Study on the Use of Soda Saline–Alkali Soil as a Rice-Seedling-Raising Soil After Short-Term Improvement
Abstract
1. Introduction
2. Materials and Methods
2.1. Site Description
2.2. Experimental Design and Soil Sampling
2.3. Soil Analysis and Rice-Seedling Determination
2.4. Statistical Analysis
3. Results
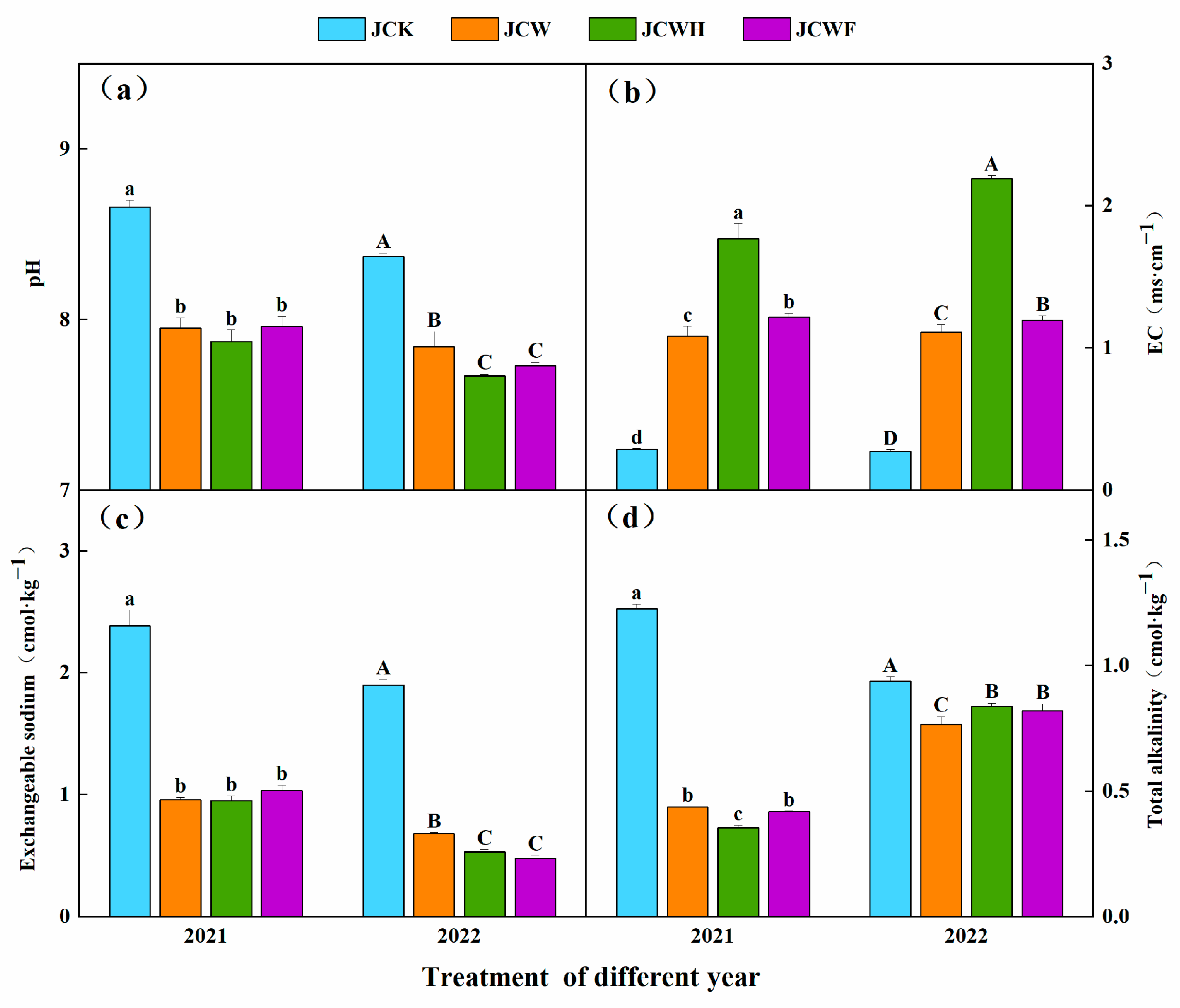
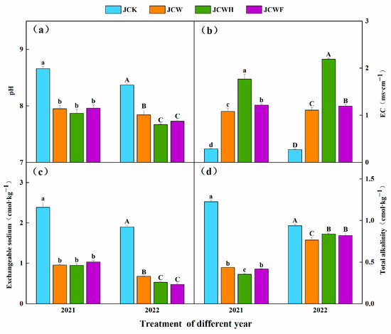
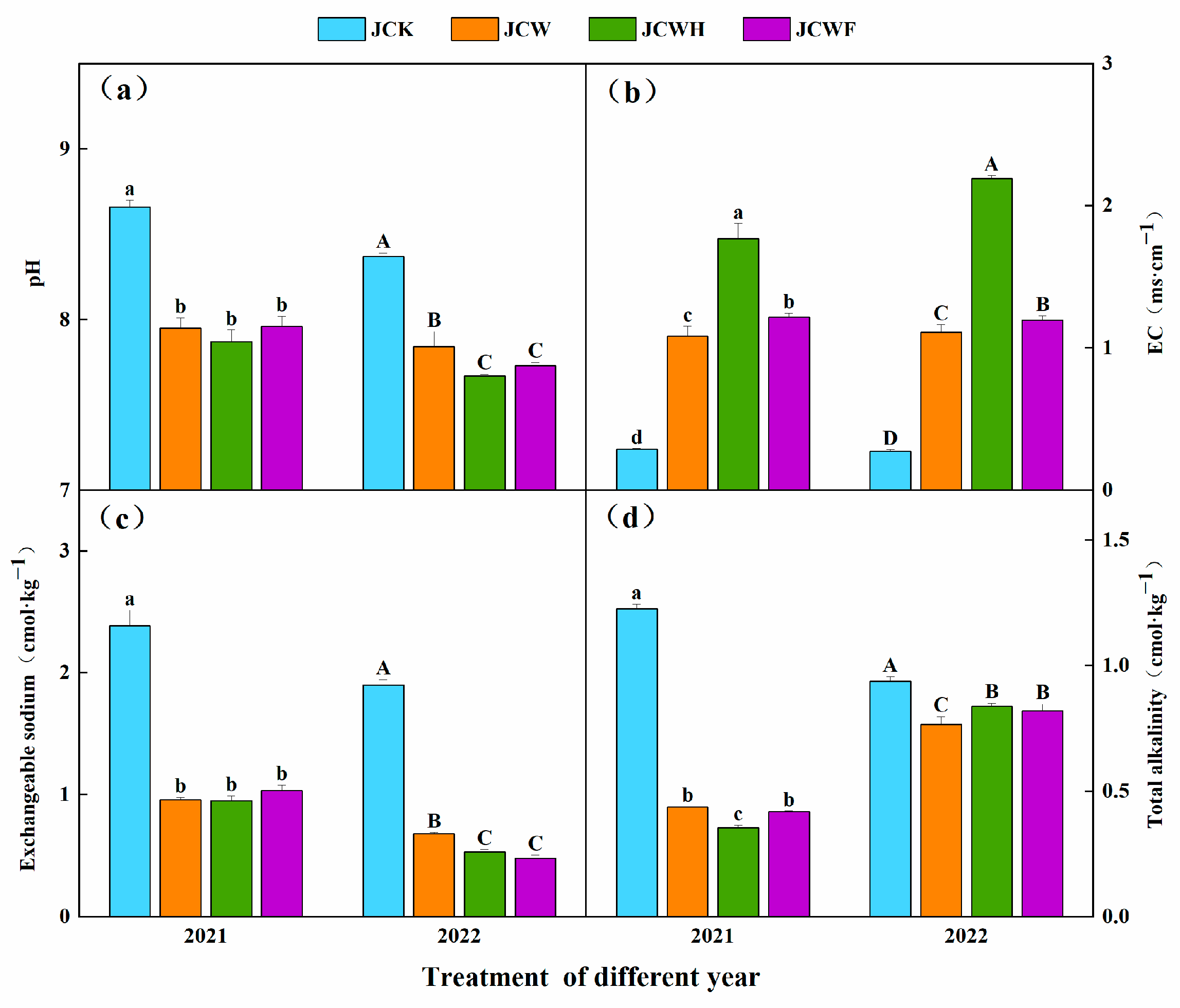
3.1. Soil Physical and Chemical Properties
3.2. Soil Organic Carbon Components and Humification Degree
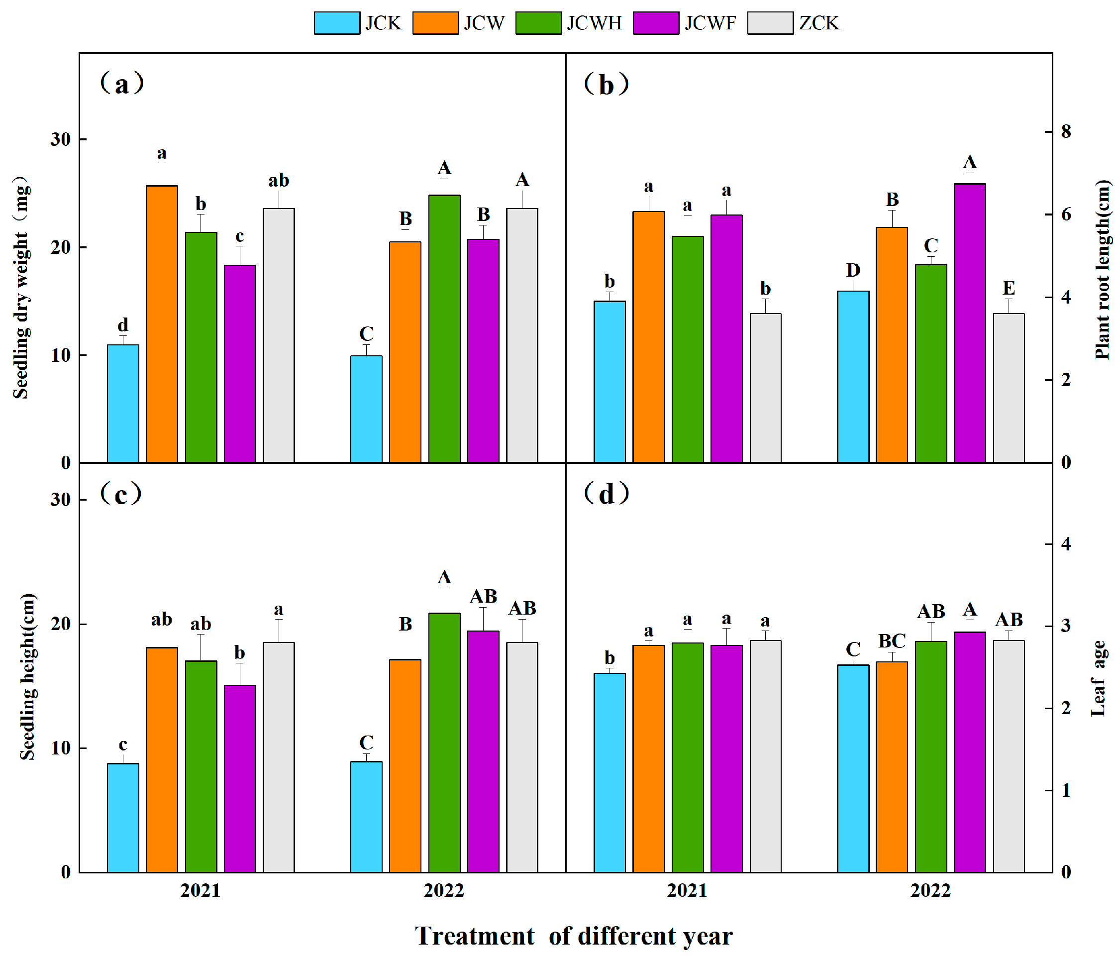
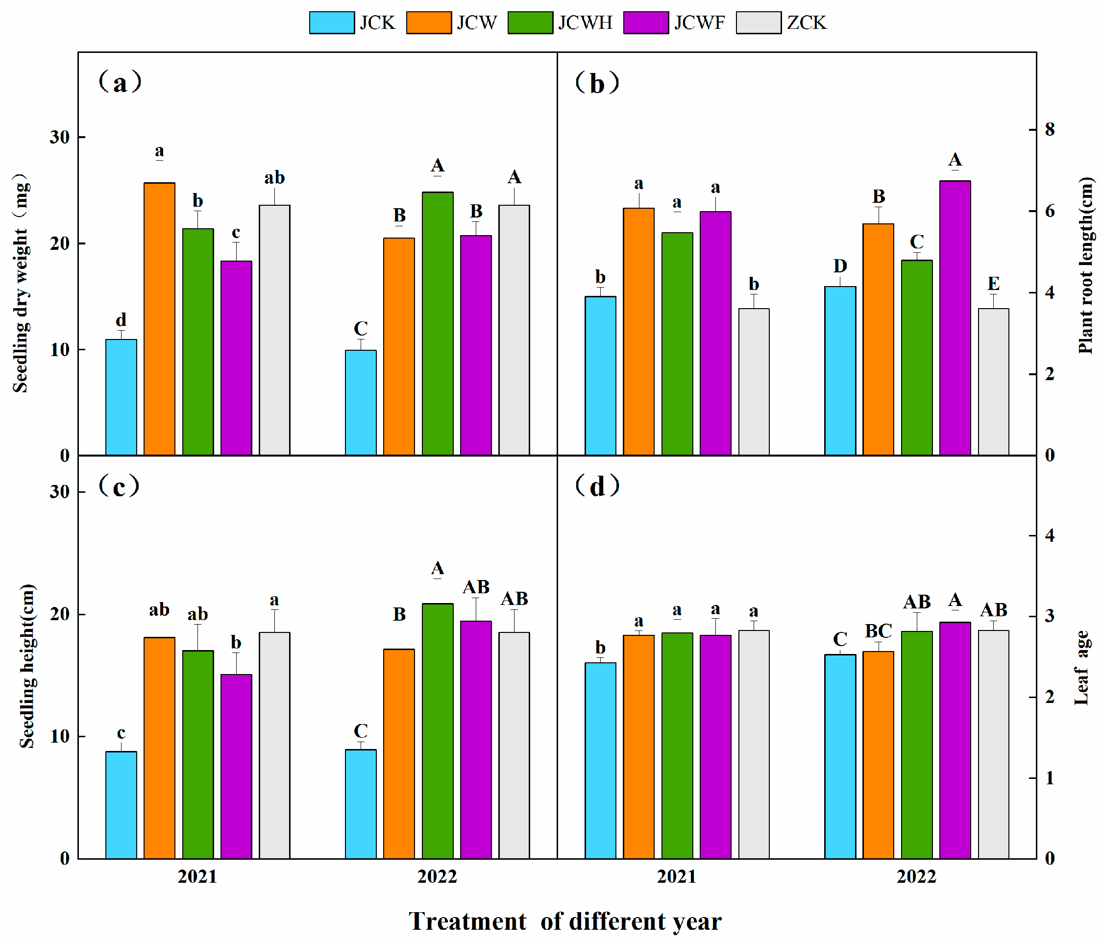
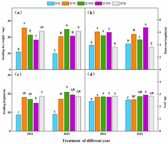
3.3. Growth Status of Rice Seedlings
4. Discussion
4.1. Short-Term Improvement Enhances the Physicochemical Properties of Saline–Alkali Soil
4.2. Short-Term Improvement Promotes Soil Fertility Enhancement
4.3. Short-Term Improvement Enhances the Growth Status of Seedlings
5. Conclusions
Author Contributions
Funding
Institutional Review Board Statement
Informed Consent Statement
Data Availability Statement
Conflicts of Interest
References
- Liu, Z.; Huang, Y.; Xu, L.; Li, J.; Zhang, L.; Zhang, Y.; Wang, J.; Chen, Y. Remediation of soda saline-alkali soil using vermicompost: The remediation mechanisms and enhanced improvement by maize straw. J. Soils Sediments 2025, 25, 41–58. [Google Scholar] [CrossRef]
- Chi, C.M.; Zhao, C.; Sun, X.; Wang, Z. Reclamation of saline-sodic soil properties and improvement of rice (Oriza sativa L.) growth and yield using desulfurized gypsum in the west of Songnen Plain, northeast China. Geoderma 2012, 187, 24–30. [Google Scholar] [CrossRef]
- Jiang, C.L.; Séquaris, J.-M.; Vereecken, H.; Klumpp, E. Effects of inorganic and organic anions on the stability of illite and quartz soil colloids in Na-, Ca- and mixed Na-Ca systems. Colloids Surf. A-Physicochem. Eng. Asp. 2012, 415, 134–141. [Google Scholar] [CrossRef]
