Abstract
Eugenol (EU) and isoeugenol (IZO-EU) are naturally occurring compounds known for their strong antibacterial properties, which makes them ideal candidates for application as preservatives in cosmetic products. Primarily derived from clove oil, EU demonstrates potent antibacterial effects against a wide range of microorganisms, including Gram-positive and Gram-negative bacteria, as well as yeast-like fungi such as Candida albicans. Their antibacterial action is mainly connected with their ability to disrupt microbial cell membranes and inhibit key enzymatic processes. IZO-EU, a structural isomer of EU, also shows significant activity against various pathogens. In these studies, the effectiveness of EU and IZO-EU as preservatives in cosmetic formulations was tested. The antibacterial activity tests, using the disk diffusion method, assessed their effectiveness against Enterococcus faecalis, Staphylococcus aureus (Gram-positive), Escherichia coli, Pseudomonas aeruginosa (Gram-negative), and Candida albicans. Creams containing the different concentrations of EU and IZO-EU (0.5%, 1.5%, 2.5%) were tested for microbiological purity, texture, consistency, and stability over a defined storage period and under controlled conditions (temperature, humidity, and light exposure). Microbiological purity was assessed through the standard culture methods, while the texture and consistency were evaluated using rheological measurements and sensory analysis. The obtained results demonstrated that both compounds effectively preserved the creams, maintaining the microbiological purity without significantly altering the texture, consistency, or stability throughout the storage period. Additionally, EU and IZO-EU not only enhanced the antibacterial protection of the formulations but also contributed to the pleasant fragrance. Furthermore, preliminary studies were conducted on their anticancer properties using the LoVo (colon cancer) and U87MG (glioma) cell lines. These studies revealed the hormetic effects at the low concentrations and cytotoxicity at the higher doses, suggesting that EU and IZO-EU may have therapeutic potential beyond cosmetic applications. These studies support the application of EU and IZO-EU as natural, multifunctional ingredients in cosmetics, offering both preservative and sensory benefits while meeting the growing consumer demand for natural and sustainable solutions in the beauty industry.
1. Introduction
With the increasing interest in natural and organic cosmetics, both manufacturers and consumers are looking for solutions that not only minimize the risk of allergies or irritations but also effectively protect cosmetic products from microbiological spoilage. Many cosmetics contain conventional preservatives such as parabens, phenoxyethanol, or formaldehyde, which effectively eliminate or inhibit the growth of microorganisms. However, numerous reports regarding the potential side effects of these substances have led many people to avoid cosmetics containing them, fearing the possibility of contact allergies and their impact on hormonal balance [1,2]. Additionally, the long-term use of these preservatives may lead to the development of microbial resistance, which further motivates the search for alternatives [3].
In this context, natural compounds such as eugenol and isoeugenol appear to be promising alternatives. Eugenol is a phenolic monoterpene compound found in clove oil (Syzygium aromaticum), allspice oil, and basil oil, as well as in some plants belonging to the Myrtaceae and Lamiaceae families [1,2] (Figure 1). Isoeugenol, structurally similar to eugenol, is a compound found in the iris root oil. Both compounds exhibit strong antibacterial, antifungal, and antioxidant properties, which can positively influence the stability of cosmetic formulations by protecting them from microbiological and oxidative degradation [3].
Figure 1.
Structure of eugenol and isoeugenol.
Eugenol and isoeugenol interact with the cell membranes of bacteria and microorganisms, disrupting their integrity and leading to the loss of essential ions and nutrients for the microorganisms. These compounds also exhibit the ability to inhibit the cellular enzymes, which are responsible for the metabolic processes of pathogens, which can lead to their neutralization or growth inhibition. In vitro studies showed that eugenol and isoeugenol are active compounds against a wide spectrum of both Gram-positive and Gram-negative bacteria, including Staphylococcus aureus, Escherichia coli, Pseudomonas aeruginosa, and various species of fungi [4]. Their action primarily involves interaction with the phospholipids in the cell membrane, increasing the membrane permeability, and leading to the leakage of cellular substances such as proteins and ions, ultimately resulting in microbial death [5,6].
The antioxidant properties of eugenol and isoeugenol also contribute to the stability of cosmetics, as they prevent the oxidation of lipids and other cosmetic ingredients that may decompose due to exposure to oxygen or light. Many studies showed that eugenol acts as a free radical scavenger, protecting cells from oxidative stress and contributing to the long-term stability of cosmetic ingredients [4,5,6].
Due to their chemical properties, eugenol and isoeugenol can play the function of preservatives in cosmetics without the need for synthetic substances. It should be emphasized that they exhibit effectiveness at lower concentrations than many synthetic preservatives and it reduces the risk of potential irritation and allergies. Additionally, their use as preservatives may limit the development of microbial resistance, as their multifaceted mechanism of action (antibacterial and antifungal) makes it difficult for bacteria to develop resistance [5].
However, it is important to note that despite their natural origin, the use of eugenol and isoeugenol also requires controlled studies regarding their potential impact on the skin, especially during prolonged application [4,5]. The existing studies indicate a favorable safety profile for these substances; however, their irritating properties at higher concentrations require special attention during the preparation of formulations of cosmetics [6].
The growing “clean beauty” trend, which emphasizes products free from harmful or suspicious synthetic substances, perfectly aligns with the concept of using eugenol and isoeugenol as preservatives and antibacterial agents. Products based on natural and safe ingredients are gaining popularity, and consumers are looking for cosmetics with minimal formulations that are still effective [4]. The use of eugenol and isoeugenol can not only meet the functional requirements related to extending the shelf life of products but also address the needs of conscious consumers looking for cosmetics that are highly effective with minimal risk of irritation [5,6].
Research demonstrates that eugenol is effective against a wide range of microorganisms, including Gram-positive bacteria such as Staphylococcus aureus and Enterococcus faecalis, with the minimum inhibitory concentrations (MICs) in the range of 0.5–2.0 µg/mL depending on the strain and the testing conditions [6,7,8]. The action of eugenol against Bacillus subtilis and Bacillus cereus, pathogens responsible for food poisoning, was also confirmed; for B. subtilis, the MIC was 0.1 mg/mL, and the minimum bactericidal concentration (MBC) was 0.3 mg/mL [9,10]. Eugenol also inhibits Bacillus anthracis, the causative agent of anthrax, with the MIC ranging from 4 to 8 µg/mL, suggesting its potential therapeutic applications [11].
Against foodborne pathogens such as Listeria monocytogenes and Listeria ivanovii, eugenol exhibits strong antibacterial activity—with MIC values of 1–4 µg/mL—and microscopic analyses confirm damage to the cell membranes, leading to aggregation and cell death [12,13]. In the case of bacteria such as Clostridium difficile, eugenol not only inhibits growth but also reduces toxin production, which may have applications in treating infections resistant to traditional methods [14]. Studies on the effectiveness of eugenol against Gram-negative bacteria, such as Escherichia coli, Pseudomonas aeruginosa, Klebsiella pneumoniae, and Acinetobacter baumannii, show the MIC values ranging from 0.25 to 2.5 µg/mL and MBC values from 1.0 to 5.0 µg/mL, underscoring its versatility as the antibacterial agent [15,16,17,18].
Eugenol’s action against fungi, particularly Candida albicans and other Candida species, was confirmed in tests with MIC values ranging from 0.5 to 1.0 µg/mL and MBC values from 2.0 to 3.0 µg/mL [19,20,21]. Against Aspergillus niger, which poses a threat to immunocompetent individuals, the MIC was 1.0–2.0 µg/mL [22].
Isoeugenol, a structural isomer of eugenol, exhibits similar antibacterial activity, including against the MRSA (Methicillin-Resistant Staphylococcus aureus) strains of Staphylococcus aureus, with MIC values of 0.25-1.0 µg/mL [23,24]. Its activity against Gram-negative bacteria, such as Pseudomonas aeruginosa and Escherichia coli, remains in the MIC range of 0.5–2.0 µg/mL [25,26,27]. Isoeugenol’s antifungal properties against Candida show MIC values from 0.5 to 1.5 µg/mL, making it effective in treating fungal infections as well [28,29,30].
The ability of eugenol and isoeugenol to disrupt cell membrane integrity, disturb cellular homeostasis, and inhibit key enzymes makes them effective preservatives and antibacterial agents in cosmetics [31,32,33,34,35,36,37,38,39].
Cosmetic formulations are exposed to microbiological contamination, which is why they must meet specific microbiological cleanliness standards to ensure user safety. Microorganisms that can be found in cosmetics include bacteria, fungi, viruses, and yeasts. In cosmetics, only microorganisms that do not pose a health risk to consumers are allowed. For example, bacteria such as Staphylococcus, Pseudomonas, and Enterococcus should be minimized, and their presence should not exceed the specified levels in the final product. Furthermore, fungi such as Aspergillus and Candida should also be controlled to prevent skin infections. Microbiological requirements include parameters such as total microorganism count, the presence of pathogenic bacteria, tests for fungi, and the product’s shelf life. The permissible limits of microorganisms in cosmetics are defined by legal regulations, such as EU Regulation No. 1223/2009 on cosmetics. These guidelines also provide information on storing cosmetics under appropriate conditions to prevent microbial growth [1,5].
