Next Article in Journal
Internal Backpressure for Onboard Crosspoint-Buffered Switches with Port Multiplexing
Previous Article in Journal
Fusion Classification Method Based on Audiovisual Information Processing
 
 
Font Type:
Arial Georgia Verdana
Font Size:
Aa Aa Aa
Line Spacing:
Column Width:
Background:
Article

Research on the Thrust Allocation Method for Straight-Line Sailing of Multiple AUVs in Tandem Connection

1
College of Physics, Liaoning University, Shenyang 110036, China
2
College of Information and Electrical Engineering, Shenyang Agricultural University, Shenyang 110866, China
3
College of Mechanical and Electrical Engineering, Beijing University of Chemical Technology, Beijing 100029, China
*
Author to whom correspondence should be addressed.
Appl. Sci. 2025, 15(8), 4106; https://doi.org/10.3390/app15084106
Submission received: 6 February 2025 / Revised: 3 April 2025 / Accepted: 5 April 2025 / Published: 8 April 2025
(This article belongs to the Section Marine Science and Engineering)

Abstract

The relative motion and coupled dynamics between individual units in a Multiple AUVs in Tandem Connection (MATC) system make speed and inter-unit distance control particularly challenging, especially in large-scale configurations. This study proposes a novel hybrid thrust allocation method for steady straight-line sailing in MATC systems, addressing thrust constraints and unit coordination. First, the motion model of the MATC system was established based on Newton’s second law. Second, an improved Genetic Algorithm (GA) was developed to optimize thrust values for each unit in smaller configurations. Third, to address the computational challenges of thrust allocation in large MATC systems, an offline model training method was introduced, combining the Harris Hawks Optimization (HHO) algorithm with a BP neural network. Simulations were conducted for MATC configurations with 5 and 30 AUV units. The results demonstrate that, under current disturbances, the inter-unit distances and overall speed for the 5-unit MATC system quickly converged to target values of 0.12 m and 1.5 knots, respectively, without exceeding the 3.5 N thrust constraint. For the 30-unit MATC system, the proposed method achieved rapid convergence to target values, with a 56% reduction in straight-line speed deviation compared to using the improved GA alone. These findings validate the effectiveness of the proposed approach in enhancing control accuracy and scalability in MATC systems, offering significant potential for large-scale underwater applications.

1. Introduction

With the growing demand for unmanned underwater operations, autonomous underwater vehicles (AUVs) have been widely utilized in fields such as underwater exploration, environmental monitoring, energy extraction, and marine research [1,2,3]. However, the limitations of traditional single-body AUVs have become increasingly evident in deep-sea or complex environments, highlighting the urgent need for multi-body collaborative systems with greater payload capacity and higher adaptability. As an innovative platform, the Multiple AUVs in Tandem Connection (MATC) system utilizes a modular design and distributed task allocation, enabling the system to flexibly adjust the number of units and their functional distribution based on mission requirements [4]. This approach offers greater flexibility and scalability compared to traditional AUVs, making it well-suited for challenging underwater operations.
The MATC system comprises multiple interconnected AUV units, each independently capable of carrying sensors, payloads, or other equipment required for specific tasks, thereby enhancing flexibility and payload capacity. Additionally, tandem underwater vehicles offer significant advantages in terms of system fault tolerance [5], maneuverability [6,7], as well as navigation and positioning [8]. Compared to traditional single-body AUVs, the MATC system demonstrates superior task adaptability, allowing for expansion and adjustments to suit various application scenarios. For example, in underwater exploration or environmental monitoring missions, the arrangement and operational modes of the AUVs can be customized to meet specific mission requirements and environmental conditions.
Due to the interconnected nature of multiple AUV units, the MATC system exhibits the characteristics of a distributed thrust system in its design [9]. The propellers of each AUV unit, typically located on both sides, work together to propel the entire system forward. Furthermore, the MATC system often incorporates flexible components, such as extendable springs, to minimize rigid collisions between units. Accurately controlling the relative displacement between units and ensuring stable straight-line motion of the entire system are critical for the successful execution of MATC system missions.
However, due to the distributed nature of the system’s propulsion, the relative motion and coupled dynamic effects between units make both overall speed control and inter-unit distance management particularly complex. The relative displacement between units not only impacts the system’s stability but also increases the risk of collisions and deviations from the planned trajectory, especially in high-speed or complex underwater environments. Ensuring steady straight-line motion thus becomes a significant challenge. Moreover, as the number of units’ increases, conventional thrust allocation methods lack the real-time efficiency needed for large-scale systems, highlighting the necessity of improving the efficiency of online thrust allocation methods.
While advancements in thrust allocation methods for distributed propulsion platforms, such as land trains, have been well-documented, to the best of our knowledge, no existing literature directly addresses the specific challenges of thrust allocation in multi-AUV systems with varying unit numbers and dynamic constraints. Land trains provide a representative example of distributed propulsion platforms. With advancements in control theory, thrust allocation methods for land trains have evolved over time. These methods primarily include optimal control [10], fuzzy control [11], adaptive control [12], and data-driven control [13]. For instance, Liu et al. developed a cooperative model predictive control (CMPC) strategy incorporating a multi-objective rolling optimization scheme [14]. Key optimization objectives included maximizing overall line capacity, minimizing energy consumption, and enhancing ride comfort for train platoons operating within the railway section. To address the multi-mode operating characteristics of trains, such as acceleration, deceleration, and constant speed, Dong et al. successfully improved train operational efficiency and safety through fuzzy control [15]. To overcome challenges related to high-precision speed tracking under uncertainties in train parameters and external resistance, Song et al. proposed a robust adaptive control algorithm [16]. Additionally, Cheng et al. developed a data-driven thrust allocation method that simultaneously ensures the tracking safety of multiple trains and the operational efficiency of individual trains [17]. However, most existing thrust allocation methods for land trains do not consider thrust constraints, making them unsuitable for direct application to the steady control of MATC systems. Furthermore, current models of tandem underwater vehicles are relatively simple, with fewer platform thrust units, and existing research has primarily focused on attitude control rather than thrust allocation for steady sailing.
AUV units in MATC systems face significant challenges due to thrust input saturation and uncertain ocean current disturbances [18], which complicate effective thrust allocation. The key innovation of this study lies in its hybrid approach to thrust allocation in MATC systems. For smaller systems with thrust constraints, an improved Genetic Algorithm (GA) is introduced, specifically designed to account for constraint conditions, ensuring precise and feasible solutions [19,20]. For larger systems, the Harris Hawks Optimization (HHO)+BP algorithm is employed, enabling efficient offline thrust allocation and significantly reducing computational overhead for real-time implementation. The advancements of this study lie in the development of the hybrid approach that effectively addresses both discrete and continuous optimization problems in thrust allocation for MATC systems. This method demonstrates remarkable scalability, seamlessly adapting to systems with varying numbers of units, from small configurations to large-scale setups.
In certain practical application scenarios, such as fixed-altitude seabed exploration, the motion of the MATC system is primarily confined to the horizontal plane, where the effects of vertical motion are minimal. In addition, by simplifying the model to concentrate on horizontal dynamics, we can more effectively analyze how thrust allocation influences system speed and inter-unit distance. Therefore, this study focuses on controlling straight-line motion within a two-dimensional horizontal plane.
This study not only provides a novel solution to the steady straight-line sailing challenge in MATC systems but also establishes a theoretical foundation for multi-body coordination control in complex underwater environments. The successful application of this method paves the way for the broader deployment of multi-body vehicles in future deep-sea exploration, environmental monitoring, and other underwater tasks, offering substantial academic and practical significance.

