Feasibility of Using Graphene Oxide Nanoflake (GONF) as Additive of Cement Composite
Abstract
:Featured Application
Abstract
1. Introduction
2. Materials and Mix Designs
2.1. Materials
2.2. Mix Design
3. Experimental Methods
4. Results and Discussion
4.1. Characterization of GONF
4.2. Effect of GONF on the Properties of Fresh Cement Paste
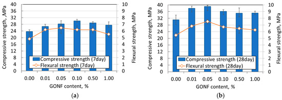
4.3. Effect of GONF on the Strength of Hardened Cement Paste and Concrete
4.4. Characterization of Microstructure of GONF-Composite
5. Conclusions
- It was found that mechanical properties of all GONF-combined paste and concrete have been improved compared to the control specimens. According to compressive and flexural strength tests, highest strengths are observed at GONF of 0.05% with GON-combined paste and at GONF of 0.01% with GONF-combined concrete; thus, we conclude that 0.05% and 0.01% of GONF are an optimum content in cement paste and concrete.
- Wet-mix designs exhibit higher compressive and flexural strengths than Dry-mix designs. Well-dispersion of GONF in cement paste may contribute the higher strengths. However, Dry-mix design where the GONF is mixed with cement as dry power can be also competitive from a practical viewpoint.
- Petrographic analysis (SEM/EDS) identifies GONFs inside products of cement hydration (surrounded by C-S-H), confirming GONF’s a potential role as nano-reinforcing and nano-filling effects.
- To actualize applying this new nanomaterial in concrete industry, Dry-mix design method can be an alternative mix design method.
Acknowledgments
Author Contributions
Conflicts of Interest
References
- Dreyer, D.R.; Park, S.; Bielawski, C.W.; Ruoff, R.S. The chemistry of graphene oxide. Chem. Soc. Rev. 2010, 39, 228–240. [Google Scholar] [CrossRef] [PubMed]
- Zhao, L.; Guo, X.; Liu, Y.; Ge, C.; Guo, L.; Shu, X.; Liu, J. Synergistic effects of silica nanoparticles/polycarboxylate superplasticizer modified graphene oxide on mechanical behavior and hydration process of cement composites. RSC Adv. 2017, 7, 16688–16702. [Google Scholar] [CrossRef]
- Pan, Z.; He, L.; Qiu, L.; Korayem, A.H.; Li, G.; Zhu, J.W.; Collins, F.; Li, D.; Duan, W.H.; Wang, M.C. Mechanical properties and microstructure of a graphene oxide–cement composite. Cem. Concr. Compos. 2015, 58, 140–147. [Google Scholar] [CrossRef]
- Musso, S.; Tulliani, J.-M.; Ferro, G.; Tagliaferro, A. Influence of carbon nanotubes structure on the mechanical behavior of cement composites. Compos. Sci. Technol. 2009, 69, 1985–1990. [Google Scholar] [CrossRef]
- Mohammed, A.; Sanjayan, J.G.; Duan, W.H.; Nazari, A. Incorporating graphene oxide in cement composites: A study of transport properties. Constr. Build. Mater. 2015, 84, 341–347. [Google Scholar] [CrossRef]
- Lu, C.; Lu, Z.; Li, Z.; Leung, C.K.Y. Effect of graphene oxide on the mechanical behavior of strain hardening cementitious composites. Constr. Build. Mater. 2016, 120, 457–464. [Google Scholar] [CrossRef]
