Next Article in Journal
New Developments in Smart Farming Applied in Sustainable Agriculture
Previous Article in Journal
Effective Epileptic Seizure Detection with Hybrid Feature Selection and SMOTE-Based Data Balancing Using SVM Classifier
Previous Article in Special Issue
Regional Geomagnetic Field Modeling Based on Associated Legendre Polynomials
 
 
Font Type:
Arial Georgia Verdana
Font Size:
Aa Aa Aa
Line Spacing:
Column Width:
Background:
Article

Method of Suppressing Rayleigh Waves Based on the Technology of Time-Domain Differential Detection

1
National Engineering Research Center of High-Speed Railway Construction Technology, Changsha 410075, China
2
School of Geoscience and Information Physics, Central South University, Changsha 410083, China
3
Key Laboratory of Nonferrous Metals Mineralization Prediction, Ministry of Education Corresponding, Changsha 410083, China
4
College of Earth Science and Space Information Engineering, Hunan University of Science and Technology, Xiangtan 411201, China
*
Author to whom correspondence should be addressed.
Appl. Sci. 2025, 15(9), 4691; https://doi.org/10.3390/app15094691
Submission received: 19 March 2025 / Revised: 18 April 2025 / Accepted: 21 April 2025 / Published: 23 April 2025

Abstract

Seismic exploration is widely used in shallow engineering applications, yet extracting reflected wave information remains challenging due to contamination from Rayleigh waves. To overcome this, we propose a common shot point time-domain differential method that leverages the distinct velocity contrast between slow Rayleigh waves and faster P-wave reflections. These waves exhibit lower velocity and minimal dispersion in the radiation direction under the same seismic source excitation. This study establishes two closely spaced track records termed “far main and near slave” along the direction of the measurement line to counteract this interference. This method employs the difference in travel time between Rayleigh waves and subsurface interface reflection waves for time-domain differential analysis. The interference is minimized while preserving the reflected wave signal by conducting slight amplitude compensation on the far-field Rayleigh wave signal and subtracting the master and slave records. The application of time-domain differential detection technology in shallow engineering seismic exploration and marble plate thickness detection experiments demonstrated that this method effectively eliminates the influence of Rayleigh surface waves and enhances the resolution of reflection signals from anomalous bodies. Additionally, this study examines the impact of boundaries on time-domain differential technology. Without relying on long array shot records, this approach provides a promising result for Rayleigh wave suppression and offers broad potential in elastic wave exploration.

1. Introduction

Seismic exploration relies on the differences in elasticity and density of subsurface media. The physical properties and geometric states of subterranean media are determined by analyzing seismic response signals from artificially induced seismic waves. Seismic exploration broadly covers traditional oil and gas exploration, engineering seismic exploration, and ultrasonic non-destructive testing of solid-phase media. Although the principles of elastic wave propagation and diffusion, along with signal extraction and processing methods, remain similar, each application targets specific objectives. For reflection or scattering engineering seismic exploration, a critical step in subsequent signal processing involves separating or selectively suppressing Rayleigh waves and reflected wave signals near the free interface [1,2].
Previous studies have proposed three effective methods for suppressing Rayleigh waves. The first method, combined detection, includes spatial geometric combined detection [3,4] and time-domain numerical combined detection technology [5]. The interference mechanism of this technology is well understood, with numerous successful applications [6]. However, a geophone array is essentially a coherent stacking method based on zero correction or static correction. Its capacity to suppress Rayleigh waves in near-source shot records is limited, potentially affecting the time–frequency attributes of reflected wave signals and making it challenging to mitigate these effects in the following stages. Hence, the associated combination operation methods are indirect and passive.
The second method involves transformation domain numerical filtering technology for extensive common shot records. This approach utilizes the disparities in energy, frequency bands, and phase velocities between effective reflected and interfering waves, such as Rayleigh, direct, and refracted waves, to suppress Rayleigh waves. Algorithms have evolved from one-dimensional filtering in the frequency domain to variable velocity filtering [7,8], progressing from traditional τ p transformations to advanced multi-transformation domain filtering [9,10,11]. Transformation domain filtering addresses both the macroscopic and microscopic characteristics of shot records. The algorithms used in practice primarily include wavelet transforms [12,13,14,15], curvelet transformations [16,17,18,19], ridgelet transformations [20,21], S-transforms [22,23], adaptive nonsubsampled shearlet transforms [24], and the unsupervised learning method [25]. Although transformation domain filtering strategies have effectively unified the macroscopic and microscopic aspects in suppressing Rayleigh waves in shot records, achieving this balance is often complex. This complexity arises because, whether in shallow or deep seismic exploration, the coupling environment of various independent detectors and the mechanical parameters of near-surface media often exhibit significant variability in both vertical and horizontal directions. This dispersion results in distinct Rayleigh wave characteristics in each shot record or at individual recording points in the time–space or frequency domain, making it challenging to implement a unified strategy.
The third method for suppressing Rayleigh waves employs seismic interferometry, utilizing Green’s function extraction. Through the applications and research efforts of scientists, techniques such as seismic interferometry [26,27,28], super-virtual interferometry [29,30], and adaptive weighted super-virtual interferometry [31,32,33] have progressively refined the technology for suppressing Rayleigh wave interference, considering the dispersion characteristics of different detection points and achieving relatively ideal outcomes. Based on previous studies, subsequent application reports are relatively scarce, possibly due to the need for further investigation and elaboration on specific engineering application details and improving its practical operability.
Existing methods for suppressing Rayleigh waves rely on the practical effectiveness of establishing mathematical models and systematically revealing the time–frequency distribution characteristics and suppression mechanisms of multi-channel Rayleigh waves. However, significant elastic differences often exist between the positions of detectors in seismic exploration areas in practice. Therefore, fully considering the individual characteristics of Rayleigh waves in local and global distributions during the suppression process is challenging. This leads to related processing methods or algorithms lacking universal practical operability and being susceptible to human factors.
Generally, the frequency dispersion of Rayleigh waves over adjacent small channel distances within 1 m is relatively minor. Two detectors are preset at adjacent small channel distances at each detection point. In the recordings, the travel times of the Rayleigh wave and the underlying interface reflection wave differ, with the former being longer and the latter shorter. By applying time-shift differential processing when the temporal offset matches the Rayleigh wave arrival times between adjacent detectors, subtracting the two recorded signals can effectively suppress the Rayleigh wave. However, due to excessive phase shifts, the reflected wave signals are damaged but remain, which can be directly utilized later or repaired through deconvolution algorithms. This surface wave suppression strategy is flexible, does not rely on signals from other points, and efficiently suppresses surface waves at independent detection points. This study discusses the theoretical and experimental aspects of the differential detection method, verifying its effectiveness and universal applicability.