- Nan, J.K.; Chen, X.; Chen, C.; Lashari, M.S.; Deng, J.; Du, Z. Impact of flue gas desulfurization gypsum and lignite humic acid application on soil organic matter and physical properties of a saline-sodic farmland soil in Eastern China. J. Soils Sediments 2016, 16, 2175–2185. [Google Scholar] [CrossRef]
- Emami, H.; Astaraei, A.R. Effect of Organic and Inorganic Amendments on Parameters of Water Retention Curve, Bulk Density and Aggregate Diameter of a Saline-sodic Soil. J. Agric. Sci. Technol. 2012, 14, 1625–1636. [Google Scholar]
- Qadir, M.; Noble, A.; Oster, J.; Schubert, S.; Ghafoor, A. Driving forces for sodium removal during phytoremediation of calcareous sodic and saline-sodic soils: A review. Soil Use Manag. 2005, 21, 173–180. [Google Scholar] [CrossRef]
- Gao, X.; Kou, Q.; Ren, K.; Zuo, Y.; Xu, Y.; Zhang, Y.; Lal, R.; Wang, J. Quantitative characterization of non-DLVO factors in the aggregation of black soil colloids. Sci. Rep. 2022, 12, 5064. [Google Scholar] [CrossRef]
- Ramasamy, M.; Rengabashyam, K.; Kumar, V.A. Changes in Soil Physico-Chemical Properties and Seedling Growth of Green Gram (Vigna radiata L.) under Sodic Soil as Affected by Soil Amendments: An Incubation Study. Biol. Life Sci. Forum 2023, 27, 28. [Google Scholar] [CrossRef]
- Nie, J.; Zhou, J.-M.; Wang, H.-Y.; Chen, X.-Q.; DU, C.-W. Effect of long-term rice straw return on soil glomalin, carbon and nitrogen. Pedosphere 2007, 17, 295–302. [Google Scholar] [CrossRef]
- Li, H.D.; Li, J.; Jiao, X.; Jiang, H.; Liu, Y.; Wang, X.; Ma, C. The Fate and Challenges of the Main Nutrients in Returned Straw: A Basic Review. Agronomy 2024, 14, 698. [Google Scholar] [CrossRef]
- Liu, N.; Li, Y.; Cong, P.; Wang, J.; Guo, W.; Pang, H.; Zhang, L. Depth of straw incorporation significantly alters crop yield, soil organic carbon and total nitrogen in the North China Plain. Soil Tillage Res. 2021, 205, 104772. [Google Scholar] [CrossRef]
- Sun, X.; Men, X.; Huang, W.; Yi, S.; Wang, W.; Zheng, F.; Zhang, Z.; Wang, Z. Effects of Exiguobacterium sp. DYS212, a Saline-Alkaline-Tolerant P-Solubilizing Bacterium, on Suaeda salsa Germination and Growth. Sustainability 2023, 15, 6259. [Google Scholar] [CrossRef]
