The Corrosion Failure Mechanism of a Peak Load Boiler in a District Heating System
Abstract
1. Introduction
2. Materials and Methods
2.1. Boiler Materials and Structural Design
2.2. Non-Destructive Inspection
2.3. Corrosion Scale and Boiler Water Quality Analysis
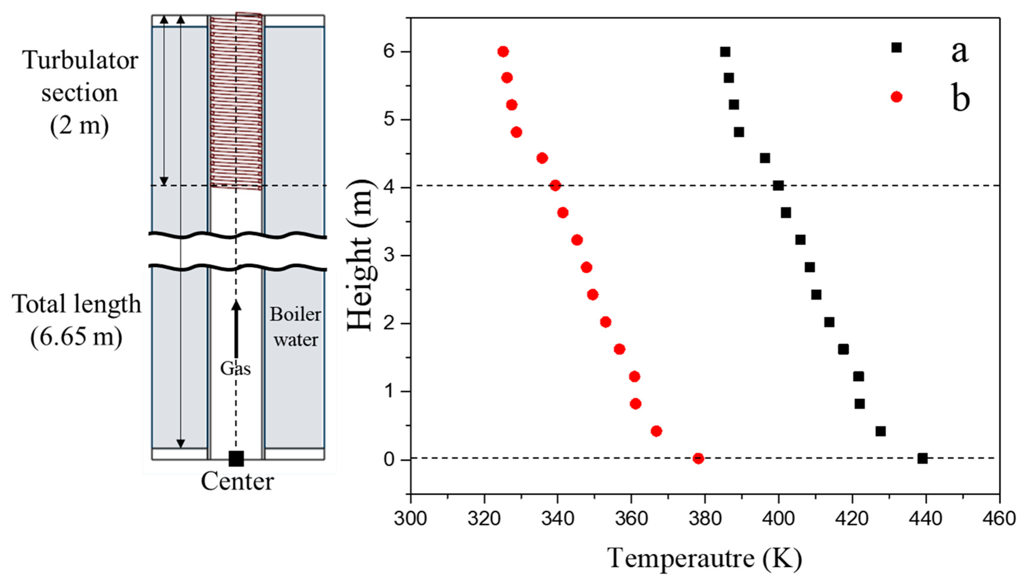
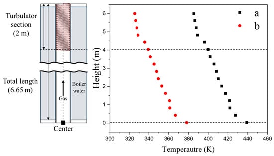
2.4. CFD Analysis of Gas Flow and Heat Transfer
3. Results
3.1. Corrosion Damage Analysis
3.2. Corrosion Product and Element Analysis
3.3. Simulation on Gas Temperature Distribution
3.4. Corrosion Failure Mechanisms
- (1)
- Primary corrosion and initial leakage occur as carbon steel tubes in the convection section are continuously exposed to high-temperature flue gas and boiler water. Over prolonged operation, localized thinning and material degradation lead to the formation of primary leakage points, near the 90° position relative to the manhole in this study. The escaping boiler water mixes with the flue gas, initiating further degradation processes.
- (2)
- Once in contact with high-temperature flue gas (over vaporization temperature), the leaked boiler water undergoes rapid vaporization, creating a moisture-laden gas mixture that rises along the convection tube bundle following the direction of gas flow. Due to inertial effects, the vapor preferentially accumulates along specific flow paths, particularly near the turbulator region, where localized cooling enhances condensation. Compared to tubes located at the center of the plate, wall-side tubes are more susceptible to condensation and subsequent corrosion due to their lower surface temperatures and proximity to stagnant flow regions. These areas facilitate the accumulation of acidic ions such as Na+, Cl−, SO42−, and NO3−, leading to an increasingly aggressive corrosion environment.
- (3)
- As the vaporized water travels through the convection tubes, the gas temperature decreases due to heat exchange with the boiler water inside the tubes. When the local temperature reaches the dew point, condensation occurs. The turbulator region is particularly vulnerable to condensation due to localized temperature drops and flow disturbances induced by its structural features. Since the dew point temperature is influenced by the partial pressure of acidic ions, areas with higher ion concentrations experience condensation at higher temperatures. Under typical flue gas conditions, dew formation generally occurs below 100 °C (373 K); however, as acidic species accumulate, condensation can occur at temperatures as high as 150–200 °C (423–473 K), significantly expanding the corrosion-prone region beyond the immediate vicinity of the leak.
