Performance Analysis of Solar Collector Integrated with Porous Metallic Foam †
Abstract
1. Introduction
2. Description of the Physical System
2.1. Flat-Plate Solar Collector
2.2. Porous Media
3. Mathematical Model of the System
Validation and Grid Independence
4. Results and Discussion
4.1. Nusselt Number (Nu)
4.2. Friction Factor (f)
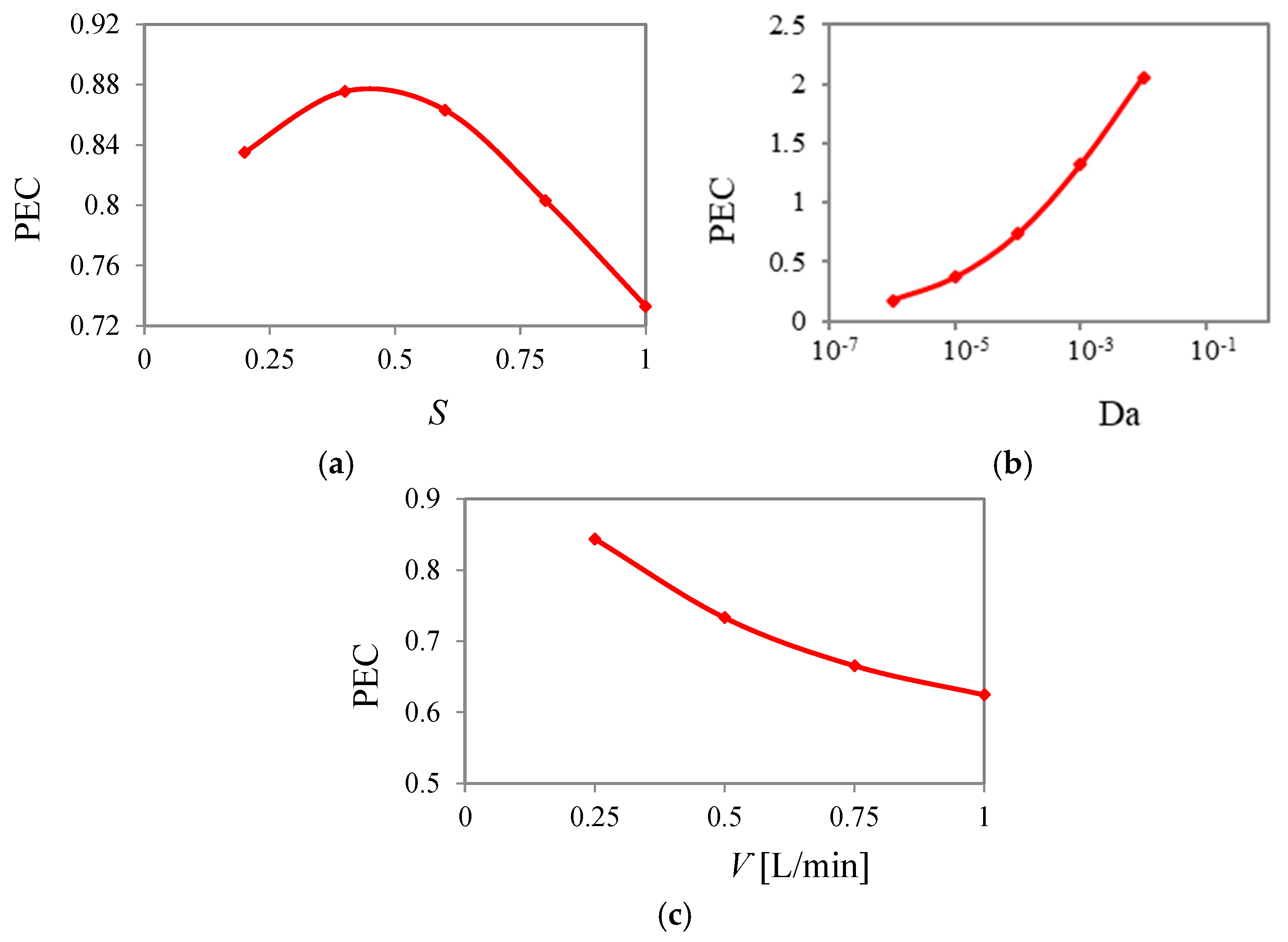
4.3. Performance Evaluation Criteria (PEC)
4.4. Comparison Between LTE (Local Thermal Equilibrium) and LTNE (Local Thermal Non-Equilibrium)
5. Conclusions
- The influence of the height of the porous foam placed at the centre of the channel is studied. The local Nusselt number is investigated for six different cases corresponding to the values of S = 0, 0.2, 0.4, 0.6, 0.8, and 1 and a Da of 10−4. The bulk or mean temperature at the outlet reaches a maximum value of 306.81 K at S = 1 and corresponds to the highest Nusselt number (Nu) value of 28.85.
