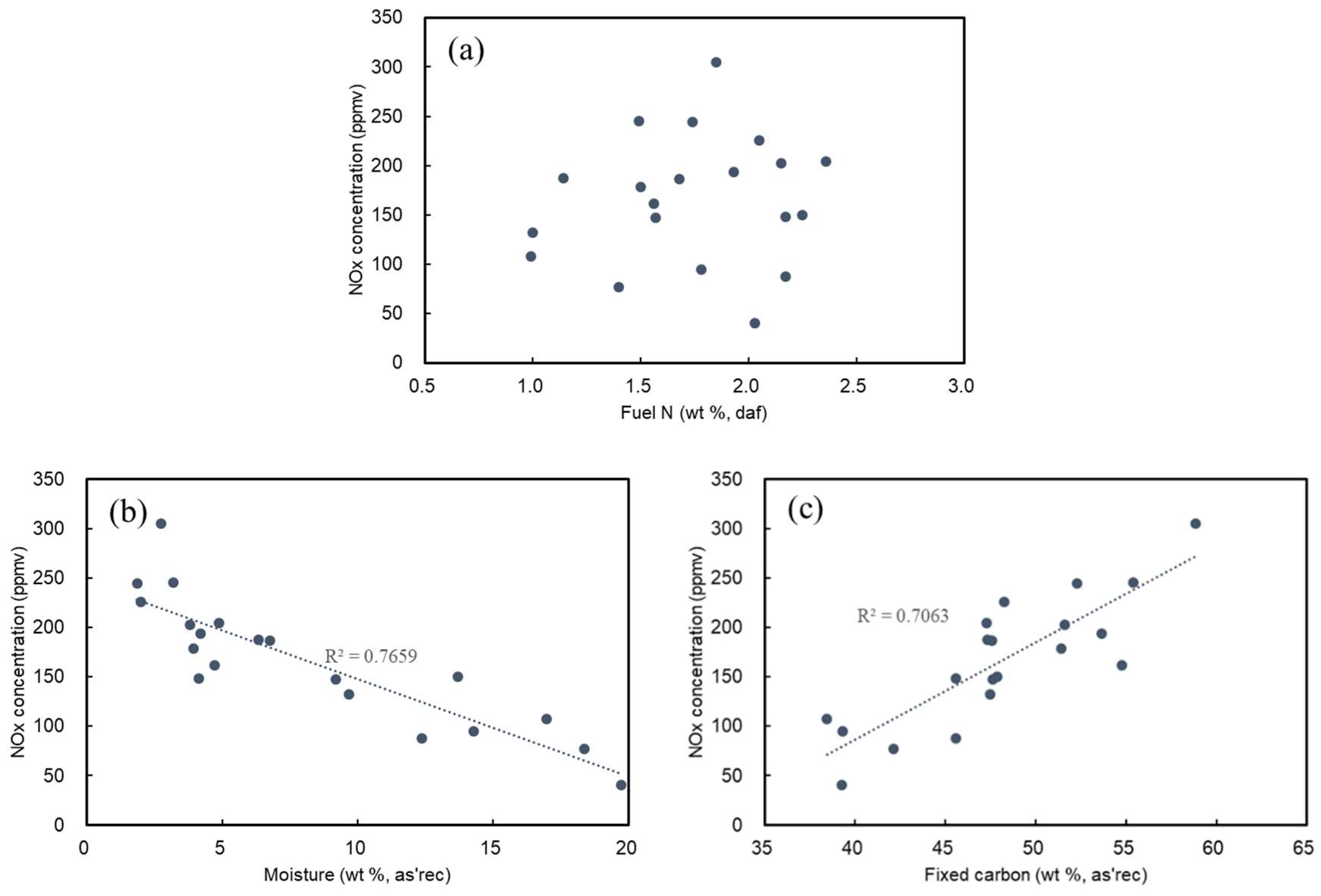
- The moisture content in coal has a negative correlation with generated NOx concentration and a positive correlation to fixed carbon. In general, the moisture content and fixed carbon are inversely proportional to each other. It is believed that the reasons for this are the delay in ignition caused by combustion hindrance from the moisture when the coals are reacted in the DTF heating furnace.
- CR and NOx conversion factor to fuel-N show an exponential correlation to FR. Therefore, we expressed this using the logarithm function in NOx in the prediction empirical formula to display a linear relation.