The skin microbiome is a collection of microorganisms—primarily bacteria, fungi, and viruses—that naturally exist on the surface of human skin. This microbiome plays a crucial role in protecting the skin from pathogens, regulating the immune responses, and maintaining the skin moisture balance. A proper balance of the skin microbiome can help prevent skin disorders such as acne, eczema, and psoriasis. Eugenol and isoeugenol, which possess antimicrobial properties, can interact with the skin microbiome, particularly in the context of their use in cosmetic products. Eugenol, the main component of clove essential oil, exhibits bactericidal, fungicidal, and antiviral effects, which may help to reduce the presence of unwanted microorganisms on the skin, such as Staphylococcus aureus and Candida albicans [6,10,27].
However, excessive use of eugenol can disrupt the balance of the skin microbiome, leading to the dominance of certain microorganisms, which could result in skin reactions such as irritation or contact allergies. In the case of isoeugenol, although its properties are similar to eugenol, it may exhibit slightly different interactions with the skin microbiome, which requires further study [25,28].
Eugenol and isoeugenol are widely used in cosmetics as fragrance ingredients and substances with anti-inflammatory, antimicrobial, and skin-soothing properties. Numerous studies confirm their effectiveness in skin care, especially in products for oily and acne-prone skin. However, attention should be paid to the relevance of the cited references regarding these compounds in the context of cosmetics. It is essential to evaluate whether these studies are up-to-date, conducted on the appropriate skin models, and whether they consider potential risks such as irritation or skin allergies, which may result from prolonged use of these substances. It is also important that the cited studies are conducted in accordance with the current safety standards and regulations for cosmetic products, such as EU Regulation No. 1223/2009, which requires thorough testing of the toxicity of ingredients and their impact on consumer health [2,3,4].
Eugenol and isoeugenol are widely used in cosmetics, pharmaceuticals, and food products, but the regulations governing these three industries differ significantly. In cosmetics, eugenol is mainly used in skin care products such as creams, gels, and tonics due to its soothing, anti-inflammatory, and antibacterial properties, and is also present in essential oils. In pharmaceutical products, eugenol and isoeugenol are used to treat inflammatory conditions, toothache, and upper respiratory infections. The differences in regulations for cosmetics, pharmaceuticals, and food products are important because each of these industries has its own guidelines regarding the concentration of active substances, safety of use, permissible toxicity levels, and methods of application. For example, in cosmetics, eugenol can be used in concentrations of up to 1%, whereas in pharmaceutical preparations, these concentrations can be much higher [32,33,39]. Additionally, in food products, eugenol is used as the flavoring agent, but its concentration must be strictly controlled to ensure it does not exceed the permissible safety limits [31,34,35].
The aim of our work was as follows:
- Assessing the antimicrobial potential of eugenol and isoeugenol against the selected Gram-positive bacteria, Gram-negative bacteria, and fungi. We conducted experiments using pure, commercially available eugenol and isoeugenol to determine their efficacy. Additionally, we aimed to preliminarily evaluate their suitability as the components in the formulations with potential antimicrobial properties for treating various conditions such as skin diseases, gastrointestinal disorders, respiratory ailments, arthritis, urinary tract infections, and infections in surgical and burn wounds.
- Examining the microbiological purity of cream formulations containing different concentrations of eugenol and isoeugenol (0.5%, 1.5%, and 2.5%). Through these analyses, we sought to determine whether these compounds exhibit preservative properties within the cream samples. Our goal was to ascertain whether the inclusion of eugenol and isoeugenol could mitigate the risk of microbial proliferation, thereby safeguarding the quality of cosmetic products.
- Investigating the anticancer properties of eugenol and isoeugenol. The study utilized human colon cancer cells (LoVo) and glioma-like cells (U-87MG) sourced from the ATCC bank, ensuring high quality and reliability. The cytotoxic effects of the compounds were assessed using the MTT assay, which measures cell viability after a 72 h incubation. This evaluation provides important insights into the potential anticancer effects of eugenol and isoeugenol on these relevant cell lines.
2. Materials and Methods
2.1. Raw Materials, Cream Base, and Microbiological Media
In our research, we applied eugenol (99%, Acros Organics, Poznań, Poland) and isoeugenol (95%, Sigma Aldrich, Poznań, Poland).
The nourishing cream base, CALAYA (Cosibella, Leeds, UK), contains the following ingredients: water, Helianthus annuus (sunflower) seed oil, polysorbate 20, cetyl alcohol, glyceryl stearate, phenoxyethanol, carbomer, potassium sorbate, and sodium hydroxide.
For the microbiological media used in our experiments (Graso Biotech, Jabłowo, Poland), we selected the following: Mueller–Hinton agar II, Columbia Agar enriched with 5% sheep blood, Plate Count Agar, Chocolate Agar, Mannitol Salt Agar, BHI (Brain Heart Infusion) broth, and D/E neutralizing broth. We also used other reagents such as a 0.9% sodium chloride solution (Polpharma, Starogard Gdański, Poland) and 70% ethanol (Chempur, Piekary Śląskie, Poland).
2.2. Microorganisms
A comprehensive panel of microorganisms was selected to evaluate the antimicrobial efficacy of eugenol and isoeugenol, ensuring the inclusion of strains relevant to the cosmetic industry. The selected strains represent the key microbial contaminants commonly found in cosmetic products, encompassing both reference strains with well-documented susceptibility profiles and clinical strains with varying resistance mechanisms.
Gram-Positive Bacteria:
Gram-positive bacteria were chosen to assess the efficacy of eugenol and isoeugenol against common contaminants and potential pathogens in cosmetics. The following strains were used:
Reference Strains:
- -
- Staphylococcus aureus ATCC 29213—a model strain for testing antimicrobial agents, often implicated in skin infections and product contamination.
- -
- Enterococcus faecalis ATCC 29212—a representative strain known for its resilience in various environments, including cosmetic formulations.
Clinical Strains:
- -
- Staphylococcus epidermidis MRSE (Methicillin-Resistant Staphylococcus epidermidis)—commonly associated with biofilm formation and contamination of cosmetic products.
- -
- Staphylococcus aureus MRSA (Methicillin-Resistant Staphylococcus aureus)—a significant pathogen in skin infections, highlighting the need for effective preservatives.
- -
- Enterococcus faecalis VRE (Vancomycin-Resistant Enterococci) VanB and Enterococcus faecium VRE VanA/VanB—known for their resistance to antibiotics, posing challenges in cosmetic preservation.
- -
- Other clinically relevant strains included Streptococcus pyogenes, Streptococcus pneumoniae, Streptococcus agalactiae, and Listeria monocytogenes, all of which are potential contaminants and pathogens in cosmetics.
Gram-Negative Bacteria:
The Gram-negative bacterial strains were selected based on their prevalence in cosmetic contamination and resistance to commonly used preservatives.
Reference Strains:
- -
- Escherichia coli ATCC 25922—a benchmark strain for assessing antimicrobial activity.
- -
- Klebsiella pneumoniae ATCC 700603—a strain known for its environmental resilience.
- -
- Pseudomonas aeruginosa ATCC 27853—a notorious biofilm-forming pathogen in aqueous cosmetic products.
- -
- Haemophilus influenzae ATCC 49766—relevant in contamination due to its environmental adaptability.
Clinical Strains:
- -
- Multidrug-resistant strains such as Klebsiella pneumoniae ESBL (Extended-Spectrum Beta-Lactamases) and NDM (New Delhi Metallo-beta-lactamase), Escherichia coli ESBL and OXA-48, and Enterobacter cloacae ESBL were included due to their resistance mechanisms, which can compromise product safety.
- -
- Other strains such as Neisseria gonorrhoeae, Pseudomonas aeruginosa VIM (Verona Integron-Mediated Metallo-beta-lactamase), Acinetobacter baumannii MDR (Multi-Drug Resistant), and Salmonella spp. were also tested for their relevance in product contamination.
Yeast-Like Fungi:
To assess antifungal properties, yeast-like fungi commonly encountered in cosmetic formulations were included.
Reference Strains:
- -
- Candida albicans ATCC 10231 and ATCC 24433—standard strains used in antifungal susceptibility testing.
Clinical Strains:
- -
- Clinically significant species such as Candida parapsilosis, Candida glabrata, and Candida dubliniensis were included due to their prevalence in cosmetic contamination and resistance to antifungal agents.
All the strains used in the study were obtained from the Department of Microbiology at the Multispecialty Provincial Hospital in Gorzów Wielkopolski. Reference strains were characterized by well-documented drug susceptibility profiles, while clinical strains were isolated from hospital patients, ensuring the relevance of the study to real-world contamination scenarios.