- The effect of the permeability of the porous foam (with S = 1) is studied by varying Da in the range from 10−6 to 10−2, while the volumetric flow rate () varies from 0.25 L/min to 1 L/min. Maximum enhancement in the Nusselt number of 29.2 and 31.05 is obtained at Da equal to 10−6 and a volumetric flow rate () of 1 L/min.
- It is found that the friction factor is highest when the channel is completely filled with porous foam (S = 1) equal to 1.61 compared to 0.004 for an empty channel case (S = 0). Hence, a rise in pressure drop is evident with the insertion of porous foam in the channel, causing an increase in pumping power.
- The performance evaluation criteria (PEC) are also calculated corresponding to different values of S and their variation with Da and is quantified. It is observed that the PEC first increase with an increase in the height of porous foam up to S = 0.4, reach a maximum value of 0.875, and then decrease with a further increase in the height of porous foam up to S = 1. The PEC show an increasing trend with an increase in Da and reach a maximum value of 2.05, corresponding to Da = 10−2.
Author Contributions
Funding
Institutional Review Board Statement
Informed Consent Statement
Data Availability Statement
Acknowledgments
Conflicts of Interest
Nomenclature
| Symbols | |
| a | Specific surface area [m−1] |
| A | Area [m2] |
| C | Forchheimer coefficient [1/m] |
| D | Diameter [m] |
| Da | Darcy number [-] |
| f | Friction factor [-] |
| h | Heat transfer coefficient [W/m2K] |
| H | Channel height [m] |
| J | Solar insolation [W/m2] |
| k | Thermal conductivity of material [W/mK] |
| L | Channel length [m] |
| Nu | Nusselt number [-] |
| P | Pressure [kg/ms2] |
| p | Perimeter [m] |
| Pr | Prandtl number [-] |
| q | Heat flux [W/m2] |
| Re | Reynolds’ number [-] |
| S | Channel fill ratio (=Hp/H) |
| Velocity of fluid in porous region [m/s] | |
| t | Time [s] |
| T | Temperature [K] |
| U | Fluid velocity [m/s] |
| u | x-component of velocity [m/s] |
| v | y-component of velocity [m/s] |
| Volumetric flow rate [L/min] | |
| Vol | Volume of the porous medium [m3] |
| Greek symbols | |
| δ | Hydraulic conductivity of the porous medium [m/s] |
| ρ | Density [kg/m3] |
| μ | Dynamic viscosity [kg/ms] |
| ν | Kinematic viscosity [m2/s] |
| ε | Porosity |
| κ | Permeability of material [m2] |
| σ | Stefan–Boltzmann constant |
| θ | Non-dimensional temperature |
| Subscripts | |
| eff | Effective |
| e | Empty channel case |
| f | Fluid property |
| fs | Fluid–solid interface |
| h | Hydraulic |
| in | Inlet value |
| m | Mean value |
| p | Pore region |
| r | Radiative |
| s | Solid matrix property |
| w | Wall |
| Abbreviations | |
| CFD | Computational fluid dynamics |
| HTF | Heat transfer fluid |
| FPC | Flat-plate collector |
| IR | Infrared |
| LTE | Local thermal equilibrium |
| LTNE | Local thermal non-equilibrium |
| PEC | Performance evaluation criteria |
| PPI | Pores per inch |
| RTE | Radiative transfer equation |
References
- Tian, Y.; Zhao, C.Y. A review of solar collectors and thermal energy storage in solar thermal applications. Appl. Energy 2013, 104, 538–553. [Google Scholar] [CrossRef]
- Chen, M.; He, Y.; Zhu, J.; Kim, D.R. Enhancement of photo-thermal conversion using gold nanofluids with different particle sizes. Energy Convers. Manag. 2016, 112, 21–30. [Google Scholar] [CrossRef]
- Taylor, R.; Coulombe, S.; Otanicar, T.; Phelan, P.; Gunawan, A.; Lv, W.; Rosengarten, G.; Prasher, R.; Tyagi, H. Small particles, big impacts: A review of the diverse applications of nanofluids. J. Appl. Phys. 2013, 113, 011301. [Google Scholar] [CrossRef]