- Zhang, G.; Zhang, L.; Shi, Z.; Yang, Y.; Liu, J. Microbial nutrient limitation and carbon use efficiency in saline-alkali soil amended with biochar: Insights from ecoenzymatic C:N:P stoichiometry. Biochar 2025, 7, 68. [Google Scholar] [CrossRef]
- Xing, J.; Li, X.; Li, Z.; Wang, X.; Hou, N.; Li, D. Remediation of soda-saline-alkali soil through soil amendments: Microbially mediated carbon and nitrogen cycles and remediation mechanisms. Sci. Total Environ. 2024, 924, 171641. [Google Scholar] [CrossRef]
- Ali, Y.; Aslam, Z. Use of environmental friendly fertilizers in saline and saline sodic soils. Int. J. Environ. Sci. Technol. 2005, 2, 97–98. [Google Scholar] [CrossRef]
- Qadir, A.A.; Murtaza, G.; Zia-Ur-Rehman, M.; Waraich, E.A. Application of Gypsum or Sulfuric Acid Improves Physiological Traits and Nutritional Status of Rice in Calcareous Saline-Sodic Soils. J. Soil Sci. Plant Nutr. 2022, 22, 1846–1858. [Google Scholar] [CrossRef]
- Nathawat, N.S.; Kuhad, M.S.; Goswami, C.L.; Patel, A.L.; Kumar, R. Interactive effects of nitrogen source and salinity on growth indices and ion content of Indian mustard. J. Plant Nutr. 2007, 30, 569–598. [Google Scholar] [CrossRef]
- Yu, D.D.; Miao, Q.; Shi, H.; Feng, Z.; Feng, W. Effects of Combined Application of Organic and Inorganic Fertilizers on Physical and Chemical Properties in Saline-Alkali Soil. Agronomy 2024, 14, 2236. [Google Scholar] [CrossRef]
- Liu, L.; Liu, D.; Ding, X.; Chen, M.; Zhang, S. Straw incorporation and nitrogen fertilization enhance soil carbon sequestration by altering soil aggregate and microbial community composition in saline-alkali soil. Plant Soil 2024, 498, 341–356. [Google Scholar] [CrossRef]
- Dang, K.; Ran, C.; Tian, H.; Gao, D.; Mu, J.; Zhang, Z.; Geng, Y.; Zhang, Q.; Shao, X.; Guo, L. Combined Effects of Straw Return with Nitrogen Fertilizer on Ion Balance, Photosynthetic Characteristics, Leaf Water Status and Rice Yield in Saline-sodic Paddy Fields. Agronomy 2023, 13, 2274. [Google Scholar] [CrossRef]
