Study on the Effect of High Temperature and Cyclic Loading and Unloading Methods on the Mechanical Properties of Granite
Abstract
1. Introduction
2. Materials and Methods
2.1. Sample Preparation
2.2. Experimental Equipment
2.3. Experimental Procedure
3. Experimental Result Analysis
3.1. Stress–Strain Curve
3.2. Peak Strength
3.3. Deformation Characteristics
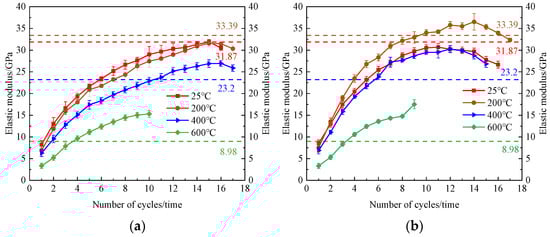
3.3.1. Elastic Modulus
3.3.2. Peak Strain
3.4. Energy Density
3.5. Microscopic Damage Characteristics
4. Discussion and Analysis
4.1. Mechanical Analysis
4.2. Limitations of the Present Study
5. Conclusions
- As the number of cycles increases, the hysteresis loop of the constant lower limit cyclic loading shifts positively along the strain axis, with its area gradually expanding. Additionally, rising temperatures cause the hysteresis loop to become more sparse. In contrast, throughout the variable lower limit cyclic loading process, the hysteresis loop remains nearly closed, with relatively low energy dissipation, indicating predominantly elastic deformation.
- Compared to real-time high-temperature uniaxial tests, at temperatures between 25 °C and 400 °C, the specimen experiences minimal thermal damage. Under cyclic loading, the strength of the specimens decreased by approximately 15.33 MPa in the uniaxial test. In contrast, under cyclic loading with constant and variable lower limits, the strength increased by 4.99 MPa and 3.42 MPa, respectively, the granite exhibits a “hardening” effect. When the temperature reaches 600 °C, thermal degradation intensifies significantly, weakening the strengthening effect of cyclic loading. Consequently, the specimen’s strength decreases rapidly. As temperature increases, the elastic modulus in the constant lower limit cycling mode decreases. In contrast, in the variable lower limit cycling mode, the elastic modulus first increases and then decreases, showing a moderate enhancement at 200 °C. The peak strain in the variable lower limit cycling mode increases linearly with temperature, whereas, in the constant lower limit cycling mode, it follows a “U-shaped” trend.
- The energy densities of both the constant lower limit and variable lower limit cycles increase continuously with the number of cycles. The energy dissipation ratio in the constant lower limit cycle first decreases and then increases. In contrast, in the variable lower limit cycle, it initially increases, then stabilizes, and finally exhibits a significant rise near failure.
- At 25 °C, internal cracks in granite primarily appear as intracrystalline cracks. At 200 °C, the internal cracks in granite are primarily transgranular and intergranular cracks. At 400 °C, the internal cracks in granite are primarily intergranular cracks, accompanied by some transgranular cracks. At 600 °C, under coupled temperature–stress conditions, many granite crystals subjected to cyclic loading and unloading exhibited a pronounced increase in fracture surface damage, accompanied by a significant rise in both the number and width of cracks. Different cyclic loading and unloading modes also influenced the microdamage patterns of the specimens. Crack penetration and crystal fragmentation were more severe and complex in specimens subjected to the variable lower limit cycle than in those under the constant lower limit cycle.
