Energy-Based Optimization of Seismic Isolation Parameters in RC Buildings Under Earthquake Action Using GWO
Abstract
1. Introduction
1.1. Seismic Isolation Systems
1.2. Optimization of Seismic Isolation Systems
1.3. Energy-Based Seismic Design
2. Materials and Methods
2.1. Optimization of Seismic Isolators
- Case 1: Input Energy. The most basic goal of energy-based seismic design is to determine the energy transmitted to the structure by the earthquake. This energy, which must be completely dissipated by the structure, is called input energy. As the input energy decreases, the potential for earthquake-induced structural damage decreases. Consequently, the objective function was developed as input energy minimization.
- Case 2: Hysteretic Energy. The repeated cyclic movement of base isolation systems produces hysteretic energy. The seismic isolation mechanism dissipates most of the input energy as hysteretic energy. The part of the input energy that cannot be dissipated reaches the superstructure and causes damage. The energy consumed in the seismic isolation system should be as large as possible so that the amount of energy reaching the superstructure is reduced. For this reason, the maximization of hysteretic energy is selected as the target function in this study.
- Case 3: Energy Ratio. The optimization of seismic isolation parameters should aim to decrease the input energy and increase the hysteretic energy. In order to achieve this goal, the ratio of the difference in the input energy from the hysteretic energy to the input energy has been used in previous studies [40]. In this study, the relevant ratio was used as the objective function. Therefore, the objective functions in the first two situations were combined to generate the study’s main suggestion.
- Case 4: PRA/PGA. PRA/PGA has been used as an objective function in many structural optimization studies to ensure the earthquake resistance of structures. In this study, in which energy components were suggested as the objective function, PRA/PGA was used to verify the results.
2.2. Gray Wolf Optimizer (GWO)
- Encircling prey: The gray wolf moves itself to any random location around the prey using Equations (10) and (11):where and are the locations of a gray wolf and prey, respectively, t indicates the current iteration, and and are coefficient vectors, which are calculated using Equations (12) and (13):where are random vectors in [0, 1].
- Hunting: The alpha generally leads the hunt. Sometimes, betas and deltas may also be involved in hunting. Therefore, the first three best solutions are defined as alpha, beta, and delta. The remaining solutions update their locations according to the best solutions. This phenomenon is expressed by the following formulas.