2. Differential Detection Method for Suppressing Rayleigh Waves at Common Shot Points

2.1. Method Principle

Figure 1 illustrates the principle of the differential detection method. Seismic waves are assumed to be generated at a surface shot point (Source) in a two-layer horizontal medium. The seismic wave records received by the main detector R2 and the secondary detector R1 contain numerous interfering waveforms, focusing on Rayleigh waves and reflected longitudinal waves from the target interface (Reflector).
The propagation paths of the Rayleigh waves received by detectors R1 and R2 are S1 and S2, respectively, whereas the reflected waves P1 and P2 are illustrated through a virtual source. The overburden thickness H has Rayleigh wave group velocity VR, with shear wave velocity Vs1 and longitudinal wave velocity Vp1 in the upper medium, while the underlying medium demonstrates velocities Vs2 and Vp2 for shear and longitudinal waves, respectively.
The two-layer medium model is characterized by the following parameters: an upper layer thickness H = 8.0 m with P-wave velocity V p 1 = 6 00 m/s, S-wave velocity Vs1 = 250 m/s (approximately equal to the Rayleigh wave velocity VR), and density ρ 1 = 1.9 g/cm3. The underlying half-space is defined by Vp2 = 2000 m/s, Vs2 = 800 m/s, and ρ 2 = 2.3 g/cm3. The device parameters are set as S1 = 6.0 m and S2 = 6.5 m, indicating that the distance between the primary and secondary adjacent detectors is 0.5 m. The Rayleigh wave time differential between receivers is calculated as
Δ T = x / V R ( S 2 S 1 ) / V s 1 = 2.0 m s
The travel time difference for the reflected longitudinal wave from the Reflector interface arriving at the two adjacent sensors is as follows:
Δ t = ( S 2 2 + 4 H 2 S 1 2 + 4 H 2 ) / V P 1 = 0.5145 ms
The Rayleigh wave recorded by the primary detector R2 (which is also the reference recording point for seismic reflection waves) is used as a reference in the time-domain differential approach. The record from the secondary detector R1 is adjusted backward in time by ΔT (dynamic correction). After this adjustment, the initial arrival time of the reflected longitudinal wave is changed by ΔT because ΔT is approximately 1.5 ms greater than Δt, resulting in the reflected longitudinal wave from the Reflector interface being “overly time-shifted”.
Despite the frequency dispersion and attenuation over a horizontal distance of 0.5 m, the amplitude–frequency and phase–frequency characteristics of Rayleigh waves change minimally; the group velocity and multi-frequency phase velocities remain relatively constant. Therefore, minimal amplitude compensation can ensure that the Rayleigh waves in both recordings are essentially similar. If the record from R1 is dynamically corrected and then inverted and combined with the record from R2, the Rayleigh waves can be effectively “surgically stripped”, allowing the excessively time-shifted reflected longitudinal wave to maintain its modified version after “damage”. Similarly, using the technical prototype depicted in Figure 1, various component recordings in the shot gather can also suppress Rayleigh waves through time-domain differential processing with analogous detection principles.

2.2. Analysis of the Impact of Operating Boundaries on Time-Domain Differential Technology

In an ideal scenario where the operating surface is infinitely large or where the material properties of the medium are continuous, using time-domain differential processing to suppress Rayleigh waves can yield perfect results. However, in practical seismic exploration environments, various factors can interfere with this process, among which the effects of surrounding boundary reflection waves, particularly shear wave reflections, are especially significant. Technicians engaged in engineering seismic exploration commonly encounter this issue, warranting a qualitative analysis of boundary effects.
Typical lateral boundaries can be categorized into two types: those parallel and those perpendicular to the exploration line. These categories can be examined individually to aid technicians in enhancing their differential detection techniques in future applications.

