Degradation of Diallyl Phthalate (DAP) by Fenton Oxidation: Mechanistic and Kinetic Studies
Abstract
1. Introduction
2. Materials and Method
2.1. Chemicals
2.2. Analytical Procedures
2.3. Fenton Experiments
3. Results and Discussion
3.1. Influence of Initial pH
3.2. Effect of Fe2+ Dose and Iron Source
3.3. Effect of H2O2 Dose
3.4. Effect of DAP Concentration
3.5. Rate Constant for Reactions between the DAP and Hydroxyl Radicals
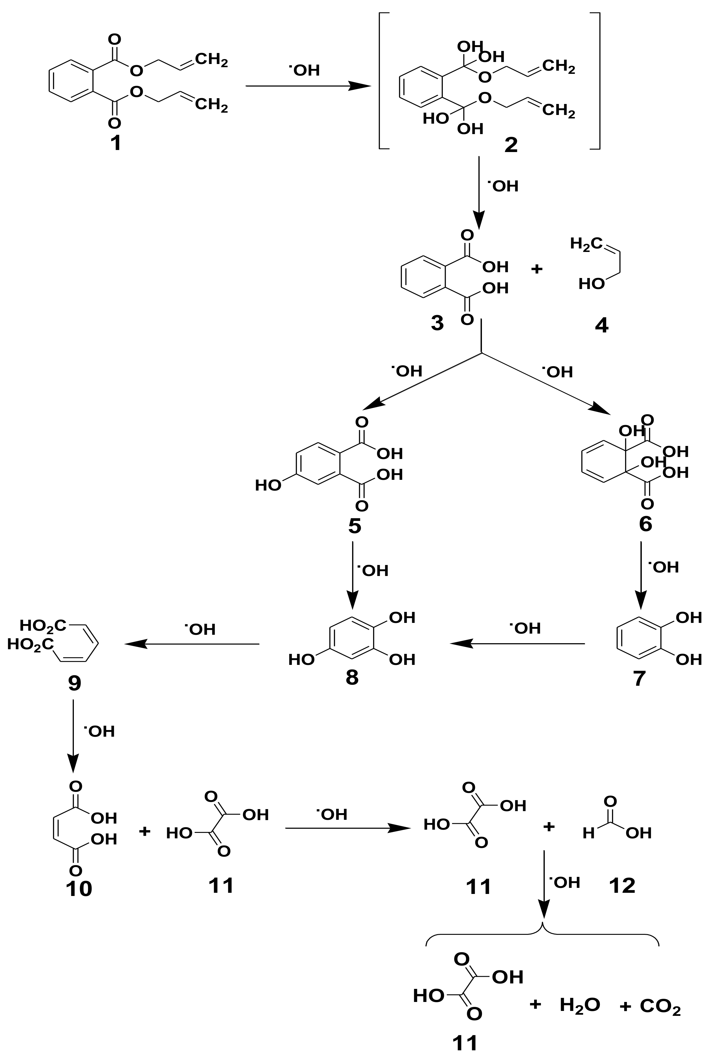
3.6. DAP Mineralization and Identification of Oxidation Intermediates
3.7. Proposed Reaction Pathway for DAP Mineralization
4. Conclusions
- The Fenton process is an effective technology for the removal of total organic content of DAP from aqueous solutions within 120 min and 95% of TOC removal during 360 min under the following optimized conditions: 100 mg/L DAP, [H2O2] = 1000 mg/L, [Fe2+] = 50 mg/L (ferrous sulfate catalyst), and at pH = 3.2.
- The ferrous sulfate can be used effectively as a heterogeneous source of Fe2+ ion and as a catalyst in the Fenton treatment of DAP from water.
- A rate constant of 7.26.109 M−1 s−1 was determined for the reaction between DAP and hydroxyl radicals •OH through a competition kinetic method using BA as a reference compound.
- HPLC analyses and TOC measurement indicated that numerous successive steps are involved in the degradation of DAP by Fenton oxidation including (i) oxidation via hydroxyl radicals generated from water by catalytic decomposition of H2O2 in an acidic medium, (ii) oxidative opening of benzene rings into aliphatic intermediates, and (iii) fragmentation of aliphatic compounds into small carboxylic acids and then to carbon dioxide and water.
