Smart Electronic Device-Based Monitoring of SAR and Temperature Variations in Indoor Human Tissue Interaction
Abstract
1. Introduction
2. Related Works
3. Materials and Methods
3.1. Scenario of the Incidence of SAR and Temperature Variation on Human Tissues in Indoor Environments
3.2. Electronic System for the Acquisition and Monitoring of SAR and Temperature Variation on Human Tissues
3.3. Post-Processing of SAR and Temperature Variation Signals with the FFNN
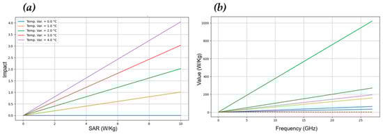
4. Results
5. Conclusions
Author Contributions
Funding
Institutional Review Board Statement
Informed Consent Statement
Data Availability Statement
Conflicts of Interest
References
- Jagetia, G.C. Genotoxic effects of electromagnetic field radiations from mobile phones. Environ. Res. 2022, 212, 113321. [Google Scholar] [CrossRef] [PubMed]
- Ishai, P.B.; Davis, D.; Taylor, H.; Birnbaum, L. Problems in evaluating the health impacts of radio frequency radiation. Environ. Res. 2024, 243, 115038. [Google Scholar] [CrossRef]
- Karipidis, K.; Baaken, D.; Loney, T.; Blettner, M.; Brzozek, C.; Elwood, M.; Lagorio, S. The effect of exposure to radiofrequency fields on cancer risk in the general and working population: A systematic review of human observational studies–Part I: Most researched outcomes. Environ. Int. 2024, 108983. [Google Scholar] [CrossRef] [PubMed]
- Jing, R.; Jiang, Z.; Tang, X. Advances in Millimeter-Wave Treatment and Its Biological Effects Development. Int. J. Mol. Sci. 2024, 25, 8638. [Google Scholar] [CrossRef] [PubMed]
- Nguyen, N.H.A.; Falagan-Lotsch, P. Mechanistic Insights into the Biological Effects of Engineered Nanomaterials: A Focus on Gold Nanoparticles. Int. J. Mol. Sci. 2023, 24, 4109. [Google Scholar] [CrossRef] [PubMed]
- Mariscotti, A. Assessment of human exposure (including interference to implantable devices) to low-frequency electromagnetic field in modern microgrids, power systems and electric transports. Energies 2021, 14, 6789. [Google Scholar] [CrossRef]
- Razek, A. Assessment of EMF Troubles of Biological and Instrumental Medical Questions and Analysis of Their Compliance with Standards. Standards 2023, 3, 227–239. [Google Scholar] [CrossRef]
- Ramirez-Vazquez, R.; Escobar, I.; Vandenbosch, G.A.; Vargas, F.; Caceres-Monllor, D.A.; Arribas, E. Measurement studies of personal exposure to radiofrequency electromagnetic fields: A systematic review. Environ. Res. 2023, 218, 114979. [Google Scholar] [CrossRef]
- Kim, S.; Sharif, Y.A.; Nasim, I. Human Electromagnetic Field Exposure in Wearable Communications Systems: A Review. e-Prime Adv. Electr. Eng. Electron. Energy 2024, 8, 100508. [Google Scholar] [CrossRef]
- Hu, B.; Ouyang, Y.; Zhao, T.; Wang, Z.; Yan, Q.; Qian, Q.; Wang, S. Antioxidant Hydrogels: Antioxidant Mechanisms, Design Strategies, and Applications in the Treatment of Oxidative Stress-Related Diseases. Adv. Healthc. Mater. 2024, 13, 2303817. [Google Scholar] [CrossRef] [PubMed]