2.2.1. Shear Wave Reflections from Lateral Interfaces Parallel to the Survey Line

As shown in Figure 2, shear wave reflections from lateral interfaces parallel to the survey line are common in seismic exploration. Analyzing their impact on the effectiveness of differential detection can provide further insights for implementing this method. This section assumes that the shear wave speed near the free interface approximates the Rayleigh wave speed and that the effects and suppression processes for seismic reflection wave exploration are comparable.
The distance between the survey line and the lateral interface is denoted as d, the distance between the two detectors as ΔS, the offset as S1, and the shear wave speed in the cover layer as Vs. The Rayleigh wave speed, VR, is approximately equal to the direct shear wave speed. The expression for the time difference of the reflected shear wave from the lateral interface is expressed as follows:
Δ t c = ( ( x + Δ S ) 2 + 4 d 2 x 2 + 4 d 2 ) / V s
For a constant d, the reflection time Δtc is a hyperbolic function of the shot-to-detector distance x. As d increases from the minimal value of d = 0, Δtc gradually decreases from its initial value ΔT. If ΔT is used for time-domain differential processing to eliminate Rayleigh waves, given the proximity of the shear wave speed to the Rayleigh wave speed, unless the distance from the reflection interface to the survey line is minimal, the interface shear wave reflection is also effectively suppressed. Otherwise, this reflected shear wave remains after differential processing, forming interference waves on the shot gather and typical offset profile.
In practice, lateral interfaces are detrimental. Specific technical methods should be intentionally employed to circumvent them to mitigate the interference of lateral interface shear wave reflections. A strategic design of the operational method, such as positioning the survey line along a vertical boundary, as mentioned earlier, can be implemented, followed by differential signal processing at later stages.

2.2.2. Reflections of Shear Waves from End and End–Boundary Interfaces Perpendicular to the Survey Line

Figure 2 indicates that shear wave reflections perpendicular to the survey line can originate from the end and tail boundaries, each exhibiting distinct propagation patterns.
For the shear wave reflection from the end boundary, the time difference in arrival at the two detectors is precisely ΔT, which is equivalent to the direct Rayleigh wave differential time. Thus, direct Rayleigh waves can be eliminated in practical differential operations, and reflections from the end boundary can also be suppressed. The time difference for shear wave reflections from the tail boundary is −ΔT. If ΔT is still utilized for differential processing, the shear wave reflections from the tail interface arriving at the two detectors cannot be subtracted or eliminated. Instead, they remain as complex interference shear waves in the new time profile. Furthermore, the intense energy and prolonged tail waves associated with boundary shear wave reflections significantly impair the effectiveness of differential processing.
Considering the differential effects of reflections from both the end and tail boundaries, the end boundary acts as a beneficial interface, while the tail boundary is the least favorable. In practice, when a lateral shear wave reflection interface is encountered on the ground, it is advisable to position this interface as close to the source as possible to prevent it from becoming a tail boundary reference point.
Hammer excitation is commonly used in seismic exploration engineering, featuring effective frequency ranges from several hertz to hundreds. This range differs from that of ideal wavelet numerical simulation signals. In practical applications, longitudinal, shear, and Rayleigh wave tails persist for multiple effective periods. However, differential processing generally experiences minimal interference when suppressing Rayleigh waves, thus maintaining its effectiveness. Consequently, reflected longitudinal waves from deeper interfaces can be selectively preserved after differential processing. The degree of preservation is limited by the differential time and is indirectly associated with the influential frequency bands and propagation speeds of both Rayleigh and reflected longitudinal waves and the distance between detectors.

3. Numerical Validation of the Differential Detection Method

The effects of applying the time-domain differential method are illustrated through numerical simulations. Figure 3 and Figure 4 depict the finite element method results from the forward modeling of the wave field for the two-layer medium model described previously [32]. Specifically, these figures represent the Vz and Vx component shot gather records at the surface, with wave trains displayed using inter-trace energy balancing. In the forward simulation, the source wavelet employed is a Ricker wavelet with a dominant frequency of 60 Hz, a trace spacing of 0.5 m, and a sampling interval of 50 µs. The physical model and parameters are depicted in Figure 1.
This study uses the adjacent trace differential detection method to present the results after surface wave suppression in Figure 4a,b for the Vz and Vx components, respectively. Two selected traces are emphasized for a detailed explanation to accurately display the processing effects. Figure 5 illustrates the extracted records for traces 11 and 12 Vz components and the new records post-surface wave suppression. Figure 3, Figure 4 and Figure 5 show that applying common shot time-domain differential detection technology effectively suppresses Rayleigh waves while retaining significant body wave information, including reflected longitudinal waves. Furthermore, when the differential parameters are optimally matched, the black-wrapped reflected wave signals depicted in Figure 5b can be compared to the pre-differential signals (in color). This comparison highlights that the differential processing not only suppresses Rayleigh waves but also significantly diminishes other converted waves with velocities comparable to those of the Rayleigh waves, yielding beneficial results.
Figure 6 illustrates the simulated split-spread geometry of common shot gather records before and after processing, demonstrating the improvement achieved by the differential detection method in attenuating Rayleigh waves.
Given the real-world context of seismic wavefield diffusion and the resulting changes in differential parameters, the practical application of differential detection necessitates further exploration into the mechanisms of related parameter evolution and comprehensive effectiveness. In engineering applications, it is crucial to balance the preservation of reflected wave information while more effectively suppressing Rayleigh waves. Once suppression is achieved, the efficient and faithful restoration of reflected longitudinal waves warrants further investigation. Moreover, in engineering practice, as opposed to ideal conditions, systematic and refined strategic guidance is necessary for selecting related equipment performance, designing device parameters, and implementing technology based on various seismic exploration background conditions.

4. Engineering Validation of the Differential Detection Method

The effectiveness and application feasibility of the time-domain differential detection method are validated through various typical field tests.