- Menbari, A.; Alemrajabi, A.A.; Rezaei, A. Heat transfer analysis and the effect of CuO/Water nanofluid on direct absorption concentrating solar collector. Appl. Therm. Eng. 2016, 104, 176–183. [Google Scholar] [CrossRef]
- Tyagi, H.; Phelan, P.; Prasher, R. Predicted Efficiency of a Low-Temperature Nanofluid-Based Direct Absorption Solar Collector. J. Sol. Energy Eng. 2009, 131, 041004. [Google Scholar] [CrossRef]
- Sharafeldin, M.A.; Gróf, G. Experimental investigation of fl at plate solar collector using CeO2-water nano fl uid. Energy Convers. Manag. 2018, 155, 32–41. [Google Scholar] [CrossRef]
- Michael, J.J.; Iniyan, S. Performance of copper oxide/water nanofluid in a flat plate solar water heater under natural and forced circulations. Energy Convers. Manag. 2015, 95, 160–169. [Google Scholar] [CrossRef]
- Moghadam, A.J.; Farzane-Gord, M.; Sajadi, M.; Hoseyn-Zadeh, M. Effects of CuO/water nanofluid on the efficiency of a flat-plate solar collector. Exp. Therm. Fluid Sci. 2014, 58, 9–14. [Google Scholar] [CrossRef]
- Verma, S.K.; Tiwari, A.K.; Chauhan, D.S. Experimental evaluation of flat plate solar collector using nanofluids. Energy Convers. Manag. 2017, 134, 103–115. [Google Scholar] [CrossRef]
- Kulkarni, V.; Kashyap, A.S.; Pal, M.; Tyagi, H. Numerical Analysis of a Flat Plate Solar Collector Integrated with Porous Copper Foam. In Proceedings of the 26th National and 4th International ISHMT-ASTFE Heat and Mass Transfer Conference, IIT Madras, Chennai, India, 17–20 December 2021; Begellhouse: Danbury, CT, USA, 2022; pp. 645–651. [Google Scholar] [CrossRef]
- Anirudh, K.; Dhinakaran, S. On the onset of vortex shedding past a two-dimensional porous square cylinder. J. Wind Eng. Ind. Aerodyn. 2018, 179, 200–214. [Google Scholar] [CrossRef]
- Dhinakaran, S.; Ponmozhi, J. Heat transfer from a permeable square cylinder to a flowing fluid. Energy Convers. Manag. 2011, 52, 2170–2182. [Google Scholar] [CrossRef]
- Srivastava, P.K.; Agrawal, S.K.; Pandey, M.K. Enhanced heat and mass transfer in a solar still with a porous-fin lattice Basin. J. Enhanc. Heat Transf. 2013, 20, 491–498. [Google Scholar] [CrossRef]
- Wu, H.W.; Wang, R.H. Mixed convective heat transfer past a heated square porous cylinder in a horizontal channel with varying channel height. J. Heat Transf. 2011, 133, 022503. [Google Scholar] [CrossRef]
- Vijaybabu, T.R.; Anirudh, K.; Dhinakaran, S. Mixed convective heat transfer from a permeable square cylinder: A lattice Boltzmann analysis. Int. J. Heat Mass Transf. 2017, 115, 854–870. [Google Scholar] [CrossRef]
- Guerroudj, N.; Kahalerras, H. Mixed convection in a channel provided with heated porous blocks of various shapes. Energy Convers. Manag. 2010, 51, 505–517. [Google Scholar] [CrossRef]
- Chen, C.C.; Huang, P.C.; Hwang, H.Y. Enhanced forced convective cooling of heat sources by metal-foam porous layers. Int. J. Heat Mass Transf. 2013, 58, 356–373. [Google Scholar] [CrossRef]
- Chikh, S.; Boumedien, A.; Bouhadef, K.; Lauriat, G. Analysis of fluid flow and heat transfer in a channel with intermittent heated porous blocks. Heat Mass Transf. Stoffuebertragung 1998, 33, 405–413. [Google Scholar] [CrossRef]
- Lansing, F.L.; Clarke, V.; Reynolds, R. A high performance porous flat-plate solar collector. Energy 1979, 4, 685–694. [Google Scholar] [CrossRef]
- Chen, C.C.; Huang, P.C. Numerical study of heat transfer enhancement for a novel flat-plate solar water collector using metal-foam blocks. Int. J. Heat Mass Transf. 2012, 55, 6734–6756. [Google Scholar] [CrossRef]
- Bovand, M.; Rashidi, S.; Esfahani, J.A. Heat transfer enhancement and pressure drop penalty in porous solar heaters: Numerical simulations. Sol. Energy 2016, 123, 145–159. [Google Scholar] [CrossRef]
