Reliability Analysis of Three-Dimensional Slopes Considering the Soil Spatial Variability Based on Particle Swarm Optimization Algorithm
Abstract
1. Introduction
2. Reliability Analysis Method of 3D Slopes
2.1. Model of Random Field
2.1.1. Spatial Variability of Soil Parameters
2.1.2. K-L Expansion Method
2.2. Three-Dimensional Limit Equilibrium Simplified Bishop Method
2.3. Particle Swarm Optimization Algorithm
3. Case Study Analysis
3.1. Verification of the Proposed Method
3.2. Effects of Soil Parameter Spatial Variability on Failure Probability
3.2.1. Effects of Spatial Variability Coefficients on Failure Probability
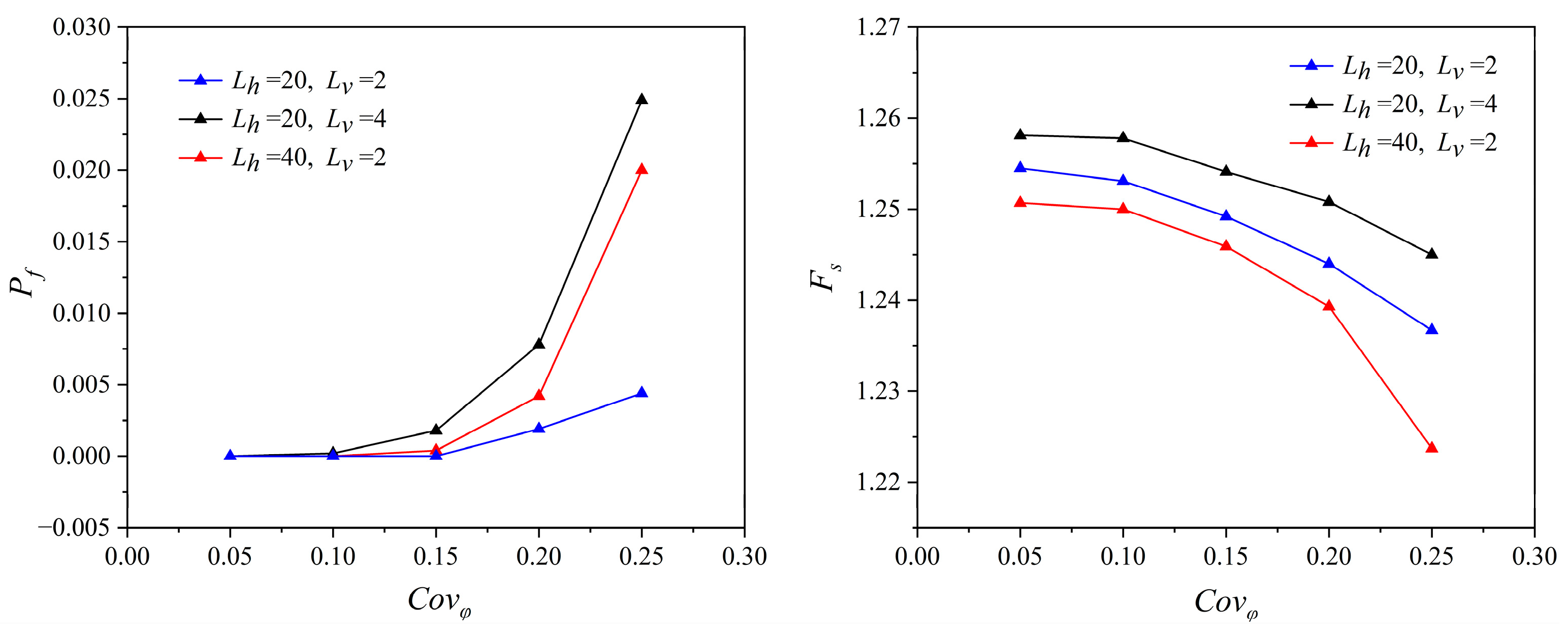
3.2.2. Effects of Correlation Lengths on Failure Probability
3.3. Effects of Failure Surface Width on Failure Probability
4. Conclusions
Author Contributions
Funding
Institutional Review Board Statement
Informed Consent Statement
Data Availability Statement
Conflicts of Interest
References
- Chen, Z.; Mi, H.; Zhang, F.; Wang, X. A simplified method for 3D slope stability analysis. Can. Geotech. J. 2003, 40, 675–683. [Google Scholar] [CrossRef]
- Wan, Y.; Gao, Y.; Zhang, F. A simplified approach to determine the unique direction of sliding in 3D slopes. Eng. Geol. 2016, 211, 179–183. [Google Scholar] [CrossRef]
- Gao, Y.; Zhang, F.; Lei, G.; Li, D.; Wu, Y.; Zhang, N. Stability charts for 3D failures of homogeneous slopes. J. Geotech. Geoenviron. Eng. 2013, 139, 1528–1538. [Google Scholar] [CrossRef]
- Gao, Y.; Zhang, F.; Lei, G.; Li, D. An extended limit analysis of three-dimensional slope stability. Géotechnique 2013, 63, 518–524. [Google Scholar] [CrossRef]
- El-Ramly, H.; Morgenstern, N.R.; Cruden, D.M. Probabilistic slope stability analysis for practice. Can. Geotech. J. 2002, 39, 665–683. [Google Scholar] [CrossRef]
- Wang, Y.; Shao, L.; Wan, Y.; Chen, H. Reliability analysis of three-dimensional reinforced slope considering the spatial variability in soil parameters. Stoch. Environ. Res. Risk Assess. 2024, 38, 1583–1596. [Google Scholar] [CrossRef]
- Griffiths, D.V.; Huang, J.; Fenton, G.A. On the reliability of earth slopes in three dimensions. Proc. R. Soc. A Math. Phys. Eng. Sci. 2009, 465, 3145–3164. [Google Scholar] [CrossRef]
- Zhang, L.; Gong, W.; Li, X.; Tan, X.; Zhao, C.; Wang, L. A comparison study between 2D and 3D slope stability analyses considering spatial soil variability. J. Zhejiang Univ.-Sci. A 2022, 23, 208–224. [Google Scholar] [CrossRef]
- Wan, Y.; Gao, X.; Wu, D.; Zhu, L. Reliability of spatially variable soil slope based on nonlinear failure criterion. Nat. Hazards 2023, 117, 1179–1189. [Google Scholar] [CrossRef]
- Cho, S.E. First-order reliability analysis of slope considering multiple failure modes. Eng. Geol. 2013, 154, 98–105. [Google Scholar] [CrossRef]
- Muralha, J.; Trunk, U. Stability of rock blocks-Evaluation of failure probabilities by the Monte Carlo and First Order Reliability methods. In Assessment and Prevention of Failure Phenomena in Rock Engineering; Routledge: London, UK, 2022; pp. 759–765. [Google Scholar]