4.1. Pipeline Detection

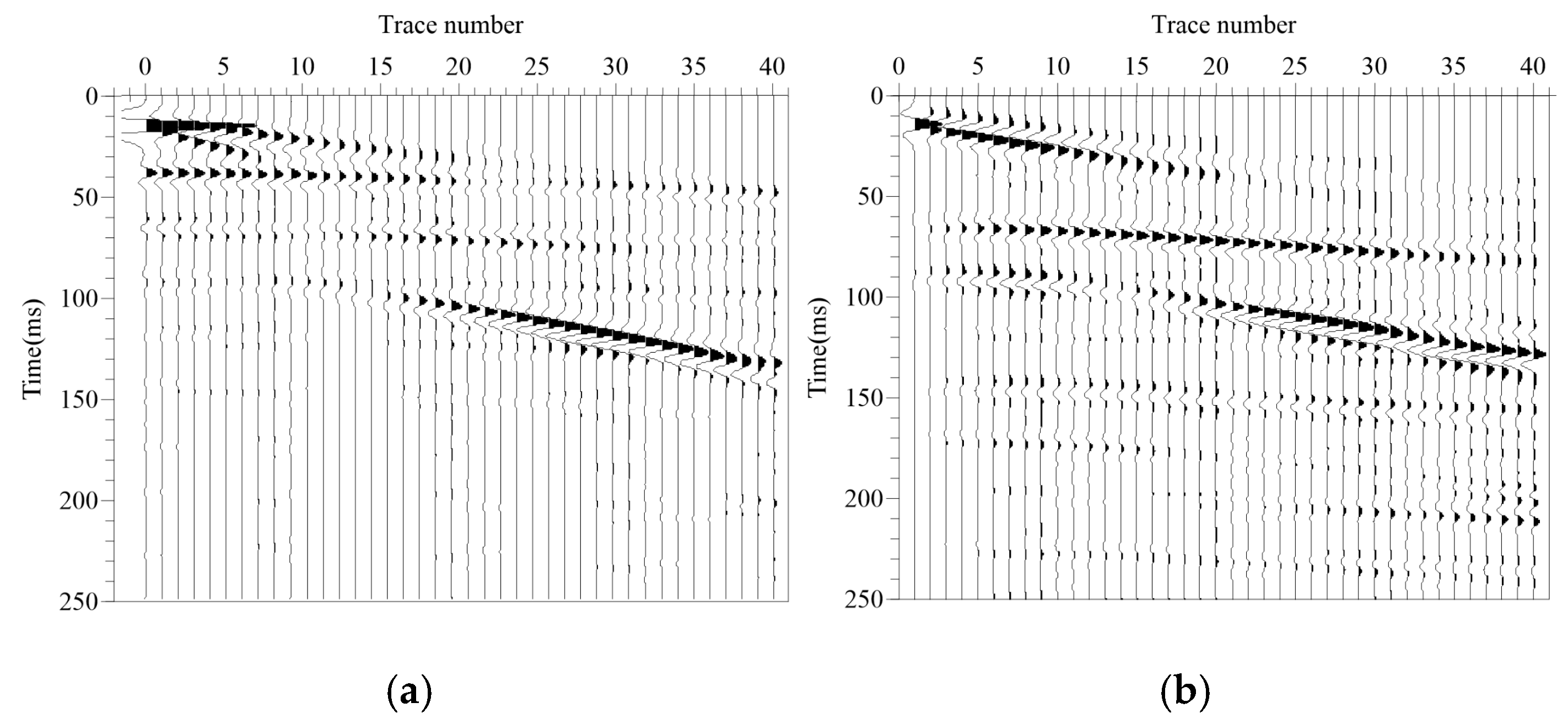
Based on geological conditions, a natural gas transmission pipeline with a diameter of 1 m is situated approximately 4.5 m beneath the surface within the Quaternary clay layer. During shallow seismic exploration, the survey line runs perpendicular to the pipeline’s direction. Initially, shot gather records were acquired with a lateral offset of 1 m and an inter-trace spacing of 0.5 m. An 18-pound hammer was utilized to activate the source, and 36 magnetic velocity sensors with a frequency of 28 Hz were deployed, with a data sampling interval of 50 µs. The 18th recording trace is positioned directly above the gas pipeline. Figure 7a shows the original shot gather record, while Figure 7b illustrates the shot gather record after time-domain differential processing. Figure 7b depicts that the energy of the Rayleigh wave is effectively suppressed, enhancing the direct longitudinal waves, refracted waves, and reflected or diffracted waves from the gas pipeline. Figure 8 compares trace 9 and 10 signals before and after differential processing, further highlighting the suppression of the Rayleigh waves.
Two equal-offset seismic profiles were acquired using 4 m and 4.5 m shot offsets, to illustrate the effectiveness of the time-domain differential method. Figure 9a shows the far shot equal-offset profile without differential processing, while Figure 9b demonstrates the equal-offset profile after time-domain differential processing. The Rayleigh wave energy is extremely strong in the unprocessed record (Figure 9a), with reflections or diffracted waves from the surface of the gas pipeline almost completely obscured, complicating the detection of the gas pipeline’s presence or position in the original seismic equal-offset profile. In contrast, the diffracted wave signals above the gas pipeline can be identified relatively without additional processing using the time-domain differential suppression method (Figure 9b).
A comparison of Figure 6a,b and Figure 8a,b reveals that the dominant frequency of the seismic waves in the records significantly increases after the application of the time-domain differential detection method.

