A Spatial–Temporal Adaptive Graph Convolutional Network with Multi-Sensor Signals for Tool Wear Prediction
Abstract
1. Introduction
1.1. Literature Review
1.1.1. Machine Learning-Based Methods
1.1.2. Deep Learning-Based Methods
1.2. Motivation and Contributions of Paper
- With the limitation of a predefined graph structure that cannot effectively capture spatial variations, the AGCN is designed for capturing hidden spatial dependencies and improving feature aggregation.
- To capture temporal dependencies, Bi-Mamba is used to capture both forward and backward contextual information with long-term dependencies, and the channel independence strategy allows for different features to be learned in each channel, which provides a more comprehensive feature representation.
- To enhance the feature extraction capability while fusing multi-dimensional features, MTLA is designed for capturing multi-level local and global information from multi-scale features, and the attention mechanism can dynamically adjust weights based on input features, focusing on crucial information and improving information utilization efficiency.
1.3. Paper Organization
2. Theoretical Basis
2.1. Graph Convolutional Network
2.2. State Space Model
3. Methodology
3.1. Preliminary
3.2. Embedding the Time Series
3.3. Adaptive Graph Convolutional Network
3.4. Bidirectional Mamba
3.5. Multi-Scale Triple Linear Attention
3.6. The STAGCN-Based Tool Wear Prediction Method
4. Experimental Setup
4.1. Dataset Description
4.2. Data Processing
4.3. Parameter Configurations
4.4. Performance Evaluation Metrics
5. Results and Discussion
5.1. Prediction of Tool Wear on PHM2010 Dataset
- Transformer-based models outperform traditional deep learning approaches primarily due to the effectiveness of the attention mechanism. Unlike RNN-based architectures such as GRU and LSTM, which process sequences sequentially and suffer from vanishing gradient issues, transformer-based models dynamically focus on key parts of the input sequence. This flexibility allows them to capture long-range dependencies more effectively, ensuring better modeling of complex temporal patterns in tool wear progression.
- The STAGCN achieves the best overall performance by integrating an AGCN and Bi-Mamba for spatial–temporal feature extraction. Traditional graph-based models, such as a GCN, rely on a fixed adjacency matrix, which limits their adaptability to dynamically evolving sensor relationships. In contrast, an AGCN enables dynamic learning of sensor dependencies, adjusting the graph topology based on real-time sensor interactions. This adaptability is particularly beneficial in scenarios where sensor measurements are affected by changing cutting conditions and wear patterns.
- The MTLA mechanism further enhances the STAGCN by refining feature selection across different timescales. Unlike conventional attention mechanisms that primarily focus on individual time steps, MTLA enables hierarchical feature aggregation, ensuring that both short-term fluctuations and long-term degradation trends are effectively captured. This is particularly crucial in predictive maintenance, where wear progression may follow nonlinear trends that require flexible time-dependent modeling.
5.2. Ablation Experiment
- Variant-Base: this model only adopts the AGCN to extract spatial features.
- Variant-M: this model adds Bi-Mamba based on Variant-Base to extract temporal features.
- Variant-A: this model adds MTLA based on Variant-Base.
- Variant-M-A: this model adds Bi-Mamba and MTLA based on Variant-Base.
- Variant-Preg: this model uses the predefined adjacency matrix based on the PCC for the GCN, which is used to replace the AGCN in the STAGCN.