The identification of bacterial and fungal strains was conducted using the mass spectrometry method on a MALDI-TOF device from Bruker. Bacterial susceptibility testing was performed using an automated Phoenix M50 system (Becton Dickinson Franklin Lakes, United States) and the disk diffusion method to confirm resistance mechanisms, such as beta-lactamase production or methicillin resistance. Fungal susceptibility was assessed using the disk diffusion method with MIC gradient-impregnated strips [20,21,40,41].
The preliminary antimicrobial screening was conducted using the disk diffusion method to determine the potential efficacy of eugenol and isoeugenol. This method was chosen for its routine use in clinical microbiology and the availability of resources at the hospital laboratory. The results were analyzed by measuring the inhibition zones on the Petri dishes containing the tested strains, with the sterile paper disks impregnated with the compounds under investigation. The data presented reflect the averaged results from the multiple repetitions to ensure reproducibility and accuracy [6,7,8,9,10].
2.3. Antibacterial Activity of Eugenol and Isoeugenol
The sensitivity of various bacterial strains to eugenol and isoeugenol was assessed through the disk diffusion method, a technique traditionally used for evaluating the antimicrobial effectiveness of antibiotics [6,7]. This method was tailored to the specific requirements of the experiment and conducted in triplicate. The bacterial strains were first cultured on the solid media, specifically, Columbia Agar supplemented with 5% sheep blood and Chocolate Agar, and incubated at 37 °C [8]. Following this, a 0.5 McFarland standard inoculum was prepared from 18 h cultures by suspending bacterial colonies in a 0.9% physiological saline solution using a BioMerieux densimat [9]. The resulting suspensions of individual strains were then spread across the surface of the Petri dishes containing either Mueller–Hinton agar II, Columbia Agar with 5% sheep blood, or Chocolate Agar using a sterile swab [10].
Five sterile paper disks, each 6 mm in diameter, were saturated with 20 μL of the test compounds and placed on the agar surface. A negative control was established using 20 μL of 0.9% saline solution, while a positive control utilized 20 μL of 70% ethanol [11]. The disks were soaked for 2 min prior to placement. The prepared plates were incubated for 24 h at 37 °C [12]. After incubation, the presence or absence of inhibition zones around the disks was evaluated, and the diameter of these zones was measured, including the diameter of the disks themselves [13].
2.4. Preparation of Creams with Eugenol and Isoeugenol
As part of these studies, cream samples were prepared containing different amounts of eugenol (EU) and isoeugenol (IZO-EU), which are two plant-derived chemical compounds used in cosmetics and pharmaceuticals. These substances exhibit anti-inflammatory, analgesic, and antioxidant properties, making them popular ingredients in skin care products.
The creams prepared in these studies had different concentrations of eugenol and isoeugenol, namely 0.5%, 1.5%, and 2.5%. This concentration indicates the amount of active ingredient (eugenol or isoeugenol) present in 100 mL of cream. Table 1 shows the concentrations of eugenol and isoeugenol expressed in mg/mL [1,2,4].
Table 1.
The concentrations of eugenol and isoeugenol expressed in mg/mL.
2.5. Microbiological Stability of Creams with Eugenol and Isoeugenol
The microbiological stability of the prepared cream formulations was evaluated in two distinct phases. In the initial phase, the cream samples were inoculated onto various solid and liquid culture media, including Plate Count Agar (PCA), Mannitol Salt Agar, MacConkey Agar, BHI broth, and D/E neutralizing broth, which are suitable for the growth of aerobic bacteria and fungi [1,4,6]. A sterile calibrated loop with a volume of 10 µL was used for inoculation, and the samples were incubated at 37 °C for 24 h. Following the incubation period, the colonies of bacteria and fungi that developed on the solid media were counted, and the results were expressed as the colony-forming units per milliliter (CFU/mL) [7,9].
In the second phase, the liquid media were transferred to the solid media using the same sterile calibrated loop to assess the proliferation of minimal quantities of bacteria and fungi. After transferring the broths onto the solid media, the plates were again incubated at 37 °C for 24 h. Subsequently, the colonies that emerged were examined. As a control, a cream base without any added compounds was inoculated [10,12]. Throughout the duration of the experiment, the creams were stored at 4 °C. The entire experiment was conducted in triplicate to ensure the reliability of the results [14,16].
2.6. Anticancer Studies of Eugenol and Isoeugenol
Cell cultures
The experimental work was carried out using human colon cancer cells of the LoVo line (ATCC) and the human glioma-like line U-87MG (Sigma-Aldrich, Poznań, Poland). The cells were cultured in F12K medium (Genos) for LoVo and EMEM (Eagle’s Minimum Essential Medium) (Sigma-Aldrich, Poznań, Poland) for U87MG. The media contained FBS (Fetal Bovine Serum) serum (10%, Sigma-Aldrich, Poznań, Poland), glutamine (2 mM, Sigma-Aldrich, Poznań, Poland), amino acids (1% NEAA, Sigma-Aldrich), sodium pyruvate (1 mM, Sigma-Aldrich, Poznań, Poland), and antibiotics (penicillin [100 IU/mL] and streptomycin [10 μg/mL], Sigma-Aldrich, Poznań, Poland). The culture was carried out under optimal conditions (37 °C, in an atmosphere of 5%CO2, with 95% humidity).
Cell viability test (MTT method)
Due to the negligible solubility of eugenol and isoeugenol in aqueous media, a starting solution using dimethylsulfoxide solvent (DMSO p.a., Sigma Aldrich, Poznań, Poland) was used to prepare intermediate solutions [7].
The cytostatic/cytotoxic properties of eugenol and isoeugenol were tested by the determination of the percentage of the growth inhibition of cells treated with a specific concentration of each compound relative to control systems [40]. Incubation was conducted for 72 h, after which 20 µL of fresh MTT solution (2.5 mg/mL) was added to each sample [20]. Incubation with MTT was carried out for 3 h in an incubator under the optimal conditions [21]. Then, after removing the medium, the resulting formazan crystals were dissolved by adding 200 µL each of solvent (DMSO, Sigma Aldrich, Poznań, Poland) [8]. Spectrophotometric readings were taken using a UV-M340 absorption microplate reader (Asys Hitach, East Lyme, CT, USA) with the MicroWin 2000 software [29]. The results were exported to Microsoft Excel.
Statistical analysis
Statistical analysis of the results obtained was carried out using the Statistica 13.3 software from TIBCO [12]. After examining the distribution of the data, which deviated from a normal distribution, nonparametric tests were used in further analyses [17]. The Wilcoxon test (*—p ≤ 0.05; **—p ≤ 0.01; ***—p ≤ 0.001) was used to test for differences within a given group, between individual compounds at a given concentration [9].
3. Results
3.1. Antimicrobial Activity of Eugenol and Isoeugenol Against Gram-Positive Bacteria
The present study evaluated the antimicrobial activity of eugenol and isoeugenol, components of essential oils that are known for their valuable biological properties. In order to test their efficacy against the selected microorganisms, they were tested on eleven strains of Gram-positive bacteria. The results of the performed tests, along with the detailed summary of the antimicrobial activity of the two compounds, are presented in Table 2 and illustrated from selected images (Figure 2).
Table 2.
Zones of inhibition of the growth of the selected Gram-positive bacteria around disks soaked with eugenol and isoeugenol.
Figure 2.
Example images of the results of the disk diffusion method for Gram-positive bacteria.
For Staphylococcus aureus ATCC 29213, eugenol and isoeugenol exhibited inhibition zones of 16 mm and 16.4 mm, respectively. These results align well with the previous studies reporting the minimum inhibitory concentration (MIC) of eugenol against S. aureus ranging from 0.5 to 2.0 µg/mL, underscoring its effectiveness against this strain. Notably, for methicillin-resistant Staphylococcus aureus (MRSA), the inhibition zone of eugenol measuring 18.6 mm exceeds the values documented in the literature [6,7,24], where eugenol was considered effective but with varying MIC results. This observation highlights significant progress in understanding the potential of eugenol in combating antibiotic-resistant strains.
The antibacterial activity of eugenol and isoeugenol against resistant strains, such as Staphylococcus epidermidis and Enterococcus faecium with the vancomycin-resistant phenotype (VRE) VanA, was also evident. Previous studies indicated varying degrees of susceptibility, but this study suggests higher efficacy of both compounds compared to the results documented in the literature [42]. This indicates the need for further exploration into the specific mechanisms by which eugenol and isoeugenol affect resistant strains, such as their potential to inhibit critical metabolic pathways or induce oxidative stress.
The mechanism of action of eugenol and isoeugenol primarily involves the destabilization of bacterial cell membranes and the inhibition of essential metabolic enzymes. Eugenol is known to disrupt cell integrity by altering the membrane permeability, leading to cellular leakage and subsequent cell death. Additionally, eugenol’s interaction with bacterial membranes has been reported to induce significant morphological changes, further underscoring its antimicrobial efficacy [15].
Isoeugenol, being the structural isomer of eugenol, exhibited similar antibacterial properties, though the differences in their chemical structures may influence the effectiveness against specific bacterial strains. While both compounds share common mechanisms, subtle variations in their interactions with bacterial components could result in differing levels of activity against certain pathogens.