- Chen, Z.; Gu, M.; Peng, D. Heat transfer performance analysis of a solar flat-plate collector with an integrated metal foam porous structure filled with paraffin. Appl. Therm. Eng. 2010, 30, 1967–1973. [Google Scholar] [CrossRef]
- Rashidi, S.; Bovand, M.; Esfahani, J.A. Heat transfer enhancement and pressure drop penalty in porous solar heat exchangers: A sensitivity analysis. Energy Convers. Manag. 2015, 103, 726–738. [Google Scholar] [CrossRef]
- Kumar, A.; Saini, R.P.; Saini, J.S. Performance evaluation of discrete multi V-down pattern rib solar air channel. J. Enhanc. Heat Transf. 2016, 23, 393–411. [Google Scholar] [CrossRef]
- Anirudh, K.; Dhinakaran, S. Numerical study on performance improvement of a flat-plate solar collector filled with porous foam. Renew. Energy 2020, 147, 1704–1717. [Google Scholar] [CrossRef]
- Chaurasiya, S.K.; Singh, S. Thermohydraulic Performance Analysis of a Solar Air Heater Design Employing Wavy Corrugated Plates and Impinging Air Jet Array. J. Enhanc. Heat Transf. 2023, 30, 75–104. [Google Scholar] [CrossRef]
- Xia, Y.; Lin, X.; Cheng, Z.; Xie, F.; Huang, J. Numerical Study on the Enhanced Thermal Performance of the Porous Media-Assisted Flat-Plate Solar Collector. Int. J. Energy Res. 2023, 2023, 2244771. [Google Scholar] [CrossRef]
- Dhavale, A.A.; Lele, M.M. Numerical investigations on the impact of metallic foam configurations on heat transfer in double tube heat exchanger: A parametric approach. Numer. Heat Transf. Part A Appl. 2024, 1–53. [Google Scholar] [CrossRef]
- Al-Chlaihawi, K.; Hasan, M.; Ekaid, A. Optimizing heat transfer within a rectangular channel through intermittent metal foam block configurations: A numerical study. Heat Transf. 2025, 54, 716–748. [Google Scholar] [CrossRef]
- Variji, N.; Hosseini Imeni, S.Z.; Siavashi, M. Multi-objective optimization of porous foam structure to enhance energy performance of flat plate solar collectors. J. Therm. Anal. Calorim. 2024, 149, 3543–3559. [Google Scholar] [CrossRef]
- Lin, X.; Xia, Y.; Cheng, Z.; Liu, X.; Fu, Y.; Li, L.; Zhou, W. Thermal Performance Analysis of Porous Foam-Assisted Flat-Plate Solar Collectors with Nanofluids. Sustainability 2024, 16, 693. [Google Scholar] [CrossRef]
- Raccurt, O.; Disdier, A.; Bourdon, D.; Donnola, S.; Stollo, A.; Gioconia, A. Study of the Stability of a Selective Solar Absorber Coating under Air and High Temperature Conditions. Energy Procedia 2015, 69, 1551–1557. [Google Scholar] [CrossRef][Green Version]
- Narasimhan, A. Essentials of Heat and Fluid Flow in Porous Media; CRC: Boca Raton, CA, USA, 2013. [Google Scholar]
- Khullar, V.; Bhalla, V.; Tyagi, H. Potential Heat Transfer Fluids (Nanofluids) for Direct Volumetric Absorption-Based Solar Thermal Systems. J. Therm. Sci. Eng. Appl. 2018, 10, 011009. [Google Scholar] [CrossRef]
- Ritchie, I.T.; Window, B. Applications of thin graded-index films to solar absorbers. Appl. Opt. 1977, 16, 1438. [Google Scholar] [CrossRef] [PubMed]
- Bear, J.; Bachmat, Y. Introduction to Modeling of Transport Phenomena in Porous Media; Springer: Dordrecht, The Netherlands, 1990. [Google Scholar] [CrossRef]
- Anirudh, K.; Dhinakaran, S. Performance improvement of a flat-plate solar collector by inserting intermittent porous blocks. Renew. Energy 2020, 145, 428–441. [Google Scholar] [CrossRef]
- Modest, M.F. Radiative Heat Transfer; Academic Press: Cambridge, MA, USA, 2013. [Google Scholar] [CrossRef]
