You are currently viewing a new version of our website. To view the old version click .
Applied Sciences
  • Article
  • Open Access

2 March 2025

Three-Dimensional FEM Analysis of the Protective Effects of Isolation Piles on Tunnels Under Adjacent Excavations

,
,
,
and
1
Department of Civil Engineering, Zhejiang University, Hangzhou 310058, China
2
Ningbo Rail Transit Group Co., Ltd., Ningbo 315101, China
3
Deep Mining and Rock Burst Research Branch, Chinese Institute of Coal Science, Beijing 100013, China
4
State Key Laboratory of Hydroscience and Engineering, Tsinghua University, Beijing 100084, China
This article belongs to the Special Issue New Challenges in Urban Underground Engineering

Abstract

Isolation piles are critical for mitigating excavation-induced tunnel displacements, yet two unresolved challenges persist in tunnel engineering: (1) controversies regarding the influence of key parameters (e.g., pile head depth, pile length, and pile-to-pit distance) on their performance, and (2) insufficient understanding of the effects on both horizontal and vertical displacement control of tunnel. These challenges stem from the current research focus on isolated displacement components or simplified scenarios, which fails to address the complex interactions between key parameters and the deformation mechanisms. To address these gaps, this study proposes a hybrid validation framework integrating a three-dimensional finite element model (HS-Small constitutive model) with field monitoring data. A concept of “control efficiency” is introduced to quantify the effectiveness of isolation piles, complemented by a parametric sensitivity analysis framework. By synergizing the mirror image method and statistical theory, the research reveals a dual-path control mechanism involving displacement blocking and tunnel geometric reconfiguration. The findings advance the state of the art by resolving controversies over critical parameters and establishing a unified theoretical framework for coupled displacement control, providing actionable insights for optimizing isolation pile design in engineering practice.

1. Introduction

The increasing demand for urban development and the limited availability of space have resulted in buildings being constructed in close proximity to, or even directly above, metro tunnels [1]. These construction activities inevitably affect nearby metro systems, and excessive deformation can cause damage such as cracks, leakage, and other structural issues, which may disrupt metro operations and pose safety risks [2,3]. In response, isolation piles are commonly used in engineering practice to create a barrier between excavation sites and tunnels and reduce the impact of excavation-induced movements [4]. This protective measure is essential for safeguarding existing tunnel structures. Consequently, investigating the effectiveness of isolation piles in mitigating these impacts holds significant practical and research value, as it enables the optimization of their design and implementation [5].
In recent years, substantial research has been conducted to explore the effects of isolation piles on tunnel deformation through a variety of approaches, including numerical simulations [6,7], field monitoring [1,8], theoretical analysis [9,10], and indoor model tests [11,12]. Despite significant advancements in understanding the role of isolation piles in controlling tunnel deformation, several controversial conclusions persist. These debates primarily focus on key factors such as pile head depth, pile length, and pile-to-tunnel distance. A summary of the relevant conclusions and analytical details is provided in Table 1. Specifically, regarding the influence of pile head depth, Zhou et al. [13] identified a complex relationship between pile head depth and tunnel horizontal deformation, where the deformation initially increases, then decreases, and later increases again before ultimately decreasing, based on two-dimensional numerical simulations. In contrast, Zheng et al. [1] and Fu et al. [14] observed a more straightforward trend, with horizontal displacement initially decreasing and then increasing as pile head depth increased, based on three-dimensional simulations. Liu et al. [15] reported that tunnel horizontal deformation decreased as pile head depth increased when the isolation pile was placed at the center of the foundation pit, based on indoor model tests. As for the influence of pile length, through a three-dimensional finite element analysis, Zheng et al. [5] identified two distinct zones in the soil surrounding the foundation pit: a displacement-affected zone (traction effect) and an anchorage zone (isolation effect). They observed that as the isolation pile length increased, the traction effect became more pronounced, leading to an increase in horizontal displacement. However, once the isolation pile entered the anchorage zone, the horizontal displacement decreased as the pile length increased. In contrast, Yang et al. [16] found that tunnel deformation decreased as the pile length increased using three-dimensional numerical simulations. Likewise, by employing numerical simulations, Zheng [17] found that the tunnel deformation initially decreased, then increased, and later decreased again with increasing pile length. Based on a theoretical analysis, Wei et al. [10] found that tunnel deformation initially decreased and then increased as the isolation pile length increased. The distance between the isolation pile and tunnel also influenced horizontal displacement, with Zheng et al. [17] noting a trend of increasing displacement. Wei et al. [10], on the other hand, found that horizontal displacement decreased as the distance increased. These findings indicate that there is considerable controversy regarding the effects of pile head depth, pile length, and pile-to-tunnel distance on tunnel deformation, and a unified mechanism that systematically explains these phenomena is still lacking. Moreover, previous studies have mainly focused on either horizontal or vertical displacements independently. This research acknowledges that these deformations do not always follow the same pattern; indeed, they may even exhibit opposing trends. Focusing on only one direction at a time could lead to incomplete or misleading conclusions, especially when isolation piles have different influences on the two displacement directions.
Table 1. Influences of pile head depth, pile length, and pile-to-tunnel distance on the horizontal displacement j of the tunnel.
As shown in Figure 1, This study investigates the vertical and horizontal displacements of existing tunnels in soft soils resulting from excavation, utilizing 3D Finite Element Method (FEM) simulations that are validated through field monitoring data. The analysis included soil displacement and tunnel deformation with and without isolation piles. A comprehensive parametric analysis was then conducted. The working mechanism of isolation piles in mitigating both horizontal and vertical displacement of the tunnel was identified by analyzing the influence of isolation piles on the soil displacement and tunnel deformation at different cross-sectional locations. Based on the mechanism, the influences of pile head depth, pile length, and pile-to-pit distance were systematically analyzed. Additionally, the controversies on the influence of isolation pile on tunnel deformation were figured out. This study ultimately emphasizes the importance of considering both vertical and horizontal tunnel displacements in unison. The findings provide valuable insights for optimizing isolation pile design and construction practices, enhancing the effectiveness and resilience of isolation piles.
Figure 1. A workflow diagram of this study.

2. Methodology

2.1. Element Mesh in FE Model

A three-dimensional model was developed using the finite element software PLAXIS 3D, which has been demonstrated to be highly effective in analyzing the influence of excavation on the tunnel deformation [18,19,20]. In this model, the soil was divided into 12 layers, with each layer assumed to be flat for simplicity, disregarding local variations in thickness. The soil layers are represented by 10-node wedge elements. The reinforced concrete struts, which resist bending, were modeled using three-node beam elements, each having six degrees of freedom per node in the global coordinate system. These beam elements, characterized by a single local coordinate system and quadratic interpolation, are numerically integrated with four-point Gaussian quadrature. Retaining piles and tunnel linings were simulated with six-node plate elements. All structures were assumed to behave in a linear elastic manner. To capture the interaction between the structures and the surrounding soil, 12-node interface elements were used, which allowed for the analysis of the contact, shear resistance, and separation behavior at the interface. A key parameter Rinter (the strength reduction factor) was introduced, which determines how the interface reacts to compressive forces. A higher Rinter value means the interface is stiffer and deforms less under load, while a lower value means the interface is more compliant and deforms more. Typically, the value of Rinter is taken as 0.67. The isolation piles were simulated using embedded pile elements. The embedded pile elements consist of plate elements combined with embedded interface elements. These interface elements capture the vertical interaction between the pile and the surrounding soil.