Notably, both compounds also demonstrated efficacy against less widely studied strains, such as Listeria monocytogenes and Listeria ivanovii, with promising inhibition zones that merit further investigation [12]. The potential of eugenol and isoeugenol against Clostridium difficile, a pathogen associated with severe intestinal infections, is also noteworthy and has not been extensively discussed in previous studies. Preliminary data suggest that these compounds may disrupt C. difficile sporulation or vegetative growth, providing the basis for future therapeutic applications.
In conclusion, the results confirm the antibacterial potential of eugenol and isoeugenol against various strains of Gram-positive bacteria, particularly those exhibiting antibiotic resistance [6]. Given the growing issue of bacterial resistance, these findings provide a solid foundation for the development of new therapeutic strategies. Further studies on these compounds, especially in the context of strains that have not been widely studied in the existing literature, are necessary. This could lead to optimizing the action of these substances or synthesizing their derivatives, which may exhibit even greater efficacy in combating resistant infections.
The results obtained confirm the potential of these ingredients to be used as preservatives in the cosmetic industry, especially in the context of their action against Gram-positive bacteria. These ingredients effectively prevent the growth of bacteria such as Staphylococcus aureus, which are commonly found in the cosmetic environment and can cause product contamination. Due to their antibacterial properties, they provide protection for cosmetics against microbiological contamination, which is crucial for consumer safety and long-term product stability. Such activity supports their use in cosmetics, particularly in products intended for sensitive skin.
3.2. Antibacterial Activity of Eugenol and Isoeugenol Against Gram-Negative Bacteria
Table 3 below and Figure 3 show the results of the experiments testing the antimicrobial activity of eugenol and isoeugenol against the selected Gram-negative bacteria. The zones of growth inhibition, measured in millimeters, indicate the extent to which the growth of these bacteria is inhibited around disks soaked in the respective compounds. Gram-negative bacteria are known for their ability to produce a variety of resistance mechanisms to antibiotics and other bactericides and are highly virulent in infections, making them important targets for antimicrobial tests.
Table 3.
Zones of inhibition of the growth of the selected Gram-negative bacteria around disks soaked with eugenol and isoeugenol.

Figure 3.
Example images of the results of the disk diffusion method for Gram-negative bacteria.
In this study, the antibacterial activity of eugenol and isoeugenol against the selected strains of Gram-negative bacteria was assessed, revealing promising properties for both compounds. The analysis of inhibition zones indicated that eugenol and isoeugenol exhibited varying effectiveness against different bacterial strains, suggesting their potential as antimicrobial agents in clinical applications.
For Klebsiella pneumoniae, including strains ATCC 700603, NDM, and ESBL, moderate antibacterial activity was observed. The inhibition zones for these strains ranged from 13.4 mm to 15.4 mm for eugenol and from 10 mm to 15.2 mm for isoeugenol. These results are consistent with the data in the literature [17], which indicate that K. pneumoniae is characterized by resistance to many antimicrobial agents. This resistance may be attributed to the bacterium’s ability to produce large amounts of mucus, which forms a protective barrier against external agents. Understanding the mechanisms by which eugenol and isoeugenol disrupt this protective barrier could provide valuable insights into their efficacy against resistant strains.
In the case of Escherichia coli, including strains ATCC 25922, OXA-48, and ESBL, higher inhibition zones were noted, ranging from 15 mm to 20.4 mm. These findings align with the existing literature [15,26], which reports the effectiveness of eugenol against E. coli, with MIC values ranging from 1 to 16 µg/mL. The observed activity suggests that eugenol may effectively target critical metabolic processes or structural components necessary for E. coli survival, warranting further exploration of its mechanisms of action.
Conversely, Pseudomonas aeruginosa strains, including ATCC 27853 and VIM, showed high resistance to both compounds—eugenol and isoeugenol. The inhibition zones measured 7 mm and 7.2 mm, respectively, which are significantly lower than the positive control. The literature indicates that P. aeruginosa frequently develops resistance to many antibiotics, potentially due to decreased outer membrane permeability and the overexpression of efflux systems [16,17]. This highlights the challenge posed by this pathogen and the need for innovative approaches to enhance the efficacy of eugenol and isoeugenol against such resistant strains.
For the Haemophilus influenzae (ATCC 49766) and Acinetobacter baumannii (MDR) strains, good to moderate antibacterial activity was observed, suggesting that these compounds may effectively inhibit the growth of these bacteria. Further investigation into the specific interactions between eugenol, isoeugenol, and the cell membranes of these pathogens could clarify their potential mechanisms of action.
Notably, in the case of Neisseria gonorrhoeae, both eugenol and isoeugenol exhibited strong antibacterial activity, with the highest inhibition zone measuring 42 mm for eugenol. These results correlate with the literature [17,18], which also reports the effectiveness of eugenol against N. gonorrhoeae. This finding is particularly significant, as N. gonorrhoeae is increasingly reported to develop resistance to conventional antibiotics, underscoring the potential of eugenol and isoeugenol as alternative treatment options.
In conclusion, the results obtained from this study confirm the potential of eugenol and isoeugenol as antimicrobial substances, particularly against N. gonorrhoeae, H. influenzae, and strains from the Enterobacteriaceae family. The findings highlight the necessity for further research to better understand the mechanisms of action of these compounds, including their interactions with bacterial cell membranes and metabolic pathways. Additionally, exploring their clinical applications could pave the way for the development of effective treatments against infections caused by resistant bacterial strains, thus addressing a significant public health concern.
The research results indicate a high effectiveness in inhibiting the growth of Gram-negative bacteria such as Pseudomonas aeruginosa, further confirming the potential use of these ingredients as preservatives in the cosmetic industry. Pseudomonas aeruginosa is a bacterium that can lead to infections, particularly in moist environments, such as those found in many cosmetics. The antibacterial activity of these ingredients can reduce the risk of microbiological contamination of cosmetics, thereby ensuring their safety and long-lasting effectiveness during use. Their use in cosmetics can be a key element in protecting products from microbiological contamination.
3.3. Antibacterial Activity of Eugenol and Isoeugenol Against Yeast-like Fungi
Table 4 shows the growth inhibition zones of the selected yeast-like fungi around disks soaked in eugenol and isoeugenol. These data provide valuable insight into the antifungal activity of these compounds against various fungal strains. Determining the extent of inhibition zones is crucial for comparing and evaluating the efficacy of eugenol and isoeugenol as potential antifungal agents. The table presents the differences in the antifungal activity between the two tested compounds and different species of yeast-like fungi, shedding light on their potential use in the control and treatment of fungal infections.
Table 4.
Zones of inhibition of the growth of the selected yeast-like fungi around disks soaked with eugenol and isoeugenol.
The analysis of the antifungal activity of eugenol and isoeugenol against the selected yeast-like fungi revealed significant differences in the observed growth inhibition zones, suggesting considerable antifungal properties for both compounds. The measured inhibition zones, expressed in millimeters, along with mean values and standard deviations, provide a clearer picture of their effectiveness.
For the reference strains Candida albicans (ATCC 10231 and ATCC 24433), eugenol demonstrated substantial zones of growth inhibition, measuring 30 mm and 30.75 mm, respectively. Isoeugenol exhibited slightly lower but still impressive inhibition zones of 24.75 mm and 25.25 mm. These results are significantly higher than those observed in the negative and positive controls, indicating that both eugenol and isoeugenol possess strong antifungal activity against C. albicans [19,40]. These findings are consistent with previous studies in the literature [19,20,28] which documented the antifungal efficacy of eugenol against various Candida species, with inhibition zones ranging from 20 mm to 30 mm depending on the concentration and exposure time.
Similar trends were observed for the other strains, such as Candida glabrata, Candida parapsilosis, and Candida dubliniensis. In these cases, both eugenol and isoeugenol showed significant zones of growth inhibition, well above those in the control groups. The previous literature supports these findings, indicating that eugenol was effective against C. glabrata and other Candida strains, with MIC values reported between 50 and 200 µg/mL [19,20,27]. The consistent effectiveness of these compounds against various Candida strains highlights their potential as antifungal agents.
Eugenol exhibited higher antifungal activity compared to isoeugenol across all the tested strains. This observation is in line with reports in the literature [20,28,30,40] which indicate that eugenol has stronger antifungal properties than its isomer, isoeugenol. Given these promising results, further research is warranted to explore the specific mechanisms through which these compounds exert their antifungal effects and to investigate their potential interactions with other antifungal agents. This could enhance our understanding of their therapeutic applications in treating infections caused by yeast-like fungi, particularly in the context of increasing resistance to conventional antifungal therapies (Figure 4) [22,28].
Figure 4.
Sample photos of the results of the disk diffusion method for yeast-like fungi.
Additionally, the results suggest that these ingredients also have potential in combating yeasts such as Candida albicans, making them effective preservatives in the cosmetic industry. Candida albicans is a common microorganism found in cosmetics, especially in products with high moisture content, such as creams, lotions, and gels. Thanks to their antifungal properties, these ingredients can prevent yeast growth and provide protection for cosmetics against contamination, which is essential for the safety and quality of skin care products.