- Sutter, J.; Bruggeman, P.J.; Wigdahl, B.; Krebs, F.C.; Miller, V. Manipulation of Oxidative Stress Responses by Non-Thermal Plasma to Treat Herpes Simplex Virus Type 1 Infection and Disease. Int. J. Mol. Sci. 2023, 24, 4673. [Google Scholar] [CrossRef] [PubMed]
- Isaia, C.; Michaelides, M.P. A Review of Wireless Positioning Techniques and Technologies: From Smart Sensors to 6G. Signals 2023, 4, 90–136. [Google Scholar] [CrossRef]
- Abdul-Al, M.; Amar, A.S.I.; Elfergani, I.; Littlehales, R.; Ojaroudi Parchin, N.; Al-Yasir, Y.; See, C.H.; Zhou, D.; Zainal Abidin, Z.; Alibakhshikenari, M.; et al. Wireless Electromagnetic Radiation Assessment Based on the Specific Absorption Rate (SAR): A Review Case Study. Electronics 2022, 11, 511. [Google Scholar] [CrossRef]
- Davis, D.; Birnbaum, L.; Ben-Ishai, P.; Taylor, H.; Sears, M.; Butler, T.; Scarato, T. Wireless technologies, non-ionizing electromagnetic fields and children: Identifying and reducing health risks. Curr. Probl. Pediatr. Adolesc. Health Care 2023, 53, 101374. [Google Scholar] [CrossRef] [PubMed]
- Hirata, A.; Diao, Y.; Onishi, T.; Sasaki, K.; Ahn, S.; Colombi, D.; Chen, J. Assessment of human exposure to electromagnetic fields: Review and future directions. IEEE Trans. Electromagn. Compat. 2021, 63, 1619–1630. [Google Scholar] [CrossRef]
- Chiaraviglio, L.; Cacciapuoti, A.S.; Di Martino, G.; Fiore, M.; Montesano, M.; Trucchi, D.; Melazzi, N.B. Planning 5G networks under EMF constraints: State of the art and vision. IEEE Access 2018, 6, 51021–51037. [Google Scholar] [CrossRef]
- Majcher, K.; Musiał, M.; Pakos, W.; Różański, A.; Sobótka, M.; Trapko, T. Methods of Protecting Buildings against HPM Radiation—A Review of Materials Absorbing the Energy of Electromagnetic Waves. Materials 2020, 13, 5509. [Google Scholar] [CrossRef] [PubMed]
- Razek, A. Biological and Medical Disturbances Due to Exposure to Fields Emitted by Electromagnetic Energy Devices—A Review. Energies 2022, 15, 4455. [Google Scholar] [CrossRef]
- Babajani, A.; Eftekharinasab, A.; Bekeschus, S.; Mehdian, H.; Vakhshiteh, F.; Madjd, Z. Reactive oxygen species from non-thermal gas plasma (CAP): Implication for targeting cancer stem cells. Cancer Cell Int. 2024, 24, 344. [Google Scholar] [CrossRef] [PubMed]
- Laganà, F.; Pratticò, D.; Angiulli, G.; Oliva, G.; Pullano, S.A.; Versaci, M.; La Foresta, F. Development of an Integrated System of sEMG Signal Acquisition, Processing, and Analysis with AI Techniques. Signals 2024, 5, 476–493. [Google Scholar] [CrossRef]
- Menniti, M.; Oliva, G.; Laganà, F.; Bianco, M.G.; Fiorillo, A.S.; Pullano, S.A. Portable Non-Invasive Ventilator for Homecare and Patients Monitoring System. In Proceedings of the IEEE International Symposium on Medical Measurements and Applications (MeMeA), Jeju, Republic of Korea, 14–16 June 2023; pp. 1–5. [Google Scholar] [CrossRef]
- Menniti, M.; Laganà, F.; Oliva, G.; Bianco, M.; Fiorillo, A.S.; Pullano, S.A. Development of Non-Invasive Ventilator for Homecare and Patient Monitoring System. Electronics 2024, 13, 790. [Google Scholar] [CrossRef]