2.2. Constitutive Models

Laboratory experiments have demonstrated that when soil was subjected to primary deviatoric loads, its stiffness decreased, and irreversible plastic strains developed concurrently. Therefore, it is essential to account for small-strain soil stiffness and its nonlinear dependence on strain amplitude [21]. Neglecting small-strain stiffness may lead to an overestimation of deformations in retaining structures. The HS-Small model is suitable for simulating the behavior of various types of soils, including soft and stiff soils. Furthermore, a finite element analysis employing the HS-Small model has been confirmed to effectively predict soil and retaining structure deformations during excavation [19]. For these reasons, the HS-Small model has been selected for the analysis presented in this paper.
The yield function is described by a hyperbolic curve between the vertical strain ε and deviatoric stress q [22], as shown in Figure 2.
f 1 = 2 ε 2 q E u r γ p s = q a E 50 q q a q 2 q E u r γ p s
where γ p s is the plastic strain hardening parameter; qa is the asymptotic shear stress, which is determined by the ultimate shear stress qf and the failure ratio Rf (qa = qf/Rf) [22]; and E50 and Eur are the secant modulus and are expressed by
E 50 = E 50 r e f σ 3 + c cot φ σ r e f + c cot φ m
E u r = E u r r e f σ 3 + c cot φ σ r e f + c cot φ m
where m is the power for stress-level dependency of stiffness, E50ref is the secant stiffness in a standard drained triaxial test, and Eurref is the unloading/reloading stiffness. It is common to set Eurref = 3E50ref. For soft soils, E50ref could be expressed by
E 50 r e f = 2.3 1 + e int C c p r e f
where Cc is the compression index, eint is the initial void ratio, and pref is the reference stress for stiffnesses.
Figure 2. Stress–strain relationship in a standard drained triaxial test.
To capture the small-strain stiffness of soil, the Hardin–Drnevich hyperbolic model from soil dynamics is integrated into the model [23]:
G G 0 = 1 1 + 0.385 γ γ 0.7
where γ 0.7 is the threshold shear strain, which corresponds to the shear strain at which the shear modulus G decreases to 0.722G0, and G0 is the initial shear modulus of the soil at extremely small strains and can be expressed by
G 0 = G 0 r e f c cos φ + σ 3 sin φ c cos φ + p r e f sin φ m
where G0ref is the reference shear modulus at extremely small strains.

2.3. Definition of Control Efficiency

The horizontal and vertical control efficiencies Γ H and Γ V were suggested by Bilotta et al. [24] and adopted in this study to assess the role of isolation piles in mitigating tunnel deformation caused by excavation. Their expressions are written as
Γ H = S H 1 S H 2 S H 1
Γ V = S V 1 S V 2 S V 1
where SH1 and SV1 are the maximum horizontal and vertical displacements of the tunnel without the isolation pile, and SH2 and SV2 are the maximum horizontal and vertical displacements of the tunnel with the isolation pile.

3. Applying the Methodology to the Engineering Case

3.1. Engineering Background

3.1.1. Ningbo Metro Line 1

Ningbo Metro Line 1 is a crucial transportation route that connects the urban areas of Ningbo from east to west. As illustrated in Figure 3, the section under study comprises two parallel tunnels, which are part of Line 1. These twin tunnels were constructed using Earth Pressure Balanced Shield (EPBS) machines. The tunnel crown depth is approximately 14 m. The internal and external diameters of the tunnel linings are 5.5 m and 6.2 m, respectively. The concrete used for the tunnel linings has a Young’s modulus of 34.5 GPa. The tunnel ring consists of six prefabricated reinforced concrete segments, each 0.35 m thick and 1.2 m wide. These segments are connected using bent bolts in both the longitudinal and circumferential directions. The tunnel was equipped with 11 monitoring sections (T1–T11) to measure the tunnel deformation, with a distance of 8 m between adjacent sections.
Figure 3. Schematic layout of the project.

3.1.2. Adjacent Excavation

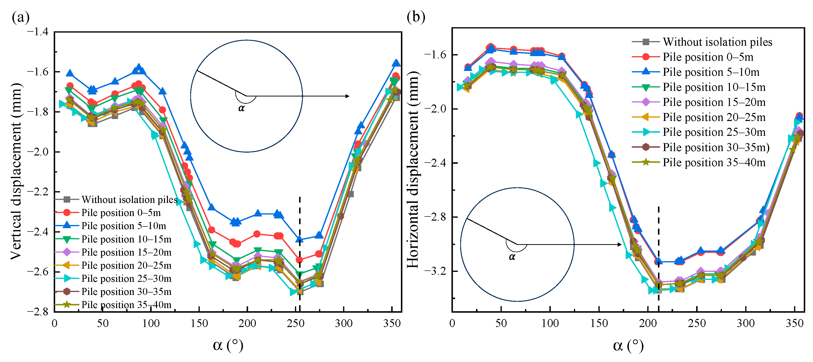
As shown in Figure 3, the excavation is laterally adjacent to the tunnels, with a minimum horizontal distance of 40 m, which is less than the critical distance of 50 m for risk management, as specified by DB33/T1139-2017 [25]. The total area of the excavation was 11,000 m2, and the excavation depth was 10 m. To support the excavation, retained piles (ϕ1000 mm at 1200 mm spacing) and two levels of horizontal internal struts made of reinforced concrete were employed. The cross-sectional dimensions of the struts varied across different zones, ranging from 700 mm to 900 mm in width and depth. As illustrated in Figure 4, the excavation was carried out in three vertical steps, to depths of 2.9 m, 7.6 m, and 10 m. Correspondingly, two levels of reinforced concrete struts were installed at depths of 2.5 m and 7.5 m. It took 40 days to excavate down to the first level of strut, 36 days to reach the second level of strut, and 55 days to complete the excavation to the base of the foundation pit. Additionally, to enhance the safety of the retaining structure, minimize the internal forces in the retaining piles and the deformation of the retaining structure, reduce costs, and make optimal use of the surrounding site, a suspended support system was adopted. The capping beam was set 1.0 m below the natural ground level. Monitoring points were arranged around the perimeter of the excavation site to analyze the impact of excavation on the surrounding environment. Point C1 was located on the retaining pile, while point C2 was positioned 15 m outside the excavation.
Figure 4. Profile of the relative positions of the foundation pit, isolation pile, and tunnel.

3.1.3. Isolation Piles

There were 70 bored piles outside the pit, with a pile diameter of 1.2 m, a pile spacing of 1.6 m and a pile length of 50 m. Each pile body was made of C30 concrete. As shown in Figure 4, the isolation pile was 5.0 m from the foundation pit. The minimum distance between the isolation pile and the tunnel was 35 m.

3.1.4. Geological Conditions

The twin tunnels and excavation were constructed in typical soft soil strata. The groundwater level was at a depth of 0.5–1.0 m below the ground surface. The burial distribution of the various soil layers at the construction site is presented in Figure 5, with detailed characteristics and properties provided in Table 2. Based on Figure 5 and Table 2, it can be observed that the soil layers within the excavation depth of the foundation pit consist of 2a muddy clay, 2c mud, and 2d muddy clay, characterized by their gray color, fluid–plastic state, thick stratification, and high compressibility. These layers contain minor organic streaks and silty clumps, exhibiting non-uniform soil properties with an average moisture content of 48%. These layers belong to the Holocene (Q4) deposits, formed during the Quaternary period (approximately 10,000 years ago to the present). The strata where the tunnel is located comprise 3a clayey silty sand and 3b silty clay interbedded with silty sand. These soils are gray, loose to slightly dense, saturated, and thickly stratified and exhibit medium to low compressibility, with non-uniform properties and an average moisture content of 27%. These layers belong to the Late Pleistocene (Q3) deposits, formed during the Quaternary period (approximately 126,000 to 10,000 years ago). Overall, the site’s soil layers are characterized by high moisture content, high porosity, and low density, representing a typical soft clay formation. The bottom of the isolation piles primarily lies within layers of silty clay and sand, which are more favorable for construction due to their lower water content, reduced compressibility, and higher strength, offering substantial end-bearing capacity.
Figure 5. Engineering geological cross-section.
Table 2. Physical and mechanical properties of the soils.

3.2. FE Model for the Engineering Case

To minimize the effects of boundary conditions, the distance between the lateral boundaries was set to be 3 to 5 times the final excavation depth, in accordance with the recommendations of Lim et al. [26]. As a result, the model domain was defined as 280 × 240 × 60 m3, as shown in Figure 6. Consequently, the 3D numerical model consists of 232,895 elements. Meanwhile, the lateral boundaries were constrained in the horizontal direction, and the bottom boundary was fixed in both the vertical and horizontal directions.
Figure 6. Three-dimensional finite element model: (a) model, (b) structure, and (c) mesh map.

4. Results and Discussion

4.1. Verification of Numerical Simulation

4.1.1. Input Parameters

The model parameters used in this study were derived from a series of laboratory tests, including triaxial isotopically consolidated undrained tests, drained tests, and oedometer tests. The input soil parameters for numerical modeling are summarized in Table 2.
According to the study by Dai et al. [21], the thickness of the plate element d, used to simulate the retaining piles was determined according to the bending equivalent principle:
d = 12 π D r 64 t
where Dr is the pile diameter and t is the center-to-center spacing between adjacent piles.
The tunnel lining of the interval shield tunnel is composed of general segments with staggered joints. These segments are connected longitudinally and circumferentially using bolts, rather than forming a continuous medium. To account for this discontinuity, the stiffness is reduced in the calculation process. Based on previous studies [2,22], the transverse stiffness is reduced by a factor of 0.75, while the longitudinal stiffness is reduced by a factor of 0.2.
The main structural model parameters in the finite element numerical calculation are shown in Table 3.
Table 3. The main structural model parameters.