- The suggested formula for NOx concentration was based on three factors—moisture, fixed carbon, and FR correlations. Having compared the calculated amount of NOx generation from the actual powerplant using four system indicator factors (coefficients) while considering the design and operating conditions of each boiler, except for the abnormal values that were much higher than the average NOx concentration values, the trends in the generation of NOx were determined.
Author Contributions
Conflicts of Interest
Abbreviations
| NOx | Oxides of nitrogen |
| SOx | Oxides of sulfur |
| DTF | Drop Tube Furnace |
| GHGs | Greenhouse Gases |
| CO | Carbon monoxide |
| FR | Fuel ratio |
| HHV | Higher Heating Value |
| LHV | Lower Heating Value |
| VM | Volatile Matter |
| FC | Fixed Carbon |
| FN | Fuel Nitrogen |
| CR | Conversion factor of Fuel-N to NOx |
| CNOx | NOx concentration |
| Vdry | Flow rate of dry air |
References
- Wang, C.; Wang, P.; Zhao, L.; Du, Y.; Che, D. Experimental Study on NOx Reduction in Oxy-fuel Combustion Using Synthetic Coals with Pyridinic or Pyrrolic Nitrogen. Appl. Sci. 2018, 8, 2499–2510. [Google Scholar] [CrossRef]
- Deng, K.; Wang, M.; Shen, Z.; Hu, Y.; Zhong, Y. Effect of Different Acoustic Parameters on NOx Emissions of Partially Premixed Flame. Appl. Sci. 2019, 9, 1490–1501. [Google Scholar] [CrossRef]
- Kim, J.-H.; Park, K.-H.; Kim, G.-M.; Park, K.-W.; Jeong, T.-Y.; Lee, Y.-J.; Jeon, C.-H. The Biomass Pre-treatment Effect on the Combustion Characteristics of Coal and Biomass Blends. Trans. Korean Hydrog. N. Energy Soc. 2018, 29, 81–89. [Google Scholar]
- Yang, L.; Franco, V.; Mock, P.; Kolke, R.; Zhang, S.; Wu, Y.; German, J. Experimental Assessment of NOx Emissions form 73 Euro 6 Diesel Passenger Cars. Environ. Sci. Technol. 2015, 45, 14409–14415. [Google Scholar] [CrossRef] [PubMed]
- Kim, G.-M.; Kim, J.-P.; Lisandy, K.Y.; Jeon, C.-H. Experimental Model Development of Oxygen-Enriched Combustion Kinetics on Porous Coal Char and Non-Porous Graphite. Energies 2017, 10, 1436–1479. [Google Scholar] [CrossRef]
- Mochida, I.; Korai, Y.; Shirahama, M.; Kawano, S.; Hada, T.; Seo, Y.; Yoshikawa, M.; Yasutake, A. Removal of SOx and NOx over activated carbon fibers. Carbon 2000, 38, 227–239. [Google Scholar] [CrossRef]
- Li, C.Z.; Tan, L.L. Formation of NOx and SOx precursors during the pyrolysis of coal and biomass. Part III. Further discussion on the formation of HCN and NH3 during pyrolysis. Fuel 2000, 79, 1899–1906. [Google Scholar] [CrossRef]
- Shimizu, T.; Sazawa, Y.; Adschiri, T.; Furusawa, T. Conversion of char bound nitrogen to nitric oxide during combustion. Fuel 1992, 71, 361–365. [Google Scholar] [CrossRef]
- Rozendaal, C.M.; Witcamp, J.G.; Vliet, H.N.; Vissers, A.M.C. Impact of coal quality and coal blending on NO emissions for two pulverized coal fired unit. In Proceedings of the Combined Utility Air Pollutant Control Symposium, Pleasant Hill, CA, USA, 25–29 August 1997. [Google Scholar]