2. System Modeling of MATC

To achieve steady straight-line sailing in an MATC system, the first step is to establish a dynamic model of the system. Force analysis, as the foundation of system modeling, plays a critical role in understanding and designing the system. By conducting a thorough force analysis, the interactions and effects of various forces acting on each AUV unit during its movement in water can be identified, providing a theoretical basis for subsequent dynamic modeling and control strategy development. Steady straight-line sailing refers to the entire MATC system moving in a straight line at a constant speed while maintaining stable relative distances between the AUV units. Achieving this requires applying appropriate thrust to each AUV unit, ensuring the system moves uniformly and that the inter-unit distances remain within the desired range. This balance is essential for the stability and efficiency of the MATC system during its operations.
For the purposes of analysis, the following assumptions are made. The shape, center of mass, center of buoyancy, and thrust position of each AUV unit in the MATC system are identical. The initial state assumes that the gravitational force is equal to the buoyant force. The vertical motion is neglected, and the MATC system maintains horizontal straight-line motion during operation. The gravitational and buoyant forces of the inter-unit connection structure are negligible. The relationship between spring deformation and the force between units is accurately described. The thrust applied to each side of the units is synchronized and equal in magnitude. The distances between units are equal when the springs are undeformed. The thrust direction of each unit is forward, and all units share identical performance characteristics. These assumptions simplify the analysis while providing a foundation for the dynamic modeling and control strategy development.
The MATC system is subject to several interconnected forces during straight-line sailing. These forces include thrust, drag, and reactive forces from adjacent units. The thrust is generated by the propellers on both sides of each AUV unit. The drag is caused by fluid resistance. To simplify the coupling effects between units, it is assumed that the reaction forces are caused by spring deformation. Figure 1 shows an MATC system composed of three AUV units.
Figure 2 shows a schematic of the forces acting on the MATC system. In this figure: n represents the number of AUV units in the MATC system; L a represents the length of each AUV unit; u i , l i , and r i represent the total thrust, the left thrust, and the right thrust of the i -th unit, respectively; w i represents the fluid drag acting on the i -th unit; f i ( i + 1 ) represents the reactive force that unit i exerts on unit j , and f ( i + 1 ) i represents the reactive force that unit j exerts on unit i . During straight-line sailing, the following relations are satisfied: l i = r i ; u i = l i + r i .
Based on Newton’s second law, the dynamic equations for each AUV unit are as follows:
m 1 v ˙ 1 = u 1 w 1 f 21 m i v ˙ i = u i w i + f i 1 i f i + 1 i , i = 2 , , n 1                         m n v ˙ n = u n w n + f n 1 n                
where m i , v i , and v ˙ i represent the mass, velocity, and acceleration of the i -th unit, respectively.
If the spring coefficient between units is h i ( i + 1 ) , the above equation can be rewritten as:
m 1 v ˙ 1 = u 1 w 1 h 12 x 12 L b m i v ˙ i = u i w i + h i 1 i x i 1 i L b h i i + 1 x i i + 1 L b , i = 2 , , n 1 m n v ˙ n = u n w n + h n 1 n x n 1 n L b
where x i ( i + 1 ) and L b represent the current distance and the target distance between the i -th unit and its adjacent unit, respectively. ( x ( i 1 ) i L b ) 0 and x i 1 i L b > 0 are correspond to the compression and elongation states of the spring, respectively.

3. Materials

3.1. Operations of the GA

The GA is an optimization technique inspired by the principles of natural selection and genetics. It seeks approximate or optimal solutions by simulating evolutionary processes such as selection, crossover, and mutation. GAs offer several key advantages. First, they have strong global optimization capabilities, allowing them to avoid local optima and explore a broader solution space. Second, GAs are highly adaptable, capable of solving complex, nonlinear, and multi-modal optimization problems without the need for extensive prior knowledge. They are also well-suited for parallel processing, enabling the simultaneous exploration of multiple solutions. Additionally, GAs are flexible and can be combined with other optimization techniques to address more complex challenges. These attributes make GAs highly effective for a wide range of optimization tasks.
The operations of the GA primarily include the following steps [21]. (1) Initialization: A set of possible solutions is randomly generated as the initial population. Each individual (solution) is typically represented by a code, such as a binary string. (2) Selection: Individuals are selected based on their fitness. The goal of selection is to retain the best genes and improve the search efficiency of the algorithm. (3) Crossover: One or more offspring are generated from two parent individuals, typically by exchanging parts of their genes. This operation simulates biological reproduction and helps explore the solution space. (4) Mutation: A small, random change is made to an individual’s genes, such as flipping certain bits in a binary encoding. Mutation simulates genetic mutations in nature and helps explore new areas of the solution space. (5) Fitness Evaluation: Each individual’s fitness value is calculated based on the objective function. The fitness value reflects how well the individual solves the problem, often corresponding to the objective function value in optimization problems. (6) Replacement: The newly generated offspring are replaced by individuals in the current population. Replacement strategies affect the population’s diversity and the algorithm’s convergence speed. (7) Termination Condition: The algorithm terminates when certain conditions are met, such as reaching the maximum number of iterations, finding a solution that satisfies the desired accuracy, or when the population’s fitness changes very little.
GA uses selection, crossover, and mutation to filter individuals, retaining those with high fitness values to form new generations. The new generation inherits information from the previous generation but is improved. As the process continues, the fitness of individuals in the population increases until a stopping condition is satisfied. The fitness function serves as the basis for selection in GA, and its formulation directly influences the convergence speed and the quality of the solution.
The selection, crossover, and mutation processes for the MATC system thrust allocation using the GA are as follows:
(1) Selection: A random sampling selection operator is used to select individuals with higher fitness values from a randomly generated thrust allocation population, forming a new thrust allocation population with a higher probability.
(2) Crossover: A single-point crossover operator is used. A crossover point is randomly selected from the binary-encoded thrust allocation population obtained through the selection process, and the binary encodings are exchanged to form the next generation of thrust allocation individuals.
(3) Mutation: A bit-flip mutation operator is used. Random mutation positions are selected from the binary-encoded thrust allocation population obtained after crossover, and the selected bit is flipped to generate the next generation of thrust allocation individuals.