- Zhang, W.C.; Zhu, J.; Zhou, X.; Li, F. Effects of shallow groundwater table and fertilization level on soil physico-chemical properties, enzyme activities, and winter wheat yield. Agric. Water Manag. 2018, 208, 307–317. [Google Scholar] [CrossRef]
- Fong, S.S.; Seng, L.; Chong, W.N.; Asing, J.; Nor, M.F.B.M.; Pauzan, A.S.B.M. Characterization of the coal derived humic acids from Mukah, Sarawak as soil conditioner. J. Braz. Chem. Soc. 2006, 17, 582–587. [Google Scholar] [CrossRef]
- Abdel-Fattah, M.K. Role of gypsum and compost in reclaiming saline-sodic soils. J. Agric. Vet. Sci 2012, 1, 30–38. [Google Scholar] [CrossRef]
- Ghafoor, A.; Murtaza, G.; Rehman, M.Z.; Saifullah; Sabir, M. Reclamation and salt leaching efficiency for tile drained saline-sodic soil using marginal quality water for irrigating rice and wheat crops. Land Degrad. Dev. 2012, 23, 1–9. [Google Scholar] [CrossRef]
- Hu, M.; Qu, Z.; Li, Y.; Xiong, Y.; Huang, G. Contrasting effects of different straw return modes on net ecosystem carbon budget and carbon footprint in saline-alkali arid farmland. Soil Tillage Res. 2024, 239, 106031. [Google Scholar] [CrossRef]
- Wang, X.; Jia, Z.; Liang, L.; Yang, B.; Ding, R.; Nie, J.; Wang, J. Maize straw effects on soil aggregation and other properties in arid land. Soil Tillage Res. 2015, 153, 131–136. [Google Scholar] [CrossRef]
- Yan, S.; Zhang, T.; Zhang, B.; Gao, W.; Feng, H. Differences in illite soil macropore morphology caused by Ca2+ and Mg2+ under Na+ presence. CATENA 2024, 239, 107949. [Google Scholar] [CrossRef]
- Chen, W.Y.; Yang, H.C.; Zhang, F.H. The effect of Ca2+/Mg2+ on the aggregation process of soil colloids with different alkalization degrees. J. Dispers. Sci. Technol. 2025, 46, 273–279. [Google Scholar] [CrossRef]