3.4. Microbiological Stability of Creams with Eugenol and Isoeugenol
The results in Table 5 present the activity of eugenol and isoeugenol at different concentrations on the growth of bacteria and yeast-like fungi in the cream samples.
Table 5.
Results of microbiological stability tests of creams containing eugenol and isoeugenol.
The creams containing eugenol at the concentrations of 0.5%, 1.5%, and 2.5%, and isoeugenol at the same concentrations, were tested on PCA, MC, MSA, BHI broth, and D/E neutralizing broth. No growth of bacteria or yeast-like fungi was observed in any of the cases. These results suggest that eugenol and isoeugenol can effectively reduce the growth and/or eliminate microorganisms from the cream samples, which is important for maintaining the hygiene and safety of cosmeceutical products.
The antimicrobial activity of eugenol and isoeugenol was widely studied and well documented. Their main mechanism of action is the ability to disrupt the integrity of the cell membranes of microorganisms, leading to their damage and death. In addition, these substances show the ability to inhibit the activity of enzymes that are essential for bacterial life and function [6,7,9,10,11].
In the case of yeast-like fungi, the action of eugenol and isoeugenol also involves interfering with the metabolic processes necessary for their growth and reproduction. Yeast-like fungi, like bacteria, have their own unique metabolic pathways that are crucial to their survival. Eugenol and isoeugenol can interfere with these processes, leading to the inhibition of fungal growth and proliferation [19,20,40,41].
One important point to emphasize is the selectivity of eugenol and isoeugenol. This means that these substances can be effective in the elimination of harmful microorganisms, but at the same time can have minimal or no effect on beneficial microorganisms, such as the probiotic gut bacteria. This property is particularly important in the context of antimicrobial and antifungal therapy, as it allows the selective destruction of pathogens while minimizing the disruption of the body’s natural microbiotic flora [6,13,14,17].
In addition, studies on the synergistic effects of eugenol and isoeugenol with other substances or drugs may bring new therapeutic possibilities. Combinations of these compounds with the existing antibiotics or other antimicrobial substances may increase their effectiveness and reduce the risk of bacterial resistance [15,25,39].
It is also worth continuing to study the safety of eugenol and isoeugenol in antibacterial and antifungal therapy. Although these substances show promising properties, there is a need to evaluate the potential side effects and possible interactions with other drugs or substances. Only the comprehensive analysis will allow the full potential of eugenol and isoeugenol in combating microbial infections to be realized [6,17,18,39].
These results suggest that eugenol and isoeugenol have potential as antibacterial and antifungal ingredients in cosmetic products, especially in creams. Their presence may help to prevent the growth of microorganisms, which is key to maintaining the hygiene of cosmetic products and elongating their shelf life. However, further studies are needed to assess the stability and safety of these substances over a longer time horizon and under different storage and application conditions (Table 5, Figure 5) [5,12,27,32].

Figure 5.
Example photos of the results obtained for creams with the addition of eugenol and isoeugenol (the designations I and II in each culture medium refer to the first inoculation (I) and the repeat inoculation (II), respectively, which were performed to confirm the reproducibility of the results).
3.5. Anticancer Studies of Eugenol and Isoeugenol
LoVo cell line
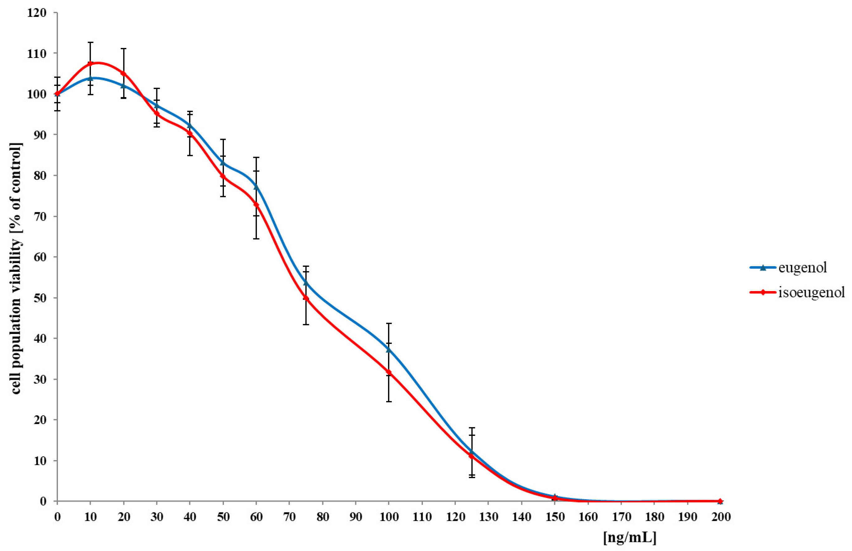
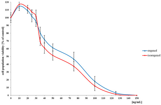
The results show the anticancer properties of eugenol and isoeugenol on the LoVo cell line, measured as the percentage of cell survival and at concentrations in the range of 10–200 ng/mL with respect to the control system, where a value of 100% viable cells was assumed (Figure 6).
Figure 6.
Anticancer profile of the LoVo cell line (human colon cancer cells) treated with varying concentrations of eugenol (EU) and isoeugenol (ISO-EU) compared to the untreated control samples. The results show the anticancer of eugenol and isoeugenol, measured as the percentage of cell survival at the concentrations ranging from 10 to 200 ng/mL, with respect to the control system, where 100% cell viability was assumed. The MTT assay was used to assess the cell viability after 72 h of incubation, demonstrating the impact of these compounds on cell survival.
At the low concentrations (10–20 ng/mL), both eugenol and isoeugenol showed little stimulatory effect on the proliferation and/or mitochondrial enzyme activity (about 4% and 7%). On the other hand, from the concentration level of 30 ng/mL, the cytostatic/cytotoxic effect was already observed. The determined anticancer curves show that the cytotoxic effect increases noticeably with the increase in the concentrations of both eugenol and isoeugenol. The formulas of the determined regression curves made it possible to determine the IC50 values (for which the growth and proliferation of cells in culture are halted by 50%, in relation to the growth of the control cells) for both compounds which are, respectively: 92.34 ng/mL for eugenol and 89.98 IC50 for isoeugenol. There were no statistically significant differences between the effects of these compounds on the LoVo line (Figure 7).
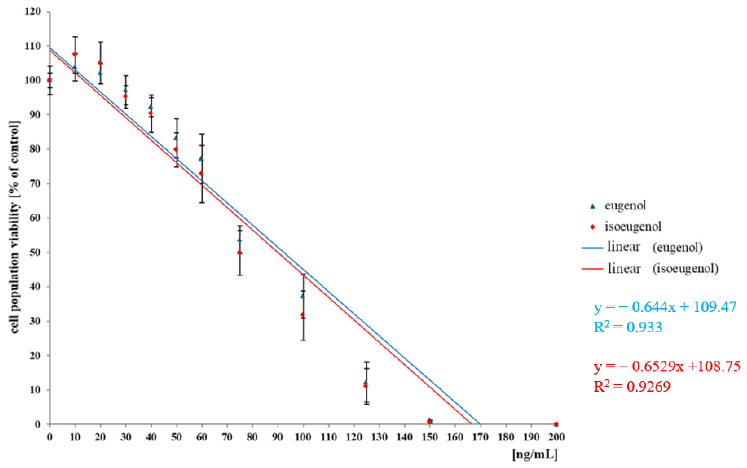
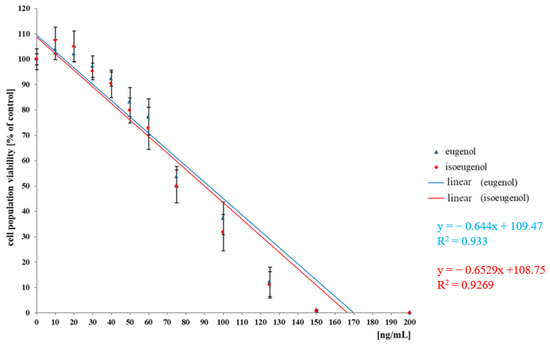
Figure 7.
Anticancer profile of the LoVo cell line (human colon cancer cells) treated with eugenol (EU) and isoeugenol (ISO-EU) in the concentration range from 10 to 200 ng/mL. The graph illustrates the dose-dependent reduction in cell survival with a linear approximation of the data points, indicating a consistent, linear relationship between the concentration of these compounds and the decrease in cell viability.
