Abstract
The quality of educational multimedia edition design is determined by a set of characteristics that affect perception, readability and communication efficiency. Quality assessment of multimedia edition design is based on a comprehensive analysis of characteristics that affect the quality of output data, edition processing and content representation. Within the framework of this study, the goal is to develop a methodology for assessing the quality of educational multimedia edition design using fuzzy logic. An approach to determining an integral quality indicator based on fuzzy logic is proposed, which ensures that the influence of various factors which are difficult to characterize exclusively by numerical parameters, is taken into account. A multilevel model of fuzzy logical inference is constructed, representing the dependency between quality factors. Membership functions for linguistic variables are formed and their weight coefficients are determined using pairwise comparison matrices. The developed approach contributes to making informed management decisions in the process of creating multimedia products. The use of fuzzy logic methods allows one to assess the design quality even under conditions where the parameters are subjective or do not have clear numerical characteristics. Thus, quality prediction provides the opportunity to identify the design weaknesses at the stage of its development, optimize the process of creating multimedia editions, and increase the efficiency of their use in educational and professional environments. Further research aimed at integrating artificial intelligence for automated updating of the knowledge base and expanding the system by introducing additional assessment criteria is considered to be promising.
1. Introduction
Educational multimedia editions as complex information products that integrate text, graphic, audio and video content into a single structure, ensuring interactivity and multi-channel information transmission are becoming increasingly popular. The distribution of digital editions not only improves the access to information, but can also increase the demand for physical analogues [1]. Multimedia editions can be considered as an innovative form of traditional printed media, adapted to modern technologies and the needs of a digital society [2]. As a rule, they preserve the structural organization of a book, expanding its functionality. This contributes to the accessibility of digital educational platforms and the development of educational programs. Data management and sharing have long been tedious tasks that have resulted in delays or loss of information. This information can be related to various important areas, including education. Innovative methods of knowledge representation are an important tool for the development of a modern digital society [3].
A feature of multimedia products is the ability to adapt the content to the individual needs of users thanks to interactive tools, availability on different platforms and the possibility of constant information updating [4]. Such technologies are often used in the field of education [4,5], science [6], art [7] and business [8] as an effective means of knowledge transfer. It is extremely important that the use of multimedia editions contributes to increasing the efficiency of the educational process due to the adaptability of the material to the needs of knowledge seekers [9,10]. At the same time, the quality of the educational edition design plays a key role in interaction with users [11,12,13]. The lack of a theoretically sound methodology for the quality assessment of the educational multimedia edition design complicates analytical studies aimed at determining the multimedia impact on the quality of learning and ease of material understanding [14,15].
Inconsistent, chaotic execution of operations aimed at the design of educational multimedia editions and the lack of understanding of the relationships between them leads to the impossibility of predicting the final result, which undoubtedly negatively affects the quality of the resulting product and, accordingly, the quality of the educational process. According to [16], parameters can be dynamic and unpredictable, which complicates the use of deterministic models. Fuzzy logic allows processing these uncertainties, providing more flexible and adaptive management of information resources. Another problem is that developers of multimedia editions often direct their main efforts to technological implementation, neglecting editorial and publishing processes. It is a misconception that only printed editions require editorial processing. High-quality presentation of content, in addition to layout, illustrative, multimedia, font design, also requires consideration of such parameters as the recommended size of the edition format; the edition complexity, which is determined by its type; the edition volume, which directly affects the complexity of proofreading, etc. [17,18].
The studies [19,20] indicate the need for implicit (non-verbal) assessment of linguistic variables, the meaning of which is initially presented as a set of verbal descriptions. There is a need to determine the predicted numerical values of parameters that could ensure the proper quality of the educational multimedia edition design. To obtain a specific quantitative quality indicator of the process under study, it is advisable to use methods and tools of fuzzy logic. The basic principles of fuzzy logic are identical to the logic of fuzzy sets, which is characterized by fuzzy, blurred boundaries.
It should be noted that the main tool of fuzzy logic is fuzzification [21,22]. When it is impossible to represent the characteristics of technological processes in a numerical format, they should be replaced with a fuzzy description that accounts for the significance of their values within the overall set. The mathematical interpretation of membership functions enables the formation of term-sets. Enhancing the model’s adequacy through fuzzification serves as the foundation for modeling the predictive assessment of multimedia design quality. The inverse of this process is defuzzification [23,24].
To obtain a high level of quality in the process of producing editions, it is necessary to ensure a meaningful, consistent and orderly implementation of production procedures. This approach contributes to the production of rational management decisions during the implementation of all stages and provides direct performers with a solid theoretical and applied base, which will serve as a kind of reference not only for the implementation of technical operations, but also for a creative component.
In view of the above, the purpose of this study is to develop a methodology for assessing the quality of the educational multimedia editions based on the analysis of key factors. Thus, the main objectives of this study are to develop a multilevel model of fuzzy logical inference for the formation of an integral quality indicator of educational multimedia editions; to construct membership functions of linguistic variables and to calculate their values using fuzzy logic equations; to determine the integral quality indicators of the studied process by defuzzication of fuzzy sets according to the center of gravity principle; to develop a fuzzy system for predictive quality assessment of multimedia editions.
The quality of multimedia design significantly affects the efficiency of the educational process. Taking into account the relevance of the quality assessment of educational multimedia editions, the use of fuzzy logic allows one to obtain more accurate results of assessing the quality of multimedia editions compared to traditional methods.
Summarizing the above, the main research hypotheses for the development of a fuzzy system for predictive quality assessment of multimedia editions include the following: there is a universal term-set that describes the quality of educational multimedia editions, as well as the terms corresponding to it; the quality of multimedia editions can be determined using a multi-level logical inference model, the highest-level component of which determines the output predicted quality indicator of educational multimedia editions in the form of a fuzzy set; the knowledge about the quality of multimedia editions can be formalized in the form of fuzzy logical statements; fuzzification and defuzzification of a fuzzy set allow obtaining the quality assessment of a multimedia edition in a form convenient for practical use.