- Yan, S.H.; Zhang, T.; Zhang, B.; Feng, H.; Siddique, K.H. Adverse effects of Ca2+ on soil structure in specific cation environments impacting macropore-crack transformation. Agric. Water Manag. 2024, 302, 108987. [Google Scholar] [CrossRef]
- Zhao, H.-L.; Yu, J.-Y.; Liu, T.; Wang, L.; Zhao, Y. Application of Desulphurized Gypsum with Straw to Improve Physicochemical Properties of Saline-alkali Land in Yellow River Delta. Huan Jing Ke Xue = Huanjing Kexue 2023, 44, 4119–4129. [Google Scholar] [CrossRef]
- El Hasini, S.; Halima, O.I.; Azzouzi, M.E.; Douaik, A.; Azim, K.; Zouahri, A. Organic and inorganic remediation of soils affected by salinity in the Sebkha of Sed El Mesjoune—Marrakech (Morocco). Soil Tillage Res. 2019, 193, 153–160. [Google Scholar] [CrossRef]
- Sundha, P.; Basak, N.; Rai, A.K.; Yadav, R.K.; Sharma, D.K.; Sharma, P.C. N and P release pattern in saline-sodic soil amended with gypsum and municipal solid waste compost. J. Soil Salin. Water Qual. 2017, 9, 145–155. [Google Scholar]
- Zhu, C.; Zhong, W.; Han, C.; Deng, H.; Jiang, Y. Driving factors of soil organic carbon sequestration under straw returning across China’s uplands. J. Environ. Manag. 2023, 335, 117590. [Google Scholar] [CrossRef] [PubMed]
- El-Sharkawy, M.; Alotaibi, M.O.; Li, J.; Mahmoud, E.; Ghoneim, A.M.; Ramadan, M.S.; Shabana, M. Effect of Nano-Zinc Oxide, Rice Straw Compost, and Gypsum on Wheat (Triticum aestivum L.) Yield and Soil Quality in Saline-Sodic Soil. Nanomaterials 2024, 14, 1450. [Google Scholar] [CrossRef] [PubMed]
- Reethu, B.; Kumar, M.S.; Sharath, G.; Ramanjaneyulu, B.; Manchiryal, R.K. Stabilization of clayey soil using Gypsum. J. Stud. Res 2020, 5, 886–888. [Google Scholar] [CrossRef]
- Wan, D.; Ma, M.; Peng, N.; Luo, X.; Chen, W.; Cai, P.; Wu, L.; Pan, H.; Chen, J.; Yu, G.; et al. Effects of long-term fertilization on calcium-associated soil organic carbon: Implications for C sequestration in agricultural soils. Sci. Total Environ. 2021, 772, 145037. [Google Scholar] [CrossRef]