3.2. Objective Function Formulation

In the MATC system, stable straight-line sailing is essential for the successful completion of the mission. To ensure stable operation in complex underwater environments, precise control over the motion of each AUV unit is necessary. During the control process, the formulation of the objective function plays a crucial role. The objective function not only quantifies the system’s performance but also provides a basis for solving optimization problems. In the formulation of the objective function, quadratic objective functions are widely used for such problems due to their excellent mathematical properties, simplicity in solving, and extensive practical applications [22,23].
The core requirement for stable straight-line sailing is that the MATC system must maintain a constant speed while the AUV units uphold the ideal distance between them. To achieve this, it is necessary to allocate the thrust of each AUV appropriately and optimize the system to ensure that the overall speed and inter-unit distances meet the preset requirements. The design of the objective function should be closely aligned with these two key factors.
An important goal of the MATC system is to ensure that the distance between each unit remains within the ideal range at all times. This not only ensures the stability of the multi-body AUV system during sailing but also prevents collisions or inefficiencies caused by the units being too close or too far apart. To achieve this goal, the objective function must include a control term for the distance between units. Specifically, the objective function should have a distance deviation term, which represents the difference between the actual distance and the ideal distance. To prevent excessive distance deviations, the objective function applies a weighted penalty to the distance difference using a weighting factor. The magnitude of the weighting factor can be adjusted according to the system’s tolerance, ensuring that the distance control precision meets the desired requirements during the optimization process.
Another goal of the MATC system is to achieve uniform motion of the entire system, avoiding fluctuations in speed during operation. To accomplish this, the objective function must include a term for the overall speed deviation, which measures the difference between the actual speed and the target speed during each optimization cycle. Specifically, if there is a large deviation between the actual overall speed and the target speed within a given cycle, it indicates that the thrust allocation for that cycle is not suitable and needs to be adjusted by the optimization algorithm to achieve the target speed. Therefore, the objective function should include an overall speed deviation term. To prevent excessive fluctuations in speed control, the objective function applies a penalty to the overall speed deviation, encouraging the optimization process to minimize this difference.
Hence, the objective function is defined as follows:
      J a = α i = 1 n 1 x ~ i i + 1 L b 2 + β v ~ p v o 2
where x ~ i ( i + 1 ) and L b represent the actual inter-unit distance and the ideal inter-unit distance after one cycle of thrust allocation, respectively; v ~ p and v o represent the actual overall speed and the target overall speed after one cycle of thrust allocation, respectively; α and β are the weighting factors for the distance deviation and the overall speed deviation, respectively.
By carefully designing the weighting factors, the priorities of these two key factors can be balanced. In practical applications, the selection of the inter-unit distance deviation weighting factor and the overall speed deviation weighting factor will directly affect the optimization results. If the system has a higher precision requirement for speed, the weighting factor for overall speed deviation can be increased, making the optimization process focus more on controlling the overall speed. Conversely, if the system is more sensitive to the distance between AUV units, the weighting factor for distance deviation can be increased, prompting the optimization algorithm to prioritize maintaining the inter-unit distances. Therefore, the reasonable design and adjustment of the weighting factors are crucial to the optimization outcome. In practice, these factors typically need to be fine-tuned through simulations and experiments to ensure that the objective function accurately reflects the system’s real-world requirements and achieves optimal optimization results.
The goal of the optimization process is to minimize the value of the objective function J a , meaning that all deviation terms in the objective function should be as close to zero as possible. By minimizing the objective function, the system can ensure that the thrust allocation is optimal for each cycle, satisfying both the overall speed requirement and maintaining the ideal inter-unit distances between the AUV units. Therefore, the core task of the optimization is to appropriately allocate thrust such that, after each execution cycle, the system achieves the following objectives: minimizing the deviation between the actual overall speed and the target overall speed, and minimizing the deviation between the actual AUV inter-unit distances and the ideal distances.
Given the MATC system thrust allocation characteristics, initial state, and target state, the optimization process based on the above objective function can determine the appropriate thrust values for each AUV unit for the next execution cycle.

4. Methods

The number of units in MATC systems is uncertain and depends on mission requirements. When the number of units is small and thrust constraints are present, an improved GA that accounts for constraint conditions can be employed. For larger systems (e.g., 30 units), the HHO+BP algorithm is utilized, enabling efficient offline thrust allocation and significantly reducing computational overhead for real-time implementation. This hybrid approach leverages the strengths of each technique: the GA ensures precision for smaller systems, the HHO handles complexity for larger systems, and the BP neural network reduces computational overhead for real-time implementation. This hybrid approach addresses the limitations of existing methodologies by providing a scalable, computationally efficient, and adaptive solution for both small and large MATC systems.

4.1. Improved GA Considering Thrust Saturation Constraints

In the field of robotics control, thrust saturation constraints refer to the situation where the output of a robot’s thrust system (such as motors or servos) is limited by physical or electrical factors. These constraints are typically expressed as the thrust system’s output being unable to exceed a maximum or minimum value. This is due to physical and electrical limitations in the actual thrusts, such as power, current, and speed, preventing infinite increases in output.
The impacts of thrust saturation constraints include the following aspects: (1) When the thrust reaches saturation, the control system may no longer effectively adjust the robot’s motion, leading to increased control errors, slower system response, or instability; (2) Thrust saturation can lead to system instability, particularly in high-dynamic response applications; (3) When the thrust operates in saturation, its efficiency is typically lower, which can result in energy waste and a decrease in the overall system’s efficiency; (4) To address saturation constraints, the design and tuning of the control system become more complex.
Thrust saturation constraints are a significant issue in robot control, with a notable impact on the performance and stability of the control system. Effectively handling these constraints requires considering the relevant factors during the control system design and employing appropriate control strategies. By optimizing the control method and introducing anti-saturation mechanisms, the negative effects of saturation on system performance can be mitigated. In the MATC system, thrust saturation constraints refer to the maximum thrust each AUV unit can provide.
If the thrust saturation limit for each AUV unit is denoted as T m a x , the thrust assigned to each AUV unit should satisfy the condition: u i T m a x . Since the GA is difficult to deal with the constraints in optimization, it is necessary to convert the constraint into an unconstrained expression. This can be achieved by creating a penalty function that penalizes the thrust allocation results exceeding the saturation limits ( u i > T m a x ), and adding it to the objective function of the GA for thrust optimization. This allows the determination of the actual thrust each AUV unit will use in the next execution cycle.
The penalty function is also formulated in a quadratic form. Considering the minimization optimization approach of the objective function, the specific term can be expressed as follows:
γ i = 1 n max 0 , u i T m a x 2
where γ is the penalty factor.
For this penalty function: when u i T m a x , its value is 0, resulting in no penalty and a smaller objective function value; when u i > T m a x , the value becomes u i T m a x , introducing a penalty and leading to a larger objective function value.
The objective function with the penalty term is expressed as follows:
J a = α i = 1 n 1 x ~ i i + 1 L b 2 + β v ~ p v o 2 + γ i = 1 n max 0 , u i T m a x 2
By introducing the penalty function, the MATC system can effectively address the thrust allocation problem under thrust constraints and uncertain ocean current disturbances, significantly enhancing the reliability of stable straight-line sailing.