5.3. Performance Evaluation of MTLA
5.4. Hyperparameter Experiments
5.4.1. Effect of Number of Subsequences
5.4.2. Effect of Node Embedding Dimension
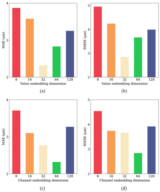
5.4.3. Effects of Value and Channel Embedding Dimensions
5.4.4. Effect of State Expansion Factor of Mambas
5.4.5. Effect of Number of Spatial–Temporal Layers
5.4.6. Effect of Different Optimizers
6. Conclusions
Author Contributions
Funding
Institutional Review Board Statement
Informed Consent Statement
Data Availability Statement
Conflicts of Interest
References
- Mohanraj, T.; Shankar, S.; Rajasekar, R.; Sakthivel, N.; Pramanik, A. Tool condition monitoring techniques in milling process—A review. J. Mater. Res. Technol. 2020, 9, 1032–1042. [Google Scholar] [CrossRef]
- Vetrichelvan, G.; Sundaram, S.; Kumaran, S.S.; Velmurugan, P. An investigation of tool wear using acoustic emission and genetic algorithm. J. Vib. Control 2015, 21, 3061–3066. [Google Scholar] [CrossRef]
- Liu, C.; Wang, G.; Li, Z. Incremental learning for online tool condition monitoring using Ellipsoid ARTMAP network model. Appl. Soft Comput. 2015, 35, 186–198. [Google Scholar] [CrossRef]
- Serin, G.; Sener, B.; Ozbayoglu, A.M.; Unver, H.O. Review of tool condition monitoring in machining and opportunities for deep learning. Int. J. Adv. Manuf. Technol. 2020, 109, 953–974. [Google Scholar] [CrossRef]
- Liu, Z.; Yue, C.; Li, X.; Liu, X.; Liang, S.Y.; Wang, L. Research on tool wear based on 3D FEM simulation for milling process. J. Manuf. Mater. Process. 2020, 4, 121. [Google Scholar] [CrossRef]
- Zhenyu, S.; Xin, L.; Ningmin, D.; Qibiao, Y. Evaluation of tool wear and cutting performance considering effects of dynamic nodes movement based on FEM simulation. Chin. J. Aeronaut. 2021, 34, 140–152. [Google Scholar]
- Tran, M.-Q.; Doan, H.-P.; Vu, V.Q.; Vu, L.T. Machine learning and IoT-based approach for tool condition monitoring: A review and future prospects. Measurement 2023, 207, 112351. [Google Scholar] [CrossRef]
- Pimenov, D.Y.; Bustillo, A.; Wojciechowski, S.; Sharma, V.S.; Gupta, M.K.; Kuntoğlu, M. Artificial intelligence systems for tool condition monitoring in machining: Analysis and critical review. J. Intell. Manuf. 2023, 34, 2079–2121. [Google Scholar] [CrossRef]
- Wu, D.; Jennings, C.; Terpenny, J.; Gao, R.X.; Kumara, S. A comparative study on machine learning algorithms for smart manufacturing: Tool wear prediction using random forests. J. Manuf. Sci. Eng. 2017, 139, 071018. [Google Scholar] [CrossRef]
- Traini, E.; Bruno, G.; Lombardi, F. Tool condition monitoring framework for predictive maintenance: A case study on milling process. Int. J. Prod. Res. 2021, 59, 7179–7193. [Google Scholar] [CrossRef]
- Xue, Z.; Li, L.; Wu, Y.; Yang, Y.; Wu, W.; Zou, Y.; Chen, N. Study on tool wear state recognition algorithm based on spindle vibration signals collected by homemade tool condition monitoring ring. Measurement 2023, 223, 113787. [Google Scholar] [CrossRef]
- Karabacak, Y.E. Intelligent milling tool wear estimation based on machine learning algorithms. J. Mech. Sci. Technol. 2024, 38, 835–850. [Google Scholar] [CrossRef]
- Di, Z.; Yuan, D.; Li, D.; Liang, D.; Zhou, X.; Xin, M.; Cao, F.; Lei, T. Tool fault diagnosis method based on multiscale-efficient channel attention network. J. Mech. Eng. 2024, 60, 82–90. [Google Scholar]
