Non-Newtonian Behaviors of Crumb Rubber-Modified Bituminous Binders
Abstract
:Featured Application
Abstract
1. Introduction
2. Materials and Methods
2.1. Materials
2.2. Binder Preparation
2.3. Testing Methods
3. Results and Discussion
3.1. Influence of Temperature and Shear Rate on Complex Viscosity
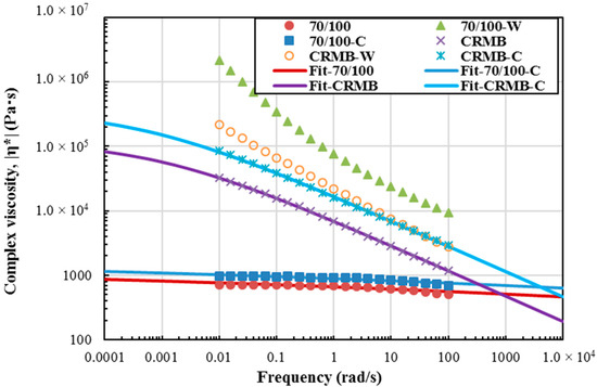
3.2. Shear-Thinning Behaviors
3.3. Zero Shear Viscosity
3.4. Yield Stress
3.5. Complex Viscosity as a Function of Temperature
4. Conclusions
Author Contributions
Funding
Acknowledgments
Conflicts of Interest
References
- Lesueur, D. The colloidal structure of bitumen: Consequences on the rheology and on the mechanisms of bitumen modification. Adv. Colloid Interface Sci. 2009, 145, 42–82. [Google Scholar] [CrossRef] [PubMed]
- Polacco, G.; Filippi, S.; Merusi, F.; Stastna, G. A review of the fundamentals of polymer-modified asphalts: Asphalt/polymer interactions and principles of compatibility. Adv. Colloid Interface Sci. 2015, 224, 72–112. [Google Scholar] [CrossRef] [PubMed]
- Wang, H.; Yang, J.; Gong, M. Rheological Characterization of Asphalt Binders and Mixtures Modified with Carbon Nanotubes; Rilem Bookser; Springer: Berlin, Germany, 2016; pp. 141–150. [Google Scholar]
- Wang, H.; You, Z.; Mills-Beale, J.; Hao, P. Laboratory evaluation on high temperature viscosity and low temperature stiffness of asphalt binder with high percent scrap tire rubber. Constr. Build. Mater. 2012, 26, 583–590. [Google Scholar] [CrossRef]
- Sybilski, D. Non-newtonian viscosity of polymer-modified bitumens. Mater. Struct. 1993, 26, 15–23. [Google Scholar] [CrossRef]
- Barnes, H.A.; Hutton, J.F.; Walters, K. An Introduction to Rheology; Elsevier: New York, NY, USA, 1989; Volume 3. [Google Scholar]
- Larson, R.G. The Structure and Rheology of Complex Fluids; Oxford University Press: New York, NY, USA, 1999; Volume 150. [Google Scholar]
- Haj-Kacem, R.B.; Ouerfelli, N.; Herráez, J.V.; Guettari, M.; Hamda, H.; Dallel, M. Contribution to modeling the viscosity arrhenius-type equation for some solvents by statistical correlations analysis. Fluid Phase Equilib. 2014, 383, 11–20. [Google Scholar] [CrossRef]
- Jamshidi, A.; Hamzah, M.O.; Shahadan, Z.; Yahaya, A.S. Evaluation of the rheological properties and activation energy of virgin and recovered asphalt binder blends. J. Mater. Civ. Eng. 2015, 27, 04014135. [Google Scholar] [CrossRef]
- Bahia, H.; Anderson, D. The new proposed rheological properties of asphalt binders: Why are they required and how do they compare to conventional properties. In Physical Properties of Asphalt Cement Binders; ASTM International: West Conshohocken, PA, USA, 1995. [Google Scholar]
- Zoorob, S.E.; Castro-Gomes, J.P.; Pereira Oliveira, L.A. Assessing low shear viscosity as the new bitumen softening point test. Constr. Build. Mater. 2012, 27, 357–367. [Google Scholar] [CrossRef]
- Sybilski, D. Zero-shear viscosity of bituminous binder and its relation to bituminous mixture’s rutting resistance. Transp. Res. Rec. J. Transp. Res. Board 1996, 1535, 15–21. [Google Scholar] [CrossRef]
- Anderson, D.; Le Hir, Y.; Planche, J.-P.; Martin, D.; Shenoy, A. Zero shear viscosity of asphalt binders. Transp. Res. Rec. J. Transp. Res. Board 2002, 1810, 54–62. [Google Scholar] [CrossRef]
- Wang, H.; Liu, X.; Apostolidis, P.; Scarpas, T. Review of warm mix rubberized asphalt concrete: Towards a sustainable paving technology. J. Clean. Prod. 2018, 177, 302–314. [Google Scholar] [CrossRef]
