Fatigue Analysis of Greenhouse Structure under Wind Load and Self-Weight
Abstract
:1. Introduction
2. Description of Model and Analysis Method
2.1. Time Series Data of Wind Speed
2.2. Description of Model and Analysis Condition
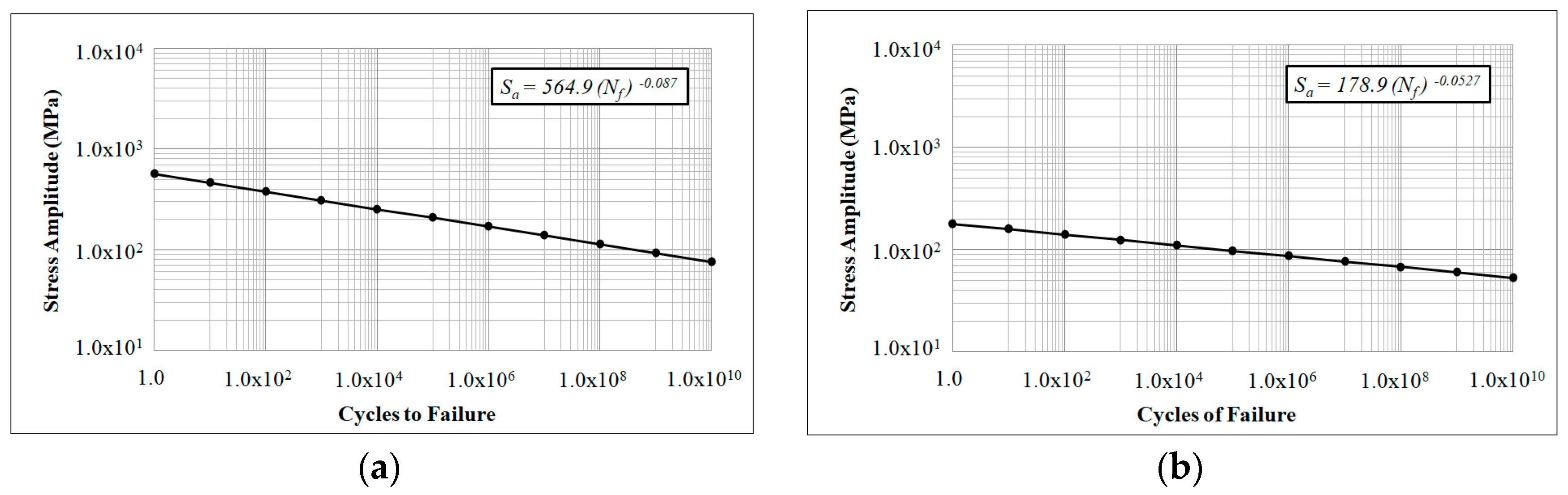
3. Results and Discussion
4. Conclusions
Acknowledgments
Author Contributions
Conflicts of Interest
References
- Soriano, J.; Neto, J.G.V. Distribution of stress in greenhouses frames estimated by aerodynamic coefficients of Brazilian and European standards. Sci. Agric. 2016, 73, 97–102. [Google Scholar]
- Park, C.W.; Lee, J.W.; Lee, H.W.; Lee, S.G.; Suk-Gun, L. Optimum Design of Greenhouse Structures Using Continuous and Discrete Optimum Algorithms. J. Korean Assoc. Spat. Struct. 2001, 5, 61–70. [Google Scholar]
- Park, C.W.; Lee, H.W.; Yu, B.Y.; Lee, H.W.; Lee, S.G. Optimum Design Greenhouse Structures Using Genetic Algorithms. J. Korean Soc. Steel Constr. 2007, 19, 171–177. [Google Scholar]
- Lewei, T.; Jian, J.; Feng, Z. Comparative study on calculation of wind loads on greenhouse structures between codes of China and Europe. Trans. Chin. Soc. Agric. Eng. 2012, 29, 174–181. [Google Scholar]
- Nayak, A.K.; Ramana Rao, K.V. Estimation of wind load on a greenhouse and evaluation of its structural stability. Int. J. Agric. Eng. 2014, 7, 461–466. [Google Scholar] [CrossRef]
- Bronkhorst, A.J.; Geurts, C.P.W.; van Bentum, C.A.; van der Knaap, L.P.M.; Pertermann, I. Wind Loads for Stability Design of Large Multi-Span Duo-Pitch Greenhouses. Front. Built Environ. 2017, 3, 1–21. [Google Scholar] [CrossRef]
- Von Elsner, B.; Briassoulis, D.; Waaijenberg, D.; Mistriotis, A.; von Zabeltitz, C.; Gratraud, J.; Russo, G.; Suay-Cortes, R. Review of Structural and Functional Characteristics of Greenhouses in European Union Countries: Part I, Design Requirements. J. Agric. Eng. Res. 2000, 75, 1–16. [Google Scholar] [CrossRef]
- Jung, S.H.; Lee, J.W.; Lee, S.Y.; Lee, H.W. Analysis of wind velocity profile for calculation of wind pressure on greenhouse. Prot. Hortic. Plant Fact. 2015, 24, 135–146. [Google Scholar] [CrossRef]
- Kim, Y.D.; Cabardo, C. Yearly Maximum Wind Speed Distributions of Daily Maximum Data Generated by Monte Carlo Simulation. Wind Eng. Inst. Korea 2008, 11, 26–31. [Google Scholar]
- Frank, W.; Daniel, K.; Eggers, W. Wind vibration analyses of Giant Magellan Telescope. Proc. SPIE 2006, 6271, Q2710. [Google Scholar]
- Reprtto, M.P.; Solari, G. Wind-induced fatigue collapse of real slender structures. Eng. Struct. 2010, 32, 3888–3898. [Google Scholar] [CrossRef]
- Fang, Z.; Li, A.; Li, W.; Shen, S. Wind-Induced Fatigue Analysis of High-Rise Steel Structures Using Equivalent Structural Stress Method. Appl. Sci. 2017, 7, 71–89. [Google Scholar] [CrossRef]