The main contributions of the authors in this study:
- −
- The authors have formed term-sets of linguistic variable values and developed a multilevel model of fuzzy logical inference for the formation of an integral quality indicator of the educational multimedia edition design.
- −
- The authors have performed fuzzification and defuzzification of the fuzzy set and developed a model for predictive quality assessment of the educational multimedia editions.
- −
- The authors have developed a fuzzy system that allows determining the predicted quality indicator of the educational multimedia edition design based on the values of the input parameters.
2. Related Works
The results of the analysis of the literary sources indicate the relevance of the problem of assessing the quality of educational multimedia editions. Many scientific publications are devoted to the influence of interactive multimedia e-books on the learning process, which emphasizes the significance of our study not only from a theoretical but also from a practical point of view.
In [25], the influence of multimedia books on the interest level of high school students in studying natural sciences was studied. The experimental group of students used interactive multimedia e-books, and the control group studied using printed textbooks. The results showed that students who used electronic books demonstrated significantly greater interest compared to those who studied using traditional textbooks. This indicates that the integration of multimedia elements into educational materials can increase students’ intrinsic motivation and interest in the subject. The results of the study [26] also showed that the use of multimedia e-books had a significant impact on the learning process of medical students compared to classic printed editions. However, the duration of the experiments does not allow assessing the long-term impact of using multimedia books on academic achievement.
The work [27] is devoted to the development of a prototype of an electronic manual. The main stages of creating a multimedia edition were described. Methodological recommendations were presented on the selection of sources, the distribution of material by sections, the formation of the textbook structure, design and optimal use of multimedia capabilities. It is noted that a multimedia manual provides quick feedback and flexibility for regular correction.
The work [28] is interesting from the point of view of substantiating the importance of multimedia editions. The authors conducted a meta-analysis of the studies devoted to the influence of multimedia elements in the context of emotional design on students’ learning outcomes. The main results confirmed that emotional design contributes to the improvement of cognitive perception and involvement. In addition, it has a positive effect on the emotional state, intrinsic motivation and satisfaction with the educational process, reducing the subjective perception of the material complexity. An integrated approach to the generalization of previous studies is important, which allowed ensuring the statistical validity of the results obtained.
However, the aforementioned studies have not considered the impact of the quality of multimedia product design on students’ achievement. Therefore, our study can solve the problem of assessing the quality of multimedia edition design and become a significant theoretical basis for further scientific explorations.
The paper [29] examines the features of creating multimedia stories as an effective tool for combining art and science. The authors involve participants in creating stories, working with them as partners, rather than as objects of research. The results emphasize the significant impact of creative practices on people. However, the small number of participants and workshops may limit the generalizability of the results. As in the study [28], it is difficult to understand to what extent the quality of the created stories influenced the responses of the respondents. There is also no formalized presentation of the results, which complicates the comparison with other works or empirical verification of the obtained data.
The study [30] is devoted to the integration of multimedia data into recommender systems. Modern methods of using different types of multimedia content—images, audio and video—are analyzed to improve the accuracy and relevance of recommendations. The results indicate an improvement in the perception of text information due to the addition of multimedia elements. The authors emphasize the importance of understanding the features of forming high-quality multimedia editions to create more personalized and accurate recommendations, but do not provide recommendations for assessing their quality.
At the same time, the analysis of the literary sources has shown the lack of research focused on the selection of multiple factors and a comprehensive quality assessment of the educational multimedia editions.
Most studies focus on individual aspects of design, interface usability, cognitive load or visual appeal, which complicates a comprehensive assessment, so the authors of this paper have proposed a justification for the need to develop a more holistic approach to the quality assessment of educational multimedia edition design [25,27,28].
However, fuzzy logic is an effective tool for quality assessment. For example, fuzzy logic methods and tools have been used to assess the quality of education in virtual campuses [31]. The purpose of the study was to analyse the level of student satisfaction and identify the main factors that influence the overall teaching and learning process. As a result, four factors were identified: satisfactory answers from professors to students’ questions, positive attitude of professors towards the use of modern information and communication technologies, availability of relevant digital skills among students and stimulation of new ideas. The advantage of the study is that it helps universities identify the strengths and weaknesses of online education. However, a methodology for assessing and improving the quality of educational materials has not been developed.
In [32], the prediction of students’ academic performance is carried out. Using fuzzy logic to assess students’ achievements, the qualification is assessed qualitatively, rather than quantitatively. A model is developed that predicts and determines priority factors for improving various areas of learning. The results obtained contribute to improving academic performance, increasing the quality of teaching, identifying new learning strategies and developing new educational technologies. However, as in previous studies, the quality of educational materials was not considered.
Thus, the development of a fuzzy system for predictive quality assessment of educational multimedia editions based on methods and tools of fuzzy logic is an urgent scientific task. This fuzzy system will be useful for developers of multimedia editions and will have a significant impact on the provision of quality educational services.
3. Materials and Methods
For a predictive quality assessment of educational multimedia editions, fuzzy logic methods are employed, originally formalized by Lotfi Zadeh as an extension of classical set theory. The fundamental principle of fuzzy logic is the concept of fuzzy sets, which represent objects and parameters through membership functions [33]. These functions define the degree of membership of a particular element within a set. Another key feature of fuzzy logic is its capability for linguistic modeling, enabling the representation of natural language expressions through fuzzy sets. This approach facilitates the development of expert systems and control algorithms that effectively handle uncertainty in input data [34].