- Nasir, V.; Sassani, F. A review on deep learning in machining and tool monitoring: Methods, opportunities, and challenges. Int. J. Adv. Manuf. Technol. 2021, 115, 2683–2709. [Google Scholar] [CrossRef]
- Cai, W.; Zhang, W.; Hu, X.; Liu, Y. A hybrid information model based on long short-term memory network for tool condition monitoring. J. Intell. Manuf. 2020, 31, 1497–1510. [Google Scholar] [CrossRef]
- Marani, M.; Zeinali, M.; Songmene, V.; Mechefske, C.K. Tool wear prediction in high-speed turning of a steel alloy using long short-term memory modelling. Measurement 2021, 177, 109329. [Google Scholar] [CrossRef]
- Liu, C.; Zhu, L. A two-stage approach for predicting the remaining useful life of tools using bidirectional long short-term memory. Measurement 2020, 164, 108029. [Google Scholar] [CrossRef]
- Wang, J.; Yan, J.; Li, C.; Gao, R.X.; Zhao, R. Deep heterogeneous GRU model for predictive analytics in smart manufacturing: Application to tool wear prediction. Comput. Ind. 2019, 111, 1–14. [Google Scholar] [CrossRef]
- Gao, K.; Xu, X.; Jiao, S. Measurement and prediction of wear volume of the tool in nonlinear degradation process based on multi-sensor information fusion. Eng. Fail. Anal. 2022, 136, 106164. [Google Scholar] [CrossRef]
- Aghazadeh, F.; Tahan, A.; Thomas, M. Tool condition monitoring using spectral subtraction and convolutional neural networks in milling process. Int. J. Adv. Manuf. Technol. 2018, 98, 3217–3227. [Google Scholar] [CrossRef]
- Kothuru, A.; Nooka, S.P.; Liu, R. Application of deep visualization in CNN-based tool condition monitoring for end milling. Procedia Manuf. 2019, 34, 995–1004. [Google Scholar] [CrossRef]
- Huang, Z.; Zhu, J.; Lei, J.; Li, X.; Tian, F. Tool wear predicting based on multi-domain feature fusion by deep convolutional neural network in milling operations. J. Intell. Manuf. 2020, 31, 953–966. [Google Scholar] [CrossRef]
- Xu, X.; Wang, J.; Ming, W.; Chen, M.; An, Q. In-process tap tool wear monitoring and prediction using a novel model based on deep learning. Int. J. Adv. Manuf. Technol. 2021, 112, 453–466. [Google Scholar] [CrossRef]
- Liu, X.; Liu, S.; Li, X.; Zhang, B.; Yue, C.; Liang, S.Y. Intelligent tool wear monitoring based on parallel residual and stacked bidirectional long short-term memory network. J. Manuf. Syst. 2021, 60, 608–619. [Google Scholar] [CrossRef]
- Chan, Y.; Kang, T.; Yang, C.; Chang, C.; Huang, S.; Tsai, Y. Tool wear prediction using convolutional bidirectional LSTM networks. J. Supercomput. 2022, 78, 810–832. [Google Scholar] [CrossRef]
- Cheng, M.; Jiao, L.; Yan, P.; Jiang, H.; Wang, R.; Qiu, T.; Wang, X. Intelligent tool wear monitoring and multi-step prediction based on deep learning model. J. Manuf. Syst. 2022, 62, 286–300. [Google Scholar] [CrossRef]
- Duan, J.; Zhang, X.; Shi, T. A hybrid attention-based paralleled deep learning model for tool wear prediction. Expert Syst. Appl. 2023, 211, 118548. [Google Scholar] [CrossRef]
- Chen, J.; Zheng, L.; Hu, Y.; Wang, W.; Zhang, H.; Hu, X. Traffic flow matrix-based graph neural network with attention mechanism for traffic flow prediction. Inf. Fusion 2024, 104, 102146. [Google Scholar] [CrossRef]