- Li, W.; Li, X.; Chen, S.J.; Long, G.; Liu, Y.M.; Duan, W.H. Effects of nanoalumina and graphene oxide on early-age hydration and mechanical properties of cement paste. J. Mater. Civ. Eng. 2017, 29. [Google Scholar] [CrossRef]
- Li, W.; Li, X.; Chen, S.J.; Liu, Y.M.; Duan, W.H.; Shah, S.P. Effects of graphene oxide on early-age hydration and electrical resistivity of portland cement paste. Constr. Build. Mater. 2017, 136, 506–514. [Google Scholar] [CrossRef]
- Lv, S.; Ma, Y.; Qiu, C.; Sun, T.; Liu, J.; Zhou, Q. Effect of graphene oxide nanosheets of microstructure and mechanical properties of cement composites. Constr. Build. Mater. 2013, 49, 121–127. [Google Scholar] [CrossRef]
- Al Muhit, B.A. Investigation on the mechanical, microstructural, and electrical properties of graphene oxide-cement composite. In Electronic Theses and Dissertations; University of Central Florida: Orlando, FL, USA, 2015. [Google Scholar]
- Chuah, S.; Pan, Z.; Sanjayan, J.G.; Wang, C.M.; Duan, W.H. Nano reinforced cement and concrete composites and new perspective from graphene oxide. Constr. Build. Mater. 2014, 73, 113–124. [Google Scholar] [CrossRef]
- Gong, K.; Pan, Z.; Korayem, A.H.; Qiu, L.; Li, D.; Collins, F.; Wang, C.M.; Duan, W.H. Reinforcing effects of graphene oxide on portland cement paste. J. Mater. Civ. Eng. 2015, 27. [Google Scholar] [CrossRef]
- Tong, T.; Fan, Z.; Liu, Q.; Wang, S.; Tan, S.; Yu, Q. Investigation of the effects of graphene and graphene oxide nanoplatelets on the micro- and macro-properties of cementitious materials. Constr. Build. Mater. 2016, 106, 102–114. [Google Scholar] [CrossRef]
- Sharma, S.; Kothiyal, N.C. Comparative effects of pristine and ball-milled graphene oxide on physico-chemical characteristics of cement mortar nanocomposites. Constr. Build. Mater. 2016, 115, 256–268. [Google Scholar] [CrossRef]
- Kiew, S.F.; Kiew, L.V.; Lee, H.B.; Imae, T.; Chung, L.Y. Assessing biocompatibility of graphene oxide-based nanocarriers: A review. J. Control. Release 2016, 226, 217–228. [Google Scholar] [CrossRef] [PubMed]
- Garmor has Developed A Simple yet Effective Method of Producing Graphene Oxide. Available online: http://garmortech.com/technology.htm (accessed on 9 July 2015).
- Blair, R.G.; Chagoya, K.; Biltek, S.; Jackson, S.; Sinclair, A.; Taraboletti, A.; Restrepo, D.T. The scalability in the mechanochemical syntheses of edge functionalized graphene materials and biomass-derived chemicals. Faraday Discuss. 2014, 170, 223–233. [Google Scholar] [CrossRef] [PubMed]
- Li, D.; Müller, M.B.; Gilje, S.; Kaner, R.B.; Wallace, G.G. Processable aqueous dispersions of graphene nanosheets. Nat. Nanotechnol. 2008, 3, 101–105. [Google Scholar] [CrossRef] [PubMed]
- D’Alessandro, A.; Rallini, M.; Ubertini, F.; Materazzi, A.L.; Kenny, J.M. Investigations on scalable fabrication procedures for self-sensing carbon nanotube cement-matrix composites for shm applications. Cem. Concr. Compos. 2016, 65, 200–213. [Google Scholar] [CrossRef]
- Vaisman, L.; Wagner, H.D.; Marom, G. The role of surfactants in dispersion of carbon nanotubes. Adv. Colloid Interface Sci. 2006, 128–130, 37–46. [Google Scholar] [CrossRef] [PubMed]