The use of expert evaluation in the quality assessment of educational multimedia editions allows one to obtain a quantitative assessment of the degree of importance of each of the criteria that form a set of values of factors influencing the process quality. In this case, the method of scale rating is used to obtain quantitative assessments of the degree of importance of each of the factors belonging to a certain set, relative to the scale of their basic (reference) values. In this case, the rating of the relative importance of each factor is expressed in points on a certain scale. The most commonly used is a 100-point scale, where the maximum possible importance corresponds to the score of 100 points, and the minimum possible is 0 (zero) points [35].
When processing the expert data, the survey results are summarized in the table, where is the relative importance of the parameter from the point of view of the -th expert, which is expressed by the corresponding score or rank value (Table 1).
Table 1.
Results of the experts’ survey using the method of rating scale.
The arithmetic mean of factor scores is determined from the expression:
where is a number of experts who assessed the importance of factors .
The values and can be expressed quantitatively in points or ranks. In the first case, the value is the average score (average value) of the criterion , in the second case it is the average rank. Adding the numbers in rows with subsequent division of the obtained result by gives the average ranking of factors , which, in turn, serves as an indicator of the generalized opinion about the importance of factors (the smaller the sum in the row is, the more important role the factor plays).
Let be the set of significant values related to the given problem. To establish the correspondence between the set and the fuzzy subset with the membership function , the following approach is used [33,36]:
where .
The membership function establishes the membership degree of each element of the fuzzy set to the universal set: .
The fuzzy set is represented, taking into account the conditions of discreteness and finiteness of the base scale, divided into certain parts or intervals:
In a simplified record, the fuzzy set has the form: .
At the same time, the symbol “/” in expression (3) does not indicate the division operation, but only conditionally attaches the membership function to the element , and the sign conditionally denotes the set of pairs and .
Finally, membership functions serve as identifiers of input values of linguistic variables in a fuzzy format. The set of values of the input variable corresponds to the membership function .
It should be noted that linguistic variables are variables whose values are represented by words or word combinations of a natural language, for example, “Edition format”, “Edition type”, “Edition volume”, etc. (provided that they have a linguistic, not numerical, value). The set of values of a linguistic variable constitutes its term-set, a random element of which is called a term. For example, the terms “small”, “medium”, “large” constitute the term-set of the linguistic variable “Edition format”.
The process of creating a design for a multimedia edition will be considered as the function , the arguments of which are the factors of this process:
where is a number of factors of the -th process.
According to expression (4), the technological process is represented as a procedure with a set of input variables and one output—the variable :
The input set contains factors that are qualitative variables. Considering this, it is necessary to establish the set and the limits of the value assignment.
where —conditional units with the weight coefficient .
To determine the variable according to expression (4), the following expression is obtained:
Universal sets, represented by expressions (4)–(6) establish the domains of input and output linguistic variables and ensure the fulfilment of the dependency (4). In parallel, linguistic variables are assessed by means of a natural language, such as “small”, “medium”, “large”, etc.
The process of constructing the membership function of linguistic variables of the educational multimedia edition design can be described in more detail.
For the formalized representation of the linguistic term , a universal fuzzy set is used with linguistic variables and ranks in the range . Thus, the formalized representation of the linguistic term “quality of multimedia edition” , according to [20], has the form:
where ; is a membership degree of the element to the set .
A set of values is connected by logical operations and . This technique allows one to obtain a quantitative expression of the desired membership function of a linguistic term .
Then the distribution of membership degrees will be as follows:
where ; for all .
This takes into account the condition: .
To determine the ranks of factors, the numerical values of the membership functions are calculated from the relations:
To ensure sufficient detail, the formed variables are divided into two ranges. Then, based on the relative estimates of the linguistic term ranks, a square inverse symmetric matrix is formed, where for
Thus, the following expression will be valid:
According to expression (11), it is necessary to achieve the maximum value of the function, which indicates the quality of the analyzed technological process.
As a result of calculating the matrix, numerical values of the membership function are obtained for the specified ranks of linguistic terms at three points of division of the universal set. According to the established conditions, the matrix has the form:
With uncertain factor ranks, it is necessary to use a pairwise comparison matrix, the elements of which are obtained according to the scale of relative importance of objects according to Saaty [37], for each linguistic term.
The next stage is the formation of knowledge bases, knowledge matrices and fuzzy logic equations. The fuzzy knowledge base can be represented in the form of a knowledge matrix that connects input variables (factors of influence on the quality of multimedia editions) with the output variable (the result of the implementation of the technological process). To construct a knowledge matrix, a system of statements “if-and-then”, “if-then-else”, “if-or-then-else” is used. Based on the knowledge matrix, a system of fuzzy logic equations is formed, which allows for numerical values of membership functions and an integral predictive quality indicator of educational multimedia editions to be obtained.
The combinations of obtaining the result for two values of membership functions and have the form:
where the operation in fuzzy logic equations indicates obtaining the maximum value, and the operation indicates obtaining the minimum value.
A general representation of the fuzzy set is formulated:
where —numerical characteristics of .
The next stage of the study is the defuzzification of expression (15), which involves the normalization and evaluation of membership function values [18]:
where —low indicator; —high indicator; —a defined number of terms.
Summarizing the above, to develop a fuzzy system for predictive quality assessment of multimedia editions, it is necessary to isolate the universal term-set of the analyzed technological process and the corresponding terms; to synthesize a multi-level model of logical inference, which reflects the hierarchy of linguistic variables (factors) and their corresponding terms, and its highest-level component determines the output predicted quality indicator of educational multimedia editions; to determine the membership functions; to normalize the values of membership functions and compare them with the quanta of division of the universal set; to develop a fuzzy knowledge base and knowledge matrices using fuzzy logic statements of the type “if <condition>, then <conclusion (or action)>”; to construct fuzzy logic equations using knowledge matrices and membership functions that indicate the relationship between the membership functions of the input and the output data; to construct an analytical expression for the formalized identification of the predicted result in the form of a fuzzy set obtained on the basis of a multilevel logical inference model and a fuzzy knowledge base; to carry out the process of defuzzification of the fuzzy set. The designed model for representing the stages of developing a fuzzy system for the quality assessment of educational multimedia editions serves as the basis for developing a software product. It should be noted that during defuzzification of a fuzzy set, the values of the membership functions of the linguistic variables with the domain of existence defined by the universal set are used [18,20].