- Li, D.; Qi, X.; Phoon, K.; Zhang, L. Effect of spatially variable shear strength parameters with linearly increasing mean trend on reliability of infinite slopes. Struct. Saf. 2014, 49, 45–55. [Google Scholar] [CrossRef]
- Wang, Y.; Shang, H.; Wan, Y.; Yu, X. Reliability analysis of soil slope reinforced by micro-pile considering spatial variability of soil strength parameters. Geomech. Eng. 2024, 36, 631–640. [Google Scholar]
- Kasama, K.; Furukawa, Z.; Hu, L. Practical reliability analysis for earthquake-induced 3D landslide using stochastic response surface method. Comput. Geotech. 2021, 137, 104303. [Google Scholar] [CrossRef]
- Li, D.; Li, L.; Xu, L.; Li, C.; Meng, K.; Gao, Y.; Yang, Z. Stability analysis of upstream and downstream dam slopes with water level drawdown using response surface function. Geotech. Geol. Eng. 2022, 40, 3107–3123. [Google Scholar] [CrossRef]
- Li, D.; Xiao, T.; Cao, Z.; Zhou, C.; Zhang, L. Enhancement of random finite element method in reliability analysis and risk assessment of soil slopes using Subset Simulation. Landslides 2016, 13, 293–303. [Google Scholar] [CrossRef]
- Zhu, D.; Pang, R.; Xu, M.; Chen, J.; Xu, B. Seismic safety evaluation of slope with spatially variable soils based on collaborative analysis via optimized subset simulation. Comput. Geotech. 2024, 168, 106157. [Google Scholar] [CrossRef]
- Guo, X.; Sun, Q.; Dias, D.; Antoinet, E. Probabilistic assessment of an earth dam stability design using the adaptive polynomial chaos expansion. Bull. Eng. Geol. Environ. 2020, 79, 4639–4645. [Google Scholar] [CrossRef]
- Yang, H.; Yan, Y.; Wei, X.; Shen, Z.; Chen, X. Probabilistic analysis of highly nonlinear models by adaptive sparse polynomial chaos: Transient infiltration in unsaturated soil. Int. J. Comput. Methods 2023, 20, 23500006. [Google Scholar] [CrossRef]
- Li, D.; Jiang, S.; Qi, X.; Cao, Z. Efficient system reliability analysis of multi-layered soil slopes using multiple stochastic response surfaces. In Geotechnical Safety and Reliability; ASCE: Reston, VA, USA, 2017; pp. 164–172. [Google Scholar]
- Huang, X.; Shi, C.; Zhu, Z.; Wang, S.; Zhang, R. Determination method of critical slip surface based on PSO algorithm. J. Disaster Prev. Mitig. Eng. 2014, 34, 751–757. (In Chinese) [Google Scholar]
- Sun, C.; Zheng, H.; Li, C.; Sun, G. Critical slip surface search by using rigorous maximum residual thrust method based on ant colony algorithm. Rock Soil Mech. 2014, 35, 3021–3026. (In Chinese) [Google Scholar]
- Yi, J.; Wang, C.; Zou, J. Three-dimensional stability analysis approach for the rock slope based on the modified pseudo-dynamic method. J. Railw. Sci. Eng. 2024, 21, 2295–2304. (In Chinese) [Google Scholar]
- Zhou, X.; Huang, X.; Zhao, X. Optimization of the critical slip surface of three-dimensional slope by using an improved genetic algorithm. Int. J. Geomech. 2020, 20, 4020120. [Google Scholar] [CrossRef]
- Wan, Y.; Xu, R.; Yang, R.; Zhu, L. Application of the improved particle swarm optimization method in slope probability analysis. Mar. Georesour. Geotechnol. 2023, 42, 1531–1541. [Google Scholar] [CrossRef]
- Cheng, Y.; Li, L.; Chi, S. Performance studies on six heuristic global optimization methods in the location of critical slip surface. Comput. Geotech. 2007, 34, 462–484. [Google Scholar] [CrossRef]