4.1.2. Numerical Modeling Procedure

In the modeling process of this study, to simplify the analysis, seepage effects were not considered. This is mainly because a bottom-sealing waterproof curtain was employed, which extends into the weak permeable layer to isolate the water connection between the interior and exterior of the excavation pit, allowing for “dry” excavation. It was generally assumed that dewatering within the excavation had little impact on the water level outside the excavation. Therefore, the difference in water levels between the inside and outside of the excavation could be directly defined [2]. The pore pressure distribution on both sides of the retaining structure was then calculated using the hydrostatic pressure method, with the “phreatic surface” type selected for the pore pressure calculation. Accordingly, it was assumed that the pore water pressure above the groundwater table was zero, and the interface elements of the retaining piles were set as impermeable. The water head within the pit was set at 0.5 m below the excavation surface, and the hydrostatic pressure was calculated.
According to the construction process provided by the chosen scheme, the excavation process of the foundation pit was simulated as follows:
(1)
Calculation of the initial in situ stress field.
(2)
Generation of the tunnel structure.
(3)
Generation of the retaining and isolation piles.
(4)
Excavation to 2.9 m below ground level.
(5)
Setting of the first-level horizontal struts.
(6)
Excavation to 7.6 m below ground level.
(7)
Setting of the second-level horizontal struts.
(8)
Excavation to the bottom of the pit.
A meshing sensitivity analysis was conducted to ensure the accuracy of the results. Specifically, when the number of elements was increased by 100%, the change in the maximum tunnel deformation was less than 3%. This indicates that the mesh used was adequately refined.

4.1.3. Verification

The evolution of horizontal displacement of the retaining wall (monitoring point C1) with depth is presented in Figure 7. Positive horizontal displacement indicates movement toward the foundation pit. As shown in Figure 7, the predicted values from the numerical simulation closely align with the measured data. The maximum horizontal displacements occur at the bottom of the foundation pit.
Figure 7. Evolutions of the horizontal displacement of the retaining wall (C1) and the depth.
The evolution of horizontal displacement of the soil at a distance of 15 m from the excavation (monitoring point C2) with depth is presented in Figure 8. The results in Figure 8 show that the deformation curve under various excavation depths exhibits a “cantilever” shape, with the maximum displacement occurring near the shallow surface. When the excavation reached a depth of 2.9 m, the maximum horizontal displacement of the soil was approximately 9 mm. At a depth of 7.6 m, the maximum horizontal displacement increased to around 20 mm, and at 10 m, it further increased to 23 mm. Abnormal fluctuations are observed in the measured data at a depth of 5 m. This is likely due to the influence of the surrounding construction loads. From a global perspective, the finite element calculation results align reasonably well with the measured deformation curves. Additionally, it can also be observed in Figure 8 that the predicted horizontal displacement without isolation piles is obviously higher than that with isolation piles, indicating that the isolation piles effectively restrain the soil deformation.
Figure 8. Evolutions of the horizontal displacement of the soil at a distance of 15 m away from the excavation (C2) and the depth.
The evolution of both horizontal and vertical displacements of the tunnel with respect to the monitoring points is presented in Figure 9. Positive horizontal displacement indicates movement towards the foundation pit, while negative vertical displacement represents settlement of the tunnel. Overall, the predicted values from the numerical simulations are in good agreement with the measured data. However, notable fluctuations in both the horizontal and vertical displacements are observed, which are not captured by the numerical simulation. This discrepancy may be attributed to construction-induced disturbances and the uneven stiffness of the tunnel. Additionally, it can be observed in Figure 7 that the tunnel deformation without isolation piles is noticeably greater than that with isolation piles, further confirming the beneficial role of isolation piles in mitigating tunnel deformation. The underlying mechanisms of isolation piles are explored in the subsequent section.
Figure 9. Evolutions of the horizontal displacement (a) and vertical displacement (b) of the tunnel with the monitoring point along the tunnel.
To quantitatively analyze the accuracy of the predicted results in Figure 5, Figure 6 and Figure 7, the relationship between the predicted values and measure values is plotted in Figure 10, where the coefficient of determination (R2) is calculated. An R2 value close to 1 means the model explains most of the variance in the measured data, suggesting a good fit.
R 2 = 1 y m y p 2 y m y m a v e 2
where ym is the measured value, yp is the predicted value, and ym−ave is the average measured value.
Figure 10. Comparison between the predicted and measured values.
It can be observed that the fitting curve y = x could well simulate the scatter plots and the R2 value was 0.96, indicating the high accuracy of the model. Additionally, the number of elements was increased by 100%, and the maximum tunnel deformation changed by less than 3%, demonstrating that the current mesh resolution is sufficient to ensure the model’s accuracy.