- Attacking prey (exploitation): Gray wolves attack the prey when it stops moving. The search agent will move to any position between its current location and the prey’s location if contains random values in the interval [−1, 1].
- Search for prey (exploration): Gray wolves search based on alpha, beta, and delta locations, with each member separated from the prey. A global search of the GWO is mathematically modeled, assigning random values to outside the range [−1, 1] to separate the search agent from the prey.
2.3. Implementation of Design Optimization Algorithm
3. Numerical Example
3.1. Test Building
3.2. Ground Motion Selection
3.3. Seismic Isolation and Optimization Parameters
4. Results and Discussion
4.1. Comparison of Optimum Isolation Parameters for Energy Components and PRA/PGA
Effectiveness of Energy Components in the Optimization Process
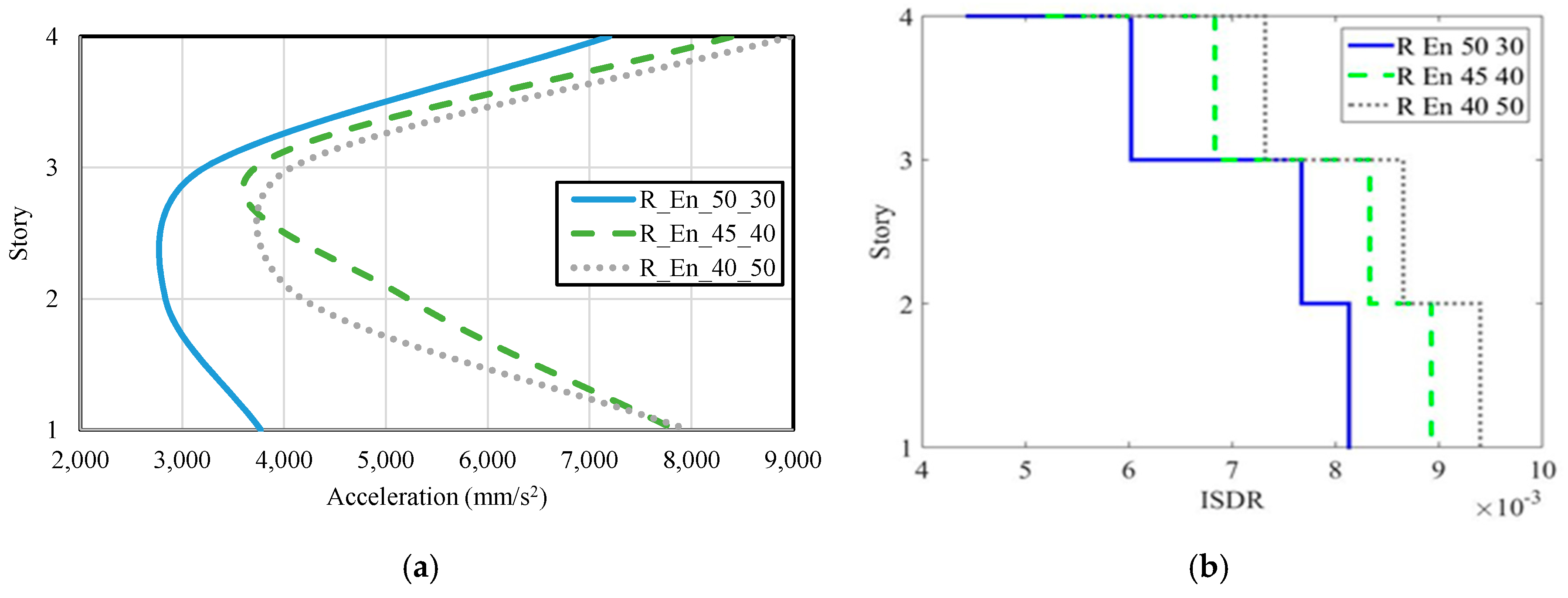
4.2. Hys_En Optimization According to Different Constraints
5. Conclusions
- The optimized seismic isolation parameters are within the predefined constraints in terms of structural response for all cases by the proposed energy-based methodology.
- The optimization study performed on a seismically isolated 3D structure demonstrated that the three selected energy-based objective functions can successfully achieve optimum isolation system parameters satisfying the specified design constraints when compared with the optimization results of the PRA/PGA case.
- When Inp_En, Hys_En, and PRA/PGA are used as objective functions, the optimum values of the isolation parameters are mainly controlled by the isolation displacement (). On the other hand, the Hys_En optimization process is controlled by the effective damping () and the inter-story drift ratio ().
- According to the effects of the scaled ground motions, the maximum acceleration and displacement were caused by Denali and Duzce ground motions, respectively. Duzce controlled the constraint by causing the maximum compared to other ground motions due to its low displacement value.
- It was observed that Inp_En and R_En were calculated with a high correlation in terms of optimum isolation parameters and structure responses. However, even if the of Inp_En is higher than R_En, the ratio of peak roof acceleration to ground peak acceleration is low. So, the designer can obtain the optimum isolation parameters by selecting the appropriate objective function.
- In this study, R_En was selected as the objective function on account of its advantage in terms of , and the optimization process was conducted once more by employing a variety of constraints. and were calculated to be lower than the other cases due to the high constraint of the R_En_50_30 case. In addition, was calculated at around 30%, although there is a possibility of an increase in terms of constraint.