4. Results
Suppose the process of creating a design for a multimedia edition is a function , the arguments of which are factors (linguistic variables) selected on the basis of expert evaluation. The value of this function is determined by the predicted edition integral quality indicator , expressed through partial indicators.
where —characteristics of the quality of the edition output data; —the edition processing; —the quality of content representation.
The quality of an educational multimedia edition is formed on the basis of three main parameters. The first parameter covers the characteristics of the output data, namely the structure and content of the edition. It takes into account the format, type and volume of the material, which affects the content filling and the information relevance. The second parameter concerns the quality of the material processing in terms of compliance of the text and graphic elements with the design standards. The third parameter determines the quality of content representation and determines the use of illustrations, multimedia elements and font solutions that affect the perception of the material and its visual appeal. The described parameters are interrelated and affect the design of educational editions. They are decisive for the quality formation.
The identified linguistic variables are presented in Table 2. Their notation, names and values in conventional units (c. u.) are specified to standardize the values of linguistic terms. This allows for a high level of system adaptability to changes in requirements or analysis conditions.
Table 2.
Term-sets of values of linguistic variables.
A logical inference model is constructed that represents the hierarchical dependency of the quality of a multimedia edition on the values of the linguistic terms of the factors (Figure 1).
Figure 1.
A model for forming a comprehensive quality indicator of educational multimedia editions.
The developed model contributes to the consistent establishment of predictive quality of the multimedia edition design by accumulating knowledge from the lowest to the highest of its levels.
Obtaining fuzzy sets is presented on the example of the factor “edition format”. Calculations for other factors are carried out in a similar way. The matrix is constructed for the linguistic variable “edition format”. The universal set of values of the analyzed linguistic variable is c. u. The corresponding term-set of values is <small, medium, large>.
Matrices for the terms “small”, “medium” and “large”:
Calculated values of the membership functions:
The next step is the classification of the values of the variable “edition format” according to expression :
According to Formula (7), the following is obtained:
Based on expert judgments about the overall impact of the identified factors on the quality of the multimedia edition design development, a fuzzy knowledge base is formed, which, depending on the combinations of linguistic terms of the analyzed linguistic variables, reproduces the algorithm for achieving the predicted quality.
According to the model for forming the comprehensive quality indicator (Figure 1) and expression (17), the following is obtained:
IF (D = low) AND (D = medium) AND (D = high)
AND (W = low) AND (W = medium) AND (W = high)
AND (O = low) AND (O = medium) AND (O = high)
THEN (Q = low) AND (Q = medium) AND (Q = high)
Based on the existing conditions, a knowledge matrix is constructed (Table 3).
Table 3.
Representation of the linguistic variable .
Fuzzy equations used to describe the procedure for forming the quality of multimedia edition design and the membership functions for the terms “low”, “medium”, “high”:
Based on expert statements regarding the sets , , , logical statements are formed regarding lower-order linguistic variables: “quality of the edition output data”, “quality of the edition processing”, “quality of the edition design”.
IF (d1) = (small, medium, large)
AND (d2) = (simple, complicated, complex)
AND (d3) = (small, medium, large),
THEN (D) = (low, medium, high)
IF (w1) = (simple, complicated, complex)
AND (w2) = (original layout, non-typesetting, typesetting),
THEN (w) = (low, medium, high)
IF (o1) = (small, medium, large)
AND (o2) = (small, medium, large),
THEN (o) = (low, medium, high).
Based on the above statements, corresponding knowledge matrices are constructed (Table 4, Table 5 and Table 6).
Table 4.
Representation of the linguistic variable .
Table 5.
Representation of the linguistic variable .
Table 6.
Representation of the linguistic variable .
Fuzzy logic equations are formed for the terms of the knowledge matrices presented in Table 4, Table 5 and Table 6.