Author Contributions
Funding
Institutional Review Board Statement
Informed Consent Statement
Data Availability Statement
Conflicts of Interest
References
- Zhou, Z.; Jin, Y.; Lu, Y.; Zhou, B. Present Challenge and Prospects of Drilling and Hydraulic Fracturing Technology for Hot Dry Rock Geothermal Reservoir. Sci. Sin. Phys. Mech. Astron. 2018, 48, 124621. [Google Scholar] [CrossRef]
- Zang, A.; Yoon, J.S.; Stephansson, O.; Heidbach, O. Fatigue Hydraulic Fracturing by Cyclic Reservoir Treatment Enhances Permeability and Reduces Induced Seismicity. Geophys. J. Int. 2013, 195, 1282–1287. [Google Scholar] [CrossRef]
- Hofmann, H.; Zimmermann, G.; Zang, A.; Min, K.B. Cyclic Soft Stimulation (CSS): A New Fluid Injection Protocol and Traffic Light System to Mitigate Seismic Risks of Hydraulic Stimulation Treatments. Geotherm. Energy 2018, 6, 27. [Google Scholar] [CrossRef]
- Zang, A.; Zimmermann, G.; Hofmann, H.; Stephansson, O.; Min, K.B.; Kim, K.Y. How to Reduce Fluid-Injection-Induced Seismicity. Rock Mech. Rock Eng. 2019, 52, 475–493. [Google Scholar] [CrossRef]
- Hofmann, H.; Zimmermann, G.; Farkas, M.; Huenges, E.; Zang, A.; Leonhardt, M.; Kwiatek, G.; Martinez-Garzon, P.; Bohnhoff, M.; Min, K.B. First Field Application of Cyclic Soft Stimulation at the Pohang Enhanced Geothermal System Site in Korea. Geophys. J. Int. 2019, 217, 926–949. [Google Scholar] [CrossRef]
- Patel, S.M.; Sondergeld, C.H.; Rai, C.S. Laboratory Studies of Hydraulic Fracturing by Cyclic Injection. Int. J. Rock Mech. Min. Sci. 2017, 95, 8–15. [Google Scholar] [CrossRef]
- Zang, A.; Stephansson, O.; Zimmermann, G. Keynote: Fatigue Hydraulic Fracturing. Procedia Eng. 2017, 191, 1126–1134. [Google Scholar] [CrossRef]
- Gu, Q.; Huang, Z.; Zhong, W.; Li, S. Study on the Variations of Pore Structure and Physico-Mechanical Properties of Granite After High Temperature Cycling. Chin. J. Rock Mech. Eng. 2023, 42, 1450–1465. [Google Scholar]
- Xi, B.P.; Wu, Y.C.; Wang, S.; Xiong, G.M.; Zhao, Y.S. Evolution of Mechanical Properties of Granite Under Thermal Shock in Water with Different Cooling Temperatures. Rock Soil Mech. 2020, 41, 83–94. [Google Scholar]
- Wang, F.; Zou, Y.; Pang, R.; He, B. Thermal Cracking Mechanism of Granite during Heating and Cooling Processes. Chin. J. Geotech. Eng. 2024, 46, 2138–2147. [Google Scholar]
- Ma, X.; Wang, G.; Hu, D.; Liu, Y.; Zhou, H.; Liu, F. Mechanical Properties of Granite under Real-Time High Temperature and Three-Dimensional Stress. Int. J. Rock Mech. Min. Sci. 2020, 136, 104521. [Google Scholar] [CrossRef]
- Yang, Z.; Yang, S.Q.; Tian, W.L. Peridynamic Simulation of Fracture Mechanical Behaviour of Granite Specimen under Real-Time Temperature and Post-Temperature Treatments. Int. J. Rock Mech. Min. Sci. 2021, 138, 104573. [Google Scholar] [CrossRef]
- Yang, W.; Wang, B.; Yao, J.; Jing, W. Experimental Study on Mechanical Properties of Carbonate Rocks under Real-Time High Temperature and Heat Treatment under Triaxial Compression. Chin. J. Rock Mech. Eng. 2024, 43, 1347–1358. [Google Scholar]
- Xu, Y.; Li, C.; Zheng, Q.; Ni, X.; Wang, Q.Q. Analysis of Energy Evolution and Damage Characteristics of Mudstone under Cyclic Loading and Unloading. Chin. J. Rock Mech. Eng. 2019, 38, 2084–2091. [Google Scholar]
- Wang, M.; Wang, H.; Ma, S.; Zong, Q. Blast Damage to Sandstone of Top Slab under Triaxial Graded Cyclic Loading Andan Unloading Experimental Study on Energy Dissipation. J. Vib. Shock 2024, 43, 227–237. [Google Scholar]
- Chen, X.; Bai, Y.; Chen, L.; Gong, S. Analysis of Cyclic Loading and Unloading Deformation and Energy Evolution Process of Unloaded Rocks under Dynamic Osmotic Pressure Environment. Chin. J. Rock Mech. Eng. 2024, 43, 2356–2367. [Google Scholar]
- Jia, P.; Wang, Y.; Wang, Q.; Lu, J. Experimental Study on Resistivity and Acoustic Emission Characteristics of Red Sandstone under Cyclic Loading. Chin. J. Rock Mech. Eng. 2024, 43, 3333–3341. [Google Scholar]