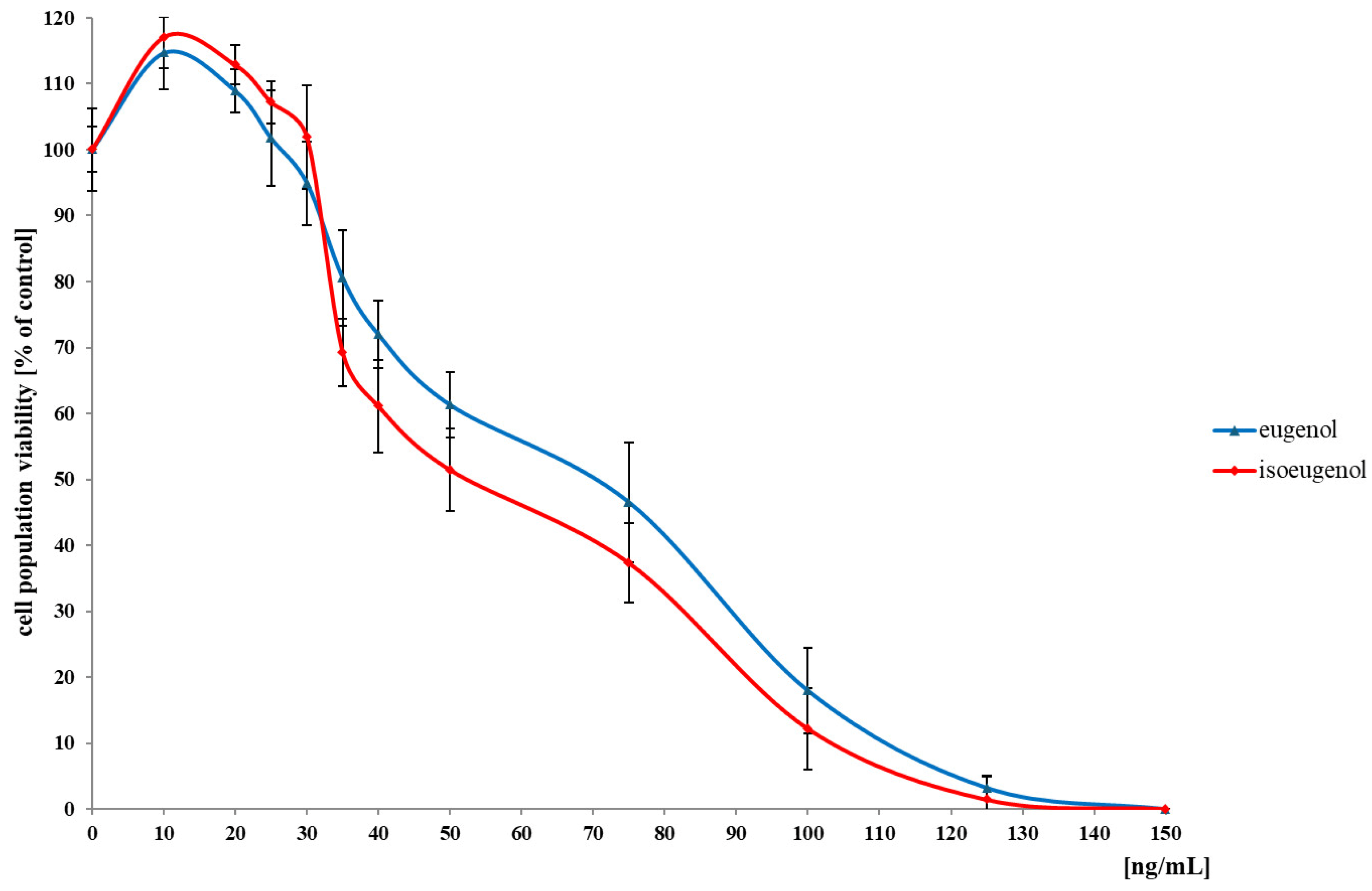
U87MG cell line
The analogous anticancer studies of eugenol and isoeugenol were carried out using the U87MG line. As in the case of the LoVo line, the effect of the increased proliferation and/or mitochondrial enzyme activity was observed in the concentration range of 10–20 ng/mL—it was also more pronounced at 14 and 17%, respectively. To be sure of the observed results, a blank sample was tested (medium, DMSO solvent, and test compound), but no additional reduction in MTT to formazan was confirmed. The cytotoxic effect observed from a concentration of 40 ng/mL and the determined anticancer curves show that it increases dynamically with the increase in the concentrations of both eugenol and isoeugenol. The formulas of the determined regression curves allowed us to determine the IC50 values for both compounds which are, respectively: 72.59 ng/mL for eugenol and 69.28 IC50 for isoeugenol. There were no statistically significant differences between the effects of these compounds on the U87MG line (Figure 8 and Figure 9).
Figure 8.
Anticancer profile of the U87MG cell line (human glioma cells) treated with varying concentrations of eugenol (EU) and isoeugenol (ISO-EU) compared to the untreated control samples. The results show the anticancer properties of eugenol and isoeugenol, measured as the percentage of cell survival at the concentrations ranging from 10 to 200 ng/mL, with respect to the control system, where 100% cell viability was assumed. The MTT assay was used to assess the cell viability after 72 h of incubation, demonstrating the impact of these compounds on cell survival.
Figure 9.
Anticancer profile of the U87MG cell line (human glioma cells) treated with eugenol (EU) and isoeugenol (ISO-EU) in the concentration range from 10 to 200 ng/mL. The graph illustrates the dose-dependent reduction in cell survival with a linear approximation of the data points, indicating a consistent, linear relationship between the concentration of these compounds and the decrease in cell viability.
The results indicate that both the LoVo and U87MG lines are sensitive to the effects of eugenol and isoeugenol. Both compounds induce a very similar cytotoxic effect on the line. The pleiotropic effect of eugenol and isoeugenol observed in this experiment, the increase in proliferation/metabolic activity at low concentrations, and the determined IC50 values allow us to suspect that the U87MG line is more sensitive to eugenol and isoeugenol than the LoVo line.
The solvent dimethylsulfoxide (DMSO p.a., Sigma Aldrich, Poznań, Poland) was used to prepare the intermediate solutions of eugenol and isoeugenol. To be sure that the observed cytotoxic effects did not originate from reactions with the solvent, analogous tests were carried out with the reagent assay without eugenol and isoeugenol. No cytotoxic effect or changes in MTT reduction were observed over the range of concentrations tested with respect to the control system.
4. Discussion
The studies on eugenol and isoeugenol, two terpene compounds found in various plants, including cloves, underline their significant potential as natural preservatives in cosmetic products. Their pronounced antibacterial and antifungal properties make them promising alternatives to conventional synthetic preservatives, which have been increasingly criticized due to their allergenic effects and potential long-term health risks [30,34].
In the context of skin care, eugenol and isoeugenol show strong inhibitory effects against several Gram-positive bacterial strains, such as Staphylococcus aureus and Enterococcus faecalis, both of which are commonly associated with skin and hospital infections. These findings emphasize the need for effective preservatives in cosmetic products, as they help prevent contamination by harmful microorganisms. Additionally, the efficacy of eugenol and isoeugenol against yeast-like microorganisms, such as Candida albicans, suggests a broad spectrum of action, making them suitable for use in products susceptible to microbiological contamination, especially in humid environments such as cosmetics [33,35,42].
The antimicrobial mechanism of action of eugenol and isoeugenol is attributed to their ability to disrupt microbial cell membranes. This disruption leads to increased membrane permeability and, ultimately, cell rupture. Such a mechanism facilitates the leakage of essential intracellular components, including ions and proteins, which disrupts the cellular processes necessary for microbial survival. These results are consistent with previous studies, which have suggested that eugenol acts on both the structural integrity and the functional properties of cell membranes, further validating its potential as a natural preservative [37].
Furthermore, studies have demonstrated the effectiveness of eugenol and isoeugenol as preservatives in cosmetic formulations. Their ability to inhibit microbial growth in cream samples, even at varying concentrations, is particularly notable. The absence of detectable microbiological contamination in these formulations suggests that eugenol and isoeugenol can effectively protect cosmetics from contamination, providing a natural alternative to synthetic preservatives. This is especially important in the context of increasing consumer demand for natural, eco-friendly products that align with sustainability trends [31,38].
Incorporating eugenol and isoeugenol into cosmetic formulations offers the potential to reduce reliance on synthetic preservatives, which are often associated with safety concerns and regulatory scrutiny. Natural alternatives like eugenol not only enhance the safety of cosmetic products but also cater to consumer preferences for simpler, more transparent ingredient lists in personal care products [34,36].
In addition to their preservative qualities, eugenol and isoeugenol have demonstrated cytotoxic effects on cancer cell lines, such as LoVo (colon cancer) and U87MG (glioblastoma), in a concentration-dependent manner. This discovery opens new avenues for research into the dual functionality of these compounds, which could have applications both in cosmetics and cancer therapy. Optimizing their concentrations to achieve antimicrobial efficacy while minimizing cytotoxic effects on healthy cells presents an exciting direction for future research [39,42].
Considering the ongoing global challenge of antibiotic resistance, eugenol, and isoeugenol may provide valuable alternatives to conventional antimicrobial agents. Their incorporation into cosmetic formulations could also play a role in reducing the emergence of resistant microbial strains, which is crucial for public health [32,35].