4.2. Mechanism of Isolation Piles Controlling the Tunnel Deformation

To investigate the mechanism by which isolation piles control tunnel deformation induced by excavation, the foundation pit dimensions were simplified to 20 × 40 m (Figure 11), and a corresponding finite element model with dimensions of 140 × 100 × 50 m (Figure 12) was established, consisting of 33,510 elements. All other parameters and model settings were maintained, consistent with the original configuration. Additionally, a meshing sensitivity analysis was conducted to ensure the accuracy of the results. Specifically, when the number of elements was doubled, the change in the maximum tunnel deformation was less than 3%, indicating that the mesh used was sufficiently refined. Meanwhile, to avoid inconsistent meshing and potential increased analysis errors when analyzing different isolation pile parameters, all scenarios were considered within one model. During analysis, only the relevant conditions for each scenario were activated. The parameters of the soil layer, tunnel, and beam were consistent with those in the above model. The working conditions were primarily categorized based on the distance (x) between the foundation pit and the isolation piles, with three key values: 2 m, 5.5 m, and 9 m. Additionally, the effects of the pile head depth (u) and pile toe depth (w) were also considered. The specific parameters are summarized in Table 4, and a total of 108 cases were analyzed.
Figure 11. Simplified finite-element model for parametric study.
Figure 12. Three-dimensional finite-element model for parametric analysis.
Table 4. Parametric variables selected for resolving controversial factors in tunnel protection to better reflect the scope and content of the parametric study.
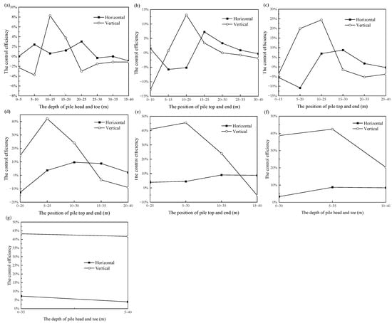
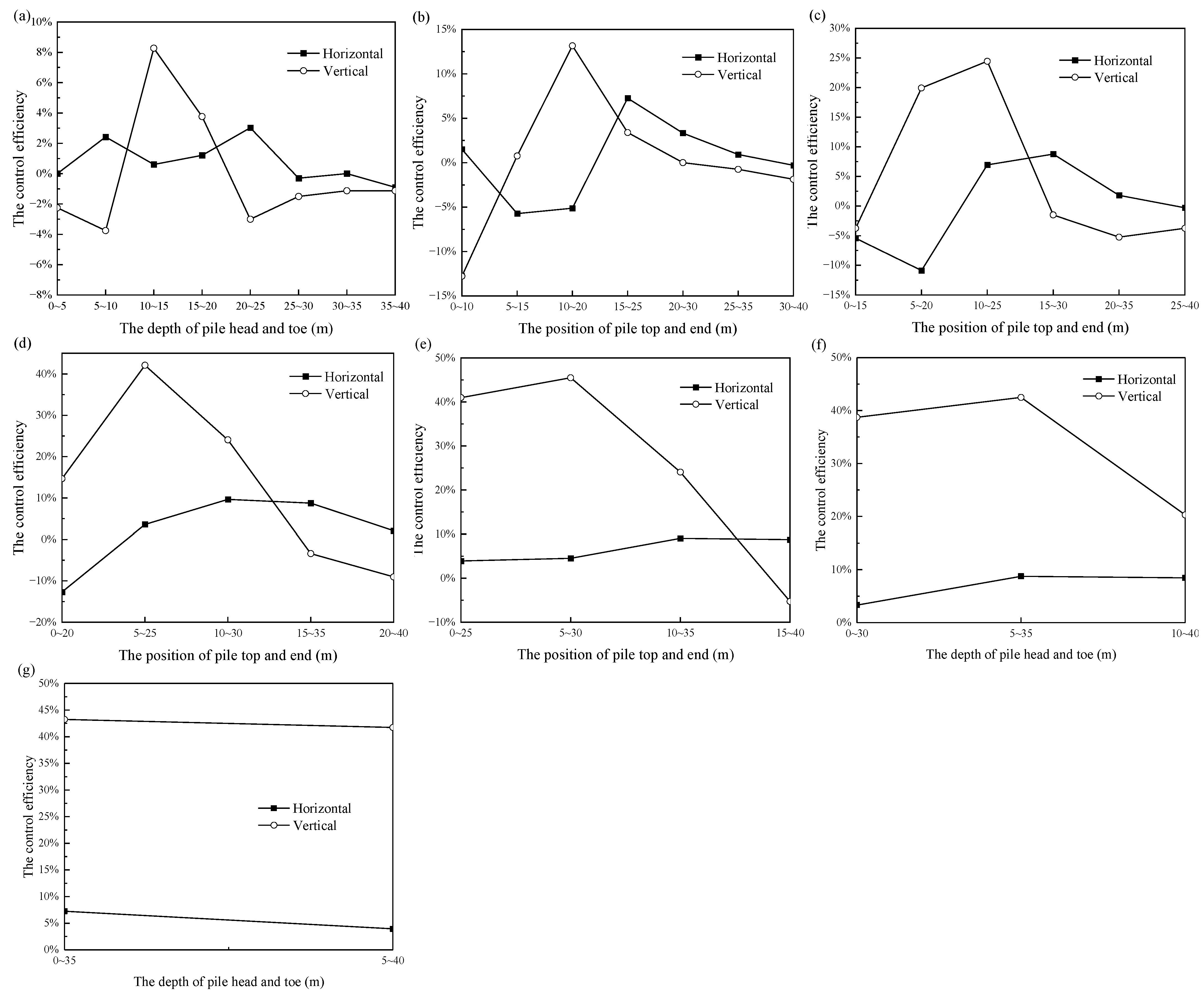
The horizontal and vertical control efficiencies of isolation piles with x = 2 m are presented in Figure 13. For cases with a pile length of 5 m, both the vertical and horizontal control efficiencies initially increased, then decreased, and gradually approached zero as the depth of the pile head increased. In contrast, when the pile length exceeded 5 m, the overall trend for both vertical and horizontal control efficiencies remained similar, though some local variations were observed.
Figure 13. Relationships between control efficiency and pile position (x = 2 m) for varying pile lengths: 5 m (a), 10 m (b), 15 m (c), 20 m (d), 25 m (e), 30 m (f), and 35 m (g).
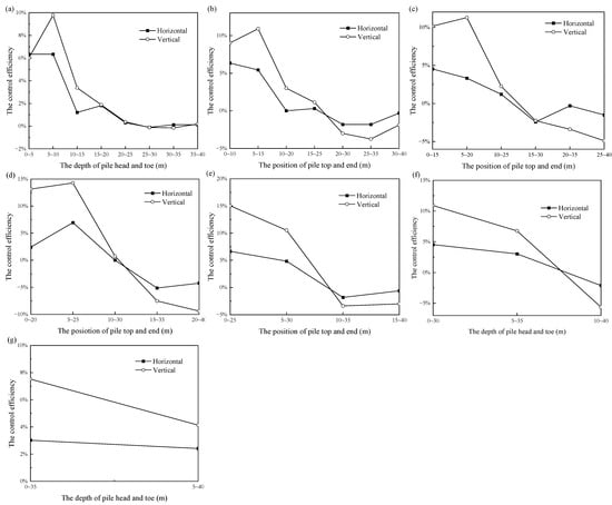
The vertical and horizontal control efficiencies with x = 5.5 m are shown in Figure 14. For cases with a pile length of 5 m, both the vertical and horizontal control efficiencies first increased, then decreased, and eventually stabilized at a constant value with the increase in the pile head depth. For longer pile lengths, from a global perspective, the vertical control efficiency decreased as the pile head depth increased, while the horizontal control efficiency exhibited either a fluctuating or decreasing trend. This behavior differs from the patterns observed in Figure 13.
Figure 14. Relationships between control efficiency and pile position (x = 5.5 m) for varying pile lengths: 5 m (a), 10 m (b), 15 m (c), 20 m (d), 25 m (e), 30 m (f), and 35 m (g).
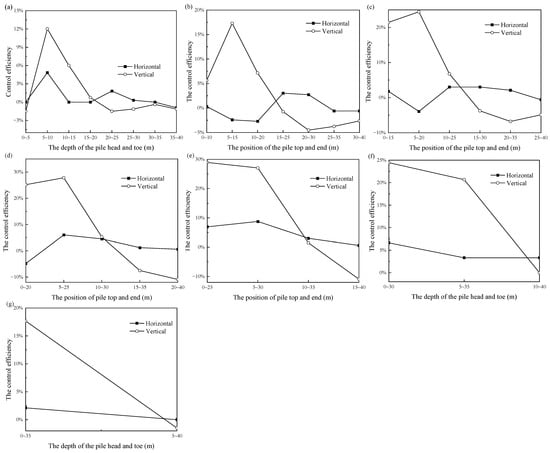
The vertical and horizontal control efficiencies with x = 9 m are shown in Figure 15. For cases with a pile length of 5 m, the vertical control efficiency initially decreased, then increased, decreased again, and finally increased once more as the depth of the pile head increased. In contrast, the horizontal control efficiency first increased, then decreased, increased again, and ultimately decreased as the depth of the pile head increased. For longer pile lengths, the vertical control efficiency generally showed a downward trend, while the horizontal control efficiency either increased or decreased with increasing pile head depth. These trends differ from those presented in Figure 13 and Figure 14, which can be attributed to the combined effects of pile blocking and alterations in the tunnel’s geometric configuration. A more detailed explanation for these observations is provided below:
Figure 15. Relationships between control efficiency and pile position (x = 9 m) for varying pile lengths: 5 m (a), 10 m (b), 15 m (c), 20 m (d), 25 m (e), 30 m (f), and 35 m (g).
The maximum horizontal displacement of soil at the position of the isolation piles for cases with a pile length of 5 m and x = 2 m is plotted in Figure 16. As shown in Figure 16, due to the blocking effects of the isolation piles, the maximum horizontal displacement of soil at the position of the isolation piles initially decreased and then increased, as the depth of the pile head increased. According to the mirror image method proposed by Sagaseta [27], increased soil deformation leads to greater tunnel deformation, which, in turn, reduces the control efficiency of the isolation piles. The trend of the curve obtained by flipping the one in Figure 16 along the x-axis aligns with the trend of the control efficiency of the isolation piles. This suggests that the control efficiency of the isolation piles is primarily influenced by the displacement of the soil at the pile locations. Additionally, based on the soil displacement vector and deviatoric strain, significant soil movement (within the influence zone [19]) around the retaining pile toe could be observed. This movement mainly occurred within an obliquely upward 45° zone, below which soil displacement decreased considerably. As a result, the blocking effects of the isolation piles diminished when the pile head depth exceeded 25 m. At this point, the maximum horizontal displacement of the soil approached that of a scenario without isolation piles, explaining why the control efficiency tends toward zero at such depths.
Figure 16. Evolutions of the maximum horizontal displacement of soil at the isolation piles with the depth of the pile head for cases with x = 2 (a) and 9 m (b).
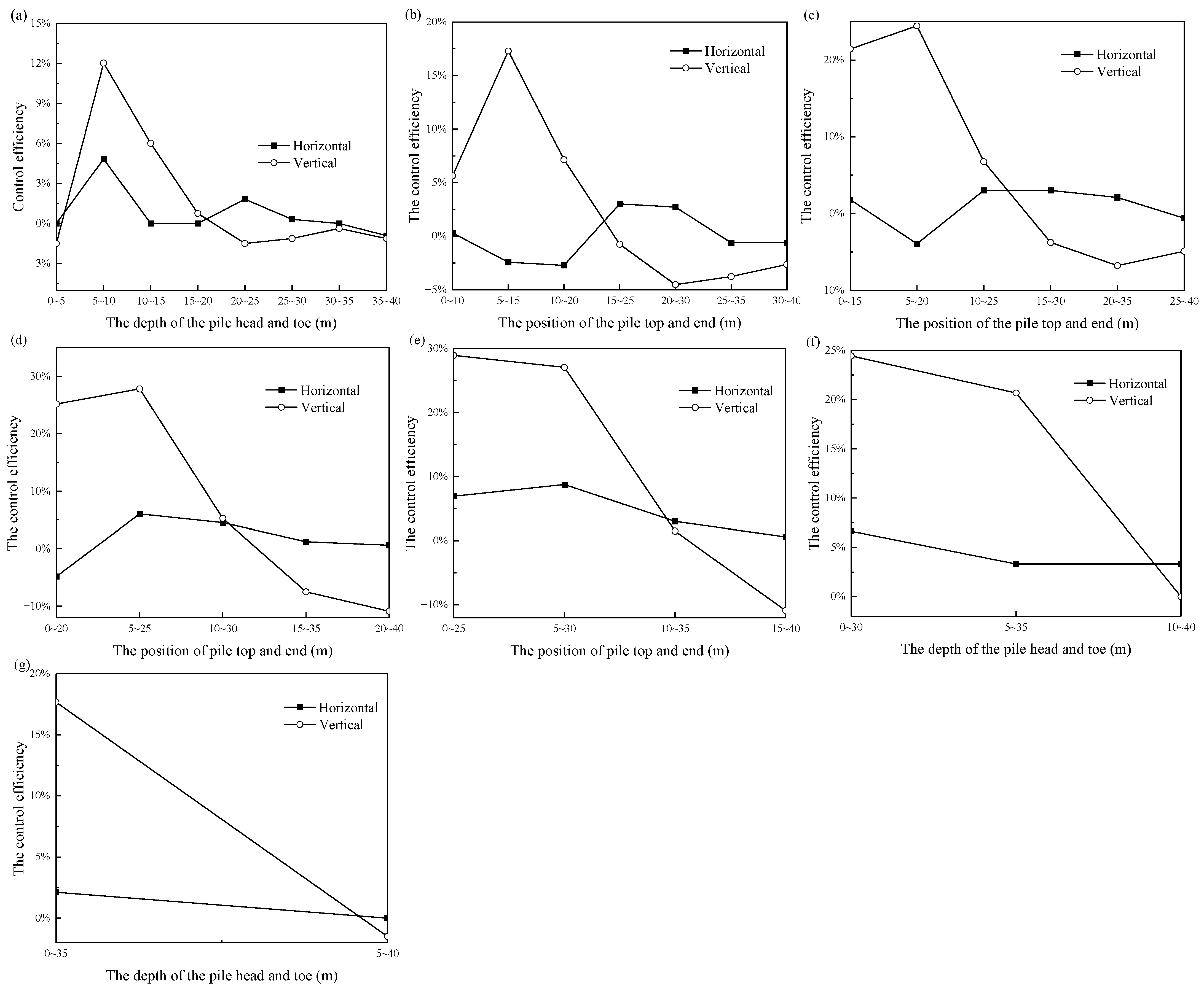
Meanwhile, according to the numerical results, the vertical and horizontal displacements at various positions of the tunnel are presented in Figure 17. It is evident that these displacements vary significantly across the tunnel, suggesting that the tunnel’s shape has deviated from its original circular geometry. Specifically, Figure 17 indicates that, regardless of the pile position, the maximum vertical displacements occurred near the tunnel crown, while the maximum horizontal displacements were observed near the tunnel waist. As shown in Figure 18, these critical locations were marked as points D and C, with additional points A and B selected to further illustrate the tunnel’s deformation. The tunnel deformation has been amplified by a factor of 1600 to highlight the significant rotation and elongation of the tunnel towards the foundation pit following excavation. This phenomenon can help explain the observed discrepancies in the vertical and horizontal control efficiencies of the isolation piles.
Figure 17. Evolutions of vertical (a) and horizontal (b) displacement of the tunnel with the center angel (α).
Figure 18. Schematic diagram of the tunnel deformation due to excavation with and without isolation piles.
Figure 18b further illustrates that the trend in horizontal displacement of the soil for the case with x = 9 m closely mirrors that of the case with x = 2 m. However, the trend in control efficiency for these two cases differs significantly. This suggests that other factors may influence the control efficiency of the isolation piles. In addition to reducing soil displacement, the isolation piles also affected the direction of soil movement, which played a crucial role in the development of tunnel deformation, particularly when the piles were situated near the tunnel. According to the numerical results, the directions of soil movement before and after excavation are presented in Figure 18c. As shown in the figure, as the depth of the pile head increased, the soil near the isolation piles moved in various directions: from the lower left to lower, from the lower left to upper left, and from upper left to left. These movements resulted in the tunnel shifting to the lower right, upper right, and lower right, respectively. At the same time, the tunnel’s deformation was influenced by both the soil displacement at the isolation piles and the changing geometric shape of the tunnel. Consequently, the vertical control efficiency first decreased, then increased, decreased again, and finally increased as the pile head depth increased. Similarly, the horizontal control efficiency initially increased, then decreased, increased again, and finally decreased as the pile head depth increased. For the case with x = 5.5 m, the behavior represented a transition between the trends observed for the cases with x = 2 m and x = 9 m. Moreover, the trend observed for other pile lengths can be understood as a combination of the behavior seen for a pile length of 5 m, which reflected the underlying mechanisms associated with that specific pile length.