- Song, X.; Yuan, Z.-Q.; Fang, C.; Hu, Z.-H.; Li, F.-M.; Sardans, J.; Penuelas, J. The formation of humic acid and micro-aggregates facilitated long-time soil organic carbon sequestration after Medicago sativa L. introduction on abandoned farmlands. Geoderma 2024, 445, 116889. [Google Scholar] [CrossRef]
- Li, Y.; Zhang, M.; Wang, X.; Ai, S.; Meng, X.; Liu, Z.; Yang, F.; Cheng, K. Synergistic enhancement of cadmium immobilization and soil fertility through biochar and artificial humic acid-assisted microbial-induced calcium carbonate precipitation. J. Hazard. Mater. 2024, 476, 135140. [Google Scholar] [CrossRef]
- Bertrand, I.; Delfosse, O.; Mary, B. Carbon and nitrogen mineralization in acidic, limed and calcareous agricultural soils: Apparent and actual effects. Soil Biol. Biochem. 2007, 39, 276–288. [Google Scholar] [CrossRef]
- Alsudays, I.M.; Alshammary, F.H.; Alabdallah, N.M.; Alatawi, A.; Alotaibi, M.M.; Alwutayd, K.M.; Alharbi, M.M.; Alghanem, S.M.S.; Alzuaibr, F.M.; Gharib, H.S.; et al. Applications of humic and fulvic acid under saline soil conditions to improve growth and yield in barley. BMC Plant Biol. 2024, 24, 191. [Google Scholar] [CrossRef]
- Gao, Y.X.; Song, X.; Liu, K.; Li, T.; Zheng, W.; Wang, Y.; Liu, Z.; Zhang, M.; Chen, Q.; Li, Z.; et al. Mixture of controlled-release and conventional urea fertilizer application changed soil aggregate stability, humic acid molecular composition, and maize nitrogen uptake. Sci. Total Environ. 2021, 789, 147778. [Google Scholar] [CrossRef] [PubMed]
- Li, C.; Zhang, J.J.; Dou, S.; Ren, Z. Dynamic change in amounts soil humic and fulvic acid during corn stalk decomposition. J. Jilin Agric. Univ 2009, 31, 729–732. [Google Scholar]
- Gao, Y.; Feng, H.; Zhang, M.; Shao, Y.; Wang, J.; Liu, Y.; Li, C. Straw returning combined with controlled-release nitrogen fertilizer affected organic carbon storage and crop yield by changing humic acid composition and aggregate distribution. J. Clean. Prod. 2023, 415, 137783. [Google Scholar] [CrossRef]