- ASTM. ASTM c150/c150m-17 Standard Specification for Portland Cement; American Society for Testing and Materials: West Conshohocken, PA, USA, 2017. [Google Scholar]
- ASTM. ASTM c33/c33m-11a Standard Specification for Concrete Aggregates; American Society for Testing and Materials: West Conshohocken, PA, USA, 2011. [Google Scholar]
- ASTM. Standard Test Method for Sieve Analysis of Fine and Coarse Aggregates; American Society for Testing and Materials: West Conshohocken, PA, USA, 2014. [Google Scholar]
- Kantro, D.L. Influence of water-reducing admixtures on properties of cement paste—A miniature slump test. Cem. Concr. Aggreg. 1980, 2, 95–102. [Google Scholar]
- ASTM. ASTM c191-13 Standard Test Methods for Time of Setting of Hydraulic Cement by Vicat Needle; ASTM International: West Conshohocken, PA, USA, 2013. [Google Scholar]
- ASTM. ASTM c127-15 Standard Test Method for Relative Density (Specific Gravity) and Absorption of Coarse Aggregate; American Society for Testing and Materials: West Conshohocken, PA, USA, 2015. [Google Scholar]
- ASTM. ASTM c128-15 Standard Test Method for Relative Density (Specific Gravity) and Absorption of Fine Aggregate; American Society for Testing and Materials: West Conshohocken, PA, USA, 2015. [Google Scholar]
- Camilli, L.; Pisani, C.; Gautron, E.; Scarselli, M.; Castrucci, P.; D’Orazio, F.; Passacantando, M.; Moscone, D.; Crescenzi, M.D. A three-dimensional carbon nanotube network for water treatment. Nanotechnology 2014, 25, 065701. [Google Scholar] [CrossRef] [PubMed]
- Saner, B.; Gürsel, S.A.; YÜRÜM, Y. Layer-by-layer polypyrrole coated graphite oxide and graphene nanosheets as catalyst support materials for fuel cells. Fuller. Nanotub. Carbon Nanostruct. 2013, 21, 233–247. [Google Scholar] [CrossRef]
- Wu, H.; Chan, G.; Choi, J.W.; Ryu, I.; Yao, Y.; McDowell, M.T.; Lee, S.W.; Jackson, A.; Yang, Y.; Hu, L.; et al. Stable cycling of double-walled silicon nanotube battery anodes through solid–electrolyte interphase control. Nat. Nanotechnol. 2012, 7, 310–315. [Google Scholar] [CrossRef] [PubMed]










| Contents | CaO | SiO2 | SO3 | Al2O3 | Fe2O3 | Insoluble Residue | Total Loss on Ignition |
|---|---|---|---|---|---|---|---|
| Test value (%) | 64.90 | 21.49 | 0.70 | 4.21 | 3.50 | 1.10 | - |
| Oxygen | Non-Oxygen Composition | ||||||
|---|---|---|---|---|---|---|---|
| Carbon | Silicon | Sulphur | Potassium | Calcium | Chromium | Copper | |
| 5~10% | >99.8% | <40 ppm | <60 ppm | <5 ppm | <30 ppm | <125 ppm | <5 ppm |
| Specimen ID | w/c | Water | Cement | GONF | Fine Agg. | Coarse Agg. |
|---|---|---|---|---|---|---|
| Ratio | (kg/m3) | (kg/m3) | (kg/m3) | (kg/m3) | (kg/m3) | |
| P | 0.5 | 180 | 360 | - | - | - |
| PD0.01 | 0.5 | 180 | 360 | 0.036 | - | - |
| PD0.05 | 0.5 | 180 | 360 | 0.18 | - | - |
| PD0.1 | 0.5 | 180 | 360 | 0.36 | - | - |
| PD0.5 | 0.5 | 180 | 360 | 0.36 | - | - |
| PD1 | 0.5 | 180 | 360 | 3.6 | ||
| PW0.01 | 0.5 | 180 | 360 | 0.036 | - | - |
| PW0.05 | 0.5 | 180 | 360 | 0.18 | - | - |
| PW0.1 | 0.5 | 180 | 360 | 0.36 | - | - |
| PW0.5 | 0.5 | 180 | 360 | 0.36 | - | - |