- Moyano, D.B.; Paraiso, D.A.; González-Lezcano, R.A. Possible Effects on Health of Ultrasound Exposure, Risk Factors in the Work Environment and Occupational Safety Review. Healthcare 2022, 10, 423. [Google Scholar] [CrossRef] [PubMed]
- Qianhao, Y.; Zhang, Y.; Wei, J. A comprehensive review of pulsating flow on heat transfer enhancement. Appl. Therm. Eng. 2021, 196, 117275. [Google Scholar]
- Laganà, F.; De Carlo, D.; Calcagno, S.; Pullano, S.A.; Critello, D.; Falcone, F.; Fiorillo, A.S. Computational Model of Cell Deformation Under Fluid Flow Based Rolling. In Proceedings of the E-Health and Bioengineering Conference (EHB), Iasi, Romania, 21–23 November 2019; pp. 1–4. [Google Scholar] [CrossRef]
- Fahad, S.; Li, S.; Zhai, Y.; Zhao, C.; Pikramenou, Z.; Wang, M. Luminescence-Based Infrared Thermal Sensors: Comprehensive Insights. Small 2024, 20, 2304237. [Google Scholar] [CrossRef]
- Liang, C.; Yu, F.R. Wireless network virtualization: A survey, some research issues and challenges. IEEE Commun. Surv. Tutor. 2014, 17, 358–380. [Google Scholar] [CrossRef]
- Dürrenberger, G.; Fröhlich, J.; Röösli, M.; Mattsson, M.O. EMF monitoring—Concepts, activities, gaps and options. Int. J. Environ. Res. Public Health 2014, 11, 9460–9479. [Google Scholar] [CrossRef]
- Ferikoğlu, A.; Çerezci, O.; Kahriman, M.; Yener, Ş.Ç. Electromagnetic absorption rate in a multilayer human tissue model exposed to base-station radiation using transmission line analysis. IEEE Antennas Wirel. Propag. Lett. 2014, 13, 903–906. [Google Scholar] [CrossRef]
- Bhatt, C.R.; Thielens, A.; Redmayne, M.; Abramson, M.J.; Billah, B.; Sim, M.R.; Vermeulen, R.; Martens, L.; Joseph, W.; Benke, G. Measuring personal exposure from 900 MHz mobile phone base stations in Australia and Belgium using a novel personal distributed exposimeter. Environ. Int. 2016, 92–93, 388–397. [Google Scholar] [CrossRef]
- Héroux, P.; Belyaev, I.; Chamberlin, K.; Dasdag, S.; De Salles, A.A.A.; Rodriguez, C.E.F.; Hardell, L.; Kelley, E.; Kesari, K.K.; Mallery-Blythe, E. Cell Phone Radiation Exposure Limits and Engineering Solutions. Int. J. Environ. Res. Public Health 2023, 20, 5398. [Google Scholar] [CrossRef] [PubMed]
- Prattico, D.; Laganá, F.; Oliva, G.; Fiorillo, A.S.; Pullano, S.A.; Calcagno, S.; De Carlo, D.; La Foresta, F. Sensors and Integrated Electronic Circuits for Monitoring Machinery on Wastewater Treatment: Artificial Intelligence Approach. In Proceedings of the 2024 IEEE Sensors Applications Symposium (SAS), Naples, Italy, 23–25 July 2024; pp. 1–6. [Google Scholar] [CrossRef]
- Laganà, F.; Pellicanò, D.; De Carlo, D.; Pratticò, D.; Calcagno, S. Evaluation and monitoring of SAR and temperature during an indoor Wi-Fi call. In Proceedings of the 2024 International Workshop on Quantum & Biomedical Applications, Technologies, and Sensors (Q-BATS), Durrës, Albania, 10–11 October 2024; pp. 105–110. [Google Scholar] [CrossRef]