- (4)
- The condensed water film on the turbulator surface traps corrosive ions such as Cl−, NO3−, and SO42−, which were identified in the water quality analysis. The morphological features of the turbulator, including grooves and surface depressions, enhance localized condensate retention, creating highly corrosive microenvironments. These ions originate from boiler water treatment chemicals and enter the system through leakage, leading to localized acidification and intensified electrochemical corrosion reactions. As acidic ion concentrations increase, the local pH drops, and the dew point continues to rise, allowing condensation to occur at even higher temperatures. This results in an expanding corrosion zone, with secondary failures appearing in adjacent tubes.
- (5)
- Since internal leakage cannot be immediately addressed during normal operation, corrosive species continue to accumulate over time. The prolonged presence of leaked boiler water, combined with repeated thermal cycles, accelerates acidification and localized corrosion, leading to widespread material degradation. Initially, failure is concentrated near the 90° position, where the first leakage occurs. Over time, the affected corrosion-prone zone expands, with secondary failures occurring at 0° and 180° due to the recirculating nature of the convection flow. As the acidic environment intensifies, new corrosion sites develop even in areas where the temperature was previously too high for condensation, demonstrating the self-propagating nature of dew point corrosion in this system.
4. Conclusions
- Severe localized corrosion and progressive leakage were observed near the turbulator in the leaking peripheral tube. Corrosion damage was particularly concentrated in the upper section near the turbulator, where accumulated corrosion products indicate sustained material degradation. Initially, corrosion was concentrated at 90° relative to the manhole, but as acidic condensation accumulated, degradation gradually propagated along the gas flow path.
- Water quality analysis and corrosion product characterization identified ammonium (NH4+), nitrate (NO3−), sulfate (SO42−), sodium (Na+), and chloride (Cl−) as key contributors to corrosion scale and salt formation. These ions primarily originated from combustion gas and vaporized boiler water, forming a highly acidic and chloride-rich electrolyte environment that significantly accelerates carbon steel corrosion.
- Computational fluid dynamics (CFD) simulations confirmed that vaporized boiler water entrained in the combustion gas could reach dew-forming temperature ranges along the tube wall. The upper section of the tube, where the turbulator is installed, exhibited lower gas temperatures, increasing the risk of acidic condensation. This temperature gradient promoted dew formation and localized acid accumulation, exacerbating corrosion.
- The corrosion mechanism is linked to the combined effect of water vapor condensation and gas flow dynamics. During operation, vaporized water from leaks mixes with the combustion gas and accumulates near the tube’s upper section. As the temperature drops below the dew point, strong acidic ions are formed and accumulated at this location, which accelerates corrosion process and leads to subsequent secondary failures.
Author Contributions
Funding
Institutional Review Board Statement
Informed Consent Statement
Data Availability Statement
Acknowledgments
Conflicts of Interest
References
- Tsubakizaki, S.; Wada, T.; Iwato, T.; Nakahara, T.; Nakamoto, M.; Noguchi, Y. Advanced water treatment technologies (high-AVT) for HRSG corrosion control corresponding to new JIS B8223 (Japanese Industrial Standards). Mitsubishi Heavy Ind. Technol. Rev. 2017, 54, 63–68. [Google Scholar]
- Lee, K.; Han, H.; Shin, S.; Sung, K.; Rhee, Y. Analysis on Formation of Corrosion Products in Secondary Steam-Water System of Nuclear Power Plant. Corros. Sci. Technol. 2019, 18, 138–147. [Google Scholar]