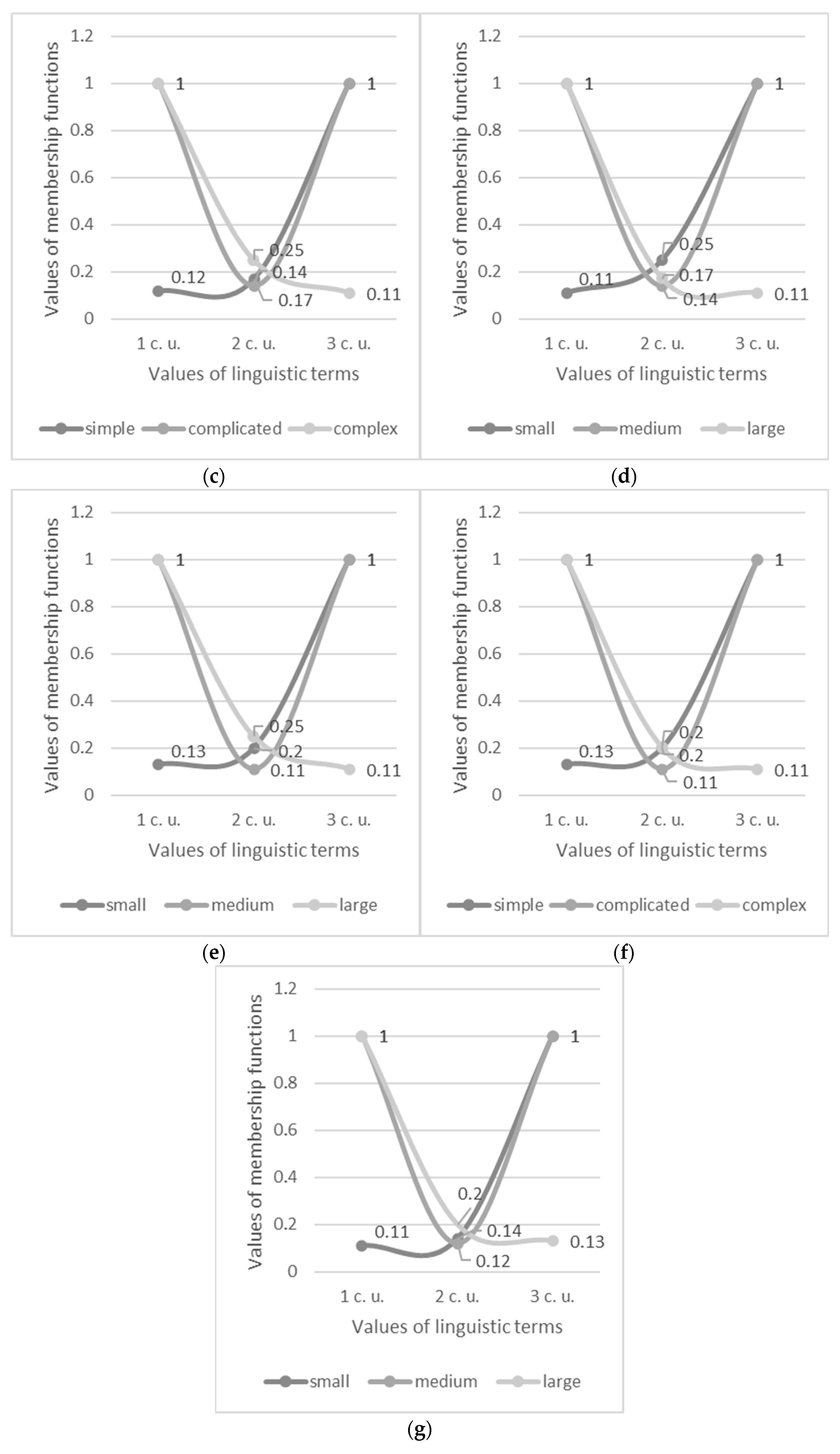
For the defuzzification of the fuzzy set, the membership function graphs are constructed (Figure 2).

Figure 2.
Membership functions of term-sets: (a) Edition format; (b) Edition type; (c) Edition volume; (d) Layout; (e) Proofreading; (f) Illustrative and multimedia design; (g) Typographic design.
The values of the terms are substituted into fuzzy logic equations and specific numerical values are obtained. For example, the indicators at the third division point of the universal set of values are taken and the following results are obtained:
Obtained .
The quality of the multimedia publication is predicted based on the center of gravity principle (15). The calculation was performed according to expression (16). For the selected input parameters, is obtained at and interval values of 1%, 50%, 100%.
Based on the conducted experiment, a model for the predictive quality assessment of educational multimedia editions is constructed (Figure 3), which contains two main stages: fuzzification, i.e., the transformation of a clear set into a fuzzy one, and the reverse process—defuzzification. According to this model, the software product “MEQuality” is developed to determine the integral quality indicator of educational multimedia editions based on the data entered by the user (Figure 4). For the example, all maximum values are selected in conventional units. The application is developed using advanced web development technologies, including React, JavaScript (ES6+), JSX, NPM, Webpack, Babel to ensure efficient operation and scalability. This software will be an effective tool for developers and other professionals who make decisions in the context of performing technological operations aimed at creating the multimedia edition design.
Figure 3.
A model for the predictive quality assessment of educational multimedia editions.
Figure 4.
A fuzzy system for the quality assessment of educational multimedia editions.
Examples of the results obtained from the use of the proposed fuzzy system are presented in the form of a histogram of design quality indicators of the analyzed educational multimedia editions (Figure 5).
Figure 5.
Histogram of the obtained quality indicators of educational multimedia editions.
It should be noted that the quality of multimedia editions depends on many criteria, some of which are subjective in nature and have fuzzy characteristics. The complexity of formalization into clear mathematical models has led to the use of methods and tools of fuzzy logic. Fuzzy systems allow the implementation of expert knowledge in the form of “if-then” rules, which allows taking into account the subjective assessment inherent in the analysis of aesthetic, functional and ergonomic characteristics.
5. Discussion
Educational multimedia editions are an important tool in modern education, which contribute to increasing the efficiency of the educational process and developing skills for independent information processing [38,39,40]. Multimedia data activate several channels of perception simultaneously, which significantly improve memorization and understanding of the material. In addition, the integration of theoretical knowledge with practical tasks meets the requirements of the modern educational environment, focused on a competency-based approach.
The developed fuzzy system for the quality assessment of educational multimedia editions allows determining an integral quality indicator based on input parameters specified by the user. In addition, there is the possibility of a variable selection of values for adjusting the predicted indicator. A significant advantage is the specification of input parameters in conventional units, depending on the complexity of a certain operation or the data volume. For example, the user can independently determine how difficult the process of layout or proofreading a particular edition is for his team. Alternatively, how large the volume of illustrative or multimedia content is in terms of the number of specialists involved in its processing. This allows for a high level of system adaptability to changes in requirements or analysis conditions. Accordingly, during the design process, the team leader can make informed management decisions to obtain a product of proper quality.