- Basaran, C.; Yan, C.Y. A Thermodynamic Framework for Damage Mechanics of Solder Joints. J. Electron. Packag. 1998, 120, 379–384. [Google Scholar] [CrossRef]
- Basaran, C.; Nie, S. An Irreversible Thermodynamic Theory for Damage Mechanics of Solids. Int. J. Damage Mech. 2004, 13, 205–224. [Google Scholar] [CrossRef]
- Temfack, T.; Basaran, C. Experimental Verification of a Thermodynamic Fatigue Life Prediction Model. Mater. Sci. Technol. 2015, 31, 1627–1632. [Google Scholar] [CrossRef]
- Sosnovskiy, L.A.; Sherbakov, S.S. Mechanothermodynamic Entropy and Analysis of Damage State of Complex Systems. Entropy 2016, 18, 268. [Google Scholar] [CrossRef]
- Costa Rocha, P.A.; Coelho de Sousa, R.; Freitas de Andrade, C.; Vieira da Silva, M. Comparison of seven numerical methods for determining Weibull parameters for wind energy generation in the northeast region of Brazil. Appl. Energy 2012, 89, 395–400. [Google Scholar] [CrossRef]
- Ko, D.H.; Shin, T.J.; Kang, K.S. Assessment of Offshore Wind Power Potential in the Western Seas of Korea. J. Korean Soc. Coast. Ocean Eng. 2015, 27, 266–273. [Google Scholar] [CrossRef]
- Von Elsner, B.; Briassoulis, D.; Waaijenberg, D. Review of Structural and Functional Characteristics of Greenhouses in European Union Countries: Part II, Typical Designs. J. Agric. Eng. Res. 2000, 75, 111–126. [Google Scholar] [CrossRef]
- Kande, D.K. A CFD Analysis oh Heat and Mass Tranfer in Greenhouses: An Introduction. Math. Model. Appl. 2017, 2, 17–20. [Google Scholar]
- Hur, D.J.; Jeong, S.H.; Noh, J.H. Investigation into the Internal Flow and Temperature Characteristics for Greenhouse Ventilation Patterns using Computation Analysis. Int. J. Eng. Res. Appl. 2017, 7, 1–8. [Google Scholar]
- Hsiao, P.-C. Seismic Performance Evaluation of Concentrically Braced Frames. Ph.D. Thesis, University of Washington, Seattle, WA, USA, 2012. [Google Scholar]
- Grover, H.G. Fatigue of Aircraft Structures; NAVAL Air Systems Command, Department of the Navy: Washington, DC, USA, 1966; pp. 38–43. [Google Scholar]
- Kwon, K.S.; Kim, D.W.; Kim, R.W.; Ha, T.W.; Lee, I.B. Evaluation of wind pressure coefficients of single-span greenhouse built on reclaimed coastal land using a large-sized wind tunnel. Biosyst. Eng. 2016, 141, 58–81. [Google Scholar] [CrossRef]











| Parameter | Parameter Description | Sing Roof | 3-Span |
|---|---|---|---|
| Hf | Height of fluid domain | 2.5 | 60.0 |
| Wf | Width of fluid domain | 8.0 | 310.0 |
| Lff | Front Length of fluid domain | 7.83 | 99.7 |
| Lfr | Rear Length fluid domain | 15.0 | 99.7 |
| Hg | Height of greenhouse | 0.175 | 6.3 |
| He | Height of eave | 0.08 | 5.1 |
| Hp | Height of straight wind pipe | - | 3.7 |
| Lg | Length of greenhouse | 0.33 | 23.2 |
| Lp | Length of wind pipe | 0.01 | 1.2 |