4.3. Influence of Pile Head Depth (With Fixed Pile Toe Depth)

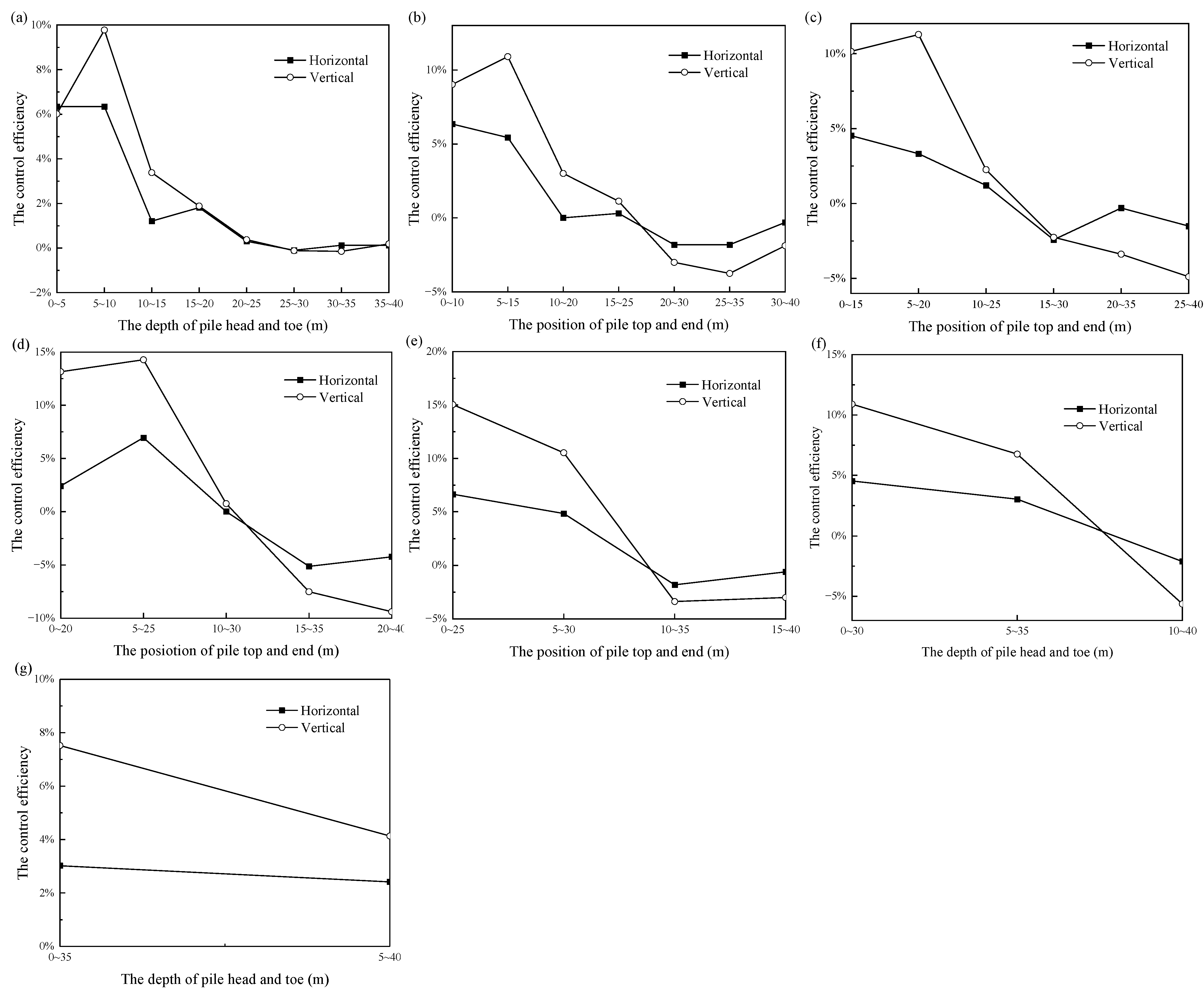
The depth of the pile toe was fixed at 40 m. Under the influence of the mechanisms described above, the evolutions of vertical and horizontal control efficiencies with the pile head depth for cases with x = 2, x = 5.5, and x = 9 m are presented in Figure 19. From a global perspective, as the pile head depth increased, the vertical control efficiency decreased from a positive value to a negative value and then began to rise again. Notably, the maximum vertical control efficiencies for all cases occurred when the pile head depth was approximately 0-5 m. This indicates that isolation piles with a pile head depth of 0 m could be more effective in controlling vertical displacement of the tunnel.
Figure 19. Relationships between control efficiency and pile head depth for cases with x = 2 (a), 5.5 (b), and 9 m (c).
It can also be observed in Figure 19 that at x = 2 m, the horizontal control efficiency generally showed a trend of first decreasing and then increasing as the pile head depth increased. At x = 5.5 m, the horizontal control efficiency initially decreased, then increased, and finally decreased again as the pile head depth increased. At x = 9 m, the horizontal control efficiency first increased and then decreased with increasing pile head depth. Additionally, as shown in Figure 19, it is observed that as the distance between the isolation pile and the excavation increased, the horizontal control efficiency of the isolation pile gradually shifts from a negative value to a positive one.