4.2. Offline Model Training to Reduce Online Processing Time

When the number of units in the MATC system is larger, the transportation efficiency and load-carrying capacity will be significantly improved. At this point, reducing the system’s online computational load and enabling the method to converge quickly are key to achieving stable straight-line sailing. Offline model training is an effective method to alleviate online computational demands. BP neural networks offer advantages such as strong generalization, high fault tolerance, and simplified models [24,25]. By utilizing the BP neural network model trained offline, the online processing time for stable straight-line sailing can be significantly reduced, thereby greatly lowering the computational complexity of rolling optimization.
The structure of a BP neural network mainly consists of three components: the input layer, hidden layer, and output layer. By collecting a large dataset of thrust allocation, a neural network model can be trained to predict the thrust distribution results. Additionally, the HHO algorithm can be used to optimize the weights and biases of the BP neural network [26,27]. By performing a global search on the weights of the BP neural network, HHO helps avoid the local optima issue often encountered by traditional gradient descent methods, leading to a more optimal network model. HHO not only improves the accuracy of network training but also accelerates the convergence rate. Let u i denote the thrust that the i -th AUV unit is expected to adopt. The thrust allocation result for the MATC system can then be represented as u 1 , u 2 , , u n , where this allocation scheme will be treated as a candidate solution (i.e., the position of the Harris Hawk) in the HHO algorithm. During the iterative process, HHO will apply various position update strategies in an attempt to converge toward the thrust allocation that minimizes the objective function ( J a ).
The offline model training process is as follows.
Initialize the population of Harris Hawks, where each Hawk represents a candidate thrust allocation solution:
U k 0 = u 1 k , u 2 k , , u n k ,                 k = 1,2 , , N
where N is the population size.
Update the positions of the Hawks (i.e., thrust allocation values) at each iteration:
U k t + 1 = U b e s t t Δ E x p l o r a t i o n   p h a s e U p r e y t Δ E x p l o i t a t i o n   p h a s e
where Δ is the adjustment term, calculated based on random jumps or spiral trajectories.
For each iteration, verify whether the updated solution satisfies the constraints (e.g., u i T m a x ). Record the optimal thrust allocation result as:
U b e s t = u 1 , u 2 , , u n b e s t
The system state vector is defined as:
X = v 1 , v 2 , , v n , v p , x 12 , x 23 , , x n 1 n
Combine the system states X with the corresponding optimal thrust allocation U b e s t to form the training dataset:
D = X 1 , U 1 , X 2 , U 2 , , X M , U M
where M is the total number of samples.
Use a BP neural network to establish the nonlinear mapping between system states and thrust allocation:
U = f X ; W , b
where W is the weight matrix, b is the bias vector, f ( ) is the neural network’s mapping function.
The loss function for training is defined as the mean squared error (MSE):
J N N = 1 M i = 1 M U i f X i ; W , b 2
The weights and biases are updated using gradient descent:
W W η J N N W , b b η J N N b
where η is the learning rate.
To avoid local optima in gradient descent, the HHO algorithm is used to optimize the initial weights and biases of the neural network. Define the Hawk’s position as the combination of weights and biases:
P k = W k , b k
Use the neural network loss function J N N as the objective function for HHO and perform global optimization:
P b e s t = a r g   min P k J N N
Through the offline training process, obtain the final neural network model f ( X ) , which is used for real-time thrust allocation prediction in online applications:
U o n l i n e = f X c u r r e n t ; W o p t , b o p t
where W o p t and b o p t are the optimized weights and biases. Figure 3 shows the flowchart of the offline model training process.

5. Results and Discussion

To verify the effectiveness of the proposed thrust allocation method, comprehensive simulation studies were conducted in the MATLAB (R2021a) environment, focusing on two configurations: a 5-unit and a 30-unit MATC system. The parameter values used in the simulations are as follows:
(1) The initial states: u 1 = u 2 = = u 30 = 2   N ; v 1 = v 2 = = v 30 = 1   k n o t ; v p = 1   k n o t ; x 12 = x 23 = = x 2930 = 0.13   m .
(2) The target states: x 12 = x 23 = = x 2930 = L b = 0.12   m ; v o = 1.5   k n o t s .
(3) Parameters of the MATC system: n = 5 or n = 30 ; m 1 = m 2 = = m 30 = 5   k g ; L a = 0.9   m ; w 1 = 2.3   N , w 2 = 2.25   N , w 3 = 2.15   N , w 4 = w 5 = = w 30 = 2.1   N ; h 12 = h 23 = = h 2930 = 25 ; T m a x = 3.5   N .
(4) Parameters of the proposed method: T s = 0.75   s ; Rolling optimization iterations k = 15 ; When using the GA, the sample size N 1 = 500 , the number of replacements N = 15 , the crossover probability p i = 0.5 , the mutation probability p v = 0.02 , the distance deviation weighting factor α = 130 , the overall speed deviation weighting factor β = 110 , and the penalty factor γ = 10000 ; When using the HHO algorithm, the population size N 2 = 20000 , the distance deviation weighting factor α = 190 , the overall speed deviation weighting factor β = 30 , and the penalty factor γ = 10000 ; When using the neural network algorithm, the number of training iterations D = 15000 , and the learning rate σ = 0.01 .
(5) Mathematical description of current disturbances: The disturbance force ( f c ) varies with time and can be expressed as:
f c = 1.35 sin 2 π T s · t