| Wg | Width of green house | 1.1 | 24.1 |
| R | Radius of roof curvature | 3.0 | 4.0 |
| Part | Material | Density (kg/m3) | Elastic Modulus (MPa) | Poisson’s Ratio |
|---|---|---|---|---|
| Frame | SPSR400 | 7.85 × 10−6 | 203,000 | 0.30 |
| Al-Frame | Al alloy (BS1490) | 2.70 × 10−6 | 72,000 | 0.33 |
| Footing | Concrete | 2.40 × 10−6 | 28,600 | 0.15 |
| Case | Loading Condition for Stress Normalized Model | Stress Compensate for Self-Weight | Wind Speed Distribution | Remark |
|---|---|---|---|---|
| 1 | Only wind load | X | k = 1.664, = 5.129 | Korea island wind speeds data |
| 2 | Only wind load | O | k = 1.664, = 5.129 | |
| 3 | Wind load with self-weight at 12 m/s | X | k = 1.664, = 5.129 | |
| 4 | Wind load with self-weight at 21 m/s | X | k = 1.664, = 5.129 | |
| 5 | Wind load with self-weight at 30 m/s | X | k = 1.664, = 5.129 |
| Roof Face | Front Face | Rear Face | Side Face | ||||||||||||
|---|---|---|---|---|---|---|---|---|---|---|---|---|---|---|---|
| A | B | C | D | E | F | G | H | I | J | K | L | M | N | O | |
| EN | −1.1 | −1.0 | −0.7 | −0.5 | −0.4 | −0.5 | −0.4 | −0.4 | −0.4 | −0.4 | −0.4 | −0.4 | 0.6 | −0.6 | −0.4 |
| CFD | −0.9 | −1.1 | −0.7 | −0.5 | −0.3 | −0.4 | −0.2 | −0.3 | −0.2 | −0.3 | −0.2 | −0.5 | 0.8 | −0.3 | −0.4 |
EN: EN1991-1-4, CFD: Computational fluid Dynamic of Pitch-type roof![]() | |||||||||||||||
| Case | Loading Condition of Structure Analysis | Stress Compensate | Damage | Life Cycle | Life Years |
|---|---|---|---|---|---|
| 1 | Only wind load | X | 3.88 × 10−3 | 25.8 | 12.9 |
| 2 | Only wind load | O | 3.05 × 10−3 | 32.8 | 16.4 |
| 3 | Wind load with self-weight at 12 m/s | X | 9.36 × 10−3 | 107.0 | 53.4 |
| 4 | Wind load with self-weight at 21 m/s | X | 2.46 × 10−3 | 40.6 | 20.3 |
| 5 | Wind load with self-weight at 30 m/s | X | 3.13 × 10−3 | 32.0 | 16.0 |
© 2017 by the authors. Licensee MDPI, Basel, Switzerland. This article is an open access article distributed under the terms and conditions of the Creative Commons Attribution (CC BY) license (http://creativecommons.org/licenses/by/4.0/).
Share and Cite
Hur, D.-J.; Kwon, S. Fatigue Analysis of Greenhouse Structure under Wind Load and Self-Weight. Appl. Sci. 2017, 7, 1274. https://doi.org/10.3390/app7121274
Hur D-J, Kwon S. Fatigue Analysis of Greenhouse Structure under Wind Load and Self-Weight. Applied Sciences. 2017; 7(12):1274. https://doi.org/10.3390/app7121274
Chicago/Turabian StyleHur, Deog-Jae, and Sangyoup Kwon. 2017. "Fatigue Analysis of Greenhouse Structure under Wind Load and Self-Weight" Applied Sciences 7, no. 12: 1274. https://doi.org/10.3390/app7121274
APA StyleHur, D.-J., & Kwon, S. (2017). Fatigue Analysis of Greenhouse Structure under Wind Load and Self-Weight. Applied Sciences, 7(12), 1274. https://doi.org/10.3390/app7121274