- Ehrhardt, K.; Toqan, P.; Jansohn, P.; Teare, J.D.; Beer, J.M.; Sybon, G.; Leuckel, W. Modeling of NOx Reburning in a Pilot-Scale Furnace Using Detailed Reaction Kinetics. Combust. Sci. Technol. 1998, 131, 131–146. [Google Scholar] [CrossRef]
- Fiveland, W.A.; Latham, C.E. Use of Numerical Modeling in the Design of a Low-NOx burner for Utility Boilers. Combust. Sci. Technol. 1993, 93, 53–72. [Google Scholar] [CrossRef]
- Eddings, E.G.; Sarofim, A.F.; Lee, C.M.; Davis, K.A.; Valentine, J.R. Trends in predicting and controlling ash vaporization in coal-fired utility boilers. Fuel Process. Technol. 2001, 71, 39–51. [Google Scholar] [CrossRef]
- Kokkinos, A.; Cichanowicz, J.E.; Hall, R.E.; Sedman, C.B. Stationary Combustion NOx Control: A summary of the 1991 symposium. J. Air Waste Manag. Assoc. 1991, 41, 1252–1259. [Google Scholar] [CrossRef]
- Costa, M.; Azevedo, J.L.T. Experimental characterization of an industrial pulverized coal-fired under deep staging conditions. Combust. Sci. Technol. 2007, 179, 1923–1935. [Google Scholar] [CrossRef]
- Jung, K.S.; Keener, T.C.; Khang, S.J. Compositional factors affecting NOx emissions from Ohio coals. Fuel 2001, 74, 49–61. [Google Scholar] [CrossRef]
- Zeng, H.; Yuan, J.; Wang, J. Optimal Design of a Tower Type SCR-de NOx Facility for a 1000MW Coal-Fired Power Plant Based on CFD simulation and FMT Validation. Appl. Sci. 2019, 9, 1012–1027. [Google Scholar] [CrossRef]
- Lee, B.-H.; Kim, S.-G.; Song, J.-H.; Chang, Y.-J.; Jeon, C.-H. Influence of Coal Blending Methods on Unburned Carbon and NO Emissions in a Drop-tube Furnace. Energy Fuels 2011, 25, 5055–5062. [Google Scholar] [CrossRef]
- Ma, H.; Zhou, L.; Ma, S.; Wang, Z.; Du, H.; Li, J.; Zhang, W.; Guo, P.; Chew, J.W. Impact of the Multihole Wall Air Coupling with Air Staged on NOx Emission during Pulverized Coal Combustion. Energy Fuels 2018, 32, 1464–1473. [Google Scholar] [CrossRef]
- Kurose, R.; Ikeda, M.; Makino, H.; Kimoto, M.; Miyazaki, T. Pulverized coal combustion characteristics of high-fuel-ratio coals. Fuel 2004, 83, 1777–1785. [Google Scholar] [CrossRef]
- Kim, S.-I.; Lee, B.-H.; An, K.-J.; Kim, M.-C.; Kim, S.-M.; Jeon, C.-H. Effect of Ash Content on Unburned Carbon and NOx Emission in a Drop Tube Furnace. Trans. Korean Soc. Mech. Eng. 2014, 38, 963–969. [Google Scholar] [CrossRef]
- Smrekar, J.; Gostincar, P.; Sarjas, A.; Hocevar, M. NOx reduction and efficiency improvement of a 210 MWt coal-fired boiler co-firing biomass. In Proceedings of the 29th International Conference—ECOS 2016, Portoroz, Slovenia, 19–23 June 2016. [Google Scholar]






| No. | Sample | Country | Proximate Analysis (as’rec basis, wt %) | Fuel Ratio (-) | Calorific Value (kcal/kg) | Ultimate Analysis (daf basis, wt %) | Atomic Ratio (-) | |||||||||
|---|---|---|---|---|---|---|---|---|---|---|---|---|---|---|---|---|
| Moi. | VM | FC | Ash | HHV | LHV | C | H | O | N | S | H/C | O/C | ||||