5.1. Verification of the Improved GA’s Ability to Adjust Inter-Unit Distances and Overall Speed

The improved GA significantly enhances the dynamic optimization of thrust allocation in the MATC system. This ensures stable straight-line sailing by adjusting key parameters such as inter-unit distances and overall speed. This section aims to validate the algorithm’s effectiveness in achieving these objectives, highlighting its ability to manage the non-linear dynamics and interactions between the AUV units within the system.
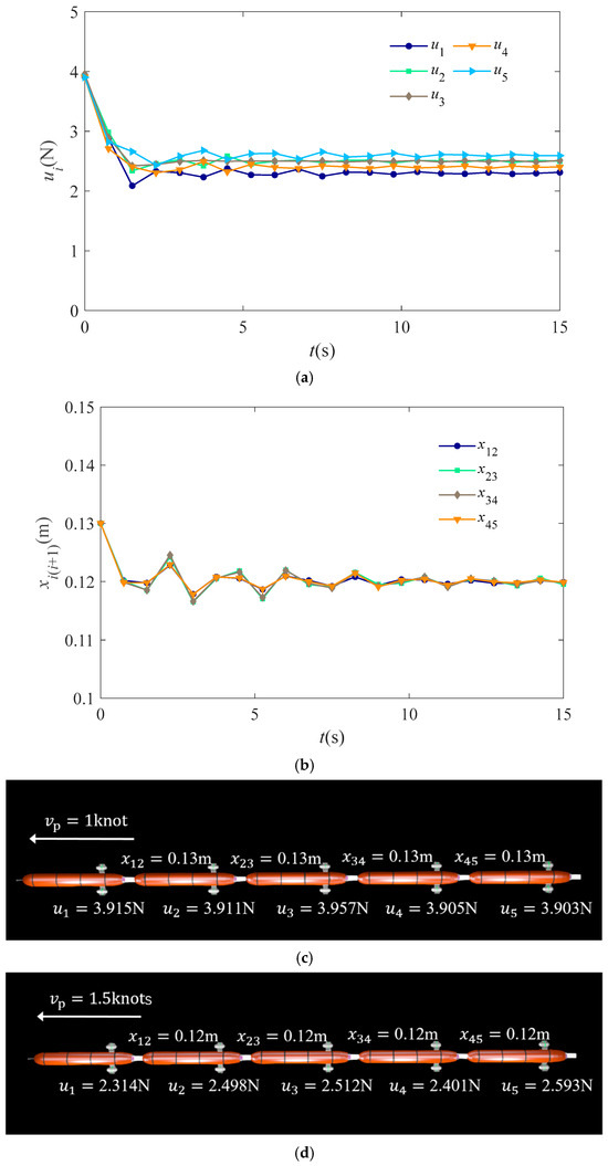
Figure 4 illustrates the changes in thrust allocation, inter-unit distance, and overall state of a 5-unit MATC system over time using the improved GA, demonstrating its progression toward stable straight-line sailing. From the Figure 4 results, it can be seen that when using improved GA for thrust allocation, the thrust of each unit stabilizes, the inter-unit distance decreases from 0.13 m to the ideal value of 0.12 m, and the overall speed increases from 1 knot to the target value of 1.5 knots.
The specific data are presented in Table 1. As shown, the thrust allocation for each unit varies. At 15 s, the thrust values for units 1, 2, 3, 4, and 5 are 2.314 N, 2.498 N, 2.512 N, 2.401 N, and 2.593 N, respectively. These differences are primarily determined by the initial state of the MATC system.

5.2. Verification of the Improved GA’s Ability to Adjust Inter-Unit Distances Under Ocean Current Disturbances

This section examines the effectiveness of the improved GA in dynamically adjusting thrust allocation to maintain the desired inter-unit distances despite these external disturbances. By analyzing the system’s response, we can evaluate the robustness and adaptability of the algorithm in ensuring stable straight-line sailing under challenging environmental conditions.
Figure 5 shows the variation in thrust allocation and inter-unit distances for the 5-unit MATC system under ocean current disturbances as it approaches stable straight-line sailing. Under the improved GA-driven thrust optimization, its thrust continuously adjusts over time to counteract the effects of the disturbance. The inter-unit distances of all units gradually converge from 0.13 m to the ideal 0.12 m.
This result demonstrates that the proposed thrust allocation method effectively mitigates the uncertainty caused by ocean current disturbances, ensuring that the units maintain distances close to the ideal value and preventing excessive compression or stretching between the units. Specific data are shown in Table 2.
The results from the simulation studies clearly demonstrate that the proposed thrust allocation method can effectively handle complex ocean current disturbances. By dynamically adjusting the thrust values to compensate for the varying forces acting on the system, the method ensures the system remains stable and can adapt to real-time changes in the environment.

5.3. Verification of the Inter-Unit Distance Adjustment Ability of the Improved GA Considering Thrust Constraints

Thrust constraints are an essential consideration in real-world applications of the MATC system, as they ensure the propulsion system operates within safe and efficient limits. This section evaluates the improved GA’s ability to maintain optimal inter-unit distances while respecting these constraints.
Figure 6 shows the thrust allocation and inter-unit distance variations for a 5-unit MATC system, comparing scenarios with and without the inclusion of the penalty function. Figure 6a shows the thrust allocation results with the penalty function applied, demonstrating that all thrust values remain within 3.5 N. In contrast, Figure 6b presents the thrust allocation results without the penalty function, where thrust values exceed 3.5 N (e.g., u5). Figure 6c displays the inter-unit distance variations with the penalty function, revealing significant oscillations due to the constrained thrust values, which limit rapid adjustments. Conversely, Figure 6d illustrates the inter-unit distance variations without the penalty function, showing smaller oscillations as the thrust values are unconstrained, enabling faster and more flexible adjustments. Despite this, the improved GA offers a significant improvement in managing thrust constraints, which is critical for the stability and efficiency of MATC systems.
Except for Unit 5, which is affected by ocean current disturbances, the thrusts of the other units gradually stabilize. The introduction of the penalty function effectively constrains the optimization process, ensuring that each unit’s thrust stays within the predefined range, thereby maintaining the system’s stability and controllability.
Additionally, these oscillations are primarily caused by the periodic nature of ocean current disturbances acting on Unit 5. In the early stages of system operation, the MATC system rapidly adjusts the thrust allocation, allowing the system to quickly return to the ideal state. However, because of the continuous fluctuations in ocean current, slight oscillations occur before the units achieve the desired inter-unit distance. Over time, these oscillations reduce as the system stabilizes, and the distances between the units converge to the ideal 0.12 m.
Table 3 presents the variation in thrust allocation and inter-unit distance over time with the penalty function applied. As shown, after the thrust allocation begins, the maximum thrust for all units, except for Unit 5, is 3.325 N, and the minimum thrust is 1.884 N, both of which satisfy the thrust saturation constraints. Furthermore, at 15 s, the inter-unit distances are all within the range of 0.122 m to 0.125 m, with a maximum deviation of 0.005 m, indicating an ideal convergence of the distances.