4.4. Influence of the Pile Length (With Fixed Pile Head Depth)

The pile head depth was fixed at 0 m. Figure 20 illustrates the relationship between pile length and control efficiency at various distances from the excavation. At x = 2 m, the vertical control efficiency initially increased and then decreased as the pile length increased, with a turning point occurring at a pile length of 25 m. At x = 5.5 m, the reduction in vertical control efficiency became less pronounced when the pile length exceeded 25 m. At x = 9 m, the vertical control efficiency tended to stabilize when the pile length exceeded 25 m. This phenomenon can be attributed to the blocking effect of the isolation piles. Figure 21 shows the maximum soil displacement at the isolation pile for varying pile lengths at x = 2 m. The data indicate that, due to the blocking effect of the isolation pile, the maximum soil displacement initially decreased and then increased with increasing pile length, which corresponds to the observed trend in vertical control efficiency—first increasing and then decreasing. As the distance between the isolation pile and the foundation pit increased, the blocking effect of the isolation pile altered the local soil displacement field. This resulted in a reduced rate of decrease or stabilization of the control efficiency when the pile length exceeded 25 m.
Figure 20. Relationships between control efficiency and pile length for cases with x = 2 (a), 5.5 (b), and 9 m (c).
Figure 21. Relationships between the maximum horizontal displacement of soil at isolation piles and the position of the pile head and toe for cases with x = 2 m.
In addition, it is observed in Figure 20 that the horizontal control efficiency of the isolation pile generally followed a trend similar to that of the vertical control efficiency for most pile lengths. However, the horizontal control efficiency exhibited an inverse trend relative to the vertical control efficiency within certain pile length ranges: 10–20 m for x = 2 m, 15–20 m for x = 5.5 m, and 5–20 m for x = 9 m. This phenomenon is primarily due to changes in the soil displacement field and the tunnel’s geometric configuration. For example, at x = 2 m, the tunnel’s geometric configuration and soil displacement field for various pile lengths are shown in Figure 22. Under the blocking effect of the isolation pile, when the pile length was between 10 and 20 m, the direction of soil movement shifted toward the horizontal. This shift in soil displacement led to an increase in horizontal control efficiency for the isolation pile, as the blocking effect redirected the soil movement predominantly in the horizontal direction.
Figure 22. Schematic diagram of the tunnel deformation due to excavation with various pile lengths.

4.5. Influence of the Distance Between Isolation Piles and Pit

The vertical control efficiency for various distance between isolation piles and foundation pit is plotted in Figure 23. Figure 23 demonstrates that when the pile toe depth was less than 25 m, the vertical control efficiency of the isolation pile either decreased or initially increased and then decreased as the distance between the isolation pile and the foundation pit increased. However, when the pile toe depth exceeded 25 m, the vertical control efficiency generally showed an increasing trend or followed a pattern of first decreasing and then increasing. This behavior could be primarily attributed to the changes in the soil displacement field caused by the blocking effect of the isolation pile. The underlying explanations are as follows:
Figure 23. Relationships between vertical control efficiency and distance between the foundation pit and isolation piles for varying pile lengths: 10 m (a), 15 m (b), 20 m (c), 25 m (d), 30 m (e), 35 m (f), and 40 m (g).
For shallow pile depths, as the distance between the isolation pile and the foundation pit increased, the blocking effect altered the soil displacement field. This led to an increase in the vertical displacement of the tunnel. In contrast, for deeper pile depths, the influence of the isolation pile was more directly linked to the soil displacement at the pile location. According to the mirror image method [27], the soil displacement at the tunnel location was inversely proportional to the distance between the tunnel and the isolation pile. Therefore, assuming that the ratio of the maximum soil displacement at the isolation pile to that without the isolation pile remains constant for varying distances between the isolation piles and the foundation pit, the reduction in tunnel deformation became more pronounced as the distance between the isolation piles and the tunnel decreased. This results in greater effectiveness of the isolation piles in controlling deformation.
The horizontal control efficiency for various distances between isolation piles and foundation pit is plotted in Figure 24. The results in Figure 24 indicate that the trends in horizontal and vertical control rates were generally consistent. Specifically, the horizontal control rate exhibited one of the following trends as the distance between the isolation piles and the foundation pit increased: it either initially decreased and then increased, initially increased and then decreased, or consistently either decreased or increased.
Figure 24. Relationships between horizontal control efficiency and distance between the foundation pit and isolation piles for varying pile lengths: 10 m (a), 15 m (b), 20 m (c), 25 m (d), 30 m (e), 35 m (f), and 40 m (g).