4.2. Thickness Detection of Marble Sculptures

The differential detection method was applied to assess the thickness detection of a marble sculpture. Figure 10 shows that the marble sculpture is approximately 780 cm in length with an average thickness of about 70 cm. The sculpture’s front features a wavy surface, whereas the back remains flat. Seismic waves were generated by striking the back of the sculpture with a hand hammer to obtain equal-offset profiles, positioning the two sensors at shot distances of 50 and 60 cm, respectively, with an inter-trace spacing of 10 cm. The variation in the sculpture’s thickness along the survey line, determined by laser ranging, is illustrated by the red line in Figure 11. The black dashed line in Figure 11 represents the time–depth conversion curve, achieved after differential suppression of the Rayleigh waves from the dual-trace seismic profile, indicating a strong correlation between the two measurements. The average longitudinal wave speed measured in the marble was 3560 m/s, and the transverse wave speed was 1680 m/s.
The seismic record for this thickness testing experiment is shown in Figure 12. In the initial seismic record profile before Rayleigh wave suppression (Figure 12a), the energy of the direct transverse waves (or Rayleigh waves) is extremely intense, and the reflected transverse waves from both ends of the marble slab are significant, creating interference throughout the entire equal-offset profile. This interference completely masks the reflected wave signals from the sculpture’s back, challenging technicians’ ability to accurately assess the structural signals and ascertain the marble’s thickness. Figure 12b displays the seismic profile following time-domain differential processing and compares the thickness trends, with the black dashed line indicating thickness variation. The results demonstrate that the differential suppression technique effectively minimized interference signals, including Rayleigh waves, transverse waves, and reflected transverse waves emanating from the left boundary of the marble, resulting in an enhanced seismic profile.
Similar to the profile comparisons in Figure 9a,b, before and after Rayleigh wave suppression, the dominant frequency of the seismic waves after differential processing significantly increases.
Although hammer-induced seismic waves can exhibit effective frequencies approaching 1 kHz, the actual wavelength of longitudinal waves can extend several meters, significantly exceeding the thickness of the marble sculpture. Along with the interference from the long tail wave effect of direct transverse or Rayleigh waves during hammer excitation, obtaining ideal results using reflection wave methods remains challenging. However, this experiment illustrates that differential detection can suppress Rayleigh or direct transverse waves while indirectly retaining reflected wave energy signals, thus aiding in interpreting the sculpture’s thickness using reflection wave methods.
A vertical fracture intersecting the sculpture is present, and its interface reflection transverse waves are apparent in both the original and differential profiles. These reflections directly influence signal differentiation, consistent with the analysis in Section 2.2, which discusses the impact of boundaries on differential detection, indicating that the interference waves from the end boundary of the survey line are unsuitable for differential suppression.

4.3. Detection of Karst Geological Conditions

A survey of karst geological conditions was conducted in a specific area using a differential data acquisition mode. Figure 13 illustrates the topography of the survey area and the instrumentation used for data collection, with distinct karst geomorphological features clearly visible. Borehole data reveal the presence of three strata in this region: (1) the first layer consists of miscellaneous fill with a thickness of 1.0–5.5 m, (2) the second layer comprises red clay with a thickness ranging from 7 to 12 m in thickness, and (3) the third layer is dolomitic limestone. The actual survey line used an equal-offset profiling method with a near-source offset of 7 m and an inter-trace spacing of 0.5 m. The completed two-trace acquisition data profiles are depicted in Figure 14 and Figure 15.
Figure 16 presents the equal-offset profile after differential suppression of Rayleigh or transverse waves from the common source recording data. In the differential processing, the profile with a 7.5 m offset is regarded as the main profile, while the data from the 7 m offset profile are adjusted for Rayleigh wave time delay and amplitude attenuation before being added in reverse to the main profile data. The Rayleigh wave correction time delay calculation employs a correlation analysis algorithm, with different differential times applied to the dual-trace common source recordings at various points.
The processed profiles demonstrate effective attenuation of Rayleigh waves, leading to a more polished and distinct seismic record, with a marked increase in dominant frequency. Based on these profiles, additional data processing and geological interpretation of the seismic operation data can be undertaken, including determining bedrock reflection interfaces and karst features.
It is crucial to recognize that the equal-offset profile does not retrieve velocities from the reflection wave signals. As a result, it cannot currently perform time–depth conversion. This limitation represents a key area for future research.

5. Conclusions

The time-domain differential detection method uses characteristics similar to Rayleigh waves recorded between adjacent small-offset traces at common source points to suppress Rayleigh waves. As discussed previously, this suppression is executed independently at the coordinates of two adjacent detectors without depending on or associating with records from other coordinate points, demonstrating its widespread applicability. Other relevant conclusions drawn from empirical observations are as follows:
  • Rayleigh waves traveling near a free surface exhibit speeds similar to those of direct transverse waves, facilitating effective suppression of both types.
  • Possessing robust energy and persisting over multiple cycles, Rayleigh waves make differential detection a potent method for suppressing Rayleigh wave groups. This requires further investigation into its advantages and potential limitations in signal extraction.
  • The time-domain differential time is the primary factor influencing the effectiveness of Rayleigh wave suppression. Indirect factors include longitudinal and transverse wave speeds, the spacing of differential detectors, and the frequency characteristics of effective signals.
  • The reflection waves retained after differential processing can exhibit amplitude and phase characteristic alterations, necessitating effective restoration in subsequent analyses.
  • The time-domain differential detection method is effective across the broad field of seismic exploration. Practical applications demonstrate that although the differential detection method is widely applicable, the dynamics of longitudinal and transverse wave propagation parameters can vary substantially due to natural or anthropogenic disturbances near the operational site or within shallow medium structures. Hence, it is imperative to progressively enhance the effectiveness of differential detection technology in practical applications to meet these challenges.