- Oxalic acid was detected as the most persistent product, being the predominant species present in the solution.
- It can be summarized that the Fenton oxidation process could be the best method for the total destruction of DAP from water.
Author Contributions
Acknowledgments
Conflicts of Interest
References
- Fromme, H.; Lahrz, T.; Piloty, M.; Gebhart, H.; Oddoy, A.; Rüden, H. Occurrence of phthalates and musk fragrances in indoor air and dust from apartments and kindergartens in Berlin (Germany). Indoor Air 2004, 14, 188–195. [Google Scholar] [CrossRef] [PubMed]
- Wensing, M.; Uhde, E.; Salthammer, T. Plastics additives in the indoor environment—Flame retardants and plasticizers. Sci. Total Environ. 2005, 339, 19–40. [Google Scholar] [CrossRef] [PubMed]
- Fromme, H.; Gruber, L.; Schlummer, M.; Wolz, G.; Böhmer, S.; Angerer, J.; Mayer, R.; Liebl, B.; Bolte, G. Intake of phthalates and di(2-ethylhexyl)adipate: Results of the Integrated Exposure Assessment Survey based on duplicate diet samples and biomonitoring data. Environ. Int. 2007, 33, 1012–1020. [Google Scholar] [CrossRef] [PubMed]
- Qu, R.; Feng, M.; Sun, P.; Wang, Z. A comparative study on antioxidant status combined with integrated biomarker response in Carassius auratus fish exposed to nine phthalates. Environ. Toxicol. 2015, 30, 1125–1134. [Google Scholar] [CrossRef] [PubMed]
- Kavlock, R.; Barr, D.; Boekelheide, K.; Breslin, W.; Breysse, P.; Chapin, R.; Gaido, K.; Hodgson, E.; Marcus, M.; Shea, K.; et al. NTP-CERHR Expert Panel Update on the Reproductive and Developmental Toxicity of Di(2-ethylhexyl) phthalate. Reprod. Toxicol. 2006, 22, 291–399. [Google Scholar] [CrossRef] [PubMed]
- Thompson, R.C.; Moore, C.J.; Vom Saal, F.S.; Swan, S.H. Plastics, the environment and human health: Current consensus and future trends. Philos. Trans. R. Soc. London B Biol. Sci. 2009, 364, 2153–2166. [Google Scholar] [CrossRef] [PubMed]
- Saillenfait, A.-M.; Roudot, A.-C.; Gallissot, F.; Sabaté, J.-P.; Chagnon, M.-C. Developmental toxic potential of di-n-propyl phthalate administered orally to rats. J. Appl. Toxicol. 2011, 31, 36–44. [Google Scholar] [CrossRef] [PubMed]
- Bergé, A.; Cladière, M.; Gasperi, J.; Coursimault, A.; Tassin, B.; Moilleron, R. Meta-analysis of environmental contamination by phthalates. Environ. Sci. Pollut. Res. 2013, 20, 8057–8076. [Google Scholar] [CrossRef]
- Huang, J.; Nkrumah, P.N.; Li, Y.; Appiah-Sefah, G. Reviews of Environmental Contamination and Toxicology; Springer Science & Business Media: New York, NY, USA, 2013; Volume 236, pp. 1–297. [Google Scholar]
- Gani, K.M.; Kazmi, A.A. Phthalate contamination in aquatic environment: A critical review of the process factors that influence their removal in conventional and advanced wastewater treatment. Crit. Rev. Environ. Sci. Technol. 2016, 46, 1402–1439. [Google Scholar] [CrossRef]
- Matsumoto, M.; Hirata-Koizumi, M.; Ema, M. Potential adverse effects of phthalic acid esters on human health: A review of recent studies on reproduction. Regul. Toxicol. Pharmacol. 2008, 50, 37–49. [Google Scholar] [CrossRef]