- Liu, S.; He, M.; Wu, Z.; Peng, L.; Gu, W. Spatial–temporal graph neural network traffic prediction based load balancing with reinforcement learning in cellular networks. Inf. Fusion 2024, 103, 102079. [Google Scholar] [CrossRef]
- Yang, M.; Zhang, B.; Wang, T.; Cai, J.; Xaing, W.; Feng, H.; Fang, K. Vehicle Interactive Dynamic Graph Neural Network-Based Trajectory Prediction for Internet of Vehicles. IEEE Internet Things J. 2024, 11, 35777–35790. [Google Scholar] [CrossRef]
- Sun, C.; Ning, Y.; Shen, D.; Nie, T. Graph Neural Network-Based Short-Term Load Forecasting with Temporal Convolution. Data Sci. Eng. 2024, 9, 113–132. [Google Scholar] [CrossRef]
- Zhao, B.; He, X.; Ran, S.; Zhang, Y.; Cheng, C. Spatial correlation learning based on graph neural network for medium-term wind power forecasting. Energy 2024, 296, 131164. [Google Scholar] [CrossRef]
- Hu, Z.; Gao, Y.; Sun, L.; Mae, M.; Imaizumi, T. Self-learning dynamic graph neural network with self-attention based on historical data and future data for multi-task multivariate residential air conditioning forecasting. Appl. Energy 2024, 364, 123156. [Google Scholar] [CrossRef]
- Li, T.; Zhou, Z.; Li, S.; Sun, C.; Yan, R.; Chen, X. The emerging graph neural networks for intelligent fault diagnostics and prognostics: A guideline and a benchmark study. Mech. Syst. Signal Process. 2022, 168, 108653. [Google Scholar] [CrossRef]
- Yang, X.; Zheng, Y.; Zhang, Y.; Wong, D.S.-H.; Yang, W. Bearing remaining useful life prediction based on regression shapalet and graph neural network. IEEE Trans. Instrum. Meas. 2022, 71, 1–12. [Google Scholar] [CrossRef]
- Kong, Z.; Jin, X.; Wang, F.; Xu, Z. Spatio-Temporal Propagation: An Extended Message Passing Graph Neural Network for Remaining Useful Life Prediction. IEEE Sens. J. 2024, 24, 32468–32479. [Google Scholar] [CrossRef]
- Zhang, Z.; Wu, L. Graph neural network-based bearing fault diagnosis using Granger causality test. Expert Syst. Appl. 2024, 242, 122827. [Google Scholar] [CrossRef]
- Xu, H.; Yang, X.; Wang, W.; Du, J.; Gao, J. A novel pre-trained model based on graph-labeling graph neural networks for tool wear prediction under variable working conditions. Meas. Sci. Technol. 2023, 34, 125026. [Google Scholar] [CrossRef]
- Yang, J.; Wu, J.; Li, X.; Qin, X. Tool wear prediction based on parallel dual-channel adaptive feature fusion. Int. J. Adv. Manuf. Technol. 2023, 128, 145–465. [Google Scholar] [CrossRef]
- Bruna, J.; Zaremba, W.; Szlam, A.; LeCun, Y. Spectral networks and locally connected networks on graphs. arXiv 2013, arXiv:1312.6203. [Google Scholar]
- Hammond, D.K.; Vandergheynst, P.; Gribonval, R. Wavelets on graphs via spectral graph theory. Appl. Comput. Harmon. Anal. 2011, 30, 129–150. [Google Scholar] [CrossRef]
- Kipf, T.N.; Welling, M. Semi-supervised classification with graph convolutional networks. arXiv 2016, arXiv:1609.02907. [Google Scholar]
- Gu, A.; Goel, K.; Re, C. Efficiently Modeling Long Sequences with Structured State Spaces. In Proceedings of the International Conference on Learning Representations, Virtual, 25–29 April 2022; pp. 1–27. [Google Scholar]