- Lo Presti, D. Recycled tyre rubber modified bitumens for road asphalt mixtures: A literature review. Constr. Build. Mater. 2013, 49, 863–881. [Google Scholar] [CrossRef]
- Heitzman, M. Design and construction of asphalt paving materials with crumb rubber modifier. Transp. Res. Rec. 1992, 1339, 1–44. [Google Scholar]
- Abdelrahman, M. Controlling performance of crumb rubber-modified binders through addition of polymer modifiers. Transp. Res. Rec. J. Transp. Res. Board 2006, 1962, 64–70. [Google Scholar]
- Shen, J.; Amirkhanian, S.; Xiao, F.; Tang, B. Influence of surface area and size of crumb rubber on high temperature properties of crumb rubber modified binders. Constr. Build. Mater. 2009, 23, 304–310. [Google Scholar] [CrossRef]
- Tang, N.; Huang, W.; Xiao, F. Chemical and rheological investigation of high-cured crumb rubber-modified asphalt. Constr. Build. Mater. 2016, 123, 847–854. [Google Scholar] [CrossRef]
- Ragab, M.; Abdelrahman, M.; Ghavibazoo, A. Performance enhancement of crumb rubber-modified asphalts through control of the developed internal network structure. Transp. Res. Rec. J. Transp. Res. Board 2013, 2371, 96–104. [Google Scholar] [CrossRef]
- Hajj, E.Y.; Sebaaly, P.E.; Hitti, E.; Borroel, C. Performance evaluation of terminal blend tire rubber hma and wma mixtures—Case studies. J. Assoc. Asph. Paving Technol. 2011, 80, 665–696. [Google Scholar]
- Zhang, W.; Shen, S.; Wu, S.; Mohammad, L.N. Long-term field aging of warm-mix and hot-mix asphalt binders. Transp. Res. Rec. J. Transp. Res. Board 2017, 2632, 140–149. [Google Scholar] [CrossRef]
- Huang, S.C. Rubber concentrations on rheology of aged asphalt binders. J. Mater. Civ. Eng. 2008, 20, 221–229. [Google Scholar] [CrossRef]
- Abdelrahman, M.A.; Carpenter, S.H. Mechanism of the interaction of asphalt cement with crumb rubber modifier. Transp. Res. Rec. J. Transp. Res. Board 1999, 1661, 106–113. [Google Scholar] [CrossRef]
- Airey, G.D.; Rahimzadeh, B.; Collop, A.C. Linear viscoelastic limits of bituminous binders. J. Assoc. Asph. Paving Technol. 2002, 71, 89–115. [Google Scholar]
- Shan, L.; Tan, Y.; Richard Kim, Y. Applicability of the cox–merz relationship for asphalt binder. Constr. Build. Mater. 2012, 37, 716–722. [Google Scholar] [CrossRef]
- Baumgardner, G.L.; Reinke, G.R. Binder additives for warm mix asphalt technology. J. Assoc. Asph. Paving Technol. 2013, 685–709. [Google Scholar]
- Wang, H.; Liu, X.; Apostolidis, P.; Scarpas, T. Rheological behavior and its chemical interpretation of crumb rubber modified asphalt containing warm-mix additives. Transp. Res. Rec. J. Transp. Res. Board 2018. [Google Scholar] [CrossRef]
- Jamshidi, A.; Hamzah, M.O.; You, Z. Performance of warm mix asphalt containing sasobit®: State-of-the-art. Constr. Build. Mater. 2013, 38, 530–553. [Google Scholar] [CrossRef]
- Angelico, R.; Burgemeister, D.; Ceglie, A.; Olsson, U.; Palazzo, G.; Schmidt, C. Deuterium nmr study of slow relaxation dynamics in a polymer-like micelles system after flow-induced orientation. J. Phys. Chem. B 2003, 107, 10325–10328. [Google Scholar] [CrossRef]
- Angelico, R.; Rossi, C.O.; Ambrosone, L.; Palazzo, G.; Mortensen, K.; Olsson, U. Ordering fluctuations in a shear-banding wormlike micellar system. Phys. Chem. Chem. Phys. 2010, 12, 8856–8862. [Google Scholar] [CrossRef] [PubMed]