| 1 | Anglo | South Africa | 4.71 | 24.72 | 54.75 | 15.82 | 2.21 | 6651 | 6338 | 82.37 | 4.45 | 10.96 | 1.56 | 0.66 | 0.65 | 0.2 |
| 2 | Clermont | Australia | 2.73 | 27.51 | 58.84 | 10.92 | 2.14 | 7090 | 6623 | 86.4 | 6.82 | 4.35 | 1.85 | 0.59 | 0.95 | 0.08 |
| 3 | Cloud peak | USA | 19.73 | 36.8 | 39.25 | 4.22 | 1.07 | 6954 | 5582 | 76.96 | 5.18 | 15.38 | 2.03 | 0.45 | 0.81 | 0.3 |
| 4 | Flame | Australia | 1.98 | 28.81 | 48.27 | 20.94 | 1.68 | 6188 | 6065 | 87.23 | 5.4 | 4.5 | 2.05 | 0.81 | 0.74 | 0.08 |
| 5 | Glencore | Russia | 12.37 | 34.11 | 45.59 | 7.93 | 1.34 | 6813 | 5970 | 77.19 | 5.1 | 15.16 | 2.17 | 0.38 | 0.79 | 0.29 |
| 6 | Indominco | Indonesia | 14.29 | 38.64 | 39.31 | 7.76 | 1.02 | 6755 | 5790 | 75.45 | 5.37 | 15.9 | 1.78 | 1.51 | 0.85 | 0.32 |
| 7 | Lanna | Indonesia | 16.95 | 36.74 | 38.45 | 7.86 | 1.05 | 6498 | 5397 | 74.12 | 5.31 | 18.35 | 0.99 | 1.23 | 0.86 | 0.37 |
| 8 | Light House | USA | 18.35 | 34.24 | 42.11 | 5.3 | 1.23 | 6920 | 5650 | 74.75 | 5.31 | 17.99 | 1.4 | 0.55 | 0.85 | 0.36 |
| 9 | Light House | USA | 6.33 | 35.72 | 47.33 | 10.62 | 1.33 | 6966 | 5788 | 75.37 | 5.07 | 17.99 | 1.14 | 0.42 | 0.81 | 0.36 |
| 10 | Macquarie | Colombia | 9.18 | 35.14 | 47.62 | 8.06 | 1.36 | 7029 | 6384 | 78.47 | 5.27 | 14.09 | 1.57 | 0.6 | 0.81 | 0.27 |
| 11 | Mercurai | South Africa | 4.2 | 25.45 | 53.67 | 16.68 | 2.11 | 6461 | 6190 | 81.85 | 4.67 | 10.85 | 1.93 | 0.7 | 0.68 | 0.2 |
| 12 | Moolarben | Australia | 1.86 | 29.03 | 52.3 | 16.81 | 1.8 | 6737 | 6612 | 84.71 | 5.13 | 7.82 | 1.74 | 0.6 | 0.73 | 0.14 |
| 13 | NCA | Australia | 13.68 | 29.88 | 47.85 | 8.59 | 1.6 | 7036 | 6073 | 78.85 | 5 | 13.31 | 2.25 | 0.59 | 0.76 | 0.25 |
| 14 | Noble | South Africa | 3.19 | 26.39 | 55.39 | 15.03 | 2.1 | 6613 | 6402 | 84.65 | 4.94 | 8.22 | 1.49 | 0.71 | 0.7 | 0.15 |
| 15 | Rio | Australia | 3.82 | 30.59 | 51.63 | 13.96 | 1.69 | 7009 | 6741 | 82.58 | 5.43 | 9.22 | 2.15 | 0.62 | 0.79 | 0.17 |
| 16 | Trafigura | South Africa | 3.94 | 26.83 | 51.43 | 17.8 | 1.92 | 6375 | 6124 | 83.1 | 4.68 | 9.65 | 1.5 | 1.08 | 0.68 | 0.17 |
| 17 | Trafigura | Australia | 6.76 | 29.64 | 47.56 | 16.04 | 1.6 | 6607 | 6160 | 82.73 | 5.25 | 9.37 | 1.68 | 0.97 | 0.76 | 0.17 |
| 18 | Trafigura | Australia | 4.87 | 30.52 | 47.29 | 17.32 | 1.55 | 6611 | 6289 | 83.65 | 5.4 | 7.64 | 2.36 | 0.94 | 0.77 | 0.14 |
| 19 | Tugnuisky | Russia | 4.14 | 35.59 | 45.59 | 14.68 | 1.28 | 6802 | 6520 | 82.44 | 5.72 | 9.16 | 2.17 | 0.51 | 0.83 | 0.17 |
| 20 | Vitol | Colombia | 9.68 | 36.5 | 47.46 | 6.36 | 1.3 | 7147 | 6455 | 78.53 | 5.22 | 14.68 | 1 | 0.57 | 0.8 | 0.28 |
| No. | Sample | Fuel-N to NOx (CR) (-) | NOx Concentration (ppmv) | No. | Coal Sample | Fuel-N to NOx (CR) (-) | NOx Concentration (ppmv) |
|---|---|---|---|---|---|---|---|
| 1 | Anglo | 0.112 | 161.65 | 11 | Mercurai | 0.105 | 193.72 |
| 2 | Clermont | 0.172 | 304.59 | 12 | Moolarben | 0.151 | 244.39 |
| 3 | Cloud peak | 0.018 | 40.16 | 13 | NCA | 0.067 | 150.14 |