For this purpose, a model of predictive quality assessment of educational multimedia editions is developed, which involves performing fuzzification and defuzzification. Fuzzification consists of replacing the concepts of a clear set with concepts of a fuzzy set. For this purpose, the process of creating a design of a multimedia edition is represented by a function, the arguments of which are linguistic variables selected on the basis of the expert evaluation. The predicted integral indicator is expressed through partial indicators that represent the essence of the quality of multimedia editions: the quality of the output data, the quality of the edition processing, the quality of the edition design. A detailed description of linguistic variables is carried out by isolating universal sets of values and the corresponding linguistic terms (Table 2). The results obtained are presented in a multi-level model of fuzzy logical inference (Figure 1), which contributes to the consistent establishment of the predictive quality of the multimedia edition design by accumulating knowledge from the lowest to the highest of its levels. The values of the membership functions for each term of linguistic variables are determined and normalized relative to the unit, which make it possible to form fuzzy sets according to the formula (8). Fuzzy knowledge bases, knowledge matrices and fuzzy logic equations are formed for partial quality indicators, and for the highest level—“quality of multimedia edition”. This becomes the basis for defuzzification—the reverse process of fuzzification. The values of the terms are substituted into fuzzy logic equations and an integral quality indicator of educational multimedia editions is determined according to expression (16).
The main restrictions of the developed software product are that the user does not have the ability to add linguistic variables or change the value of the universal set. This is due to the complexity and clarity of the algorithm for determining the integral quality indicator. In addition, the sets of possible parameters are determined by experts in this subject area, which provides a theoretically sound result.
The most common alternative approach to the quality assessment of processes is the use of machine learning methods. However, machine learning methods may require significant amounts of data for training and fine-tuning hyper-parameters. In contrast, fuzzy systems are able to work in conditions of limited training samples and in the absence of clearly defined dependencies. The study [32] is interesting from the point of view of comparing methods as it proposes two different approaches to finding the optimal solution: using fuzzy logic methods and tools and using machine learning methods. The results and discussion demonstrate that both approaches offer optimal solutions. Therefore, taking into account the advantages of fuzzy logic, this approach is selected for our study.
Similar approaches to fuzzification and defuzzification are applied in the study [23], which confirms the scientific validity of the methods used. Fuzzy logic allows one to take into account subjective factors and work with incomplete data. This approach has significant potential in many areas. For example, in [16], fuzzy logic is used to improve the quality of service in cyber-physical systems. In [19], the use of fuzzy logic in social sciences is considered, which demonstrates its wide application and confirms the efficiency of the proposed approach. This allows the authors of this paper to evaluate the results of their study and confirm the correctness of the methods used.
The results of this study can be used to support management decision-making regarding the selection of technological parameters and procedures for creating educational multimedia editions. This will contribute to increasing the overall efficiency of the educational process through the use of advanced educational resources, which will ensure the improved interaction between participants in the educational environment. The prospect of further research is associated with the integration of artificial intelligence for automatic updating of the knowledge base based on the analysis of new data and trends in multimedia editions and expanding the system through the introduction of additional (optional) criteria.
6. Conclusions
Based on the expert evaluation, partial indicators of the formation of the quality of educational multimedia editions are identified, and the corresponding linguistic variables are described. A model for the formation of a comprehensive quality indicator for educational multimedia editions is developed.
The values of the membership functions of linguistic variables are obtained by calculating the pairwise comparison matrices for each linguistic variable and its corresponding term-set of values. The terms of linguistic variables are represented by fuzzy sets.
Fuzzy knowledge bases are formed centered on the expert judgments regarding the influence of the selected factors on the quality of the educational multimedia edition design, which reproduce the algorithm for achieving the predicted quality of the technological process under study. Fuzzy logic equations are constructed in accordance with the formed knowledge matrices.
A specific numerical value of the quality assessment of a multimedia edition is obtained by defuzzification of fuzzy sets according to the center of gravity principle. The integral quality indicator for the selected input parameters is at the maximum value 100%. A methodology for assessing the quality of educational multimedia editions has been developed.
A new approach to the quality assessment of multimedia editions based on fuzzy logic methods and tools is proposed. A fuzzy system for the quality assessment of educational multimedia editions is developed based on a model of predictive quality assessment and mathematical operations performed. This application is intended for the predictive quality assessment of multimedia editions based on the values of input parameters selected by the user from the proposed sets. Examples of the results of the implementation of the software solution for assessing the quality of multimedia editions are presented. As a result of calculations, the system demonstrates a specific numerical value of the integral quality indicator, expressed in percentages. The developed software will provide a theoretical and practical basis for informed decision-making in the context of performing technological operations aimed at creating the design of multimedia editions. This will contribute to a consistent and balanced determination of optimal parameters. Improving the quality of multimedia educational materials will contribute to increasing the efficiency of the educational process.
Author Contributions
Conceptualization, V.S. and A.K.; methodology, V.S. and L.S.; software, A.K. and I.P.; validation, I.P., N.L. and L.S.; formal analysis, N.L.; investigation, L.S.; resources, I.P.; data curation, N.L.; writing—original draft preparation, A.K.; writing—review and editing, L.S., N.L. and V.S.; visualization, A.K. and I.P.; supervision, I.P.; project administration, I.P.; funding acquisition, N.L. All authors have read and agreed to the published version of the manuscript.
Funding
This research received no external funding.
Institutional Review Board Statement
Not applicable.
Informed Consent Statement
Not applicable.
Data Availability Statement
The raw data supporting the conclusions of this article will be made available by the authors on request.
Conflicts of Interest
The authors declare no conflicts of interest.