| PW1 | 0.5 | 180 | 360 | 3.6 | ||
| C | 0.5 | 180 | 360 | - | 761 | 949 |
| CD0.01 | 0.5 | 180 | 360 | 0.036 | 761 | 949 |
| CD0.02 | 0.5 | 180 | 360 | 0.072 | 761 | 949 |
| CD0.03 | 0.5 | 180 | 360 | 0.108 | 761 | 949 |
| CD0.04 | 0.5 | 180 | 360 | 0.144 | 761 | 949 |
| CD0.05 | 0.5 | 180 | 360 | 0.18 | 761 | 949 |
| CD0.1 | 0.5 | 180 | 360 | 0.36 | 761 | 949 |
| Properties | OPC | GONF | Test Methods and Device |
|---|---|---|---|
| Elastic modulus | - | 1 TPa | Atomic Force Microscope (AFM) |
| Tensile Strength | - | 130 GPa | AFM |
| Specific gravity (OD) | 3.15 | 1.91 | ASTM C127 [26], C128 [27] |
| Surface area | 33.10 m2/g | 204 m2/g | BET Sorptometery |
| Specimen ID | Mini Slump Test (cm2) | Initial Setting (hour) | Final Setting (hour) |
|---|---|---|---|
| P | 155.48 (100%) | 5.75 (100%) | 9.5 (100%) |
| PD0.01 | 155.32 (99.9%) | 5.55 (96.5%) | 9.25 (97.4%) |
| PD0.05 | 121.28 (78%) | 5.3 (92.2%) | 9.1 (95.8%) |
| PD0.1 | 116.61 (75%) | 5.5 (95.7%) | 9.45 (99.5%) |
| PD0.5 | 107.28 (69%) | 5.85 (101.7%) | 10 (105.3%) |
| PD1 | 93.29 (60%) | 6.05 (105.2%) | 10.1 (106.3%) |
| PW0.01 | 155.42 (99.9%) | 5.75 (100%) | 9.65 (101.6%) |
| PW0.05 | 129.05 (83%) | 5.5 (95.7%) | 9.5 (100%) |
| PW0.1 | 122.83 (79%) | 5.8 (100.9%) | 9.75 (102.6%) |
| PW0.5 | 111.95 (72%) | 5.9 (102.6%) | 10.1 (106.3%) |
| PW1 | 105.73 (68%) | 6.15 (107%) | 10.55 (111.1%) |
| Shots | C (%) | O (%) | Al (%) | Si (%) | S (%) | Ca (%) | Pd (%) | Au (%) | Total (%) | Probable Compounds |
|---|---|---|---|---|---|---|---|---|---|---|
| 1(Area) | 12.43 | 30.05 | --- | 3.17 | --- | 50.93 | --- | 3.42 | 100 | C-S-H + GO |
| 2(Area) | 15.56 | 39.99 | 0.86 | 10.15 | --- | 25.74 | 4.56 | 3.15 | Jennite + GO | |
| 3(Point) | --- | 13.70 | 2.58 | 9.23 | 5.47 | 69.01 | --- | --- | Ettringite | |
| 4(Point) | --- | 7.29 | 1.58 | 12.91 | 2.35 | 75.87 | --- | --- | Ettringite | |
| 5(Point) | 16.94 | 39.34 | --- | 8.38 | --- | 26.00 | 5.62 | 3.72 | C-S-H + GO |
© 2018 by the authors. Licensee MDPI, Basel, Switzerland. This article is an open access article distributed under the terms and conditions of the Creative Commons Attribution (CC BY) license (http://creativecommons.org/licenses/by/4.0/).
Share and Cite
An, J.; McInnis, M.; Chung, W.; Nam, B.H. Feasibility of Using Graphene Oxide Nanoflake (GONF) as Additive of Cement Composite. Appl. Sci. 2018, 8, 419. https://doi.org/10.3390/app8030419
An J, McInnis M, Chung W, Nam BH. Feasibility of Using Graphene Oxide Nanoflake (GONF) as Additive of Cement Composite. Applied Sciences. 2018; 8(3):419. https://doi.org/10.3390/app8030419
Chicago/Turabian StyleAn, Jinwoo, Matthew McInnis, Wonseok Chung, and Boo Hyun Nam. 2018. "Feasibility of Using Graphene Oxide Nanoflake (GONF) as Additive of Cement Composite" Applied Sciences 8, no. 3: 419. https://doi.org/10.3390/app8030419
APA StyleAn, J., McInnis, M., Chung, W., & Nam, B. H. (2018). Feasibility of Using Graphene Oxide Nanoflake (GONF) as Additive of Cement Composite. Applied Sciences, 8(3), 419. https://doi.org/10.3390/app8030419