- Keresztes, S.; Tatár, E.; Czégény, Z.; Záray, G.; Mihucz, V.G. Study on the leaching of phthalates from polyethylene terephthalate bottles into mineral water. Sci. Total Environ. 2013, 458, 451–458. [Google Scholar] [CrossRef] [PubMed]
- Deblonde, T.; Cossu-Leguille, C.; Hartemann, P. Emerging pollutants in wastewater: A review of the literature. Int. J. Hyg. Environ. Health 2011, 214, 442–448. [Google Scholar] [CrossRef] [PubMed]
- Julinová, M.; Slavík, R. Removal of phthalates from aqueous solution by different adsorbents: A short review. J. Environ. Manag. 2012, 94, 13–24. [Google Scholar] [CrossRef] [PubMed]
- Özer, E.T.; Güçer, Ş. Determination of di(2-ethylhexyl) phthalate migration from toys into artificial sweat by gas chromatography mass spectrometry after activated carbon enrichment. Polym. Test. 2012, 31, 474–480. [Google Scholar] [CrossRef]
- Saillenfait, A.M.; Gallissot, F.; Sabaté, J.P. Evaluation of the developmental toxicity of diallyl phthalate administered orally to rats. Food Chem. Toxicol. 2008, 46, 2150–2156. [Google Scholar] [CrossRef] [PubMed]
- Zhou, J.; Cai, Z.-H.; Li, L.; Gao, Y.-F.; Hutchinson, T.H. A proteomics based approach to assessing the toxicity of bisphenol A and diallyl phthalate to the abalone (Haliotis diversicolor supertexta). Chemosphere 2010, 79, 595–604. [Google Scholar] [CrossRef]
- Zhang, H.; Choi, H.J.; Huang, C.-P. Optimization of Fenton process for the treatment of landfill leachate. J. Hazard. Mater. 2005, 125, 166–174. [Google Scholar] [CrossRef]
- Pignatello, J.J.; Oliveros, E.; MacKay, A. Advanced Oxidation Processes for Organic Contaminant Destruction Based on the Fenton Reaction and Related Chemistry. Crit. Rev. Environ. Sci. Technol. 2006, 36, 1–84. [Google Scholar] [CrossRef]
- Bautista, P.; Mohedano, A.F.; Casas, J.A.; Zazo, J.A.; Rodriguez, J.J. An overview of the application of Fenton oxidation to industrial wastewaters treatment. J. Chem. Technol. Biotechnol. 2008, 83, 1323–1338. [Google Scholar] [CrossRef]
- Sun, M.; Chu, C.; Geng, F.; Lu, X.; Qu, J.; Crittenden, J.; Elimelech, M.; Kim, J.-H. Reinventing Fenton Chemistry: Iron Oxychloride Nanosheet for pH-Insensitive H2O2 Activation. Environ. Sci. Technol. Lett. 2018, 5, 186–191. [Google Scholar] [CrossRef]
- Hodges, B.C.; Cates, E.L.; Kim, J.-H. Challenges and prospects of advanced oxidation water treatment processes using catalytic nanomaterials. Nat. Nanotechnol. 2018, 13, 642–650. [Google Scholar] [CrossRef]
- Yang, X.; Xu, X.; Xu, J.; Han, Y. Iron Oxychloride (FeOCl): An Efficient Fenton-Like Catalyst for Producing Hydroxyl Radicals in Degradation of Organic Contaminants. J. Am. Chem. Soc. 2013, 135, 16058–16061. [Google Scholar] [CrossRef]
- Ahmed, B.; Limem, E.; Abdel-Wahab, A.; Nasr, B. Photo-Fenton Treatment of Actual Agro-Industrial Wastewaters. Ind. Eng. Chem. Res. 2011, 50, 6673–6680. [Google Scholar] [CrossRef]
- Dbira, S.; Bedoui, A.; Bensalah, N. Investigations on the Degradation of Triazine Herbicides in Water by Photo-Fenton Process. Am. J. Anal. Chem. 2014, 5, 500–517. [Google Scholar] [CrossRef]
- Bedoui, A.; Ahmadi, M.F.; Bensalah, N.; Gadri, A. Comparative study of Eriochrome black T treatment by BDD-anodic oxidation and Fenton process. Chem. Eng. J. 2009, 146, 98–104. [Google Scholar] [CrossRef]