- Gu, A.; Johnson, I.; Goel, K.; Saab, K.; Dao, T.; Rudra, A.; Ré, C. Combining recurrent, convolutional, and continuous-time models with linear state space layers. Adv. Neural Inf. Process. Syst. 2021, 34, 572–585. [Google Scholar]
- Zeng, A.; Chen, M.; Zhang, L.; Xu, Q. Are transformers effective for time series forecasting? In Proceedings of the 37th AAAI Conference on Artificial Intelligence, Washington, DC, USA, 7–14 February 2023; pp. 11121–11128. [Google Scholar] [CrossRef]
- Wang, L.; Cao, H.; Xu, H.; Liu, H. A gated graph convolutional network with multi-sensor signals for remaining useful life prediction. Knowl.-Based Syst. 2022, 252, 109340. [Google Scholar] [CrossRef]
- Li, T.; Zhao, Z.; Sun, C.; Yan, R.; Chen, X. Hierarchical attention graph convolutional network to fuse multi-sensor signals for remaining useful life prediction. Reliab. Eng. Syst. Saf. 2021, 215, 107878. [Google Scholar] [CrossRef]
- Wei, Y.; Wu, D.; Terpenny, J. Remaining useful life prediction using graph convolutional attention networks with temporal convolution-aware nested residual connections. Reliab. Eng. Syst. Saf. 2024, 242, 109776. [Google Scholar] [CrossRef]
- Song, L.; Jin, Y.; Lin, T.; Zhao, S.; Wei, Z.; Wang, H. Remaining Useful Life Prediction Method Based on the Spatiotemporal Graph and GCN Nested Parallel Route Model. IEEE Trans. Instrum. Meas. 2024, 73, 3511912. [Google Scholar] [CrossRef]
- Wu, Z.; Pan, S.; Long, G.; Jiang, J.; Zhang, C. Graph wavenet for deep spatial-temporal graph modeling. In Proceedings of the 28th International Joint Conference on Artificial Intelligence, Macao, China, 10–16 August 2019; pp. 1907–1913. [Google Scholar]
- Bai, L.; Yao, L.; Li, C.; Wang, X.; Wang, C. Adaptive graph convolutional recurrent network for traffic forecasting. Adv. Neural Inf. Process. Syst. 2020, 33, 17804–17815. [Google Scholar]
- Gu, A.; Dao, T. Mamba: Linear-time sequence modeling with selective state spaces. arXiv 2023, arXiv:2312.00752. [Google Scholar]
- Gu, A.; Dao, T.; Ermon, S.; Rudra, A.; Ré, C. Hippo: Recurrent memory with optimal polynomial projections. Adv. Neural Inf. Process. Syst. 2020, 33, 1474–1487. [Google Scholar]
- Nie, Y.; Nguyen, N.H.; Sinthong, P.; Kalagnanam, J. A Time Series is Worth 64 Words: Long-term Forecasting with Transformers. In Proceedings of the International Conference on Learning Representations, Kigali, Rwanda, 1–5 May 2023; pp. 1–24. [Google Scholar]
- Misra, D.; Nalamada, T.; Arasanipalai, A.U.; Hou, Q. Rotate to attend: Convolutional triplet attention module. In Proceedings of the IEEE/CVF Winter Conference on Applications of Computer Vision, Virtual, 5–9 January 2021; pp. 3139–3148. [Google Scholar]
- Woo, S.; Park, J.; Lee, J.-Y.; Kweon, I.S. Cbam: Convolutional block attention module. In Proceedings of the 15th European Conference on Computer Vision (ECCV), Munich, Germany, 8–14 September 2018; pp. 3–19. [Google Scholar]
- Li, X.; Lim, B.-S.; Zhou, J.; Huang, S.; Phua, S.-J.; Shaw, K.-C.; Er, M.-J. Fuzzy neural network modelling for tool wear estimation in dry milling operation. In Proceedings of the Annual conference of the PHM society, San Diego, CA, USA, 27 September–1 October 2009; pp. 1–11. [Google Scholar]
- Zhao, R.; Yan, R.; Wang, J.; Mao, K. Learning to monitor machine health with convolutional bi-directional LSTM networks. Sensors 2017, 17, 273. [Google Scholar] [CrossRef]