- Morea, F.; Agnusdei, J.O.; Zerbino, R. Comparison of methods for measuring zero shear viscosity in asphalts. Mater. Struct. 2009, 43, 499–507. [Google Scholar] [CrossRef]
- Mark, J.E.; Erman, B.; Roland, M. The Science and Technology of Rubber; Academic Press: Cambridge, MA, USA, 2013. [Google Scholar]
- Ragab, M.; Abdelrahman, M. Effects of interaction conditions on internal network structure of crumb rubber-modified asphalts. Transp. Res. Rec. J. Transp. Res. Board 2014, 2444, 130–141. [Google Scholar] [CrossRef]
- Barnes, H.A. The yield stress—A review or ‘παντα ρει’—Everything flows? J. Non-Newton. Fluid Mech. 1999, 81, 133–178. [Google Scholar] [CrossRef]
- Saini, D.; Shenoy, A. A new method for the determination of flow activation energy of polymer melt. J. Macromol. Sci. Part B Phys. 1983, 22, 437–449. [Google Scholar] [CrossRef]
- Messaâdi, A.; Dhouibi, N.; Hamda, H.; Belgacem, F.B.M.; Adbelkader, Y.H.; Ouerfelli, N.; Hamzaoui, A.H. A new equation relating the viscosity arrhenius temperature and the activation energy for some newtonian classical solvents. J. Chem. 2015, 2015. [Google Scholar] [CrossRef]








| Test Description | Unit | Value | |
|---|---|---|---|
| Consistency at intermediate service temperature | Penetration at 25 °C | mm/10 | 80 |
| Consistency at elevated service temperature | Softening Point | °C | 46 |
| Resistance to hardening at 163°C | Change in mass | % | 0.72 |
| Retained penetration | % | 52 | |
| Softening point after hardening | °C | 51 | |
| Technical characteristic | Density at 25 °C | g/cm3 | 1.027 |
| Kinematic viscosity at 135 °C | mm2/s | 265 | |
| Solubility | % | >99.0 |
| Sieves (mm) | Passing (%) |
|---|---|
| 0.710 | 100 |
| 0.500 | 93 |
| 0.355 | 63 |
| 0.180 | 21 |
| 0.125 | 9 |
| 0.063 | 2 |
| Properties | Description or Value |
|---|---|
| Source | Scrap truck tyres |
| Colour | Black |
| Morphology | Porous |
| Specific gravity (kg/L) | 1.15 |
| Decomposition temperature (°C) | ~200 |
| Total rubber (natural and synthetic) | 55 |
| Carbon Black (%) | 30 |
| Zinc oxide (%) | 1.5 |
| Sulphur (%) | 1 |
| Benzene extraction (%) | 5.5 |
| Ash content (%) | 7 |
| Binder Type | 70/100 | 70/100-C | CRMB | CRMB-C |
|---|---|---|---|---|
| (Pa·s) | 1377 | 1848 | 1.2 × 105 | 3.55 × 105 |
| K (s) | 4.31 | 3.10 | 1191.18 | 2144.81 |
| m | 0.0644 | 0.0639 | 0.3951 | 0.3924 |
© 2018 by the authors. Licensee MDPI, Basel, Switzerland. This article is an open access article distributed under the terms and conditions of the Creative Commons Attribution (CC BY) license (http://creativecommons.org/licenses/by/4.0/).
Share and Cite
Wang, H.; Liu, X.; Apostolidis, P.; Scarpas, T. Non-Newtonian Behaviors of Crumb Rubber-Modified Bituminous Binders. Appl. Sci. 2018, 8, 1760. https://doi.org/10.3390/app8101760
Wang H, Liu X, Apostolidis P, Scarpas T. Non-Newtonian Behaviors of Crumb Rubber-Modified Bituminous Binders. Applied Sciences. 2018; 8(10):1760. https://doi.org/10.3390/app8101760
Chicago/Turabian StyleWang, Haopeng, Xueyan Liu, Panos Apostolidis, and Tom Scarpas. 2018. "Non-Newtonian Behaviors of Crumb Rubber-Modified Bituminous Binders" Applied Sciences 8, no. 10: 1760. https://doi.org/10.3390/app8101760
APA StyleWang, H., Liu, X., Apostolidis, P., & Scarpas, T. (2018). Non-Newtonian Behaviors of Crumb Rubber-Modified Bituminous Binders. Applied Sciences, 8(10), 1760. https://doi.org/10.3390/app8101760