5.4. Verification of the Thrust Allocation Ability of the HHO+BP When the Number of AUV Units in MATC System Is Large

If the offline training process is excluded and the thrust optimization is directly performed using the improved GA, the inter-unit distance variation for the 30-unit MATC system is shown in Figure 7a. The inter-unit distance variation for the thrust distribution after offline training (HHO+BP) is presented in Figure 7b.
As shown in Figure 7a, due to the long computation time for thrust allocation, the MATC system is unable to execute the optimal thrust allocation in time, leading to noticeable oscillations in the allocated thrust and preventing the inter-unit distance from converging to the ideal value. At 10.5 s, the average inter-unit distance is 0.1217 m, the maximum is 0.1653 m (with a relative deviation of 37.75%), and the minimum is 0.1121 m (with a relative deviation of 6.58%). Therefore, directly using online optimization methods for thrust allocation in cases with a large number of AUV units shows significant drawbacks.
In contrast, as shown in Figure 7b, the inclusion of the offline training process significantly reduces the online optimization time, enabling the system to quickly execute the thrust allocation results. Consequently, the thrust allocation stabilizes rapidly, and the inter-unit distance converges to the ideal value. At 10.5 s, the average inter-unit distance is 0.1200 m, the maximum is 0.1201 m (with a relative deviation of 0.08%), and the minimum is 0.1199 m (with a relative deviation of 0.08%).
Figure 8 shows a comparison of the overall speed variations when directly using the improved GA and when using the offline training method. When the improved GA is applied directly, the straight-line speed fails to converge to the target speed. At 10.5 s, the overall speed is 0.66 knots (with a relative deviation of 56.00%). In contrast, when the offline training method is used, the overall speed quickly converges to the target speed of 1.50 knots.
Both the improved GA and the offline-optimized model (HHO+BP) can complete result computation and output within a single sampling period, demonstrating their real-time capability. The results clearly demonstrate that the improved GA alone struggles to manage the complexity of large-scale systems. In contrast, our hybrid approach (HHO+BP) achieves significantly better performance, with more stable and controlled inter-unit distance variations. Additionally, the overall speed variations are smoother and more consistent in the HHO+BP method compared to the improved GA. This comparison underscores the superiority of our proposed method in handling large-scale thrust allocation problems. While the improved GA is effective for smaller systems, its limitations become apparent in larger configurations, necessitating the integration of HHO+BP to ensure scalability, stability, and computational efficiency. By combining these techniques, our method provides a robust solution for large-scale MATC systems, addressing the challenges that existing approaches fail to resolve.

6. Conclusions

This study proposes a novel hybrid thrust allocation method for MATC systems, combining an improved GA with the HHO+BP algorithm. While the proposed method shows promising results, certain limitations remain. For instance, the current study focuses on steady straight-line sailing in a two-dimensional space, and the performance under more complex maneuvers, three-dimensional trajectories, or extreme environmental conditions has not been fully explored. Additionally, the method relies on offline training for large systems, which may limit adaptability to dynamic changes in real-time scenarios. Future research will focus on: (1) Extending the method to handle more complex trajectories, including three-dimensional motion and dynamic environmental conditions; (2) Exploring online adaptation mechanisms to enhance real-time performance; (3) Conducting real-world testing to validate the method’s practical applicability and robustness.

Author Contributions

Conceptualization, J.Z. and S.Z.; methodology, J.Z., S.Z. and S.K.; software, S.Z.; validation, S.Z.; formal analysis, J.Z.; data curation, S.K.; writing—original draft preparation, J.Z. and S.Z.; writing—review and editing, J.Z. and S.K.; funding acquisition, J.Z. All authors have read and agreed to the published version of the manuscript.

Funding

This work was funded in part by the National Natural Science Foundation of China (Grant Nos. 62273340, 51909257), by LiaoNing Revitalization Talents Program, China (Grant No. XLYC2403108), and by Key Research and Development Projects of Liaoning Province, China (Grant No. 2024JH2/102400045).

Institutional Review Board Statement

Not applicable.

Informed Consent Statement

Not applicable.

Data Availability Statement

The original contributions presented in this study are included in the article. Further inquiries can be directed to the corresponding author.

Conflicts of Interest

The authors declare no conflicts of interest.