Author Contributions
Funding
Institutional Review Board Statement
Informed Consent Statement
Data Availability Statement
Conflicts of Interest
References
- Fajfar, P. Performance-Based Seismic Design Concepts and Implementation. In Proceedings of the International Workshop, Bled, Slovenia, 28 June–1 July 2004; p. 550. [Google Scholar]
- Alhan, C.; Şahin, F. Protecting vibration-sensitive contents: An investigation of floor accelerations in seismically isolated buildings. Bull. Earthq. Eng. 2011, 9, 1203–1226. [Google Scholar] [CrossRef]
- Kitayama, S.; Constantinou, M.C. Effect of modeling of inherent damping on the response and collapse performance of seismically isolated buildings. Earthq. Eng. Struct. Dyn. 2023, 52, 571–592. [Google Scholar] [CrossRef]
- Rahimi, F.; Aghayari, R.; Samali, B. Application of tuned mass dampers for structural vibration control: A state-of-the-art review. Civ. Eng. J. 2020, 6, 1622–1651. [Google Scholar] [CrossRef]
- Al-Rawashdeh, M.; Yousef, I.; Al-Nawaiseh, M. Predicting the Inelastic Response of Base Isolated Structures Utilizing Regression Analysis and Artificial Neural Network. Civ. Eng. J. 2022, 8, 1178–1193. [Google Scholar] [CrossRef]
- Yenidogan, C. Earthquake-Resilient Design of Seismically Isolated Buildings: A Review of Technology. Vibration 2021, 4, 602–647. [Google Scholar] [CrossRef]
- Zhu, Y.P.; Lang, Z.Q.; Fujita, K.; Takewaki, I. Analysis and design of non-linear seismic isolation systems for building structures—An overview. Front. Built Environ. 2023, 8, 1084081. [Google Scholar] [CrossRef]
- Güngör, E.; Yıldırım, E.; Demirhan, K.E. Köprülerde Kullanılan Kurşun Çekirdekli Kauçuk İzolatörler İçin CE Sertifikalandırılması ve Üretim Kontrol Değerlendirilmesi. In Proceedings of the 4. Köprüler ve Viyadükler Sempozyumu, Ankara, Turkey, 1–2 November 2019. [Google Scholar]
- TBEC. Turkish Building Earthquake Code; Disaster and Emergency Management Agency (AFAD): Ankara, Turkey, 2018.
- BS EN 1998-1:2004; 8 Eurocode 8: Design of structures for earthquake resistance. Part, 1: General Rules, Seismic Actions and Rules for Buildings. European Committee for Standardization: Bruxelles, Belgium, 1998.
- ASCE/SEI 7-10; Minimum design loads for buildings and other structures. American Society of Civil Engineers: Reston, VA, USA, 2010.
- Ozdemir, G.; Constantinou, M.C. Evaluation of equivalent lateral force procedure in estimating seismic isolator displacements. Soil Dyn. Earthq. Eng. 2010, 30, 1036–1042. [Google Scholar] [CrossRef]
- Naeim, F.; Kelly, J. Design of Seismic Isolated Structures: From Theory to Practice; John Wiley & Sons: Hoboken, NJ, USA, 1999; ISBN 978-0-471-14921-7. [Google Scholar]
- Jae Lee, S.; Jung, H.K. Effect of Nonlinear Hysteresis Details of Isolation System on In-Structure Response Spectra. Appl. Sci. 2024, 15, 62. [Google Scholar] [CrossRef]
- Pourzeynali, S.; Zarif, M. Multi-objective optimization of seismically isolated high-rise building structures using genetic algorithms. J. Sound Vib. 2008, 311, 1141–1160. [Google Scholar] [CrossRef]
- Wang, Q.; Fang, H.; Zou, X.K. Application of Micro-GA for optimal cost base isolation design of bridges subject to transient earthquake loads. Struct. Multidiscip. Optim. 2010, 41, 765–777. [Google Scholar] [CrossRef]
- Nigdeli, S.M.; Bekdaş, G.; Alhan, C. Optimization of seismic isolation systems via harmony search. Eng. Optim. 2014, 46, 1553–1569. [Google Scholar] [CrossRef]