- Qiao, H.; Wang, T.; Wang, P.; Qiao, S.; Zhang, L. A time-distributed spatiotemporal feature learning method for machine health monitoring with multi-sensor time series. Sensors 2018, 18, 2932. [Google Scholar] [CrossRef]
- Huang, C.; Yin, X.; Huang, H.; Li, Y. An enhanced deep learning-based fusion prognostic method for RUL prediction. IEEE Trans. Reliab. 2019, 69, 1097–1109. [Google Scholar] [CrossRef]
- Xu, X.; Tao, Z.; Ming, W.; An, Q.; Chen, M. Intelligent monitoring and diagnostics using a novel integrated model based on deep learning and multi-sensor feature fusion. Measurement 2020, 165, 108086. [Google Scholar] [CrossRef]
- Liu, H.; Liu, Z.; Jia, W.; Lin, X.; Zhang, S. A novel transformer-based neural network model for tool wear estimation. Meas. Sci. Technol. 2020, 31, 065106. [Google Scholar] [CrossRef]
- Liu, H.; Liu, Z.; Jia, W.; Zhang, D.; Wang, Q.; Tan, J. Tool wear estimation using a CNN-transformer model with semi-supervised learning. Meas. Sci. Technol. 2021, 32, 125010. [Google Scholar] [CrossRef]
- Peng, Y.; Song, Q.; Wang, R.; Liu, Z.; Liu, Z. Intelligent recognition of tool wear in milling based on a single sensor signal. Int. J. Adv. Manuf. Technol. 2023, 124, 1077–1093. [Google Scholar] [CrossRef]
- Lei, H.; Li, B.; Liu, H.; Xia, K.; Zhao, W. Optimizing tool wear prediction in intelligent manufacturing: A multi-sensor approach enhanced by RealNVP. Meas. Sci. Technol. 2024, 35, 126140. [Google Scholar] [CrossRef]
- Si, Z.; Si, S.; Mu, D. Efficient Tool Wear Prediction in Manufacturing: BiLPReS Hybrid Model with Performer Encoder. Arab. J. Sci. Eng. 2024, 49, 15193–15204. [Google Scholar] [CrossRef]
- Liu, Y.; Shao, Z.; Hoffmann, N. Global attention mechanism: Retain information to enhance channel-spatial interactions. arXiv 2021, arXiv:2112.05561. [Google Scholar]
- Wang, Q.; Wu, B.; Zhu, P.; Li, P.; Zuo, W.; Hu, Q. ECA-Net: Efficient channel attention for deep convolutional neural networks. In Proceedings of the IEEE/CVF Conference on Computer Vision and Pattern Recognition, Seattle, WA, USA, 13–19 June 2020; pp. 11534–11542. [Google Scholar]
- Ouyang, D.; He, S.; Zhang, G.; Luo, M.; Guo, H.; Zhan, J.; Huang, Z. Efficient multi-scale attention module with cross-spatial learning. In Proceedings of the 2023 IEEE International Conference on Acoustics, Speech and Signal Processing (ICASSP), Rhodes Island, Greece, 4–10 June 2023; pp. 1–5. [Google Scholar]
- Wang, Y.; Li, Y.; Wang, G.; Liu, X. Multi-scale attention network for single image super-resolution. In Proceedings of the IEEE/CVF Conference on Computer Vision and Pattern Recognition, Seattle, WA, USA, 17–21 June 2024; pp. 5950–5960. [Google Scholar]

















| Task | Training Set | Testing Set |
|---|---|---|
| Task 1 | C4 and C6 | C1 |
| Task 2 | C1 and C6 | C4 |
| Task 3 | C1 and C4 | C6 |
| Number of Components | STAGCN | Output Feature Size | |
|---|---|---|---|
| 1 | Input | 32 × 60 × 7 × 3 | |
| 2 | Embedding layer | 32 × 32 × 7 × 3 | |
| 3 | Spatial–temporal layer | Bi-Mamba | 32 × 32 × 7 × 3 |
| AGCN | 32 × 32 × 7 × 64 | ||
| MTLA | 32 × 32 × 7 × 64 | ||
| 4 | Fully connected layer | 32 × 105 | |
| 5 | Fully connected layer | 32 × 1 | |
| Hyperparameter | Value |