Author Contributions

Conceptualization, D.Z. (Debing Zhu), D.Z. (Dazhou Zhang) and T.Y.; methodology, D.Z. (Debing Zhu) and D.Z. (Dazhou Zhang); software, D.Z. (Debing Zhu), D.Z. (Dazhou Zhang) and T.Y.; validation, D.Z. (Dazhou Zhang); formal analysis, D.Z. (Dazhou Zhang); investigation, R.H. and Q.Z.; resources, R.H.; data curation, D.Z. (Debing Zhu); writing—original draft preparation, D.Z. (Debing Zhu); writing—review and editing, D.Z. (Debing Zhu) and D.Z. (Dazhou Zhang); visualization, D.Z. (Dazhou Zhang); supervision, D.Z. (Debing Zhu). All authors have read and agreed to the published version of the manuscript.

Funding

This work was supported by the Science and Technology Research and Development Program Project of China Railway Group Limited (Major Special Project, No. 2022-Special-09); the Natural Science Foundation of Hunan Province, grant No. 2023JJ30663; and in part by The Changzhou Science and Technology Support Project, grant No. CE20235069.

Institutional Review Board Statement

Not applicable.

Informed Consent Statement

Not applicable.

Data Availability Statement

The original contributions presented in the study are included in the article; further inquiries can be directed to the corresponding author.

Conflicts of Interest

The authors declare no conflicts of interest.