- Liu, H.; Ye, D.; Bie, P. Experimental Study of Microscopic and Mesoscopic Damage Features of Limestone under Cyclic Loading and Unloading. Rock Soil Mech. 2024, 45, 685–696. [Google Scholar]
- Chen, J.; Zeng, B.; Zhang, J. Influence of Loading and Unloading Effect on Mechanical Properties of Impact Rock under Impact Load. J. China Coal Soc. 2024, 49, 2283–2297. [Google Scholar]
- Yuan, H.; Abi, E.; Zhang, J. Experimental Study on Deformation and Failure Characteristics of Saturated Sandstone under Graded Cyclic Loading and Unloading. Chin. J. Rock Mech. Eng. 2023, 42, 3943–3955. [Google Scholar]
- Jiang, D.Y.; Yang, Z.Y.; Fan, J.; Li, Z.Z.; Suo, J.J.; Chen, J. Experimental Study of Load Rate Effect of Salt Rock during Loading and Unloading. Rock Soil Mech. 2023, 44, 44. [Google Scholar]
- Aydin, A. The ISRM Suggested Methods for Rock Characterization, Testing and Monitoring. Ulusay R Eds 2007, 2014, 25–33. [Google Scholar]
- Miao, S.; Pan, P.; Yu, P.; Zhao, S.; Shao, C. Fracture Analysis of Beishan Granite After High-Temperature Treatment Using Digital Image Correlation. Eng. Fract. Mech. 2020, 225, 106847. [Google Scholar] [CrossRef]
- Hu, Y.; Hu, Y.; Jin, P.; Zhao, G.; Zhao, Z.; Li, C. Real-Time Mode-I Fracture Toughness and Fracture Characteristics of Granite from 20 °C to 600 °C. Eng. Fract. Mech. 2023, 277, 109001. [Google Scholar] [CrossRef]
- Wang, L.; Yang, D.; Kang, Z.; Zhao, Y.; Zhang, X. Experimental Investigation on Macroscopic Fracture and Microstructural Evolution of Granite under High-Temperature Steam Action. Appl. Therm. Eng. 2024, 250, 123513. [Google Scholar] [CrossRef]
- Yin, W.; Feng, Z.; Zhao, Y. Effect of Grain Size on the Mechanical Behaviour of Granite Under High Temperature and Triaxial Stresses. Rock Mech. Rock Eng. 2021, 54, 745–758. [Google Scholar] [CrossRef]
- Sun, B.; Yang, H.; Fan, J.; Liu, X.; Zeng, S. Energy Evolution and Damage Characteristics of Rock Materials under Different Cyclic Loading and Unloading Paths. Buildings 2023, 13, 238. [Google Scholar] [CrossRef]
- Hu, B.; Hu, X.; Lin, C.; Du, G.; Ma, T.; Li, K. Evolution of Physical and Mechanical Properties of Granite after Thermal Treatment under Cyclic Uniaxial Compression. Sustainability 2023, 15, 13676. [Google Scholar] [CrossRef]
- Meng, Q.B.; Wang, C.K.; Huang, B.X.; Pu, H.; Zhang, Z.Z.; Sun, W.; Wang, J. Rock Energy Evolution and Distribution Law under Triaxial Cyclic Loading and Unloading Conditions. Chin. J. Rock Mech. Eng. 2020, 39, 2047–2059. [Google Scholar]
- Momeni, A.; Karakus, M.; Khanlari, G.R.; Heidari, M. Effects of Cyclic Loading on the Mechanical Properties of a Granite. Int. J. Rock Mech. Min. Sci. 2015, 77, 89–96. [Google Scholar] [CrossRef]
- Zhao, G.; Guo, Y.; Chang, X.; Jin, P.; Hu, Y. Effects of Temperature and Increasing Amplitude Cyclic Loading on the Mechanical Properties and Energy Characteristics of Granite. Bull. Eng. Geol. Environ. 2022, 81, 155. [Google Scholar] [CrossRef]
- Yang, S.Q.; Ranjith, P.G.; Huang, Y.H.; Yin, P.F.; Jing, H.W.; Gui, Y.L.; Yu, Q.L. Experimental Investigation on Mechanical Damage Characteristics of Sandstone under Triaxial Cyclic Loading. Geophys. J. Int. 2015, 201, 662–682. [Google Scholar] [CrossRef]
- Zhao, G.; Chang, X.; Guo, Y.; Yang, H.; Guo, W.; Hu, Y. Fatigue of Granite Subjected to Cyclic Loading at Various Temperatures: Experimental Insights from Deformation and Energy Conversion. Geomech. Geophys. Geo-Energy Geo-Resour. 2022, 8, 64. [Google Scholar] [CrossRef]
- Huang, Y.; Zhang, K.; Yang, S.; Tian, W.; Zhu, Z.; Yin, H.; Li, M. Study on the Microstructure Characteristic and Its Influence on Strength Properties of Granite Specimens after High Temperature Treatment. Chin. J. Rock Mech. Eng. 2025, 44, 359–372. [Google Scholar] [CrossRef]
- Wang, Z.C.; Zhao, J.G.; Li, S.C.; Xue, Y.; Zhang, Q.S.; Jiang, Y.Y. Fatigue Mechanical Behavior of Granite Subjected to Cyclic Load and Its Constitutive Model. Chin. J. Rock Mech. Eng. 2012, 31, 1888–1900. [Google Scholar]