4.6. Illustration of Controversies Regarding Effects of Isolation Piles on Tunnel Deformation

As shown in Table 1, the current understanding of the working mechanism of isolation piles can explain the patterns observed by the author, but it does not fully account for the differing results reported by other researchers. Therefore, this section aims to clarify these controversial conclusions based on the proposed mechanism.
Regarding the influence of pile head depth, current research primarily focuses on two aspects: maintaining a constant pile toe depth or keeping the pile length fixed. Firstly, in the case of keeping the pile length constant, a statistical analysis [28] of Figure 13, Figure 14 and Figure 15 reveals the variation pattern of the control efficiency of isolation piles with respect to pile head depth, as illustrated in Figure 25a. Figure 25a indicates that the trend in the control efficiency of isolation piles can be categorized into three types: monotonic (either increasing or decreasing), unimodal (first increasing then decreasing or vice versa), and oscillatory (changing N times). Specifically, when the isolation pile is near the foundation pit, the horizontal control efficiency exhibits an oscillatory pattern for pile head depths exceeding 20 m, a unimodal pattern for depths between 15 and 20 m, and a monotonic pattern for depths less than 15 m. For piles located in the middle of the foundation pit tunnel, the transition points for these patterns are at depths of 25 m and 15 m, while for piles near the tunnel, the transition points are at 25 m and 20 m. In the case of a constant pile toe depth, the control efficiency can also be divided into three categories, as illustrated in Figure 25b. For isolation piles near the foundation pit, the transition points are at depths of 15 m and 10 m; for those in the middle of the foundation pit tunnel, the transition points are at 25 m and 15 m; and for those near the tunnel, only monotonic and unimodal patterns are observed, with the transition point at 15 m. Overall, the variation pattern of the control efficiency with respect to pile head depth is mainly influenced by the position of the isolation pile and the maximum pile head depth. This conclusion effectively explains the controversial findings in Table 4 regarding the influence of pile head depth, except for the results of Liu et al. [15], which are based on only two sets of experiments and thus lack sufficient data for comprehensive analysis.
Figure 25. Variation pattern of the control efficiency of isolation piles for a constant pile length (a) and pile toe depth (b).
Regarding the influence of pile length, the variation trend of the control efficiency of isolation piles is primarily determined by the location of the isolation piles and the range of pile lengths studied. Based on Figure 20, the transition points of the horizontal control efficiency of isolation piles with respect to pile length at different locations can be statistically analyzed, as shown in Table 5. The transition points are determined by analyzing the ratio of the isolation pile length to the retaining pile length. It can be observed in Table 5 that near the tunnel, there are three transition points, while farther from the tunnel, there are four inflection points. The controversial conclusions in Table 4 regarding pile length are mainly due to differences in the locations of the isolation piles and the ranges of pile lengths studied, which align well with the findings in Table 5. It is noteworthy that the study by Wei et al. [10] found that the control efficiency of isolation piles initially decreased and then increased with increasing pile length, whereas the analysis in this table reveals a trend of initial decrease, followed by an increase, and finally a slight rise. This discrepancy may be attributed to the fact that Wei et al.’s research [10] was based on theoretical analysis, which could not account for the influence of soil displacement fields and tunnel cross-sectional deformation. However, overall, the findings of Wei et al. [10] are largely consistent with the conclusions of this study. Therefore, in practical engineering applications, by referring to this table, one can easily determine the control efficiency of isolation piles by analyzing the range of pile lengths under investigation.
Table 5. Transition points of the horizontal control efficiency of isolation piles at different locations.
Regarding the influence of pile-to-tunnel distance, the variation trend of the horizontal control efficiency of isolation piles is primarily influenced by the pile length and the pile head depth. Based on Figure 24, the pile lengths can be categorized into four groups, and the burial depths into two groups, resulting in a total of six categories, as summarized in Table 6. The controversial conclusions in Table 4 regarding the pile-to-tunnel distance are mainly due to differences in the studied pile lengths and burial depths, which can be well explained by the data presented in Table 6.
Table 6. The relationships between the variation trends and pile head depth as well as pile length.

4.7. Comprehensive Analysis of the Influences of Isolation Piles on the Horizontal and Vertical Displacement of Tunnel

The influence of isolation piles on the horizontal and vertical deformation of the tunnel was comprehensively analyzed from three key aspects: the variation patterns, the relative magnitudes of these two deformations, and whether the isolation piles have a positive effect.
Firstly, with regard to the variation patterns, it is clear in Figure 13, Figure 14 and Figure 15 that as the isolation pile moved closer to the excavation, the trends in both the horizontal and vertical control efficiencies of the isolation pile were generally consistent, both exhibiting a downward trend. However, as the isolation pile approached the tunnel, the variation trends for the two efficiencies diverged, particularly when the pile length and pile head depth were small. This behavior can be attributed to the mechanism by which the isolation pile controls tunnel deformation, which has been discussed in the previous section and will not be reiterated here.
Secondly, regarding the relative magnitudes of the two deformations, when the isolation pile was 2 m away from the excavation and its head depth was less than the tunnel depth (approximately 15 m), the vertical control efficiency of the isolation pile exceeded its horizontal control efficiency (Figure 13). Conversely, when the pile head depth exceeded the tunnel depth, the situation reversed. This phenomenon can be explained by the mechanism proposed in this study. Specifically, when the vertical control efficiency of the isolation pile was greater than the horizontal control efficiency, tunnel deformation was primarily influenced by the maximum deformation in the vertical plane of the isolation pile. In contrast, when the horizontal control efficiency was higher, the deformation was predominantly governed by changes in the surrounding soil displacement field around the tunnel. This conclusion is further corroborated by Figure 15, where it can be seen that when the isolation pile was 9 m from the excavation pit and has a shallow head depth, the vertical control efficiency was lower than the horizontal control efficiency. This is consistent with the earlier conclusions from the mechanism section: as the isolation pile approached the tunnel, its blocking effect on tunnel deformation is primarily reflected in the alteration of the surrounding soil displacement field.
Finally, regarding whether the isolation piles have a positive effect, for the case where the isolation pile was located 2 m from the excavation and its head depth is shallow, the isolation pile exerted a positive control on both the horizontal and vertical displacements of the tunnel. As the pile moved closer to the tunnel, a shallow pile still positively controlled vertical deformation of the tunnel, while a deeper pile exerted a positive effect on horizontal deformation.
Based on the above analysis, the findings can be applied in practical engineering to prioritize the protection of either vertical or horizontal tunnel deformation and to rationally adjust the location and depth of the isolation piles.

5. Conclusions

This research was motivated by two unresolved issues: (1) controversies regarding the influence of key parameters (e.g., pile head depth, pile length, and pile-to-pit distance) and (2) the neglect of both horizontal and vertical displacement control effects of isolation piles, used as protective measures to mitigate excavation-induced tunnel displacements. To address these issues, this study proposed a hybrid validation method combining a three-dimensional finite element model (HS-Small constitutive model) with field monitoring data. Additionally, the concept of “control efficiency” was introduced to quantify the effectiveness of isolation piles, and a parametric sensitivity analysis framework was established. Building on this foundation, this study integrated the mirror image method and statistical theory to reveal the mechanism by which isolation piles control tunnel deformation, clarify the underlying causes of controversial influencing factors, and conduct a comprehensive and integrated analysis of both horizontal and vertical control efficiencies, emphasizing their critical significance for engineering applications. The following conclusions can be drawn:
  • Theoretical innovation: dual-path control mechanism
Tunnel deformation is governed by the synergistic interaction between the displacement blocking effect of isolation piles and the geometric reconfiguration of the tunnel. The dual-path control mechanism operates as follows:
(1)
Displacement blocking effect:
The blocking effect primarily suppresses soil deformation at the location of the isolation piles, while also modifying the surrounding soil’s displacement field.
(2)
Geometric reconfiguration:
The tunnel’s geometric configuration undergoes obvious changes, including increased ellipticity and rotation. Maximum vertical deformation occurs near the tunnel crown, while maximum horizontal displacement is observed near the tunnel springline.
(3)
Combined influence:
Under the combined influence of these two factors, the isolation piles exhibit the following control characteristics:
i.
Pile head depth: For a fixed pile length, both the vertical and horizontal control efficiencies of the isolation piles generally decrease with increasing pile head depth or follow an initial increase-then-decrease trend, depending on the pile length and the distance between the pile and the excavation.
ii.
Optimal control: The optimal control effect is achieved when the pile head depth is zero and the length ratio of the isolation piles to retaining piles is approximately 1.
iii.
Pile-to-excavation distance: For a given pile length, the control efficiencies exhibit varying trends (e.g., initial decrease-then-increase, initial increase-then-decrease, or monotonic trends) as the distance between the isolation pile and the excavation increases.
This dual-path control mechanism provides a comprehensive framework for understanding the complex interactions between isolation piles, soil displacement, and tunnel deformation, offering valuable insights for optimizing isolation pile design in tunnel engineering.
2.
Controversy resolution
(1)
Pile head depth effects:
The control efficiency exhibits three patterns—monotonic, unimodal, and oscillatory—depending on the pile head depth and its position relative to the foundation pit and tunnel. These findings reconcile most existing controversies, except for studies with limited experimental data.
(2)
Pile length effects:
The control efficiency trends are determined by the length ratio of isolation piles to retaining piles. Discrepancies in previous studies are attributed to differences in pile length ranges and its position relative to the foundation pit and tunnel.
(3)
Pile-to-tunnel distance effects:
The horizontal control efficiency is influenced by both pile length and pile head depth, with six distinct categories identified. The results provide a clear explanation for existing controversies.
(4)
Practical implications:
The findings offer a practical reference for optimizing isolation pile design, emphasizing the importance of considering soil displacement fields and tunnel cross-sectional deformation in theoretical models.
3.
Comprehensive and integrated analysis of both horizontal and vertical control efficiencies
The relative magnitudes of the horizontal and vertical control efficiencies, whether these efficiencies follow consistent variation patterns or have a positive effect, depend on the pile head depth and pile-to-tunnel distance. This integrated analysis underscores the necessity of considering both horizontal and vertical displacement effects in isolation pile design, providing a holistic approach to tunnel deformation control.