- Chen, X.D.; Wu, J.G.; Opoku-Kwanowaa, Y. Effects of Returning Granular Corn Straw on Soil Humus Composition and Humic Acid Structure Characteristics in Saline-Alkali Soil. Sustainability 2020, 12, 1005. [Google Scholar] [CrossRef]
- Rahman, A.; Nahar, K.; Hasanuzzaman, M.; Fujita, M. Calcium Supplementation Improves Na+/K+ Ratio, Antioxidant Defense and Glyoxalase Systems in Salt-Stressed Rice Seedlings. Front. Plant Sci. 2016, 7, 609. [Google Scholar] [CrossRef]
- Lu, G.R.; Feng, Z.; Xu, Y.; Guan, F.; Jin, Y.; Zhang, G.; Hu, J.; Yu, T.; Wang, M.; Liu, M.; et al. Phosphogypsum with Rice Cultivation Driven Saline-Alkali Soil Remediation Alters the Microbial Community Structure. Plants 2024, 13, 2818. [Google Scholar] [CrossRef]
- Cao, X.Q.; Sun, L.; Wang, W.; Zhang, F. Exogenous calcium application mediates K+ and Na+ homeostasis of different salt-tolerant rapeseed varieties under NaHCO3 stress. Plant Growth Regul. 2024, 102, 367–378. [Google Scholar] [CrossRef]
- Wu, G.; Wang, S. Calcium regulates K+/Na+ homeostasis in rice (Oryza sativa L.) under saline conditions. Plant Soil Environ. 2012, 58, 121–127. [Google Scholar] [CrossRef]
- Abouzied, S.T.; El-latif, A.; Amal, L. effect of different calcium concentrations in soil on survival percent and uptake of Na+ and Cl− ions by rice plant. Arab Univ. J. Agric. Sci. 2017, 25, 289–297. [Google Scholar] [CrossRef]
- Shaaban, M.; Abid, M.; Abou-Shanab, R. Abou-Shanab, Amelioration of salt affected soils in rice paddy system by application of organic and inorganic amendments. Plant Soil Environ. 2013, 59, 227–233. [Google Scholar] [CrossRef]







| Treatment | Gypsum | Straw | Sulfuric Acid | Chemical Fertilizer |
|---|---|---|---|---|
| JCK | - | - | - | - |
| JCW | 2% | 6% | - | - |
| JCWH | 2% | 6% | 40 mL of a (1 + 1) sulfuric acid solution per kilogram of soil | - |
| JCWF | 2% | 6% | - | 4 g of urea, 8 g of diammonium hydrogen phosphate, and 4 g of potassium sulfate per kilogram of soil |
| Treatment | PQ (%) | HA⊿lgK | FA⊿lgK |
|---|---|---|---|
| (a) 2021 yr | |||
| JCK | 44.04 ± 0.54 c | 0.59 ± 0.01 d | 0.96 ± 0.01 a |