References

  1. Suo, C.H.; Yang, Q.Y.; Lü, G.H.; Ye, Y.; Sui, J.J. Geophone array patterns for seismic acquisition in Tahe. Oil Geophys. Prospect. 2015, 50, 393–398. [Google Scholar] [CrossRef]
  2. Yu, S.H.; Zhao, D.D.; Yu, C. Comparative experiment on digital geophone single point and array receiving in the seismic acquisition. Geophys. Prospect. Pet. 2012, 51, 264–270. [Google Scholar]
  3. Wei, J.D.; Jing, W. Impact analysis of geophone array factors on seismic data quality. Geophys. Prospect. Pet. 2010, 49, 312–318. [Google Scholar]
  4. Luo, F.L. Response characteristics and effect tests of geophone arrays. Oil Geophys. Prospect. 2012, 47, 194–201. [Google Scholar] [CrossRef]
  5. Liu, Y.Z.; Liu, S.; Zhang, Z.F.; Liang, Z.H.; Zhu, F.; Lei, Y. Application of indoor overlapping technique of single-point digital geophone in western Sichuan. Complex Hydrocarb. Reserv. 2013, 6, 22–26. [Google Scholar] [CrossRef]
  6. Wang, Z.Q.; Han, L.G.; Gong, X.B.; Ling, Y. Geophone array response on undulating surface. J. Jilin Univ. Earth Sci. Ed. 2014, 44, 694–703. [Google Scholar] [CrossRef]
  7. Li, H.S.; Wu, G.C.; Yin, X.Y. Amplitude-preserved ground-roll suppression method based on morphological component analysis. Geophys. Prospect. Pet. 2013, 48, 351–358. [Google Scholar] [CrossRef]
  8. Zhang, H.L.; Zhang, Y.C.; Song, S.; Liu, T.Y. Curvelet domain-based prestack seismic data denoise method. Geophys. Prospect. Pet. 2008, 43, 508–513. [Google Scholar]
  9. Tan, Y.-Y.; He, C.; Wang, Y.-D.; Zhao, Z. Ground roll attenuation using a time-frequency dependent polarization filter based on the S transform. Appl. Geophys. 2013, 10, 279–294. [Google Scholar] [CrossRef]
  10. Wang, D.Y.; Li, Z.C.; Dong, L.Q. Surface wave joint suppression based on Shearlet transformation and time-time transformation. Geophys. Prospect. Pet. 2014, 49, 53–60. [Google Scholar] [CrossRef]
  11. Wu, S.Y. Amplitude-preserving surface wave suppression method in time-frequency domain. Oil Geophys. Prospect. 2024, 59, 1244–1251. [Google Scholar] [CrossRef]
  12. Hu, R.Q.; Wang, Y.C.; Yue, Z.W.; Wang, Q. Feature extraction in wavelet domain and its application in shallow seismic data surface-wave suppressing. Geophys. Geochem. Explor. 2018, 42, 1228–1236. [Google Scholar]
  13. Meng, J.; Hanz, M.; Gao, Q.; Li, Y.N. Seismic surface wave suppression algorithm based on Wavelet Spectrum Energy Curve-Empirical Wavelet Transform (WSEC-EWT). Prog. Geophys. 2021, 36, 1581–1589. [Google Scholar] [CrossRef]
  14. Lin, H.; Xing, L.; Liu, H.; Li, Q.; Zhang, H. Ground roll suppression with synchrosqueezing wavelet transform in time–spatial domain. Chin. J. Geophys. 2022, 65, 3569–3583. [Google Scholar]
  15. Gao, L.; Hong, H.; Liang, D.; Min, F. Surface wave suppression through deformable convolutional wavelet transform network with residual dense blocks. Acta Geophys. 2024, 72, 4151–4167. [Google Scholar] [CrossRef]
  16. Zhang, H.L.; Liu, T.Y.; Li, H.Q. Attenuation of surface wave in Curvelet domian. J. Cent. South Univ. 2011, 42, 2372–2378. [Google Scholar]
  17. Neelamani, R.; Baumstein, A.I.; Gillard, D.G.; Hadidi, M.T.; Soroka, W.L. Coherent and random noise attenuation using the Curvelet transform. Lead. Edge 2008, 27, 240–248. [Google Scholar] [CrossRef]
  18. Dong, L.Q.; Li, Z.C.; Wang, D.Y.; Liu, L.; Gao, J.W. Ground-roll suppression based on the second generation Curvelet transform. Geophys. Prospect. Pet. 2011, 46, 897–904. [Google Scholar] [CrossRef]
  19. Li, J.W.; Zang, D.G.; Diao, Y.B.; Zhang, L.; Jian, S.K.; Shi, Y. Combination of adaptive subtractionand Curvelet transform to suppress surface waves. Geophys. Prospect. Pet. 2020, 55, 1005–1015. [Google Scholar] [CrossRef]
  20. Arivazhagan, S.; Ganesan, L.; Subash Kumar, T.G. Texture classification using Ridgelet transform. Pattern Recognit. Lett. 2006, 27, 1875–1883. [Google Scholar] [CrossRef]
  21. Bao, Q.Z.; Gao, J.H.; Chen, W.C. Ridgelet Domain Method of Ground-Roll Suppression. Chin. J. Geophys. 2007, 50, 1210–1215. [Google Scholar]
  22. Ma, J.Q.; Li, Q.C. Seismic surface wave suppression with polarization filtering method in time-frequency domain. Geophys. Prospect. Pet. 2015, 50, 1089–1097. [Google Scholar] [CrossRef]
  23. Dong, L.Q.; Li, Z.C.; Yang, S.C.; Li, F.L.; Wang, J. Ground roll suppression in f-x domain based on empirical mode decomposition. Geophys. Prospect. Pet. 2013, 48, 42–48. [Google Scholar] [CrossRef]
  24. Lv, S.Q.; Gong, X.B.; Hu, B.; Xu, Z.; Zhang, J.M.; Cheng, Q. Adaptive Non-subsampled Shearlet Transform and its Application to Surface Wave Suppression. IEEE Trans. Geosci. Remote Sens. 2024, 62, 5931815. [Google Scholar] [CrossRef]
  25. Jia, R.; Yong, S. An Unsupervised Learning Method for Suppressing Ground Roll in Deep Pre-Stack Seismic Data Based on Wavelet Prior Information for Deep Learning in Seismic Data. Appl. Sci. 2024, 14, 2971. [Google Scholar] [CrossRef]
  26. Dong, S.Q.; He, R.Q.; Schuster, G.T. Interferometric prediction and least squares subtraction of surface waves. SEG Tech. Prog. Exp. Abs. 2006, 2783–2786. [Google Scholar] [CrossRef][Green Version]
  27. Duguid, C.; Halliday, D.; Curtis, A. Source-receiver interferometry for seismic wavefield construction and ground-roll removal. Lead. Edge 2011, 30, 838–843. [Google Scholar] [CrossRef]
  28. Halliday, D.; Bilsby, P.; West, L.; Kragh, E.; Quigley, J. Scattered ground-roll attenuation using model-driven interferometry. Geophys. Prospect. 2015, 63, 116–132. [Google Scholar] [CrossRef]
  29. Mallinson, I.; Bharadwaj, P.; Schuster, G.; Jakubowicz, H. Enhanced refractor imaging by supervirtual interferometry. Lead. Edge 2011, 30, 546–550. [Google Scholar] [CrossRef]
  30. Qiao, B.; Guo, P.; Wang, P.; Hu, T. Retrieval of super-virtual refraction by cross-correlation. Geophys. Prospect. 2015, 63, 552–566. [Google Scholar] [CrossRef]
  31. An, S.P.; Hu, T.Y. Suppression of seismic surface waves based on adaptive weighted super-virtual interferometry. Sci. China Earth Sci. 2016, 46, 1371–1380. [Google Scholar] [CrossRef]
  32. Wang, Y.H.; An, S.P.; Wang, W.Z.; Hu, T.Y. Rayleigh wave suppression using super-virtual interferometry method. Acta Sci. Nat. Univ. Pekin. 2017, 52, 19–25. [Google Scholar] [CrossRef]
  33. Han, D.C. The Research of Seismic Modeling with Finite-Element Method and Full Waveform Inversion Method; China University of Petroleum: Qingdao, China, 2017. [Google Scholar]
Figure 1. Principle schematic diagram of the common shot time-domain differential detection technology.
Figure 1. Principle schematic diagram of the common shot time-domain differential detection technology.
Applsci 15 04691 g001
Figure 2. Schematic top view of the impact boundaries of time-domain differential technology.
Figure 2. Schematic top view of the impact boundaries of time-domain differential technology.
Applsci 15 04691 g002
Figure 3. Numerical simulation of gun set records. (a) Vz component. (b) Vx component.
Figure 3. Numerical simulation of gun set records. (a) Vz component. (b) Vx component.
Applsci 15 04691 g003
Figure 4. Gun set records after time-domain differential processing. (a) Vz component. (b) Vx component.
Figure 4. Gun set records after time-domain differential processing. (a) Vz component. (b) Vx component.
Applsci 15 04691 g004
Figure 5. Comparison and local magnification of two adjacent channel original records after surface wave suppression. (a) Two adjacent records (color) and differential results (black). (b) Local amplification of two adjacent records and differential results.
Figure 5. Comparison and local magnification of two adjacent channel original records after surface wave suppression. (a) Two adjacent records (color) and differential results (black). (b) Local amplification of two adjacent records and differential results.
Applsci 15 04691 g005
Figure 6. Comparison of bilateral shot gather records before and after Rayleigh wave suppression. (a) Records of bilaterally aligned artillery sets prior to stripping. (b) Records of stripped bilaterally aligned artillery sets.
Figure 6. Comparison of bilateral shot gather records before and after Rayleigh wave suppression. (a) Records of bilaterally aligned artillery sets prior to stripping. (b) Records of stripped bilaterally aligned artillery sets.
Applsci 15 04691 g006
Figure 7. Comparison between the original record of the gun set above the natural gas pipeline and the record after differential wave detection. (a) Record of the original collection of guns. (b) Post-differential gun set recording.
Figure 7. Comparison between the original record of the gun set above the natural gas pipeline and the record after differential wave detection. (a) Record of the original collection of guns. (b) Post-differential gun set recording.
Applsci 15 04691 g007
Figure 8. Comparison of signals before and after the 9th and 10th adjacent two differentials.
Figure 8. Comparison of signals before and after the 9th and 10th adjacent two differentials.
Applsci 15 04691 g008
Figure 9. Seismic profile before and after Rayleigh wave suppression. (a) Single-channel isotropic seismic section. (b) Equally offset seismic profiles after time-domain differential detector waveforms.
Figure 9. Seismic profile before and after Rayleigh wave suppression. (a) Single-channel isotropic seismic section. (b) Equally offset seismic profiles after time-domain differential detector waveforms.
Applsci 15 04691 g009
Figure 10. Experimental marble sculpture and location and orientation of measuring lines.
Figure 10. Experimental marble sculpture and location and orientation of measuring lines.
Applsci 15 04691 g010
Figure 11. Thickness of marble sculpture vs. time–depth line.
Figure 11. Thickness of marble sculpture vs. time–depth line.
Applsci 15 04691 g011
Figure 12. Seismic profile before and after Rayleigh wave suppression. (a) Original iso-offset record. (b) Equal-offset record after differential detection.
Figure 12. Seismic profile before and after Rayleigh wave suppression. (a) Original iso-offset record. (b) Equal-offset record after differential detection.
Applsci 15 04691 g012
Figure 13. Karst geological exploration: survey line deployment and field instrumentation configuration. (a) Field photograph of karst terrain with seismic survey line location. (b) Field data acquisition instruments and equipment.
Figure 13. Karst geological exploration: survey line deployment and field instrumentation configuration. (a) Field photograph of karst terrain with seismic survey line location. (b) Field data acquisition instruments and equipment.
Applsci 15 04691 g013
Figure 14. Common shot, common-offset (7 m) and trace interval of 0.5 m collection data profile.
Figure 14. Common shot, common-offset (7 m) and trace interval of 0.5 m collection data profile.
Applsci 15 04691 g014
Figure 15. Common shot, common-offset (7.5 m) and trace interval of 0.5 m collection data profile.
Figure 15. Common shot, common-offset (7.5 m) and trace interval of 0.5 m collection data profile.
Applsci 15 04691 g015
Figure 16. Data processing profile of common-shot, common-offset (7 m) and trace interval of 0.5 m after two-channel differential suppression of Rayleigh waves.
Figure 16. Data processing profile of common-shot, common-offset (7 m) and trace interval of 0.5 m after two-channel differential suppression of Rayleigh waves.
Applsci 15 04691 g016
Disclaimer/Publisher’s Note: The statements, opinions and data contained in all publications are solely those of the individual author(s) and contributor(s) and not of MDPI and/or the editor(s). MDPI and/or the editor(s) disclaim responsibility for any injury to people or property resulting from any ideas, methods, instructions or products referred to in the content.