- Tsipianitis, A.; Tsompanakis, Y. Optimizing the seismic response of base-isolated liquid storage tanks using swarm intelligence algorithms. Comput. Struct. 2021, 243, 106407. [Google Scholar] [CrossRef]
- Tsipianitis, A.; Spachis, A.; Yiannis, T. Combined Optimization of Friction-Based Isolators in Liquid Storage Tanks. Appl. Sci. 2022, 12, 9879. [Google Scholar] [CrossRef]
- Çerçevik, A.E.; Avşar, Ö.; Hasançebi, O. Optimum design of seismic isolation systems using metaheuristic search methods. Soil Dyn. Earthq. Eng. 2020, 131, 106012. [Google Scholar] [CrossRef]
- Ocak, A.; Melih Nigdeli, S.; Bekdaş, G. Optimization of the base isolator systems by considering the soil-structure interaction via metaheuristic algorithms. Structures 2023, 56, 104886. [Google Scholar] [CrossRef]
- Taymus, R.B.; Aydogdu, İ.; Carbas, S.; Ormecioglu, T.O. Seismic design optimization of space steel frame buildings equipped with triple friction pendulum base isolators. J. Build. Eng. 2024, 92, 109748. [Google Scholar] [CrossRef]
- El Ouardani, A.; Tbatou, T. Seismic Isolators Layout Optimization Using Genetic Algorithm Within the Pymoo Framework. Civ. Eng. J. 2024, 108, 2517–2535. [Google Scholar] [CrossRef]
- Sheng, Y.; Yang, Z.; Yu, M.; Jia, B. A Study on the Design of a New Three-Dimensional Seismic Isolation Bearing Based on an Improved Genetic Algorithm for Bridge Engineering. Appl. Sci. 2024, 14, 9453. [Google Scholar] [CrossRef]
- Nabid, N.; Hajirasouliha, I.; Escolano Margarit, D.; Petkovski, M. Optimum energy based seismic design of friction dampers in RC structures. Structures 2020, 27, 2550–2562. [Google Scholar] [CrossRef]
- Gholami, N.; Garivani, S.; Askariani, S.S. State-of-the-Art Review of Energy-Based Seismic Design Methods. Arch. Comput. Methods Eng. 2022, 29, 1965–1996. [Google Scholar] [CrossRef]
- Kim, J.-C.; Oh, S.-H. Energy-based seismic design method for seismically isolated structures with friction pendulum systems. J. Build. Eng. 2024, 92, 109794. [Google Scholar] [CrossRef]
- Housner, G.W. Limit design of structures to resist earthquakes. In Proceedings of the 1st World Conference on Earthquake Engineering, Berkely, CA, USA, 30 July–10 August 1956; pp. 1–5. [Google Scholar]
- Tanabashi, R. Studies on the nonlinear vibrations of structures subjected to destructive earthquakes. In Proceedings of the First World Conference on Earthquake Engineering, Berkeley, CA, USA, 30 July–10 August 1956. [Google Scholar]
- Housner, G.W. Behavior of structures during earthquakes. J. Eng. Mech. Div. 1959, 85, 109–129. [Google Scholar] [CrossRef]
- McKevitt, W.; Anderson, D.; Cherry, S. Hysteretic energy spectra in seismic design. In Proceedings of the 2nd World Conference on Earthquake Engineering, Tokyo, Japan, 1–5 September 1959; pp. 487–494. [Google Scholar]
- SEAOC. Performance-Based Seismic Engineering of Buildings; Structural Engineers Association of California: Sacramento, CA, USA, 1995. [Google Scholar]
- BSL. The Building Standard Law of Japan; Building Center of Japan: Tokyo, Japan, 2009. [Google Scholar]
- Arroyo, D.; Ordaz, M. On the estimation of hysteretic energy demands for SDOF systems. Earthq. Eng. Struct. Dyn. 2007. [Google Scholar] [CrossRef]
- Akbas, B. A neural network model to assess the hysteretic energy demand in steel moment resisting frames. Struct. Eng. Mech. 2006, 23, 177–193. [Google Scholar] [CrossRef]