- Kalatehjari, R.; Ali, N.; Kholghifard, M.; Hajihassani, M. The application of Particle Swarm Optimization in slope stability analysis of homogeneous soil slopes. Int. Rev. Model. Simul. 2012, 5, 458–465. [Google Scholar]
- Himanshu, N.; Burman, A. Determination of critical failure surface of slopes using particle swarm optimization technique considering seepage and seismic loading. Geotech. Geol. Eng. 2019, 37, 1261–1281. [Google Scholar] [CrossRef]
- Kalatehjari, R.; Arefnia, A.; ARashid, A.S.; Ali, N.; Hajihassani, M. Determination of three-dimensional shape of failure in soil slopes. Can. Geotech. J. 2015, 52, 1283–1301. [Google Scholar] [CrossRef]
- Wang, Y.; Shao, L.; Wan, Y.; Jiang, R.; Yu, X. Three-dimensional reliability stability analysis of earth-rock dam slopes reinforced with permeable polymer. Probabilistic Eng. Mech. 2023, 74, 103537. [Google Scholar] [CrossRef]
- Hungr, O.; Salgado, F.M.; Byrne, P.M. Evaluation of a three-dimensional method of slope stability analysis. Can. Geotech. J. 1989, 26, 679–686. [Google Scholar] [CrossRef]
- Bratton, D.; Kennedy, J. Defining a standard for particle swarm optimization. In Proceedings of the IEEE Swarm Intelligence Symposium, Honolulu, HI, USA, 1–5 April 2007; pp. 120–127. [Google Scholar]
- Zhang, J.; Huang, H.; Juang, C.H.; Li, D. Extension of Hassan and Wolff method for system reliability analysis of soil slopes. Eng. Geol. 2013, 160, 81–88. [Google Scholar] [CrossRef]
- Kang, F.; Han, S.; Salgado, R.; Li, J. System probabilistic stability analysis of soil slopes using Gaussian process regression with Latin hypercube sampling. Comput. Geotech. 2015, 63, 13–25. [Google Scholar] [CrossRef]
- Song, L.; Yu, X.; Xu, B.; Pang, R.; Zhang, Z. 3D slope reliability analysis based on the intelligent response surface methodology. Bull. Eng. Geol. Environ. 2021, 80, 735–749. [Google Scholar] [CrossRef]
- Yang, R.; Sun, B.; Wan, Y.; Gao, X. Application of the improved entry and exit method in slope reliability analysis. Appl. Sci. 2023, 13, 10081. [Google Scholar] [CrossRef]
- Cho, S.E. Probabilistic assessment of slope stability that considers the spatial variability of soil properties. J. Geotech. Geoenviron. Eng. 2010, 136, 975–984. [Google Scholar] [CrossRef]
- Jiang, S.; Li, D.; Zhang, L.; Zhou, C. Slope reliability analysis considering spatially variable shear strength parameters using a non-intrusive stochastic finite element method. Eng. Geol. 2014, 168, 120–128. [Google Scholar] [CrossRef]
- Laloy, E.; Rogiers, B.; Vrugt, J.A.; Mallants, D.; Jacques, D. Efficient posterior exploration of a high-dimensional groundwater model from two-stage MCMC simulation and polynomial chaos. Water Resour. Res. 2013, 49, 2664–2682. [Google Scholar] [CrossRef]
- Li, D.; Jiang, S.; Cao, Z.; Zhou, W.; Zhou, C.; Zhang, L. A multiple response-surface method for slope reliability analysis considering spatial variability of soil properties. Eng. Geol. 2015, 187, 60–72. [Google Scholar] [CrossRef]
- Bai, T.; Huang, X.; Li, C. Slope stability analysis considering spatial variability of soil properties. J. Zhejiang Univ. (Eng. Sci.) 2013, 47, 2221–2226. (In Chinese) [Google Scholar]