References

  1. Glaviano, F.; Esposito, R.; Di Cosmo, A.; Esposito, F.; Gerevini, L.; Ria, A.; Molinara, M.; Bruschi, P.; Costantini, M.; Zupo, V. Management and Sustainable Exploitation of Marine Environments through Smart Monitoring and Automation. J. Mar. Sci. Eng. 2022, 10, 297. [Google Scholar] [CrossRef]
  2. Howe, J.A.; Husum, K.; Inall, M.E.; Coogan, J.; Luckman, A.; Arosio, R.; Abernethy, C.; Verchili, D. Autonomous Underwater Vehicle (AUV) Observations of Recent Tidewater Glacier Retreat, Western Svalbard. Mar. Geol. 2019, 417, 106009. [Google Scholar] [CrossRef]
  3. Bogue, R. Underwater Robots: A Review of Technologies and Applications. Ind. Robot. Int. J. 2015, 42, 186–191. [Google Scholar] [CrossRef]
  4. Kang, S.; Yu, J.; Zhang, J.; Jin, Q. Development of Multibody Marine Robots: A Review. IEEE Access 2020, 8, 21178–21195. [Google Scholar] [CrossRef]
  5. Yu, L.; Meng, Q.; Zhang, H. 3-Dimensional Modeling and Attitude Control of Multi-Joint Autonomous Underwater Vehicles. J. Mar. Sci. Eng. 2021, 9, 307. [Google Scholar] [CrossRef]
  6. Kumar, V.S.; Rajagopal, P. Development and Analysis of an Autonomous Underwater Inspection Vehicle with Enhanced Maneuverability. In Proceedings of the OCEANS 2019—Marseille, Marseille, France, 17–20 June 2019; IEEE: New York, NY, USA, 2019; pp. 1–8. [Google Scholar]
  7. Kang, S.; Yu, J.C.; Zhang, J.; Hu, F.; Jin, Q. Research on accurate modeling of hydrodynamic interaction forces on AUVs operating in tandem. Ocean Eng. 2022, 251, 111125. [Google Scholar] [CrossRef]
  8. Liu, Z.; Yang, T.; Xu, W.; Yu, J.; McFarland, D.M.; Lu, H. Underwater Acoustic Positioning with a Single Beacon and a Varied Baseline for a Multi-jointed AUV in the Deep Ocean. IET Radar Sonar Navig. 2020, 14, 669–676. [Google Scholar] [CrossRef]
  9. Kang, S.; Yu, J.; Zhang, J. Direct route drag prediction of chain-structured underwater vehicle based on neural network optimized by particle swarm optimization. J. Mech. Eng. 2019, 55, 29–39. [Google Scholar]
  10. Scheepmaker, G.M.; Goverde, R.M.P. The Interplay between Energy-Efficient Train Control and Scheduled Running Time Supplements. J. Rail Transp. Plan. Manag. 2015, 5, 225–239. [Google Scholar] [CrossRef]
  11. Yan, Q.; Tasiu, I.A.; Chen, H.; Zhang, Y.; Wu, S.; Liu, Z. Design and Hardware-in-the-Loop Implementation of Fuzzy-Based Proportional-Integral Control for the Traction Line-Side Converter of a High-Speed Train. Energies 2019, 12, 4094. [Google Scholar] [CrossRef]
  12. Zhang, M.N.; Xu, H.Z.; Zhang, Y.X. Automatic Stop Method for High Speed Train Based on Adaptive Fuzzy Sliding Mode Control. Inf. Control 2015, 44, 223–229. [Google Scholar]
  13. Yang, H.; Zhang, Q.J.; Zhang, K.P. Speed Optimal-setting of Electric Multiple Units Based on Energy-efficient Operation. Inf. Control 2014, 43, 334–338. [Google Scholar]
  14. Liu, H.; Yang, L.; Yang, H. Cooperative Optimal Control of the Following Operation of High-Speed Trains. IEEE Trans. Intell. Transp. Syst. 2022, 23, 17744–17755. [Google Scholar] [CrossRef]
  15. Dong, H.R.; Li, L.; Ning, B. Fuzzy Tuning of ATO System in Train Speed Control with Multiple Working Conditions. In Proceedings of the 29th Chinese Control Conference, Beijing, China, 29–31 July 2010; pp. 1697–1700. [Google Scholar]
  16. Song, Q.; Song, Y.D. Robust and Adaptive Control of High Speed Train Systems. In Proceedings of the 2010 Chinese Control and Decision Conference, Xuzhou, China, 26–28 May 2010; IEEE: New York, NY, USA, 2010; pp. 2469–2474. [Google Scholar]
  17. Cheng, R.; Yu, W.; Song, Y.; Chen, D.; Ma, X.; Cheng, Y. Intelligent Safe Driving Methods Based on Hybrid Automata and Ensemble CART Algorithms for Multihigh-Speed Trains. IEEE Trans. Cybern. 2019, 49, 3816–3826. [Google Scholar] [CrossRef] [PubMed]
  18. Sun, L.; Jin, J.G.; Lee, D.-H.; Axhausen, K.W.; Erath, A. Demand-Driven Timetable Design for Metro Services. Transp. Res. Part C Emerg. Technol. 2014, 46, 284–299. [Google Scholar] [CrossRef]
  19. Tran, N.H.; Nguyen, A.D.; Nguyen, T.N. A Genetic Algorithm Application in Planning Path Using B-Spline Model for Autonomous Underwater Vehicle (AUV). Appl. Mech. Mater. 2020, 902, 54–64. [Google Scholar] [CrossRef]
  20. Yamada, T.; Kinjo, H.; Nakazono, K.; Oshiro, N.; Uezato, E. Fuzzy Controller for AUV Robots Based on Machine Learning and Genetic Algorithm. Artif. Life Robot. 2023, 28, 632–641. [Google Scholar] [CrossRef]
  21. Deng, W.; Zhang, X.; Zhou, Y. An Enhanced Fast Non-dominated Solution Sorting Genetic Algorithm for Multi-objective Problems. Inf. Sci. 2022, 585, 441–453. [Google Scholar] [CrossRef]
  22. Tangian, A. Constructing a monotonic quadratic objective function in n variables from a few two-dimensional indifferences. Eur. J. Oper. Res. 2001, 130, 276–304. [Google Scholar] [CrossRef]
  23. Ahn, B.S. Programming-Based OWA Operator Weights with Quadratic Objective Function. IEEE Trans. Fuzzy Syst. 2012, 20, 986–992. [Google Scholar] [CrossRef]
  24. Zhang, S.; Liu, G.; Cheng, C. Application of Modified BP Neural Network in Identification of Unmanned Surface Vehicle Dynamics. J. Mar. Sci. Eng. 2024, 12, 297. [Google Scholar] [CrossRef]
  25. Ertogan, M.; Wilson, P.A. Modelling Using Neural Networks and Dynamic Position Control for Unmanned Underwater Vehicles. J. ETA Marit. Sci. 2024, 12, 64–73. [Google Scholar] [CrossRef]
  26. Chen, F.; Huo, Y.T.; Sheng, N. Performance prediction of tube-in-shell thermal storage devices with different inner tube positions using the HHO-BP neural network. J. Energy Storage 2024, 99, 113322. [Google Scholar] [CrossRef]
  27. Chen, X.; Fu, M.; Liu, Z.; Jia, C.; Liu, Y. Harris Hawks Optimization Algorithm and BP Neural Network for Ultra-Wideband Indoor Positioning. Math. Biosci. Eng. 2022, 19, 9098–9124. [Google Scholar] [CrossRef]
Figure 1. An MATC system composed of 3 AUV units.
Figure 1. An MATC system composed of 3 AUV units.
Applsci 15 04106 g001
Figure 2. Schematic of the forces acting on the MATC system.
Figure 2. Schematic of the forces acting on the MATC system.
Applsci 15 04106 g002
Figure 3. Flowchart of the offline model training process.
Figure 3. Flowchart of the offline model training process.
Applsci 15 04106 g003