References
- Nagaraj, A.; Reimers, I. Digitization and the demand for physical works: Evidence from the Google Books project. SSRN -Soc. Sci. Res. Netw. 2021, 3339524. [Google Scholar] [CrossRef]
- Onyejelem, T.E.; Aondover, E.M. Digital generative multimedia tool theory (DGMTT): A theoretical postulation. Journalism 2024, 14, 189–204. [Google Scholar] [CrossRef]
- Choudhury, A.; Roychowdhury, S.; Singh, B.K.; Singh, T.P. Introduction to digital society: An overview. In Evolution of Digitized Societies Through Advanced Technologies; Springer: Singapore, 2022; pp. 1–6. [Google Scholar] [CrossRef]
- Kumala, F.N.; Ghufron, A.; Astuti, P.P.; Crismonika, M.; Hudha, M.N.; Nita, C.I.R. MDLC model for developing multimedia e-learning on energy concept for primary school students. J. Phys. Conf. Ser. 2021, 1869, 012068. [Google Scholar] [CrossRef]
- Eyrikh, N.; Zholdosheva, A.; Shakeeva, C.; Gorbunova, T.; Bazhenov, R. The efficiency of multimedia technologies utilized in studying Mathematics course in the fields of Engineering. J. Phys. Conf. Ser. 2022, 2193, 012083. [Google Scholar] [CrossRef]
- Fauzi, A. Practicality of the interactive multimedia development integrated science with inquiry based learning model of simple machine themes on human muscular and skeleton system integrated 21st century learning. J. Phys. Conf. Ser. 2021, 1876, 012053. [Google Scholar] [CrossRef]
- Bian, J.; Ji, Y. Research on the teaching of visual communication design based on digital technology. Wirel. Commun. Mob. Comput. 2021, 2021, 8304861. [Google Scholar] [CrossRef]
- Ozilgen, S.; Yalcin, S.; Aktuna, M.; Baylan, Y.; Ates, H. From kitchen to climate: Multimedia interventions on social media as science tools for sustainability communication among food business actors. Int. J. Sustain. High. Educ. 2024. ahead-of-print. [Google Scholar] [CrossRef]
- Onu, P.; Pradhan, A.; Mbohwa, C. Potential to use metaverse for future teaching and learning. Educ. Inf. Technol. 2024, 29, 8893–8924. [Google Scholar] [CrossRef]
- Manoharan, G.; Razak, A.; Rajchandar, K.; Nithya, G.; Durai, S.; Ashtikar, S.P. Digital learning for professional development in varied fields of service sectors: Embracing technological advancements. In Embracing Technological Advancements for Lifelong Learning; IGI Global Scientific Publishing: Hershey, PA, USA, 2024; pp. 111–137. [Google Scholar] [CrossRef]
- Kudriashova, A.; Pikh, I.; Senkivskyy, V.; Merenych, Y. Evaluation of prototyping methods for interactive virtual systems based on fuzzy preference relation. East.-Eur. J. Enterp. Technol. 2024, 5, 71–81. [Google Scholar] [CrossRef]
- Zatserkovnyi, R.; Senkivskyi, V.; Zatserkovna, R.; Maik, V. Application for determining the usability of adapted textbooks by people with low vision 2023. In Proceedings of the IEEE 18th International Conference on Computer Science and Information Technologies (CSIT), Lviv, Ukraine, 19–21 October 2023; pp. 1–4. [Google Scholar] [CrossRef]
- Senkivskyy, V.; Pikh, I.; Babichev, S.; Kudriashova, A.; Senkivska, N. Modeling of alternatives and defining the best options for websites design. In Proceedings of the 2nd International Workshop on Intelligent Information Technologies and Systems of Information Security, Khmelnytskyi, Ukraine, 24–26 March 2021; pp. 259–270. Available online: https://ceur-ws.org/Vol-2853/paper24.pdf (accessed on 1 April 2025).
- Fyfield, M.; Henderson, M.; Phillips, M. Improving instructional video design: A systematic review. Australas. J. Educ. Technol. 2022, 38, 155–183. [Google Scholar] [CrossRef]
- Zhang, L.; Carter, R.A.; Greene, J.A.; Bernacki, M.L. Unraveling challenges with the implementation of universal design for learning: A systematic literature review. Educ. Psychol. Rev. 2024, 36, 35. [Google Scholar] [CrossRef]
- Hasan, N.; Mishra, A.; Ray, A.K. Fuzzy logic based cross-layer design to improve Quality of Service in Mobile ad-hoc networks for Next-gen Cyber Physical System. Eng. Sci. Technol. Int. J. 2022, 35, 101099. [Google Scholar] [CrossRef]
- Senkivskyi, V.; Kudriashova, A.; Pikh, I.; Hileta, I.; Lytovchenko, O. Models of postpress processes designing. In Proceedings of the 1st International Workshop on Digital Content & Smart Multimedia, DCSMart 2019, Lviv, Ukraine, 23–25 December 2019; pp. 259–270. Available online: https://ceur-ws.org/Vol-2533/paper24.pdf (accessed on 1 April 2025).
- Senkivskyy, V.; Babichev, S.; Pikh, I.; Kudriashova, A.; Senkivska, N.; Kalynii, I. Forecasting the reader’s demand level based on factors of interest in the book. In Proceedings of the CIT-Risk’2021: 2nd International Workshop on Computational & Information Technologies for Risk-Informed Systems, Kherson, Ukraine, 16–17 September 2021; pp. 176–191. Available online: https://ceur-ws.org/Vol-3101/Paper12.pdf (accessed on 1 April 2025).