| 4 | Flame | 0.107 | 225.35 | 14 | Noble | 0.172 | 245.36 |
| 5 | Glencore | 0.041 | 87.28 | 15 | Rio | 0.098 | 202.26 |
| 6 | Indominco | 0.054 | 95.08 | 16 | Trafigura | 0.124 | 178.63 |
| 7 | Lanna | 0.097 | 107.63 | 17 | Trafigura | 0.116 | 186.62 |
| 8 | Light House | 0.05 | 76.8 | 18 | Trafigura | 0.09 | 204.17 |
| 9 | Light House | 0.151 | 187.35 | 19 | Tugnuisky | 0.073 | 147.94 |
| 10 | Macquarie | 0.098 | 147.22 | 20 | Vitol | 0.143 | 132.49 |
| No. | Sample | Moisture Content (as’rec basis, wt %) | Fixed Carbon Content (as’rec basis, wt %) | FR/FN(-) | Calculated NOx (ppmv) |
|---|---|---|---|---|---|
| 1 | Anglo | 4.71 | 54.75 | 141.7 | 218.17 |
| 2 | Clermont | 2.73 | 58.84 | 115.7 | 246.31 |
| 3 | Cloud peak | 19.73 | 39.25 | 52.7 | 50.42 |
| 4 | Flame | 1.98 | 48.27 | 82 | 205.38 |
| 5 | Glencore | 12.37 | 45.59 | 61.8 | 125.16 |
| 6 | Indominco | 14.29 | 39.31 | 57.3 | 86.46 |
| 7 | Lanna | 16.95 | 38.45 | 106.1 | 70.09 |
| 8 | Light House | 18.35 | 42.11 | 87.9 | 74.7 |
| 9 | Light House | 6.33 | 47.33 | 116.7 | 175.89 |
| 10 | Macquarie | 9.18 | 47.62 | 86.6 | 156.52 |
| 11 | Mercurai | 4.2 | 53.67 | 109.3 | 215.2 |
| 12 | Moolarben | 1.86 | 52.3 | 103.4 | 224.33 |
| 13 | NCA | 13.68 | 47.85 | 71.1 | 126.95 |
| 14 | Noble | 3.19 | 55.39 | 140.9 | 230.59 |
| 15 | Rio | 3.82 | 51.63 | 78.6 | 206.96 |
| 16 | Trafigura | 3.94 | 51.43 | 128 | 208.82 |
| 17 | Trafigura | 6.76 | 47.56 | 95.2 | 172.61 |
| 18 | Trafigura | 4.87 | 47.29 | 65.7 | 181.09 |
| 19 | Tugnuisky | 4.14 | 45.59 | 59 | 178.08 |
| 20 | Vitol | 9.68 | 47.46 | 130 | 155.52 |
© 2019 by the authors. Licensee MDPI, Basel, Switzerland. This article is an open access article distributed under the terms and conditions of the Creative Commons Attribution (CC BY) license (http://creativecommons.org/licenses/by/4.0/).
Share and Cite
Kim, G.-M.; Jeong, J.-W.; Jeong, J.-S.; Kim, D.-Y.; Kim, S.-M.; Jeon, C.-H. Empirical Formula to Predict the NOx Emissions from Coal Power Plant using Lab-Scale and Real-Scale Operating Data. Appl. Sci. 2019, 9, 2914. https://doi.org/10.3390/app9142914
Kim G-M, Jeong J-W, Jeong J-S, Kim D-Y, Kim S-M, Jeon C-H. Empirical Formula to Predict the NOx Emissions from Coal Power Plant using Lab-Scale and Real-Scale Operating Data. Applied Sciences. 2019; 9(14):2914. https://doi.org/10.3390/app9142914
Chicago/Turabian StyleKim, Gyeong-Min, Jong-Won Jeong, Jae-Seong Jeong, Dong-Yeop Kim, Seung-Mo Kim, and Chung-Hwan Jeon. 2019. "Empirical Formula to Predict the NOx Emissions from Coal Power Plant using Lab-Scale and Real-Scale Operating Data" Applied Sciences 9, no. 14: 2914. https://doi.org/10.3390/app9142914
APA StyleKim, G.-M., Jeong, J.-W., Jeong, J.-S., Kim, D.-Y., Kim, S.-M., & Jeon, C.-H. (2019). Empirical Formula to Predict the NOx Emissions from Coal Power Plant using Lab-Scale and Real-Scale Operating Data. Applied Sciences, 9(14), 2914. https://doi.org/10.3390/app9142914