- Lee, S.J. Analysis of Corrosion Resistance and Dew Point with Exhaust Gas Concentration and Temperature for Air Preheater Materials in Power Plants. Corros. Sci. Technol. 2023, 22, 351–358. [Google Scholar]
- Shin, J.; Kwon, H.J.; Kim, H.; Lee, D. Atmospheric Corrosion Model of Carbon Steel Considering Relative Humidity, Chloride Deposition Rate, and Surface Particles. Corros. Sci. Technol. 2024, 23, 324–333. [Google Scholar]
- Wasim, M.; Djukic, M.B. External corrosion of oil and gas pipelines: A review of failure mechanisms and predictive preventions. J. Nat. Gas Sci. Eng. 2022, 100, 104467. [Google Scholar] [CrossRef]
- Ebara, R.; Tanaka, F. Sulfuric acid dew point corrosion in waste heat boiler tube for copper smelting furnace. Eng. Fail. Anal. 2013, 33, 29–36. [Google Scholar] [CrossRef]
- Ding, Q.; Tang, X.; Yang, Z. Failure analysis on abnormal corrosion of economizer tubes in a waste heat boiler. Eng. Fail. Anal. 2017, 73, 129–138. [Google Scholar] [CrossRef]
- Zeng, Y.; Li, K.; Hughes, R.; Luo, J. Corrosion mechanisms and materials selection for the construction of flue gas component in advanced heat and power systems. Ind. Eng. Chem. Res. 2017, 56, 14141–14154. [Google Scholar] [CrossRef]
- Pal, U.; Kishore, K.; Mukhopadhyay, S.; Mukhopadhyay, G.; Bhattacharya, S. Failure analysis of boiler economizer tubes at power house. Eng. Fail. Anal. 2019, 104, 1203–1210. [Google Scholar] [CrossRef]
- Cho, S.; Kim, S.; Kim, W.; Kim, J. Stress corrosion cracking of heat exchanger tubes in district heating system. Corros. Sci. Technol. 2019, 18, 49–54. [Google Scholar]
- Kwon, J.K.; Ahn, D.H.; Jeong, D.H.; Kim, Y.J.; Woo, N.S.; Kim, S. Effects of pre-corrosion and cathodic protection in artificial seawater on S-N fatigue behavior of X80 steel. Korean J. Met. Mater. 2013, 52, 757–767. [Google Scholar]
- Wang, D.; Chen, L.; Zhao, Y.; Chen, W.; Wang, C.; Yan, J. Thermomechanical stress analysis and fatigue lifetime evaluation of coal-fired boiler components during peak shaving transient processes: Effects of load cycling rate. Int. J. Pres. Ves. Pip. 2023, 206, 105083. [Google Scholar] [CrossRef]
- Kim, Y.; Chae, H.; Hong, M.; Song, M.J.; Cho, J.; Kim, W.C.; Ha, T.B.; Lee, S.Y. Corrosion failure analysis of the convection part of district heating peak load boiler. Corros. Sci. Technol. 2019, 18, 55–60. [Google Scholar]
- Fazzini, P.G.; Otegui, J.L. Experimental determination of stress corrosion crack rates and service lives in a buried ERW pipeline. Int. J. Pres. Ves. Pip. 2007, 84, 739–748. [Google Scholar] [CrossRef]
- Luo, S.J.; Wang, R. Identification of the selective corrosion existing at the seam weld of electric resistance-welded pipes. Corros. Sci. 2014, 87, 517–520. [Google Scholar] [CrossRef]
- Mueller, R.A. Pitting and crevice corrosion in ERW carbon steel heat exchanger tubes. J. Mater. Energ. Syst. 1980, 2, 60–64. [Google Scholar] [CrossRef]
- Ritchie, P. The Susceptibility of Electric Resistance Welded Line Pipe to Selective Seam Weld Corrosion. Master’s Thesis, The Ohio State University, Columbus, OH, USA, 2020. [Google Scholar]
- Rahman, M.; Murugan, S.P.; Ji, C.; Cho, Y.J.; Cheon, J.Y.; Park, Y.D. Evaluation of Grooving Corrosion and Electrochemical Properties of H2S Containing Oil/Gas Transportation Pipes Manufactured by Electric Resistance Welding. Corros. Sci. Technol. 2018, 17, 109–115. [Google Scholar]
- Hu, Q.; Yang, S.; Zhang, W.; Da, G.; Xu, X.; Wang, X. Corrosion failure analysis of engineering structural steels in tropical marine atmospheres: A comparative study of ordinary and new weathering steels. Eng. Fail. Anal. 2024, 156, 107830. [Google Scholar] [CrossRef]
- Asami, K.; Kikuchi, M. In-depth distribution of rusts on a plain carbon steel and weathering steels exposed to coastal–industrial atmosphere for 17 years. Corros. Sci. 2003, 45, 2671–2688. [Google Scholar] [CrossRef]
- Misawa, T.; Asami, K.; Hashimoto, K.; Shimodaira, S. The mechanism of atmospheric rusting and the protective amorphous rust on low alloy steel. Corros. Sci. 1974, 14, 279–289. [Google Scholar] [CrossRef]