- Perez, F.P.; Bandeira, J.P.; Perez Chumbiauca, C.N.; Lahiri, D.K.; Morisaki, J.; Rizkalla, M. Multidimensional insights into the repeated electromagnetic field stimulation and biosystems interaction in aging and age-related diseases. J. Biomed. Sci. 2022, 29, 39. [Google Scholar]
- Chittoor, P.K.; Chokkalingam, B.; Mihet-Popa, L. A Review on UAV Wireless Charging: Fundamentals, Applications, Charging Techniques and Standards. IEEE Access 2021, 9, 69235–69266. [Google Scholar] [CrossRef]
- Harris, L.R. Electric Field and SAR Estimation for Multiple Wireless Device Usage in Capsule Environment. In Proceedings of the Wireless Telecommunications Symposium (WTS), Washington, DC, USA, 22–24 April 2020; pp. 1–5. [Google Scholar] [CrossRef]
- Laganà, F.; Prattico, D.; De Carlo, D.; Oliva, G.; Pullano, S.A.; Calcagno, S. Engineering Biomedical Problems to Detect Carcinomas: A Tomographic Impedance Approach. Eng 2024, 5, 1594–1614. [Google Scholar] [CrossRef]
- Repacholi, M.H.; Greenebaum, B. Interaction of static and extremely low frequency electric and magnetic fields with living systems: Health effects and research needs. J. Bioelectromagn. Soc. Soc. Phys. Regul. Biol. Med. Eur. Bioelectromagn. Assoc. 1999, 20, 133–160. [Google Scholar] [CrossRef]
- Laganà, F.; De Carlo, D.; Calcagno, S.; Oliva, G.; Pullano, S.A.; Fiorillo, A.S. Modeling of Electrical Impedance Tomography for Carcinoma Detection. In Proceedings of the E-Health and Bioengineering Conference (EHB), Iasi, Romania, 17–18 November 2022; pp. 1–4. [Google Scholar] [CrossRef]
- Brites, C.D.; Marin, R.; Suta, M.; Carneiro Neto, A.N.; Ximendes, E.; Jaque, D.; Carlos, L.D. Spotlight on luminescence thermometry: Basics, challenges, and cutting-edge applications. Adv. Mater. 2023, 35, 2302749. [Google Scholar] [CrossRef] [PubMed]
- Filipec, M.; Đurin, M.J. Thermoregulation and Endocrine Response During Exercise in Pregnancy. Physiologia 2025, 5, 2. [Google Scholar] [CrossRef]
- Bazarbekov, I.; Razaque, A.; Ipalakova, M.; Yoo, J.; Assipova, Z.; Almisreb, A. A review of artificial intelligence methods for Alzheimer’s disease diagnosis: Insights from neuroimaging to sensor data analysis. Biomed. Signal Process. Control 2024, 92, 106023. [Google Scholar] [CrossRef]
- Rony, M.K.K.; Alamgir, H.M. High temperatures on mental health: Recognizing the association and the need for proactive strategies—A perspective. Health Sci. Rep. 2023, 6, e1729. [Google Scholar] [CrossRef] [PubMed]
- Amitrano, D.; Di Martino, G.; Di Simone, A.; Imperatore, P. Flood Detection with SAR: A Review of Techniques and Datasets. Remote Sens. 2024, 16, 656. [Google Scholar] [CrossRef]
- Basu, D.; Hasan, S.F. Approximating Electromagnetic Exposure in Dense Indoor Environments. In Proceedings of the 15th International Symposium on Wireless Communication Systems (ISWCS), Lisbon, Portugal, 28–31 August 2018; pp. 1–5. [Google Scholar] [CrossRef]
- Zhekov, S.S.; Xu, B. Evaluation of EMF Exposure from Distributed MIMO Antennas for 6G in an Industrial Indoor Environment. IEEE Trans. Electromagn. Compat. 2024, 1–15. [Google Scholar] [CrossRef]