- Cintolesi, C.; Nilsson, H.; Petronio, A.; Armenio, V. Numerical simulation of conjugate heat transfer and surface radiative heat transfer using the P1thermal radiation model: Parametric study in benchmark cases. Int. J. Heat Mass Transf. 2017, 107, 956–971. [Google Scholar] [CrossRef]
- Derby, J.J.; Brandon, S.; Salinger, A.G. The diffusion and P1 approximations for modeling buoyant flow of an optically thick fluid. Int. J. Heat Mass Transf. 1998, 41, 1405–1415. [Google Scholar] [CrossRef]
- Xiong, Q.; Baychev, T.G.; Jivkov, A.P. Review of pore network modelling of porous media: Experimental characterisations, network constructions and applications to reactive transport. J. Contam. Hydrol. 2016, 192, 101–117. [Google Scholar] [CrossRef]
- Saedodin, S.; Zamzamian, S.A.H.; Nimvari, M.E.; Wongwises, S.; Jouybari, H.J. Performance evaluation of a flat-plate solar collector filled with porous metal foam: Experimental and numerical analysis. Energy Convers. Manag. 2017, 153, 278–287. [Google Scholar] [CrossRef]
- Bhattacharya, A.; Calmidi, V.V.; Mahajan, R.L. Thermophysical properties of high porosity metal foams. Int. J. Heat Mass Transf. 2002, 45, 1017–1031. [Google Scholar] [CrossRef]
- Morosuk, T.V. Entropy generation in conduits filled with porous medium totally and partially. Int. J. Heat Mass Transf. 2005, 48, 2548–2560. [Google Scholar] [CrossRef]
- Mohamad, A.A. Heat transfer enhancements in heat exchangers fitted with porous media Part I: Constant wall temperature. Int. J. Therm. Sci. 2003, 42, 385–395. [Google Scholar] [CrossRef]
- Foudhil, W.; Dhifaoui, B.; Ben Jabrallah, S.; Belghith, A.; Corriou, J.P. Numerical and experimental study of convective heat transfer in a vertical porous channel using a non-equilibrium model. J. Porous Media 2012, 15, 531–547. [Google Scholar] [CrossRef]
- Al-Sumaily, G.F.; Nakayama, A.; Sheridan, J.; Thompson, M.C. The effect of porous media particle size on forced convection from a circular cylinder without assuming local thermal equilibrium between phases. Int. J. Heat Mass Transf. 2012, 55, 3366–3378. [Google Scholar] [CrossRef]












| Number of Elements | Nu | Relative Error (%) |
|---|---|---|
| 20,000 | 29.01 | 0.97 |
| 37,500 | 28.96 | 0.49 |
| 60,000 | 28.88 | 0.23 |
| 87,500 | 28.85 | 0.11 |
Disclaimer/Publisher’s Note: The statements, opinions and data contained in all publications are solely those of the individual author(s) and contributor(s) and not of MDPI and/or the editor(s). MDPI and/or the editor(s) disclaim responsibility for any injury to people or property resulting from any ideas, methods, instructions or products referred to in the content. |
© 2025 by the authors. Licensee MDPI, Basel, Switzerland. This article is an open access article distributed under the terms and conditions of the Creative Commons Attribution (CC BY) license (https://creativecommons.org/licenses/by/4.0/).
Share and Cite
Kulkarni, V.; Kashyap, A.S.; Pal, M.; Tyagi, H. Performance Analysis of Solar Collector Integrated with Porous Metallic Foam. Appl. Sci. 2025, 15, 2432. https://doi.org/10.3390/app15052432
Kulkarni V, Kashyap AS, Pal M, Tyagi H. Performance Analysis of Solar Collector Integrated with Porous Metallic Foam. Applied Sciences. 2025; 15(5):2432. https://doi.org/10.3390/app15052432
Chicago/Turabian StyleKulkarni, Vismay, Abhishek Singh Kashyap, Mayur Pal, and Himanshu Tyagi. 2025. "Performance Analysis of Solar Collector Integrated with Porous Metallic Foam" Applied Sciences 15, no. 5: 2432. https://doi.org/10.3390/app15052432
APA StyleKulkarni, V., Kashyap, A. S., Pal, M., & Tyagi, H. (2025). Performance Analysis of Solar Collector Integrated with Porous Metallic Foam. Applied Sciences, 15(5), 2432. https://doi.org/10.3390/app15052432

