The Mathematical Model and Numerical Solution of Instantaneous Availabilities for the Two-Unit Series Repairable System and Parallel Repairable System with Three States
Abstract
:1. Introduction
2. IA for Two-Unit Series System with Three States
2.1. Mathematical Model of IA
2.2. Numerical Solution and Error Analysis
- STEP 1:
- Apply the compound formula to . Divide the interval into n equivalent. Let , then apply compound formula to .
- STEP 2:
- Apply the compound trapezoidal formula to . Same as the division in STEP 1, we apply the compound trapezoidal formula to , therefore we can obtain
- STEP 3:
- Bring into , then we can get
Error Analysis
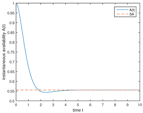
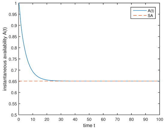
2.3. Numerical Simulation
3. IA for Two-Unit Parallel System with Three States
3.1. Mathematical Model of IA
- state 0:
- unit 1 and unit 2 are up.
- state 1:
- unit 1 is up, unit 2 is delay-repair.
- state 2:
- unit 1 is delay-repair, unit 2 is up.
- state 3:
- unit 1 is up, unit 2 is repaired.
- state 4:
- unit 1 is repaired, unit 2 is up.
- state 5:
- unit 1 is delay-repair, unit 2 is delay-repair.
- state 6:
- unit 1 is delay-repair, unit 2 is repaired.
- state 7:
- unit 1 is repaired, unit 2 is delay-repair.
- state 8:
- unit 1 is repaired, unit 2 is repaired.
3.2. Numerical Solution and Error Analysis
3.3. Numerical Simulation
4. Conclusions
Author Contributions
Funding
Conflicts of Interest
References
- Wang, K.; Liu, Y.; Yin, M.; Jiang, H. Analysis on the instantaneous availability of series repairable systems in cyber warfare environment. In Proceedings of the 33rd Chinese Control Conference, Nanjing, China, 28–30 July 2014. [Google Scholar] [CrossRef]
- Li, J.; Teng, K.; Yang, C.; Li, B. Research on the SMTN-based instantaneous availability of military aircraft in the mission preparation period. In Proceedings of the 2016 7th International Conference on Mechanical and Aerospace Engineering (ICMAE), London, UK, 18–20 July 2016. [Google Scholar] [CrossRef]
- Siergiejczyk, M. Reliability Model of Motorway Emergency Communication System. Solid State Phenom. 2013, 210, 122–129. [Google Scholar] [CrossRef]
- Xue, A.; Jing, Q.; Luo, L.; Wang, J.; Wang, B.; Huang, S.; Bi, T. Instantaneous availability for the protection devices based on non-homogeneous Markov model and a case study. In Proceedings of the 33rd Chinese Control Conference, Nanjing, China, 28–30 July 2014. [Google Scholar] [CrossRef]
- Li, X.; Yang, Z.; Li, G.; Zhao, H.; Chen, F.; Zhu, X. Instantaneous availability modelling of CNC machine tool based on functional data analysis. J. Jilin Univ. (Eng. Technol. Ed.) 2012, 42, 1151–1156. [Google Scholar]
- Sericola, B. Interval-availability distribution of 2-state systems with exponential failures and phase-type repairs. IEEE Trans. Reliab. 1994, 43, 335–343. [Google Scholar] [CrossRef]
- Raje, D.; Olaniya, R.; Wakhare, P.; Deshpande, A. Availability assessment of a two-unit stand-by pumping system. Reliab. Eng. Syst. Saf. 2000, 68, 269–274. [Google Scholar] [CrossRef]
- Mi, J. Limiting availability of system with non-identical lifetime distributions and non-identical repair time distributions. Stat. Probab. Lett. 2006, 76, 729–736. [Google Scholar] [CrossRef]
- Sun, H.; Han, J.J. Instantaneous availability and interval availability for systems with time-varying failure rate: Stair-step approximation. In Proceedings of the 2001 Pacific Rim International Symposium on Dependable Computing, Seoul, Korea, 17–19 December 2001. [Google Scholar] [CrossRef]
- Yang, Y. General Probability Distribution System Instantaneous Availability Discrete Time Modeling Analysis and Application. Ph.D. Thesis, Nanjing University of Science and Technology, Nanjing, China, 2008. [Google Scholar]