|---|---|
| Window size T | 60 |
| Initial learning rate | 0.001 |
| Batch size | 32 |
| Training epoch | 100 |
| Dropout rate | 0.4 |
| Model | C1 | C4 | C6 | |||
|---|---|---|---|---|---|---|
| MAE (μm) | RMSE (μm) | MAE (μm) | RMSE (μm) | MAE (μm) | RMSE (μm) | |
| CBLSTM (2017) | 7.5 | 10.8 | 6.1 | 7.1 | 8.1 | 9.8 |
| TDConvLSTM (2018) | 6.99 | 8.33 | 6.96 | 8.39 | 7.5 | 10.22 |
| BLSTM-PF (2019) | 9.8 | 11.3 | 9.9 | 12.1 | 15.2 | 16.1 |
| Integrated model (2020) | 5.54 | 7.67 | 5.27 | 7.84 | 6.86 | 8.60 |
| Hybrid-information LSTM (2020) | 6.9 | 10.9 | 6.5 | 10.5 | 9.2 | 12.7 |
| TBNN (2020) | 4.294 | 6.116 | – | – | 7.772 | 9.553 |
| CTNN (2021) | 3.634 | 5.358 | – | – | 7.531 | 9.209 |
| HLLSTM (2022) | 6.6 | 8.0 | 6.0 | 7.5 | 7.1 | 8.8 |
| DCNN-SLSTM (2023) | 6.94 | 8.34 | 6.59 | 9.93 | 7.74 | 10.02 |
| DCNN-McBiLSTM (2024) | 5.16 | 6.42 | 5.45 | 6.98 | 5.03 | 6.37 |
| BiLPReS (2024) | 3.3033 | 4.3411 | 4.5195 | 5.4833 | 6.7973 | 7.3945 |
| Proposed | 2.32 | 2.84 | 3.37 | 4.24 | 4.52 | 5.89 |
| Dataset | Original Signal | Denoised Signal | ||
|---|---|---|---|---|
| MAE (μm) | RMSE (μm) | MAE (μm) | RMSE (μm) | |
| C1 | 3.54 | 4.52 | 2.32 | 2.84 |
| C4 | 5.18 | 6.75 | 3.37 | 4.24 |
| C6 | 6.86 | 9.21 | 4.52 | 5.89 |
| Dataset | Training Samples | Validation Samples | Testing Samples | Batch Size | Training Time per Epoch (s) |
|---|---|---|---|---|---|
| C1 | 15,096 | 3775 | 9421 | 32 | 34.2 |
| C4 | 15,096 | 3775 | 9421 | 32 | 34.6 |
| C6 | 15,096 | 3775 | 9421 | 32 | 35.4 |
| Module | MAE (μm) | RMSE (μm) |
|---|---|---|
| TA | 3.11 | 3.90 |
| CBAM | 3.39 | 3.96 |
| GAM | 2.99 | 3.79 |
| ECA | 3.28 | 3.80 |
| EMA | 5.69 | 6.42 |
| MLKA | 3.24 | 3.96 |
| MTLA | 2.32 | 2.84 |
Disclaimer/Publisher’s Note: The statements, opinions and data contained in all publications are solely those of the individual author(s) and contributor(s) and not of MDPI and/or the editor(s). MDPI and/or the editor(s) disclaim responsibility for any injury to people or property resulting from any ideas, methods, instructions or products referred to in the content. |
© 2025 by the authors. Licensee MDPI, Basel, Switzerland. This article is an open access article distributed under the terms and conditions of the Creative Commons Attribution (CC BY) license (https://creativecommons.org/licenses/by/4.0/).
Share and Cite
Xia, Y.; Zheng, G.; Li, Y.; Liu, H. A Spatial–Temporal Adaptive Graph Convolutional Network with Multi-Sensor Signals for Tool Wear Prediction. Appl. Sci. 2025, 15, 2058. https://doi.org/10.3390/app15042058
Xia Y, Zheng G, Li Y, Liu H. A Spatial–Temporal Adaptive Graph Convolutional Network with Multi-Sensor Signals for Tool Wear Prediction. Applied Sciences. 2025; 15(4):2058. https://doi.org/10.3390/app15042058
Chicago/Turabian StyleXia, Yu, Guangji Zheng, Ye Li, and Hui Liu. 2025. "A Spatial–Temporal Adaptive Graph Convolutional Network with Multi-Sensor Signals for Tool Wear Prediction" Applied Sciences 15, no. 4: 2058. https://doi.org/10.3390/app15042058
APA StyleXia, Y., Zheng, G., Li, Y., & Liu, H. (2025). A Spatial–Temporal Adaptive Graph Convolutional Network with Multi-Sensor Signals for Tool Wear Prediction. Applied Sciences, 15(4), 2058. https://doi.org/10.3390/app15042058