Share and Cite

MDPI and ACS Style

Zhu, D.; Zhang, D.; Yang, T.; Huang, R.; Zeng, Q. Method of Suppressing Rayleigh Waves Based on the Technology of Time-Domain Differential Detection. Appl. Sci. 2025, 15, 4691. https://doi.org/10.3390/app15094691

AMA Style

Zhu D, Zhang D, Yang T, Huang R, Zeng Q. Method of Suppressing Rayleigh Waves Based on the Technology of Time-Domain Differential Detection. Applied Sciences. 2025; 15(9):4691. https://doi.org/10.3390/app15094691

Chicago/Turabian Style

Zhu, Debing, Dazhou Zhang, Tianchun Yang, Rui Huang, and Qiyan Zeng. 2025. "Method of Suppressing Rayleigh Waves Based on the Technology of Time-Domain Differential Detection" Applied Sciences 15, no. 9: 4691. https://doi.org/10.3390/app15094691

APA Style

Zhu, D., Zhang, D., Yang, T., Huang, R., & Zeng, Q. (2025). Method of Suppressing Rayleigh Waves Based on the Technology of Time-Domain Differential Detection. Applied Sciences, 15(9), 4691. https://doi.org/10.3390/app15094691

Note that from the first issue of 2016, this journal uses article numbers instead of page numbers. See further details here.

Article Metrics

Back to TopTop