- Hong, M.; Cho, J.; Song, M.J.; Kim, W.C.; Ha, T.B.; Lee, S.Y. Corrosion behavior of boiler tube under circulation water conditions in district heating system. Corros. Sci. Technol. 2018, 17, 287–291. [Google Scholar]
- Kiang, Y. Predicting dew points of acid gases. Chem. Engin. 1981, 88, 127. [Google Scholar]
- McCoy, J.W. The Chemical Treatment of Boiler Water; Chemical Publishing Company: New York, NY, USA, 1981. [Google Scholar]
- Boffardi, B.P. Corrosion inhibitors in the water treatment industry. In Uhlig’s Corrosion Handbook, 3rd ed.; Revie, R.W., Ed.; John Wiley & Sons: Hoboken, NJ, USA, 2011; pp. 591–603. [Google Scholar]
- Panigrahi, B.S.; Ganapathysubramanian, K. Boiler Water Treatment. In Mineral Scales and Deposits; Amjad, Z., Demadis, K.D., Eds.; Elsevier: Amsterdam, The Netherlands, 2015; pp. 639–655. [Google Scholar]
- Verhoff, F.H.; Banchero, J.T. Predicting dew points of flue gases. J. Chem. Eng. Prog. 1974, 70, 71–72. [Google Scholar]
- Huijbregts, W.M.M.; Leferink, R. Latest advances in the understanding of acid dew point corrosion: Corrosion and stress corrosion cracking in combustion gas condensates. Anti-Corros. Methods Mater. 2004, 51, 173–188. [Google Scholar] [CrossRef]












| Element (wt%) | C | Si | Mn | P | S | Cu | Ni | Mo | Cr | Fe |
|---|---|---|---|---|---|---|---|---|---|---|
| SA178-Gr.A | ≤0.18 | - | 0.24~0.63 | ≤0.035 | ≤0.035 | - | - | - | Bal. | |
| SA516-Gr.70 | ≤0.30 | 0.13–0.45 | 0.85~1.30 | ≤0.025 | ≤0.025 | ≤0.30 | ≤0.30 | ≤0.08 | ≤0.30 | Bal. |
| Composition | Methane | Ethane | Propane | i-Butane | N-Butane | i-Pentane | N-Pantane | Nitrogen |
|---|---|---|---|---|---|---|---|---|
| Average (mol.%) | 93.38 | 4.665 | 1.221 | 0.2563 | 0.2853 | 0.0175 | 0.0041 | 0.1673 |
| Unit: ppm | Cl− | NO3− | SO42− | Na+ |
|---|---|---|---|---|
| Turbulator oxide | 27.12 | 5.50 | 255.8 | 73.33 |
| Unit: ppm | Na+ | Fe2+/Fe3+ | Al3+ | Mg2+ | Silicate | Cl− | PO43− | NO3− | SO42− |
|---|---|---|---|---|---|---|---|---|---|
| 1 | 66.99 | 23.13 | 0.699 | 1.29 | 2.329 | 50.39 | <0.1 | 5.707 | 71.61 |
| 2 | 63.91 | 0.777 | <0.1 | 0.37 | 1.65 | 47.08 | <0.1 | 11.47 | 23.83 |
| 3 | 65.17 | 5.384 | 0.105 | 0.593 | 1.943 | 48.71 | <0.1 | 11.75 | 33.52 |
| 4 | 72.37 | 0.216 | <0.1 | 0.141 | 1.355 | 65.50 | <0.1 | 7.099 | 18.60 |
| 5 | 66.0 | 6.7 | 0.6 | 0.2 | 1.4 | 57.7 | <0.1 | 6.9 | 18.1 |
| 6 | 66.0 | 0.1 | <0.1 | <0.1 | 1.5 | 58.4 | <0.1 | 6.6 | 17.9 |
| 7 | 68.9 | 1.2 | 0.5 | 0.6 | 2.2 | 57.5 | <0.1 | 6.8 | 21.5 |
| 8 | 61.9 | 1.0 | 0.1 | <0.1 | 2.3 | 52.4 | <0.1 | 6.9 | 16.7 |
Disclaimer/Publisher’s Note: The statements, opinions and data contained in all publications are solely those of the individual author(s) and contributor(s) and not of MDPI and/or the editor(s). MDPI and/or the editor(s) disclaim responsibility for any injury to people or property resulting from any ideas, methods, instructions or products referred to in the content. |
© 2025 by the authors. Licensee MDPI, Basel, Switzerland. This article is an open access article distributed under the terms and conditions of the Creative Commons Attribution (CC BY) license (https://creativecommons.org/licenses/by/4.0/).
Share and Cite
Song, M.J.; Kim, W.C.; Lee, S.Y. The Corrosion Failure Mechanism of a Peak Load Boiler in a District Heating System. Appl. Sci. 2025, 15, 4528. https://doi.org/10.3390/app15084528
Song MJ, Kim WC, Lee SY. The Corrosion Failure Mechanism of a Peak Load Boiler in a District Heating System. Applied Sciences. 2025; 15(8):4528. https://doi.org/10.3390/app15084528
Chicago/Turabian StyleSong, Min Ji, Woo Cheol Kim, and Soo Yeol Lee. 2025. "The Corrosion Failure Mechanism of a Peak Load Boiler in a District Heating System" Applied Sciences 15, no. 8: 4528. https://doi.org/10.3390/app15084528
APA StyleSong, M. J., Kim, W. C., & Lee, S. Y. (2025). The Corrosion Failure Mechanism of a Peak Load Boiler in a District Heating System. Applied Sciences, 15(8), 4528. https://doi.org/10.3390/app15084528