- García-Pardo, F.; Bárcena-Martín, E. Fuzzy logic approach in the social sciences. In Encyclopedia of Quality of Life and Well-Being Research; Springer International Publishing: Cham, Switzerland, 2024; pp. 2629–2634. [Google Scholar] [CrossRef]
- Senkivskyy, V.; Pikh, I.; Havenko, S.; Babichev, S. A model of logical inference and membership functions of factors for the printing process quality formation. In Lecture Notesin Computational Intelligence and Decision Making, Proceedings of the XV International Scientifi Conference ISDMCI’2019, Zalizniy Port, Ukraine, 21–25 May 2019; Springer: Cham, Switzerland, 2019; pp. 609–621. [Google Scholar] [CrossRef]
- Yang, H.; Jiang, P.; Wang, Y.; Li, H. A fuzzy intelligent forecasting system based on combined fuzzification strategy and improved optimization algorithm for renewable energy power generation. Appl. Energy 2022, 325, 119849. [Google Scholar] [CrossRef]
- Tabakov, M.; Chlopowiec, A.; Chlopowiec, A.; Dlubak, A. Classification with fuzzification optimization combining fuzzy information systems and type-2 fuzzy inference. Appl. Sci. 2021, 11, 3484. [Google Scholar] [CrossRef]
- Mitsuishi, T. Definition of centroid method as defuzzification. Formaliz. Math. 2022, 30, 125–134. [Google Scholar] [CrossRef]
- Chi, S.Y.; Chien, L.H. Why defuzzification matters: An empirical study of fresh fruit supply chain management. Eur. J. Oper. Res. 2023, 311, 648–659. [Google Scholar] [CrossRef]
- Herianto, I.; Wilujeng, D.P. Lestari. Effect of interactive multimedia e-books on lower-secondary school students’ curiosity in a Science course. Educ. Inf. Technol. 2022, 27, 9619–9639. [Google Scholar] [CrossRef]
- Susilawati, E.; Johari, A.; Marzal, J.; Anggereini, E. Effects of multimedia e-books and augmented reality on knowledge and skills of health sciences students: A systematic review. J. Client-Centered Nurs. Care 2022, 8, 99–110. [Google Scholar] [CrossRef]
- Li, X.; Bus, A.G. Efficacy of digital picture book enhancements grounded in multimedia learning principles: Dependent on age. Learn. Instr. 2023, 85, 101749. [Google Scholar] [CrossRef]
- Wong, R.M.; Adesope, O.O. Meta-analysis of emotional designs in multimedia learning: A replication and extension study. Educ. Psychol. Rev. 2021, 33, 357–385. [Google Scholar] [CrossRef]
- Rice, C.; LaMarre, A.; Changfoot, N.; Douglas, P. Making spaces: Multimedia storytelling as reflexive, creative praxis. Qual. Res. Psychol. 2018, 17, 222–239. [Google Scholar] [CrossRef]
- Deldjoo, Y.; Schedl, M.; Cremonesi, P.; Pasi, G. Recommender systems leveraging multimedia content. ACM Comput. Surv. 2020, 53, 1–38. [Google Scholar] [CrossRef]
- Cervero, A.; Castro-Lopez, A.; Álvarez-Blanco, L.; Esteban, M.; Bernardo, A. Evaluation of educational quality performance on virtual campuses using fuzzy inference systems. PLoS ONE 2020, 15, e0232802. [Google Scholar] [CrossRef] [PubMed]
- Parkavi, R.; Karthikeyan, P.; Sheik Abdullah, A. Predicting academic performance of learners with the three domains of learning data using neuro-fuzzy model and machine learning algorithms. J. Eng. Res. 2024, 12, 397–411. [Google Scholar] [CrossRef]
- Peckol, J. Introduction to Fuzzy Logic; John Wiley & Sons: Hoboken, NJ, USA, 2021; Available online: https://www.perlego.com/book/2800462/introduction-to-fuzzy-logic-pdf (accessed on 1 April 2025).
- Muhammad, K.; Obaidat, M.S.; Hussain, T.; Ser, J.D.; Kumar, N.; Tanveer, M.; Doctor, F. Fuzzy logic in surveillance big video data analysis: Comprehensive review, challenges, and research directions. ACM Comput. Surv. (CSUR) 2021, 54, 1–33. [Google Scholar] [CrossRef]
- Chonghui, Z.; Dong, X.; Zeng, S.; Carlos, L.A. Dual consistency-driven group decision making method based on fuzzy preference relation. Expert Syst. Appl. 2024, 238, 122228. [Google Scholar] [CrossRef]
- Reghis, M.S.; Roventa, E. Classical and Fuzzy Concepts in Mathematical Logic and Applications, Professional Version; CRC Press: Hoboken, NJ, USA, 2022. [Google Scholar] [CrossRef]
- Harnpornchai, N.; Wonggattaleekam, W. An application of neutrosophic set to relative importance assignment in AHP. Mathematics 2021, 9, 2636. [Google Scholar] [CrossRef]
- Abdulrahaman, M.D.; Faruk, N.; Oloyede, A.A.; Surajudeen-Bakinde, N.T.; Olawoyin, L.A.; Mejabi, O.V.; Imam-Fulani, Y.O.; Fahm, A.O.; Azeez, A.L. Multimedia tools in the teaching and learning processes: A systematic review. Heliyon 2020, 6, e05312. [Google Scholar] [CrossRef]
- Vagg, T.; Balta, J.Y.; Bolger, A.; Lone, M. Multimedia in education: What do the students think? Health Prof. Educ. 2020, 6, 325–333. [Google Scholar] [CrossRef]
- Juraeva, N.O. Evaluation of efficiency in the organization of self-study with the assistance of digital educational tools from mathematics to statistics. AIP Conf. Proc. 2025, 3268, 070028. [Google Scholar] [CrossRef]
Disclaimer/Publisher’s Note: The statements, opinions and data contained in all publications are solely those of the individual author(s) and contributor(s) and not of MDPI and/or the editor(s). MDPI and/or the editor(s) disclaim responsibility for any injury to people or property resulting from any ideas, methods, instructions or products referred to in the content. |
© 2025 by the authors. Licensee MDPI, Basel, Switzerland. This article is an open access article distributed under the terms and conditions of the Creative Commons Attribution (CC BY) license (https://creativecommons.org/licenses/by/4.0/).