Figure 4. The process of a 5-unit MATC system progressing toward stable straight-line sailing when using the improved GA. (a) Thrust allocation; (b) Inter-unit distances; (c) The overall state at 0 s; (d) The overall state at 15 s.
Figure 4. The process of a 5-unit MATC system progressing toward stable straight-line sailing when using the improved GA. (a) Thrust allocation; (b) Inter-unit distances; (c) The overall state at 0 s; (d) The overall state at 15 s.
Applsci 15 04106 g004
Figure 5. The variation results of thrust allocation and inter-unit distances for the 5-unit MATC system under ocean current disturbances. (a) Thrust allocation; (b) Inter-unit distances.
Figure 5. The variation results of thrust allocation and inter-unit distances for the 5-unit MATC system under ocean current disturbances. (a) Thrust allocation; (b) Inter-unit distances.
Applsci 15 04106 g005
Figure 6. The thrust allocation and inter-unit distance variations for a 5-unit MATC system. (a) The thrust allocation results with the penalty function applied; (b) The thrust allocation results without the penalty function applied; (c) The inter-unit distance variations with the penalty function applied; (d) The inter-unit distance variations without the penalty function applied.
Figure 6. The thrust allocation and inter-unit distance variations for a 5-unit MATC system. (a) The thrust allocation results with the penalty function applied; (b) The thrust allocation results without the penalty function applied; (c) The inter-unit distance variations with the penalty function applied; (d) The inter-unit distance variations without the penalty function applied.
Applsci 15 04106 g006
Figure 7. The variation of inter-unit distance with different thrust allocation methods. (a) Directly using the improved GA. (b) Using the offline training (HHO+BP).
Figure 7. The variation of inter-unit distance with different thrust allocation methods. (a) Directly using the improved GA. (b) Using the offline training (HHO+BP).
Applsci 15 04106 g007
Figure 8. Comparison of overall speed variations between using improved GA and using the HHO+BP.
Figure 8. Comparison of overall speed variations between using improved GA and using the HHO+BP.
Applsci 15 04106 g008
Table 1. Variation in thrust allocation, inter-unit distance, and overall speed over time.
Table 1. Variation in thrust allocation, inter-unit distance, and overall speed over time.
t (s)01.5003.0004.5006.0007.5009.00010.50012.00013.50015.000
u1 (N)3.9152.0882.3062.3772.2702.2482.3122.32252.2882.2862.314
u2 (N)3.9112.3372.5262.5872.4982.4772.5182.5112.4842.4772.498
u3 (N)3.9572.4202.4952.4992.5002.5032.5032.5122.5112.5112.512
u4 (N)3.9052.4052.3552.3232.3962.4252.3792.3882.4192.4172.401
u5 (N)3.9032.6602.5842.5312.6302.6552.5862.5692.6072.6132.593
x12 (m)0.1300.1200.1180.1210.1210.1190.1190.1200.1200.1200.120
x23 (m)0.1300.1190.1170.1220.1220.1190.1200.1210.1200.1190.120
x34 (m)0.1300.1190.1170.1220.1220.1190.1190.1210.1210.1200.120
x45 (m)0.1300.1200.1180.1210.1210.1190.1190.1200.1210.1200.120
vp (knot)1.0001.5421.5001.5001.5001.5011.5001.5001.5001.5001.500
Table 2. Variation in thrust allocation and inter-unit distance under ocean current disturbances.
Table 2. Variation in thrust allocation and inter-unit distance under ocean current disturbances.
t (s)01.5003.0004.5006.0007.5009.00010.50012.00013.50015.000
u1 (N)3.9852.2722.5772.6102.3602.1622.1252.0792.0582.1912.386
u2 (N)3.9852.5242.7992.8092.5982.4192.3072.2472.2712.3852.565
u3 (N)4.0382.6152.7402.7172.5952.4482.2972.2302.2802.4102.569
u4 (N)3.9952.6222.6052.5272.4862.3722.1792.1242.1862.3132.452
u5 (N)3.5891.8781.5561.6462.2602.9103.3913.6213.5003.0022.319
x12 (m)0.1300.1190.1170.1210.1220.1190.1200.1210.1200.1190.119
x23 (m)0.1300.1170.1160.1220.1230.1200.1200.1220.1210.1180.118
x34 (m)0.1300.1160.1150.1220.1240.1210.1210.1220.1210.1180.118
x45 (m)0.1300.1170.1160.1210.1230.1230.1220.1220.1200.1180.117
Table 3. Variation in thrust allocation and inter-unit distance after incorporating the penalty function.
Table 3. Variation in thrust allocation and inter-unit distance after incorporating the penalty function.
t (s)01.5003.0004.5006.0007.5009.00010.50012.00013.50015.000
u1 (N)3.5003.1142.8582.2621.8842.0312.0971.9072.0602.5022.406
u2 (N)3.5001.9693.2633.3252.9972.8192.5812.3002.2532.5422.577
u3 (N)3.5002.9292.4102.4192.4232.3582.2652.2642.2092.4052.589
u4 (N)3.5002.8141.9902.1972.3512.1952.0912.3482.1952.1672.491
u5 (N)3.2562.4101.6342.1032.6452.9073.2713.5003.5002.7152.235
x12 (m)0.1300.1320.1270.1230.1140.1130.1180.1230.1160.1210.123
x23 (m)0.1300.0780.1210.1350.1240.1200.1260.1320.1160.1210.125
x34 (m)0.1300.0920.1190.1290.1200.1180.1250.1350.1150.1190.124
x45 (m)0.1300.1090.1150.1180.1140.1170.1230.1390.1170.1180.122
Disclaimer/Publisher’s Note: The statements, opinions and data contained in all publications are solely those of the individual author(s) and contributor(s) and not of MDPI and/or the editor(s). MDPI and/or the editor(s) disclaim responsibility for any injury to people or property resulting from any ideas, methods, instructions or products referred to in the content.

Share and Cite

MDPI and ACS Style

Zhang, J.; Zhu, S.; Kang, S. Research on the Thrust Allocation Method for Straight-Line Sailing of Multiple AUVs in Tandem Connection. Appl. Sci. 2025, 15, 4106. https://doi.org/10.3390/app15084106

AMA Style

Zhang J, Zhu S, Kang S. Research on the Thrust Allocation Method for Straight-Line Sailing of Multiple AUVs in Tandem Connection. Applied Sciences. 2025; 15(8):4106. https://doi.org/10.3390/app15084106

Chicago/Turabian Style

Zhang, Jin, Shengfan Zhu, and Shuai Kang. 2025. "Research on the Thrust Allocation Method for Straight-Line Sailing of Multiple AUVs in Tandem Connection" Applied Sciences 15, no. 8: 4106. https://doi.org/10.3390/app15084106

APA Style

Zhang, J., Zhu, S., & Kang, S. (2025). Research on the Thrust Allocation Method for Straight-Line Sailing of Multiple AUVs in Tandem Connection. Applied Sciences, 15(8), 4106. https://doi.org/10.3390/app15084106

Note that from the first issue of 2016, this journal uses article numbers instead of page numbers. See further details here.

Article Metrics

Back to TopTop