- Phoon, K.K.; Kulhawy, F.H. Characterization of geotechnical variability. Can. Geotech. J. 1999, 36, 612–624. [Google Scholar] [CrossRef]
- Griffiths, D.V.; Fenton, G.A. Probabilistic slope stability analysis by finite elements. J. Geotech. Geoenviron. Eng. 2004, 130, 507–518. [Google Scholar] [CrossRef]
- Cho, S.E. Effects of spatial variability of soil properties on slope stability. Eng. Geol. 2013, 152, 165–178. [Google Scholar] [CrossRef]















| Layer | Density γ (kN/m3) | Friction Angle φ (°) | Cohesion c (kPa) | Horizontal Correlation Length lh (m) | Vertical Correlation Length lv (m) | |
|---|---|---|---|---|---|---|
| Mean Value | Cov | |||||
| Clay 1 | 18 | 0 | 18 | 0.3 | 20 | 2 |
| Clay 2 | 18 | 0 | 20 | 0.2 | 20 | 2 |
| Clay 3 | 18 | 0 | 25 | 0.3 | 20 | 2 |
| Method | Sample Numbers | Failure Probability Pf | Dimension | Source |
|---|---|---|---|---|
| MCS | 10,000 | 18.7% | 2D | Zhang et al. (2013) [33] |
| MCS (RSM based on GPR) | 100,000 | 18.6% | 2D | Kang et al. (2015) [34] |
| MCS | 10,000 | 2.17% | 3D | Song et al. (2021) [35] |
| MCS | 50,000 | 2.25% | 3D | Song et al. (2021) [35] |
| RBFN + MCS | 10,000 | 2.35% | 3D | Song et al. (2021) [35] |
| RBFN + MCS | 50,000 | 2.25% | 3D | Song et al. (2021) [35] |
| MCS | 10,000 | 2.07% | 3D | Yang et al. (2023) [36] |
| MCS | 10,000 | 2.45% | 3D | This paper (PSO) |
Disclaimer/Publisher’s Note: The statements, opinions and data contained in all publications are solely those of the individual author(s) and contributor(s) and not of MDPI and/or the editor(s). MDPI and/or the editor(s) disclaim responsibility for any injury to people or property resulting from any ideas, methods, instructions or products referred to in the content. |
© 2025 by the authors. Licensee MDPI, Basel, Switzerland. This article is an open access article distributed under the terms and conditions of the Creative Commons Attribution (CC BY) license (https://creativecommons.org/licenses/by/4.0/).
Share and Cite
Chen, X.; Xu, J.; Wan, Y.; Yang, R.; Sun, J.; Wu, D. Reliability Analysis of Three-Dimensional Slopes Considering the Soil Spatial Variability Based on Particle Swarm Optimization Algorithm. Appl. Sci. 2025, 15, 2652. https://doi.org/10.3390/app15052652
Chen X, Xu J, Wan Y, Yang R, Sun J, Wu D. Reliability Analysis of Three-Dimensional Slopes Considering the Soil Spatial Variability Based on Particle Swarm Optimization Algorithm. Applied Sciences. 2025; 15(5):2652. https://doi.org/10.3390/app15052652
Chicago/Turabian StyleChen, Xin, Jiale Xu, Yukuai Wan, Rong Yang, Jiewen Sun, and Di Wu. 2025. "Reliability Analysis of Three-Dimensional Slopes Considering the Soil Spatial Variability Based on Particle Swarm Optimization Algorithm" Applied Sciences 15, no. 5: 2652. https://doi.org/10.3390/app15052652
APA StyleChen, X., Xu, J., Wan, Y., Yang, R., Sun, J., & Wu, D. (2025). Reliability Analysis of Three-Dimensional Slopes Considering the Soil Spatial Variability Based on Particle Swarm Optimization Algorithm. Applied Sciences, 15(5), 2652. https://doi.org/10.3390/app15052652