| JCW | 50.46 ± 2.04 a | 0.71 ± 0.02 b | 0.94 ± 0.02 ab |
| JCWH | 47.16 ± 1.14 b | 0.74 ± 0.01 a | 0.92 ± 0.02 b |
| JCWF | 47.64 ± 1.18 b | 0.66 ± 0.00 c | 0.91 ± 0.00 b |
| (b) 2022 yr | |||
| JCK | 43.44 ± 0.13 b | 0.58 ± 0.01 c | 0.96 ± 0.01 a |
| JCW | 50.30 ± 0.30 a | 0.73 ± 0.01 b | 0.93 ± 0.06 a |
| JCWH | 50.18 ± 0.35 a | 0.79 ± 0.00 a | 0.85 ± 0.01 b |
| JCWF | 45.38 ± 2.22 b | 0.72 ± 0.01 b | 0.83 ± 0.01 b |
Disclaimer/Publisher’s Note: The statements, opinions and data contained in all publications are solely those of the individual author(s) and contributor(s) and not of MDPI and/or the editor(s). MDPI and/or the editor(s) disclaim responsibility for any injury to people or property resulting from any ideas, methods, instructions or products referred to in the content. |
© 2025 by the authors. Licensee MDPI, Basel, Switzerland. This article is an open access article distributed under the terms and conditions of the Creative Commons Attribution (CC BY) license (https://creativecommons.org/licenses/by/4.0/).
Share and Cite
Nie, Y.; Jiang, L.; Liu, X.; Feng, L.; Li, Z. Study on the Use of Soda Saline–Alkali Soil as a Rice-Seedling-Raising Soil After Short-Term Improvement. Appl. Sci. 2025, 15, 4638. https://doi.org/10.3390/app15094638
Nie Y, Jiang L, Liu X, Feng L, Li Z. Study on the Use of Soda Saline–Alkali Soil as a Rice-Seedling-Raising Soil After Short-Term Improvement. Applied Sciences. 2025; 15(9):4638. https://doi.org/10.3390/app15094638
Chicago/Turabian StyleNie, Yingbin, Lu Jiang, Xiran Liu, Lei Feng, and Zhihong Li. 2025. "Study on the Use of Soda Saline–Alkali Soil as a Rice-Seedling-Raising Soil After Short-Term Improvement" Applied Sciences 15, no. 9: 4638. https://doi.org/10.3390/app15094638
APA StyleNie, Y., Jiang, L., Liu, X., Feng, L., & Li, Z. (2025). Study on the Use of Soda Saline–Alkali Soil as a Rice-Seedling-Raising Soil After Short-Term Improvement. Applied Sciences, 15(9), 4638. https://doi.org/10.3390/app15094638