- Celaya-Echarri, M.; Azpilicueta, L.; Ramos, V.; Lopez-Iturri, P.; Falcone, F. Empirical and Modeling Approach for Environmental Indoor RF-EMF Assessment in Complex High-Node Density Scenarios: Public Shopping Malls Case Study. IEEE Access 2021, 9, 46755–46775. [Google Scholar] [CrossRef]
- Manickam, P.; Mariappan, S.A.; Murugesan, S.M.; Hansda, S.; Kaushik, A.; Shinde, R.; Thipperudraswamy, S.P. Artificial Intelligence (AI) and Internet of Medical Things (IoMT) Assisted Biomedical Systems for Intelligent Healthcare. Biosensors 2022, 12, 562. [Google Scholar] [CrossRef] [PubMed]
- Wang, L. Microwave Imaging and Sensing Techniques for Breast Cancer Detection. Micromachine 2023, 14, 1462. [Google Scholar] [CrossRef] [PubMed]
- Angiulli, G.; Calcagno, S.; De Carlo, D.; Laganá, F.; Versaci, M. Second-Order Parabolic Equation to Model, Analyze, and Forecast Thermal-Stress Distribution in Aircraft Plate Attack Wing–Fuselage. Mathematics 2020, 8. [Google Scholar] [CrossRef]
- Molaei, A.M.; Zakeri, B.; Andargoli, S.M.H.; Abbasi, M.A.B.; Fusco, V.; Yurduseven, O. A Comprehensive Review of Direction-of-Arrival Estimation and Localization Approaches in Mixed-Field Sources Scenario. IEEE Access 2024, 12, 65883–65918. [Google Scholar] [CrossRef]
- Wu, L.; Huang, R.; He, X.; Tang, L.; Ma, X. Advances in Machine Learning-Aided Thermal Imaging for Early Detection of Diabetic Foot Ulcers: A Review. Biosensors 2024, 14, 614. [Google Scholar] [CrossRef] [PubMed]
- Razek, A. Assessment and Categorization of Biological Effects and Atypical Symptoms Owing to Exposure to RF Fields from Wireless Energy Devices. Appl. Sci. 2023, 13, 1265. [Google Scholar] [CrossRef]
- Mutlu, M. Evaluation and SAR Analysis of Low Frequency and Broadband Electric Field Exposure Measurement Values in the Home Environment. Appl. Sci. 2024, 14, 4169. [Google Scholar] [CrossRef]
- Alemaryeen, A.; Noghanian, S. A Survey of the Thermal Analysis of Implanted Antennas for Wireless Biomedical Devices. Micromachines 2023, 14, 1894. [Google Scholar] [CrossRef] [PubMed]
- Greenacre, M.; Groenen, P.J.; Hastie, T.; d’Enza, A.I.; Markos, A.; Tuzhilina, E. Principal component analysis. Nat. Rev. Methods Primers 2022, 2, 100. [Google Scholar] [CrossRef]
- Hou, J.; Lee, J.F.; Doherty, S. State-of-the-Art of Eye Tracking in Mobile-Assisted Learning Studies: A Review of Twenty Years of Empirical Studies. J. Comput. Assist. Learn. 2025, 41, e13118. [Google Scholar] [CrossRef]
- Salem, M.A.; Lim, H.S.; Diong, K.S.; Alaghbari, K.A.; Zarakovitis, C.C.; Chien, S.F. Electromagnetic Field-Aware Radio Resource Management for 5G and Beyond: A Survey. Computers 2025, 14, 51. [Google Scholar] [CrossRef]
- Papale, L.G.; Guerrisi, G.; De Santis, D.; Schiavon, G.; Del Frate, F. Satellite Data Potentialities in Solid Waste Landfill Monitoring: Review and Case Studies. Sensors 2023, 23, 3917. [Google Scholar] [CrossRef] [PubMed]
- Elmahaishi, M.F.; Ismail, I.; Muhammad, F.D. A review on electromagnetic microwave absorption properties: Their materials and performance. J. Mater. Res. Technol. 2022, 20, 2188–2220. [Google Scholar] [CrossRef]