- Yang, Y.; Kang, R.; Yu, Y.; Wang, L. Comparative Analysis of the Instantaneous Availability for Continuous-time and Discrete-time model on the One-Unit Repairable System. J. Converg. Inf. Technol. 2012, 7, 258–266. [Google Scholar]
- Yi, Y.; Lichao, W.; Rui, K. Comparative analysis of the continuous-time model and discrete-time instantaneous availability model of the delay repairable system. In Proceedings of the 2011 IEEE 3rd International Conference on Communication Software and Networks, Xi’an, China, 27–29 May 2011. [Google Scholar] [CrossRef]
- Ren, S.; Yang, Y.; Xu, H. Fluctuation analysis of instantaneous availability under delay-repair. In Proceedings of the 2016 35th Chinese Control Conference (CCC), Chengdu, China, 27–29 July 2016. [Google Scholar] [CrossRef]
- Sarkar, J.; Biswas, A. Availability of a one-unit system supported by several spares and repair facilities. J. Korean Stat. Soc. 2010, 39, 165–176. [Google Scholar] [CrossRef]
- Yang, Y.; Wang, L.; Kang, R. Construction and Simulation Analysis for Stability Speed Parameter of Instantaneous Availability for One-Unit Repairable Systems. In Intelligence Science and Big Data Engineering; Lecture Notes in Computer Science; Springer: Berlin/Heidelberg, Germany, 2013; pp. 835–843. [Google Scholar] [CrossRef]
- Ren, S.; Yang, Y.; Chen, Y.; Kang, R. Fluctuation analysis of instantaneous availability under minor repair. J. Beijing Univ. Aeronaut. Astronaut. 2017, 43, 602–607. [Google Scholar]
- Li, Q.; Yang, Y.; Chen, X.; Xu, H. Fluctuation analysis of instantaneous availability for the series repairable system. In Proceedings of the 36th Chinese Control Conference, Dalian, China, 26–28 July 2017; pp. 7443–7447. [Google Scholar]
- Zhao, D.; Liu, S. Failure model analysis of communication system in intelligent substation. J. Jiyuan Vocat. Tech. Coll. 2014, 2, 9–12. [Google Scholar]
- Hariga, M.A. A maintenance inspection model for a single machine with general failure distribution. Microelectron. Reliab. 1996, 36, 353–358. [Google Scholar] [CrossRef]
- Guan, Z.; Lu, J. Numerical Analysis; Higher Education Press: Beijing, China, 2010. [Google Scholar]
- Lv, T.; Huang, J. High Precision Algorithm for Integral Equation; Science Press: Beijing, China, 2013. [Google Scholar]
- Cao, J.; Cheng, K. A Mathematical Introduction to Reliability; Higher Education Press: Beijing, China, 2012. [Google Scholar]






© 2018 by the authors. Licensee MDPI, Basel, Switzerland. This article is an open access article distributed under the terms and conditions of the Creative Commons Attribution (CC BY) license (http://creativecommons.org/licenses/by/4.0/).
Share and Cite
Yang, Y.; Li, Q.; Chen, X. The Mathematical Model and Numerical Solution of Instantaneous Availabilities for the Two-Unit Series Repairable System and Parallel Repairable System with Three States. Appl. Sci. 2018, 8, 1759. https://doi.org/10.3390/app8101759
Yang Y, Li Q, Chen X. The Mathematical Model and Numerical Solution of Instantaneous Availabilities for the Two-Unit Series Repairable System and Parallel Repairable System with Three States. Applied Sciences. 2018; 8(10):1759. https://doi.org/10.3390/app8101759
Chicago/Turabian StyleYang, Yi, Qianbin Li, and Xuefeng Chen. 2018. "The Mathematical Model and Numerical Solution of Instantaneous Availabilities for the Two-Unit Series Repairable System and Parallel Repairable System with Three States" Applied Sciences 8, no. 10: 1759. https://doi.org/10.3390/app8101759
APA StyleYang, Y., Li, Q., & Chen, X. (2018). The Mathematical Model and Numerical Solution of Instantaneous Availabilities for the Two-Unit Series Repairable System and Parallel Repairable System with Three States. Applied Sciences, 8(10), 1759. https://doi.org/10.3390/app8101759