- Zhou, J.W.; Yang, X.G.; Fu, W.X.; Xu, J.; Li, H.T.; Zhou, H.W.; Liu, J.F. Experimental Test and Fracture Damage Mechanical Characteristics of Brittle Rock under Uniaxial Cyclic Loading and Unloading Conditions. Chin. J. Rock Mech. Eng. 2010, 29, 1172–1183. [Google Scholar]
- Zhu, A.; Zhou, Z.; Zhang, Q.; Liao, Y.; Xu, D.; Liu, J. Study on Mechanical Properties and Damage Evolution Characteristics of Granite under Different Stress Paths. IOP Conf. Ser. Earth Environ. Sci. 2019, 332, 042023. [Google Scholar] [CrossRef]
- Ranjith, P.G.; Viete, D.R.; Chen, B.J.; Perera, M.S.A. Transformation Plasticity and the Effect of Temperature on the Mechanical Behaviour of Hawkesbury Sandstone at Atmospheric Pressure. Eng. Geol. 2012, 151, 120–127. [Google Scholar]
- Sun, Q.; Zhang, Z.Z.; Xue, L.; Zhu, S.Y. Physico-Mechanical Properties Variation of Rock with Phase Transformation under High Temperature. Chin. J. Rock Mech. Eng. 2013, 32, 935–942. [Google Scholar]
- Zhang, W.; Sun, Q.; Hao, S.; Geng, J.; Lv, C. Experimental Study on the Variation of Physical and Mechanical Properties of Rock after High Temperature Treatment. Appl. Therm. Eng. 2016, 98, 1297–1304. [Google Scholar] [CrossRef]
- Yang, X.B.; Cheng, H.M.; Lv, J.Q.; Hou, X.; Nie, C.G. Energy Consumption Ratio Evolution Law of Sandstones under Triaxial Cyclic Loading. Rock Soil Mech. 2019, 40, 3751–3766. [Google Scholar]
- Yang, S.Q. Thermal Damage and Failure Mechanical Behavior of Granite after Exposure to Different High Temperature Treatments under Uniaxial Compression. In Mechanical Behavior and Damage Fracture Mechanism of Deep Rocks; Springer Nature Singapore: Singapore, 2022; pp. 345–372. ISBN 978-981-16-7738-0. [Google Scholar]
- Wang, J.; Wang, S.; Li, X.; Bu, M.; Luan, Z.; Zhang, P. Study on Mechanical Properties and Damage Characteristics of Granite under Thermal Shock Based on CT Scanning. Coal Sci. Technol. 2023, 51, 58–72. [Google Scholar]













| T (°C) | σs (MPa) | εs (10−3) | E (GPa) |
|---|---|---|---|
| 25 °C | 149.42 ± 12.25 | 6.53 ± 0.12 | 31.87 ± 1.40 |
| 200 °C | 171.64 ± 13.73 | 6.67 ± 0.11 | 33.39 ± 1.79 |
| 400 °C | 134.09 ± 13.34 | 7.91 ± 0.44 | 23.20 ± 1.02 |
| 600 °C | 78.81 ± 2.74 | 11.63 ± 0.31 | 8.98 ± 0.33 |
Disclaimer/Publisher’s Note: The statements, opinions and data contained in all publications are solely those of the individual author(s) and contributor(s) and not of MDPI and/or the editor(s). MDPI and/or the editor(s) disclaim responsibility for any injury to people or property resulting from any ideas, methods, instructions or products referred to in the content. |
© 2025 by the authors. Licensee MDPI, Basel, Switzerland. This article is an open access article distributed under the terms and conditions of the Creative Commons Attribution (CC BY) license (https://creativecommons.org/licenses/by/4.0/).
Share and Cite
Zhang, F.; Lv, C.; Li, K.; Zhang, Y.; Liu, S.; Li, M. Study on the Effect of High Temperature and Cyclic Loading and Unloading Methods on the Mechanical Properties of Granite. Appl. Sci. 2025, 15, 4448. https://doi.org/10.3390/app15084448
Zhang F, Lv C, Li K, Zhang Y, Liu S, Li M. Study on the Effect of High Temperature and Cyclic Loading and Unloading Methods on the Mechanical Properties of Granite. Applied Sciences. 2025; 15(8):4448. https://doi.org/10.3390/app15084448
Chicago/Turabian StyleZhang, Fan, Congcong Lv, Kangwen Li, Yiming Zhang, Shengyuan Liu, and Man Li. 2025. "Study on the Effect of High Temperature and Cyclic Loading and Unloading Methods on the Mechanical Properties of Granite" Applied Sciences 15, no. 8: 4448. https://doi.org/10.3390/app15084448
APA StyleZhang, F., Lv, C., Li, K., Zhang, Y., Liu, S., & Li, M. (2025). Study on the Effect of High Temperature and Cyclic Loading and Unloading Methods on the Mechanical Properties of Granite. Applied Sciences, 15(8), 4448. https://doi.org/10.3390/app15084448