| Bands MHz | Skin | Fat | Bone | Brain | |
|---|---|---|---|---|---|
| LTE 800 | εr | 41.66 | 5.47 | 12.51 | 46.04 |
| 805.95 | σ | 0.83 | 0.04 | 0.12 | 0.73 |
| ETC 1 | εr | 41.44 | 5.46 | 12.46 | 45.84 |
| 873 | σ | 0.84 | 0.04 | 0.12 | 0.73 |
| GSM 900 | εr | 41.26 | 5.45 | 12.41 | 45.67 |
| 948.05 | σ | 0.88 | 0.05 | 0.14 | 0.79 |
| ETC 2 | εr | 40.05 | 5.39 | 12.10 | 44.56 |
| 1383.05 | σ | 1.03 | 0.06 | 0.21 | 0.97 |
| LTE 1800 | εr | 38.83 | 5.33 | 11.76 | 43.32 |
| 1849.5 | σ | 1.20 | 0.07 | 0.28 | 1.17 |
| WLAN | εr | 38.04 | 5.28 | 11.38 | 42.53 |
| 2441.5 | σ | 1.45 | 0.10 | 0.39 | 1.50 |
| 4G | εr | 38.2 | 4.8 | 14.5 | 48 |
| 2600 | σ | 0.6 | 0.05 | 0.025 | 1.3 |
| 5G | εr | 35 | 4.5 | 14 | 45 |
| 26,000 | σ | 0.7 | 0.06 | 0.03 | 1.4 |
| ρ (density) (Kg/m3) | 1100 | 920 | 1850 | 1030 |
| Whole Body Average SAR (W/Kg) | Localized SAR (Head and Trunk) (W/Kg) | Localized SAR (Limbs) (W/Kg) | |
|---|---|---|---|
| FCC (1 g) | |||
| Occupational Exposure | 0.4 | 8 | 20 |
| General Public Exposure | 0.08 | 1.6 | 4 |
| CE (10 g) | |||
| Occupational Exposure | 0.4 | 10 | 20 |
| General Public Exposure | 0.08 | 2 | 4 |
Disclaimer/Publisher’s Note: The statements, opinions and data contained in all publications are solely those of the individual author(s) and contributor(s) and not of MDPI and/or the editor(s). MDPI and/or the editor(s) disclaim responsibility for any injury to people or property resulting from any ideas, methods, instructions or products referred to in the content. |
© 2025 by the authors. Licensee MDPI, Basel, Switzerland. This article is an open access article distributed under the terms and conditions of the Creative Commons Attribution (CC BY) license (https://creativecommons.org/licenses/by/4.0/).
Share and Cite
Laganà, F.; Bibbò, L.; Calcagno, S.; De Carlo, D.; Pullano, S.A.; Pratticò, D.; Angiulli, G. Smart Electronic Device-Based Monitoring of SAR and Temperature Variations in Indoor Human Tissue Interaction. Appl. Sci. 2025, 15, 2439. https://doi.org/10.3390/app15052439
Laganà F, Bibbò L, Calcagno S, De Carlo D, Pullano SA, Pratticò D, Angiulli G. Smart Electronic Device-Based Monitoring of SAR and Temperature Variations in Indoor Human Tissue Interaction. Applied Sciences. 2025; 15(5):2439. https://doi.org/10.3390/app15052439
Chicago/Turabian StyleLaganà, Filippo, Luigi Bibbò, Salvatore Calcagno, Domenico De Carlo, Salvatore A. Pullano, Danilo Pratticò, and Giovanni Angiulli. 2025. "Smart Electronic Device-Based Monitoring of SAR and Temperature Variations in Indoor Human Tissue Interaction" Applied Sciences 15, no. 5: 2439. https://doi.org/10.3390/app15052439
APA StyleLaganà, F., Bibbò, L., Calcagno, S., De Carlo, D., Pullano, S. A., Pratticò, D., & Angiulli, G. (2025). Smart Electronic Device-Based Monitoring of SAR and Temperature Variations in Indoor Human Tissue Interaction. Applied Sciences, 15(5), 2439. https://doi.org/10.3390/app15052439