Author Contributions

L.X.: Conceptualization, methodology, investigation writing—original draft preparation. J.Y.: Resources, validation, writing—review and editing. Y.Y.: Data curation, formal analysis. C.L.: Funding acquisition, supervision, writing—review and editing. X.L.: Resources, writing—review and editing. All authors have read and agreed to the published version of the manuscript.

Funding

This research was funded by the National Natural Science Foundation of China (52304089), the Open Research Fund Program of State key Laboratory of Hydroscience and Engineering (sklhse-2023-C-06), and the Special Project of Science and Technology Innovation and Venture Capital of Tiandi Co., Ltd. (2023-TD-QN003).

Data Availability Statement

The authors confirm that the data supporting the findings of this study are available within this article.

Acknowledgments

The authors are grateful to the editors and the anonymous reviewers for their insightful comments and suggestions.

Conflicts of Interest

Authors J.Y. and Y.Y. were employed by Ningbo Rail Transit Group Co., Ltd. The remaining authors declare that the research was conducted in the absence of any commercial or financial relationships that could be construed as a potential conflict of interest.

References

  1. Mu, L.; Zhang, P.; Shi, Z.; Zhu, M.; Gu, Z. Predicting longitudinal tunnel deformation due to deep excavation-induced ground movement. Tunn. Undergr. Space Technol. 2023, 131, 104793. [Google Scholar] [CrossRef]
  2. Zheng, G.; Wang, F.J.; Du, Y.M. The efficiency of the ability of isolation piles to control the deformation of tunnels adjacent to excavations. Int. J. Civ. Eng. 2018, 16, 1475–1490. [Google Scholar] [CrossRef]
  3. Zheng, G.; Su, Y.; Diao, Y.; Zhao, Y.; Chen, H.; Huang, J. Field measurements and analysis of real-time capsule grouting to protect existing tunnel adjacent to excavation. Tunn. Undergr. Space Technol. 2022, 122, 104350. [Google Scholar] [CrossRef]
  4. Bai, Y.; Yang, Z.; Jiang, Z. Key protection techniques adopted and analysis of influence on adjacent buildings due to the Bund Tunnel construction. Tunn. Undergr. Space Technol. 2014, 41, 24–34. [Google Scholar] [CrossRef]
  5. Zheng, G.; Du, Y.; Diao, Y. Optimization analysis of efficiency of isolation piles in controlling the deformation of existing tunnels adjacent to deep excavation. Chin. J. Rock Mech. Eng. 2015, 34, 3499–3509. [Google Scholar] [CrossRef]
  6. Mahajan, S.; Sharma, A.; Ayothiraman, R.; Sharma, K.G. Three-dimensional physical modeling of response of existing metro tunnel to pile loading in delhi silt in India. Pract. Period. Struct. 2023, 28, 04023008. [Google Scholar] [CrossRef]
  7. Bilotta, E.; Russo, G.; Viggiani, C. Numerical study of a measure for mitigating ground displacements induced by tunnelling. In Geotechnical Aspects of Underground Construction in Soft Ground; Taylor & Francis: Abingdon, UK, 2005; pp. 357–362. [Google Scholar]
  8. Chen, R.; Meng, F.; Li, Z. Investigation of response of metro tunnels due to adjacent large excavation and protective measures in soft soils. Tunn. Undergr. Space Technol. 2016, 58, 224–235. [Google Scholar] [CrossRef]
  9. Feng, G.; Xu, C.; Ding, Z.; Tey, M.; Cao, Z.; Liang, L.; Fan, X.; Yang, K. Enhanced theoretical approach for predicting the tunnel response due to deep excavation above. Transp. Geotech. 2024, 48, 101309. [Google Scholar] [CrossRef]
  10. Wei, G.; Mu, Z.Y.; Qi, Y.J. Deformation protection of shield tunnels next to foundation pits by isolation piles considering formation loss. Chin. J. Geotech. Eng. 2024, 46, 480–489. [Google Scholar] [CrossRef]
  11. Chen, R.P.; Ashraf, A.M. Three-dimensional centrifuge modelling of influence of nearby excavations on existing tunnels and effects of cut-off walls. Chin. J. Geotech. Eng. 2018, 40, 6–11. [Google Scholar] [CrossRef]
  12. Xu, X.; Hu, Q.; Zeng, L. Model tests on the effect of isolation pile on existing tunnel with adjacent excavation in dry sand. Chin. J. Rock Mech. Eng. 2020, 39, 3015–3022. [Google Scholar] [CrossRef]
  13. Zhou, X.G.; Zheng, H.F. Research on the influence of the setting method of isolation piles on the deformation of subway tunnels. Low Temp. Archit. Tech. 2019, 41, 128–131. [Google Scholar] [CrossRef]
  14. Fu, Z.F.; Ying, Y.L.; Zhou, W.S.; Pan, H.B. Influence of parameters of isolation piles outside the foundation pits on deformation of the adjacent existing subway tunnels. Saf. Environ. Eng. 2021, 28, 8. [Google Scholar] [CrossRef]
  15. Liu, K.; Xu, X.B.; Hu, Q. 1 g model test on the use of isolation piles for tunnel protection adjacent to soft soil excavation. Transp. Geotech. 2022, 35, 100790. [Google Scholar] [CrossRef]
  16. Yang, F.; Wei, H.W. The influence of foundation pit excavation on adjacent existing metro tunnels. Mod. Tunn. Tech. 2018, 55, 805–810. [Google Scholar] [CrossRef]
  17. Zheng, H.F. Optimization study on isolation piles for protecting subway from impact of foundation pit excavation. Build. Constr. 2021, 41, 4. [Google Scholar] [CrossRef]
  18. Huang, X.; Schweiger, H.F.; Huang, H. Influence of deep excavations on nearby existing tunnels. Int. J. Geomech. 2013, 13, 170–180. [Google Scholar] [CrossRef]
  19. Ye, S.; Zhao, Z.; Wang, D. Deformation analysis and safety assessment of existing metro tunnels affected by excavation of a foundation pit. Undergr. Space 2021, 26, 421–431. [Google Scholar] [CrossRef]
  20. Zheng, G.; Yang, X.; Zhou, H. A simplified prediction method for evaluating tunnel displacement induced by laterally adjacent excavations. Comput. Geotech. 2018, 95, 119–128. [Google Scholar] [CrossRef]
  21. Dai, X.; Cai, J.; Diao, Y. Influence of tunnelling on the deformation of the overlying excavation bracing system and analysis of countermeasures. Comput. Geotech. 2021, 134, 104089. [Google Scholar] [CrossRef]
  22. Kung, G.T.; Hsiao, E.C.; Juang, C.H. Evaluation of a simplified small-strain soil model for analysis of excavation-induced movements. Can. Geotech. J. 2007, 44, 726–736. [Google Scholar] [CrossRef]
  23. Lee, K.M.; Ge, X.W. The equivalence of a jointed shielddriven tunnel lining to a continuous ring structure. Can. Geotech. J. 2001, 38, 461–483. [Google Scholar] [CrossRef]
  24. Bilotta, E. Use of diaphragm walls to mitigate ground movements induced by tunnelling. Geotechnique 2008, 58, 143–155. [Google Scholar] [CrossRef]
  25. DB33/T1139; Technical Code for Protection of Urban Rail Transit Structure. Housing and Urban-Rural Development Department of Zhejiang Province: Hangzhou, China, 2017.
  26. Lim, A.; Ou, C.Y.; Hsieh, P.G. Evaluation of clay constitutive models for analysis of deep excavation under undrained conditions. J. Geoeng. 2010, 5, 9–20. [Google Scholar] [CrossRef]
  27. Sagaseta, C. Analysis of undrained soil deformation due to ground loss. Geotechnique 1987, 37, 301–320. [Google Scholar] [CrossRef]
  28. Berisavljević, Z.; Bajić, D.; Jovičić, V. Development and Application of Methodology for Quantification of Overbreaks in Hard Rock Tunnel Construction. Appl. Sci. 2023, 13, 1379. [Google Scholar] [CrossRef]
Disclaimer/Publisher’s Note: The statements, opinions and data contained in all publications are solely those of the individual author(s) and contributor(s) and not of MDPI and/or the editor(s). MDPI and/or the editor(s) disclaim responsibility for any injury to people or property resulting from any ideas, methods, instructions or products referred to in the content.

Article Metrics

Citations

Article Access Statistics

Multiple requests from the same IP address are counted as one view.