- Güllü, A.; Çalım, F.; Yüksel, E. Estimation of the story response parameters through the seismic input energy for moment-resisting frames. Soil Dyn. Earthq. Eng. 2023, 164, 107636. [Google Scholar] [CrossRef]
- Yang, H.; Wang, H.; Jeremić, B. An energy-based analysis framework for soil structure interaction systems. Comput. Struct. 2022, 265, 106758. [Google Scholar] [CrossRef]
- Uang, C.-M.; Bertero, V.V. Evaluation of seismic energy in structures. Earthq. Eng. Struct. Dyn. 1990, 190, 109171. [Google Scholar] [CrossRef]
- Wei, B.; Xiao, B.; Tan, H.; Yang, Z.; Jiang, L.; Yu, Y. Energy response analysis and seismic isolation strategy optimization of high-speed railway bridge-track system under earthquake action. Soil Dyn. Earthq. Eng. 2024, 186, 108917. [Google Scholar] [CrossRef]
- Artar, M.; Carbas, S. Optimum sizing design of steel frame structures through maximum energy dissipation of friction dampers under seismic excitations. Structures 2022, 44, 1928–1944. [Google Scholar] [CrossRef]
- Fajemisin, A.O.; Maragno, D.; den Hertog, D. Optimization with constraint learning: A framework and survey. Eur. J. Oper. Res. 2024, 314, 1–14. [Google Scholar] [CrossRef]
- Mirjalili, S.; Mirjalili, S.M.; Lewis, A. Grey Wolf Optimizer. Adv. Eng. Softw. 2014, 69, 46–61. [Google Scholar] [CrossRef]
- Chiara, F.; Lamberti, L.; Pruncu, C.I. An Efficient and Fast Hybrid GWO-JAYA Algorithm for Design Optimization. Appl. Sci. 2024, 14, 9610. [Google Scholar] [CrossRef]
- Farahmand Azar, B.; Veladi, H.; Raeesi, F.; Talatahari, S. Control of the nonlinear building using an optimum inverse TSK model of MR damper based on modified grey wolf optimizer. Eng. Struct. 2020, 214, 110657. [Google Scholar] [CrossRef]
- Astarita, V.; Haghshenas, S.S.; Guido, G.; Vitale, A. Developing new hybrid grey wolf optimization-based artificial neural network for predicting road crash severity. Transp. Eng. 2023, 12, 100164. [Google Scholar] [CrossRef]
- Albadr, M.A.A.; Tiun, S.; Ayob, M.; Nazri, M.Z.A.; AL-Dhief, F.T. Grey wolf optimization-extreme learning machine for automatic spoken language identification. Multimed. Tools Appl. 2023, 82, 27165–27191. [Google Scholar] [CrossRef]
- Rajakumar, S.; Siva Satya Sreedhar, P.; Kamatchi, S.; Tamilmani, G. Gray wolf optimization and image enhancement with NLM Algorithm for multimodal medical fusion imaging system. Biomed. Signal Process. Control. 2023, 85, 104950. [Google Scholar] [CrossRef]
- Wang, Z.; Jin, Z.; Yang, Z.; Zhao, W.; Trik, M. Increasing efficiency for routing in internet of things using Binary Gray Wolf Optimization and fuzzy logic. J. King Saud Univ.—Comput. Inf. Sci. 2023, 359, 101732. [Google Scholar] [CrossRef]
- Al Thobiani, F.; Khatir, S.; Benaissa, B.; Ghandourah, E.; Mirjalili, S.; Abdel Wahab, M. A hybrid PSO and Grey Wolf Optimization algorithm for static and dynamic crack identification. Theor. Appl. Fract. Mech. 2022, 118, 103213. [Google Scholar] [CrossRef]
- Shahin, I.; Alomari, O.A.; Nassif, A.B.; Afyouni, I.; Hashem, I.A.; Elnagar, A. An efficient feature selection method for arabic and english speech emotion recognition using Grey Wolf Optimizer. Appl. Acoust. 2023, 205, 109279. [Google Scholar] [CrossRef]
- ETABS. Integrated Building Design Software; Computers and Structures, Inc.: Berkeley, CA, USA, 2024. [Google Scholar]
- Matlab, Version: R2015a. The Language of Technical Computing. MathWorks: Natick, MA, USA, 2015.
- TRT/OA002/002; OAPI Technical Knowledge Base. WIPO: Geneza, Switzerland, 1977.