In conclusion, the research findings highlight the promising potential of eugenol and isoeugenol as natural preservatives in cosmetics. Future studies should focus on elucidating their precise molecular mechanisms of action, evaluating their stability and safety in various cosmetic formulations, and exploring their synergistic effects with other active ingredients. Moreover, further research into their potential use in oncology could broaden their applications beyond cosmetics [30,37]. By advancing these research directions, it may be possible to develop innovative, effective, and safe solutions that address the evolving needs of modern consumers while also tackling pressing health challenges.
5. Conclusions
The conducted studies revealed the significant potential of eugenol and isoeugenol as natural terpene compounds with antimicrobial properties, which could play a crucial role in the improvement of microbiological stability and the safety of cosmetic formulations. During the antimicrobial activity tests, both compounds showed high effectiveness in the elimination of microorganisms such as Gram-positive bacteria, including Staphylococcus aureus and Enterococcus faecalis, as well as yeast-like fungi, including Candida albicans and Candida glabrata, which are the commonly occurring pathogens in cosmetics. The obtained results clearly indicate the possibility of using eugenol and isoeugenol in cosmetic products to prevent microbial growth, which is crucial for ensuring the quality and long-term stability of these products.
Both eugenol and isoeugenol act in a similar manner by destabilizing the cell membranes of microorganisms and inhibiting the enzymes essential for their survival. This mechanism not only inhibits the growth and development of bacteria and fungi but also limits their ability to produce toxins and other virulence factors. As a result, eugenol and isoeugenol demonstrate versatility in combating microorganisms, showing antimicrobial activity at multiple levels, making them valuable ingredients in cosmetics.
The primary advantage of applications of eugenol and isoeugenol in cosmetic formulations is their potential to replace the traditional, often synthetic preservatives, which in many cases can cause allergic reactions or skin irritation. Eugenol and isoeugenol show a favorable safety profile, especially regarding the skin, making them attractive alternatives to conventional preservatives in cosmetics. In a time of increasing demand for products based on natural ingredients, eugenol and isoeugenol can meet the needs of consumers looking for health-promoting products while also ensuring the safety of application.
Although eugenol and isoeugenol exhibit promising antimicrobial properties, further research is necessary to determine their optimal concentrations in various cosmetic formulations. These studies should include not only the evaluation of these compounds’ effectiveness in eliminating microorganisms but also their impact on the microbiological stability of cosmetic products over an extended period and under various storage conditions. Additionally, it is important to conduct comprehensive safety tests regarding their application in cosmetics, including toxicity studies and assessments of the potential interactions with the other cosmetic ingredients. These analyses will allow for the precise determination of the concentration limits of these compounds, ensuring their maximum effectiveness while minimizing the risk of undesirable reactions.
In conclusion, the results of these studies highlight the significant potential of eugenol and isoeugenol as natural preservatives and antimicrobial substances, which could contribute to reducing the application of synthetic chemical compounds in the cosmetics industry. The application of these compounds in cosmetics can not only support the growing trend of natural products but also meet the needs of consumers seeking products that are effective, safe, and environmentally friendly. The application of eugenol and isoeugenol in cosmetics represents a promising path for the development of innovative, natural alternatives to traditional methods of preserving cosmetic products.
Author Contributions
Conceptualization. A.F.-B., J.P. and A.W.; methodology. A.F.-B., J.P. and A.W.; validation. A.F.-B., J.P. and A.W.; formal analysis. A.F.-B., J.P., W.Ż. and A.W.; investigation. A.F.-B., J.P. and A.W.; data curation. A.F.-B., J.P., W.Ż. and A.W.; writing—original draft preparation. A.F.-B., J.P. and A.W.; writing—review and editing. A.F.-B., J.P. and A.W.; visualization. A.F.-B., J.P., W.Ż. and A.W.; supervision. A.F.-B., J.P., A.W., A.Ł. and A.K. All authors have read and agreed to the published version of the manuscript.
Funding
This research received no external funding.
Institutional Review Board Statement
Not applicable.
Informed Consent Statement
Not applicable.
Data Availability Statement
The original contributions presented in this study are included in the article. Further inquiries can be directed to the corresponding authors.
Conflicts of Interest
The authors declare no conflicts of interest.
References
- Celeiro, M.; Garcia-Jares, C.; Llompart, M.; Lores, M. Recent advances in sample preparation for cosmetics and personal care products analysis. Molecules 2021, 26, 4900. [Google Scholar] [CrossRef]
- Rubio, L.; Pita, A.; Garcia-Jares, C.; Lores, M. Natural Extracts and Essential Oils as Ingredients in Cosmetics: Search for Potential Phytomarkers and Allergen Survey. Cosmetics 2024, 11, 84. [Google Scholar] [CrossRef]
- Sulborska-Różycka, A.; Masierowska, M. Wykorzystanie Produktów Pszczelich w Kosmetologii. In Wybrane Aspekty Biokosmetologii; Ark; Wydawnictwo Uniwersytetu Przyrodniczego w Lublinie: Lublin, Poland, 2021; pp. 178–214. [Google Scholar]
- Hoang, H.T.; Moon, J.-Y.; Lee, Y.-C. Natural Antioxidants from Plant Extracts in Skincare Cosmetics: Recent Applications, Challenges and Perspectives. Cosmetics 2021, 8, 106. [Google Scholar] [CrossRef]
- Koch, W.; Zagórska, J.; Marzec, Z.; Kukula-Koch, W. Applications of Tea (Camellia sinensis) and its Active Constituents in Cosmetics. Molecules 2019, 24, 4277. [Google Scholar] [CrossRef]
- Marchese, A.; Barbieri, R.; Coppo, E.; Orhan, I.E.; Daglia, M.; Nabavi, S.F.; Izadi, M.; Abdollahi, M.; Nabavi, S.M.; Ajami, M. Antimicrobial activity of eugenol and essential oils containing eugenol: A mechanistic viewpoint. Crit. Rev. Microbiol. 2017, 43, 668–689. [Google Scholar] [CrossRef]
- Li, W.; Chen, H.; He, Z.; Han, C.; Liu, S.; Li, Y. Influence of surfactant and oil composition on the stability and antibacterial activity of eugenol nanoemulsions. LWT—Food Sci. Technol. 2015, 62, 39–47. [Google Scholar] [CrossRef]
- Singh, G.; Gupta, I.; Elshamy, F.; Boreak, N.; Homeida, H. In vitro comparison of antibacterial properties of bioceramic-based sealer, resin-based sealer and zinc oxide eugenol based sealer and two mineral trioxide aggregates. Eur. J. Dent. 2016, 10, 366. [Google Scholar] [CrossRef]
- Rhayour, K.; Bouchikhi, T.; Tantaoui-Elaraki, A.; Sendide, K.; Remmal, A. The mechanism of bactericidal action of oregano and clove essential oils and of their phenolic major components on Escherichia coli and Bacillus subtilis. J. Essent. Oil Res. 2003, 15, 356–362. [Google Scholar] [CrossRef]
- Zhang, Y.; Yang, Z.; Huang, Q.; Zhan, X.; Liu, X.; Guo, D.; Wang, S.; Rui, W.; Lü, X.; Shi, C. Antimicrobial Activity of Eugenol Against Bacillus cereus and Its Application in Skim Milk. Foodborne Pathog. Dis. 2024, 21, 147–159. [Google Scholar] [CrossRef]
- Fry, I.J.; Lee, F.K.; Turetsky, A.; DeFrank, J.J. Army Chemical and Biological Defense Command Aberdeen Proving Ground Md. Microarray Bactericidal Testing of Natural Products Against Yersinia intermedia and Bacillus anthracis. 2002. Available online: https://apps.dtic.mil/sti/citations/tr/ADA436069 (accessed on 7 December 2024).