- Babuponnusami, A.; Muthukumar, K. Degradation of Phenol in Aqueous Solution by Fenton, Sono-Fenton and Sono-photo-Fenton Methods. CLEAN—Soil Air Water 2011, 39, 142–147. [Google Scholar] [CrossRef]
- Zazouli, M.A.; Yousefi, Z.; Eslami, A.; Ardebilian, M.B. Municipal solid waste landfill leachate treatment by fenton, photo-fenton and fenton-like processes: Effect of some variables. Iran. J. Environ. Health Sci. Eng. 2012, 9, 3. [Google Scholar] [CrossRef] [PubMed]
- Louhichi, B.; Bensalah, N. Comparative study of the treatment of printing ink wastewater by conductive-diamond electrochemical oxidation. Fenton process, and ozonation. Sustain. Environ. Res. 2014, 24, 49–57. [Google Scholar]
- Yang, S.; Xiong, Y.; Ge, Y.; Zhang, S. Heterogeneous Fenton oxidation of nitric oxide by magnetite: Kinetics and mechanism. Mater. Lett. 2018, 218, 257–261. [Google Scholar] [CrossRef]
- Chen, W.-S.; Juan, C.-N.; Wei, K.-M. Mineralization of dinitrotoluenes and trinitrotoluene of spent acid in toluene nitration process by Fenton oxidation. Chemosphere 2005, 60, 1072–1079. [Google Scholar] [CrossRef]
- Bensalah, N.; Khodary, A.; Abdel-Wahab, A. Kinetic and mechanistic investigations of mesotrione degradation in aqueous medium by Fenton process. J. Hazard. Mater. 2011, 189, 479–485. [Google Scholar] [CrossRef]
- Benitez, F.J.; Real, F.J.; Acero, J.L.; Garcia, C. Photochemical oxidation processes for the elimination of phenyl-urea herbicides in waters. J. Hazard. Mater. 2006, 138, 278–287. [Google Scholar] [CrossRef] [PubMed]
- Chen, L.; Peng, X.; Liu, J.; Li, J.; Wu, F. Decolorization of Orange II in Aqueous Solution by an Fe(II)/sulfite System: Replacement of Persulfate. Ind. Eng. Chem. Res. 2012, 51, 13632–13638. [Google Scholar] [CrossRef]
- Chen, L.; Huang, X.; Tang, M.; Zhou, D.; Wu, F. Rapid dephosphorylation of glyphosate by Cu—catalyzed sulfite oxidation involving sulfate and hydroxyl radicals. Environ. Chem. Lett. 2018, 1–5. [Google Scholar] [CrossRef]










© 2018 by the authors. Licensee MDPI, Basel, Switzerland. This article is an open access article distributed under the terms and conditions of the Creative Commons Attribution (CC BY) license (http://creativecommons.org/licenses/by/4.0/).
Share and Cite
Dbira, S.; Bensalah, N.; Zagho, M.M.; Bedoui, A. Degradation of Diallyl Phthalate (DAP) by Fenton Oxidation: Mechanistic and Kinetic Studies. Appl. Sci. 2019, 9, 23. https://doi.org/10.3390/app9010023
Dbira S, Bensalah N, Zagho MM, Bedoui A. Degradation of Diallyl Phthalate (DAP) by Fenton Oxidation: Mechanistic and Kinetic Studies. Applied Sciences. 2019; 9(1):23. https://doi.org/10.3390/app9010023
Chicago/Turabian StyleDbira, Sondos, Nasr Bensalah, Moustafa M. Zagho, and Ahmed Bedoui. 2019. "Degradation of Diallyl Phthalate (DAP) by Fenton Oxidation: Mechanistic and Kinetic Studies" Applied Sciences 9, no. 1: 23. https://doi.org/10.3390/app9010023
APA StyleDbira, S., Bensalah, N., Zagho, M. M., & Bedoui, A. (2019). Degradation of Diallyl Phthalate (DAP) by Fenton Oxidation: Mechanistic and Kinetic Studies. Applied Sciences, 9(1), 23. https://doi.org/10.3390/app9010023