- TS 500; Design and Construction Rules of Concrete Turkish Standards Institute. Turkish Standards: Ankara, Turkey, 2000.
- PEER. Ground Motion Database. Available online: http://ngawest2.berkeley.edu/ (accessed on 17 July 2024).
- FEMA-P-1051 2015; NEHRP Recommended Seismic Provisions: Design Examples. FEMA: Washington, DC, USA, 2016.
- Wang, W.; Wang, X. Seismic behaviour of structures under long-duration ground motions: A review. Structures 2023, 54, 1224–1236. [Google Scholar] [CrossRef]
- SeismoSignal. Earthquake Software for Signal Processing of Strong-Motion Data; SeismoSoft Ltd.: Pavia, Italy, 2024. [Google Scholar]
- Pan, P.; Zamfirescu, D.; Kashiwa, H.; Nakayasu, N.; Nakashima, M. Base-Isolation Design Practice in Japan: Introduction to the Post-Kobe Approach. J. Earthq. Eng. 2008, 9, 147–171. [Google Scholar] [CrossRef]
- Çerçevik, A.E.; Avşar, Ö. Optimization of Linear Seismic Isolation Parameters via Crow Search Algorithm. Pamukkale Univ. J. Eng. Sci. 2020, 26, 440–447. [Google Scholar] [CrossRef]










| Case | Objective Function | Target | Variable | Constraint | Penalty Function |
|---|---|---|---|---|---|
| Hys_En | Hysteretic Energy | Maximize | T0 | D ISDR | |
| Inp_En | Input Energy | Minimize | |||
| R_En | Minimize | ||||
| PRA/PGA | Peak Roof Acceleration/Peak Ground Acceleration | Minimize |
| Spectral Parameters | Coefficient |
|---|---|
| 1.588 | |
| 0.433 | |
| ) | 1.9056 |
| ) | 0.6495 |
| No | RSN | Earthquake | Location | Year | Mw | Component | PGA (g) | PGV (cm/s) | PGD (cm) | Scale Factor |
|---|---|---|---|---|---|---|---|---|---|---|
| 1 | 879 | Landers | Lucerne | 1992 | 7.28 | LCN260 | 0.73 | 133.4 | 113.93 | 1.3 |
| 2 | 828 | Cape Mendocino | Petrolia | 1992 | 7.01 | PET090 | 0.662 | 88.51 | 33.22 | 1.5 |
| 3 | 2114 | Denali, Alaska | TAPS Pump St. #10 | 2002 | 7.9 | PS10-047 | 0.333 | 115.72 | 55.44 | 1.1 |
| 4 | 6906 | Darfield | GDLC | 2010 | 7 | N55W | 0.765 | 116.1 | 100.39 | 1.1 |
| 5 | 4451 | Montenegro, Yug. | Bar-Skupstina Op. | 1979 | 7.1 | BSO090 | 0.368 | 52.82 | 15.98 | 1.3 |
| 6 | 1165 | Kocaeli | Izmit | 1999 | 7.51 | IZT090 | 0.23 | 38.29 | 24.29 | 3.5 |
| 7 | 779 | Loma Prieta | LGPC | 1989 | 6.93 | LGP000 | 0.57 | 96.1 | 41.9 | 1.1 |
| 8 | 4040 | Iran | Bam | 2003 | 6.6 | BAM-L | 0.808 | 124.12 | 33.94 | 1.5 |
| 9 | 1787 | Hector Mine | Hector | 1999 | 7.13 | HEC090 | 0.328 | 44.78 | 10.7 | 3.5 |
| 10 | 1617 | Düzce | Lamont 375 | 1999 | 7.14 | 375-E | 0.5136 | 20.48 | 7.43 | 3.5 |
| 11 | 143 | Tabas. İran | Tabas | 1978 | 7.35 | TAB-L1 | 0.854 | 98.848 | 37.53 | 1.3 |
| Case | Searching Isolation Parameters | Constraints | Ground Motion | GWO | ||||
|---|---|---|---|---|---|---|---|---|
| (s) | (%) | Population Size | Iteration | |||||
| Hys_En | 2–4 | 0.03–0.015 | <0.50 | <30 | <0.01 | 11 | 25 | 100 |
| Inp_En | ||||||||