- Perez-Conesa, D.; McLandsborough, L.; Weiss, J. Inhibition and inactivation of Listeria monocytogenes and Escherichia coli O157: H7 colony biofilms by micellar-encapsulated eugenol and carvacrol. J. Food Protect. 2006, 69, 2947–2954. [Google Scholar] [CrossRef]
- García-García, R.; López-Malo, A.; Palou, E. Bactericidal Action of Binary and Ternary Mixtures of Carvacrol, Thymol, and Eugenol against Listeria Innocua. J. Food Sci. 2011, 76, M95–M100. [Google Scholar] [CrossRef]
- Montenegro, I.; Pazmiño, R.; Araque, I.; Madrid, A.; Besoain, X.; Werner, E.; Espinoza-Catalán, L.; Olea, A.F.; Parra, C.; Navarrete Molina, V.; et al. Antimicrobial Activity of Drimanic Sesquiterpene Compounds from Drimys winteri against Multiresistant Microorganisms. Molecules 2024, 29, 2844. [Google Scholar] [CrossRef]
- Jeyakumar, G.E.; Lawrence, R. Mechanisms of bactericidal action of Eugenol against Escherichia coli. J. Herb. Med. 2021, 26, 100406. [Google Scholar] [CrossRef]
- Lahiri, D.; Nag, M.; Dutta, B.; Dey, S.; Mukherjee, D.; Joshi, S.J.; Ray, R.R. Antibiofilm and anti-quorum sensing activities of eugenol and linalool from Ocimum tenuiflorum against Pseudomonas aeruginosa biofilm. J. Appl. Microbiol. 2021, 131, 2821–2837. [Google Scholar] [CrossRef]
- Qian, W.; Sun, Z.; Wang, T.; Yang, M.; Liu, M.; Zhang, J.; Li, Y. Antimicrobial activity of eugenol against carbapenem-resistant Klebsiella pneumoniae and its effect on biofilms. Microb. Pathogen. 2020, 139, 103924. [Google Scholar] [CrossRef]
- Karumathil, D.P.; Nair, M.S.; Gaffney, J.; Kollanoor-Johny, A.; Venkitanarayanan, K. Trans-cinnamaldehyde and eugenol increase Acinetobacter baumannii sensitivity to beta-lactam antibiotics. Front. Microbiol. 2018, 9, 302538. [Google Scholar] [CrossRef]
- Campaniello, D.; Corbo, M.R.; Sinigaglia, M. Antifungal Activity of Eugenol against Penicillium, Aspergillus, and Fusarium Species. J. Food Protect. 2010, 73, 1124–1128. [Google Scholar] [CrossRef]
- He, M.; Du, M.; Fan, M.; Bian, Z. In vitro activity of eugenol against Candida albicans biofilms. Mycopathologia 2007, 163, 137–143. [Google Scholar] [CrossRef]
- Teixeira, M.M.; Carvalho, D.T.; Sousa, E.; Pinto, E. New Antifungal Agents with Azole Moieties. Pharmaceuticals 2022, 15, 1427. [Google Scholar] [CrossRef]
- Olea, A.F.; Bravo, A.; Martínez, R.; Thomas, M.; Sedan, C.; Espinoza, L.; Zambrano, E.; Carvajal, D.; Silva-Moreno, E.; Carrasco, H. Antifungal Activity of Eugenol Derivatives against Botrytis cinerea. Molecules 2019, 24, 1239. [Google Scholar] [CrossRef]
- Liu, J.; Xu, C.; Zhang, H.; Liu, F.; Ma, D.; Liu, Z. Comparative Transcriptomics Analysis for Gene Mining and Identification of a Cinnamyl Alcohol Dehydrogenase Involved in Methyleugenol Biosynthesis from Asarum sieboldii Miq. Molecules 2018, 23, 3184. [Google Scholar] [CrossRef]
- Rosa, L.L.S.; Galvão, L.F.M.; Neto, H.D.; Nóbrega, J.R.; Silva, D.F.; Júnior, F.A. Isoeugenol efficacy against Staphylococcus aureus. Int. J. Dev. Res. 2019, 9, 30877–30879. [Google Scholar]
- Shastry, R.P.; Kanekar, S.; Pandial, A.S.; Rekha, P.D. Isoeugenol suppresses multiple quorum sensing regulated phenotypes and biofilm formation of Pseudomonas aeruginosa PAO1. Nat. Prod. Res. 2022, 36, 1663–1667. [Google Scholar] [CrossRef]
- Zhao, L.; Xie, Y.; Chen, L.; Xu, X.; Zhao, C.X.; Cheng, F. Efficient biotransformation of isoeugenol to vanillin in recombinant strains of Escherichia coli by using engineered isoeugenol monooxygenase and sol-gel chitosan membrane. Proc. Biochem. 2018, 71, 76–81. [Google Scholar] [CrossRef]
- Sartoratto, A.; Machado, A.L.; Pimentel, M.F.; Lima, E.S.; Azzolini, A.E. Antibacterial activity of Brazilian medicinal plants. Phytochemistry 2004, 65, 231–237. [Google Scholar] [CrossRef]
- Medeiros, D.; Oliveira-Júnior, J.; Nóbrega, J.; Cordeiro, L.; Jardim, J.; Souza, H.; Silva, G.; Athayde-Filho, P.; Barbosa-Filho, J.; Scotti, L.; et al. Isoeugenol and Hybrid Acetamides against Candida albicans Isolated from the Oral Cavity. Pharmaceuticals 2020, 13, 291. [Google Scholar] [CrossRef]
- Silva, D.; Diniz-Neto, H.; Cordeiro, L.; Silva-Neta, M.; Silva, S.; Andrade-Júnior, F.; Leite, M.; Nóbrega, J.; Morais, M.; Souza, J.; et al. (R)-(+)-Citronellol and (S)-(−)-Citronellol in Combination with Amphotericin B against Candida spp. Int. J. Mol. Sci. 2020, 21, 1785. [Google Scholar] [CrossRef]
- Silva, A.M.; Rocha, B.; Moreira, M.M.; Delerue-Matos, C.; das Neves, J.; Rodrigues, F. Biological Activity and Chemical Composition of Propolis Extracts with Potential Use in Vulvovaginal Candidiasis Management. Int. J. Mol. Sci. 2024, 25, 2478. [Google Scholar] [CrossRef]
- Burt, S. Essential oils: Their antibacterial properties and potential applications in foods—A review. Int. J. Food Microbiol. 2004, 94, 223–253. [Google Scholar] [CrossRef]
- Ulanowska, M.; Olas, B. Biological Properties and Prospects for the Application of Eugenol—A Review. Int. J. Mol. Sci. 2021, 22, 3671. [Google Scholar] [CrossRef]
- Angane, M.; Swift, S.; Huang, K.; Butts, C.A.; Quek, S.Y. Essential Oils and Their Major Components: An Updated Review on Antimicrobial Activities, Mechanism of Action and Their Potential Application in the Food Industry. Foods 2022, 11, 464. [Google Scholar] [CrossRef] [PubMed]
- Singh, B.; Singh, J.P.; Kaur, A.; Singh, N. Antimicrobial potential of pomegranate peel: A review. Int. J. Food Sci. Technol. 2019, 54, 959–965. [Google Scholar] [CrossRef]
- Papadochristopoulos, A.; Kerry, J.P.; Fegan, N.; Burgess, C.M.; Duffy, G. Natural anti-microbials for enhanced microbial safety and shelf-life of processed packaged meat. Foods 2021, 10, 1598. [Google Scholar] [CrossRef]
- Han, Y.; Sun, Z.; Chen, W. Antimicrobial susceptibility and antibacterial mechanism of limonene against Listeria monocytogenes. Molecules 2020, 25, 33. [Google Scholar] [CrossRef]
- Diep, T.T.; Yoo, M.J.Y.; Pook, C.; Sadooghy-Saraby, S.; Gite, A.; Rush, E. Volatile Components and Preliminary Antibacterial Activity of Tamarillo (Solanum betaceum Cav.). Foods 2021, 10, 2212. [Google Scholar] [CrossRef]
- Sharifzadeh, A.; Shokri, H. In vitro synergy of eugenol on the antifungal effects of voriconazole against Candida tropicalis and Candida krusei strains isolated from the genital tract of mares. Equine Vet. J. 2021, 53, 94–101. [Google Scholar] [CrossRef]
- Mak, K.K.; Kamal, M.B.; Ayuba, S.B.; Sakirolla, R.; Kang, Y.B.; Mohandas, K.; Balijepalli, M.K.; Ahmad, S.H.; Pichika, M.R. A comprehensive review on eugenol’s antimicrobial properties and industry applications: A transformation from ethnomedicine to industry. Phcog. Rev. 2019, 13, 1–9. [Google Scholar] [CrossRef]
- Biernasiuk, A.; Baj, T.; Malm, A. Clove Essential Oil and Its Main Constituent, Eugenol, as Potential Natural Antifungals against Candida spp. Alone or in Combination with Other Antimycotics Due to Synergistic Interactions. Molecules 2023, 28, 215. [Google Scholar] [CrossRef]
- D’Angeli, F.; Guadagni, F.; Genovese, C.; Nicolosi, D.; Trovato Salinaro, A.; Spampinato, M.; Mannino, G.; Lo Furno, D.; Petronio Petronio, G.; Ronsisvalle, S.; et al. Anti-Candidal Activity of the Parasitic Plant Orobanche crenata Forssk. Antibiotics 2021, 10, 1373. [Google Scholar] [CrossRef]
- John, S.; Lee, J.W.; Lamichhane, P.; Dinh, T.; Nolan, T.; Yoon, T. Potential Synergistic Inhibition of Enterococcus faecalis by Essential Oils and Antibiotics. Appl. Sci. 2023, 13, 11089. [Google Scholar] [CrossRef]
Disclaimer/Publisher’s Note: The statements, opinions and data contained in all publications are solely those of the individual author(s) and contributor(s) and not of MDPI and/or the editor(s). MDPI and/or the editor(s) disclaim responsibility for any injury to people or property resulting from any ideas, methods, instructions or products referred to in the content. |
© 2025 by the authors. Licensee MDPI, Basel, Switzerland. This article is an open access article distributed under the terms and conditions of the Creative Commons Attribution (CC BY) license (https://creativecommons.org/licenses/by/4.0/).