| R_En | ||||||||
| PRA/PGA | ||||||||
| R_En_45_40 | <0.45 | <40 | ||||||
| R_En_40_50 | <0.40 | <50 | ||||||
| Case | (s) | |
|---|---|---|
| Hys_En | 2.498 | 0.10780 |
| Inp_En | 3.025 | 0.07135 |
| R_En | 3.041 | 0.07421 |
| PRA/PGA | 2.854 | 0.05797 |
| Case | Objective Function Result | Critical Ground Motion | (%) | |||
|---|---|---|---|---|---|---|
| Hys_En | 16,098 kNm | Hektor | 0.4085 | 29.868 | 0.00999 | 1.594 |
| Inp_En | 18,802 kNm | Denali | 0.4998 | 29.352 | 0.00815 | 1.198 |
| R_En | 44.68% | Duzce | 0.4970 | 29.978 | 0.00813 | 1.209 |
| PRA/PGA | 1.184 | Denali | 0.4997 | 25.196 | 0.00847 | 1.184 |
| Case | Searching Isolation Parameters | Constraints | |||
|---|---|---|---|---|---|
| (s) | (m) | (%) | |||
| R_En_50_30 | 2–4 | 0.03–0.15 | <50 | <30 | 0.01 |
| R_En_45_40 | <45 | <40 | |||
| R_En_40_50 | <40 | <50 | |||
| Case | T0 (s) | FQ/W |
|---|---|---|
| R_En_50_30 | 3.041 | 0.07421 |
| R_En_45_40 | 2.755 | 0.09069 |
| R_En_40_50 | 2.619 | 0.11517 |
| Case | Objective Function Result (kNm) | Critical Ground Motion | (%) | |||
|---|---|---|---|---|---|---|
| R_En_50_30 | 44.68 | Duzce | 0.4970 | 29.978 | 0.00813 | 1.209 |
| R_En_45_40 | 46.80 | Duzce | 0.4398 | 30.157 | 0.00893 | 1.399 |
| R_En_40_50 | 51.38 | Duzce | 0.3999 | 31.495 | 0.00953 | 1.566 |
Disclaimer/Publisher’s Note: The statements, opinions and data contained in all publications are solely those of the individual author(s) and contributor(s) and not of MDPI and/or the editor(s). MDPI and/or the editor(s) disclaim responsibility for any injury to people or property resulting from any ideas, methods, instructions or products referred to in the content. |
© 2025 by the authors. Licensee MDPI, Basel, Switzerland. This article is an open access article distributed under the terms and conditions of the Creative Commons Attribution (CC BY) license (https://creativecommons.org/licenses/by/4.0/).
Share and Cite
Çerçevik, A.E.; Kazak Çerçevik, N. Energy-Based Optimization of Seismic Isolation Parameters in RC Buildings Under Earthquake Action Using GWO. Appl. Sci. 2025, 15, 2870. https://doi.org/10.3390/app15052870
Çerçevik AE, Kazak Çerçevik N. Energy-Based Optimization of Seismic Isolation Parameters in RC Buildings Under Earthquake Action Using GWO. Applied Sciences. 2025; 15(5):2870. https://doi.org/10.3390/app15052870
Chicago/Turabian StyleÇerçevik, Ali Erdem, and Nihan Kazak Çerçevik. 2025. "Energy-Based Optimization of Seismic Isolation Parameters in RC Buildings Under Earthquake Action Using GWO" Applied Sciences 15, no. 5: 2870. https://doi.org/10.3390/app15052870
APA StyleÇerçevik, A. E., & Kazak Çerçevik, N. (2025). Energy-Based Optimization of Seismic Isolation Parameters in RC Buildings Under Earthquake Action Using GWO. Applied Sciences, 15(5), 2870. https://doi.org/10.3390/app15052870

