Tensor Decomposition Through Neural Architectures
Abstract
1. Introduction
- There are cases in which problem solutions (or images) were compressed for easy transfer, manipulation, and storage, for example by performing an SVD. Of course, data could be decompressed in order to be assimilated by the usual available learning technologies. However, such a decompression should be, if possible, avoided, knowing that most of the time, data are first reduced (by using an auto-encoder, for instance) prior to constructing the regression at the latent space level.
- Problems defined in high-dimensional spaces, for instance, those involving several parameters assumed as model extra-coordinates, and solved by using separated representations (PGD-like) or tensor formats, result in a finite sum decomposition, quite similar to an SVD or HOSVD (high-order singular value decomposition) of the resulting multi-parametric solution [44,45]. However, in the present situation, reconstructing the discrete form of the multi-parametric solution cannot be envisaged without incurring in the so-called curse of dimensionality. If the problem involves D dimensions and the approximation in each of these dimensions makes use of N degrees of freedom, the number of the resulting degrees of freedom becomes , quickly requiring unattainable memory and computation cost.
- When problems involve a number of conformation coordinates (e.g., Fokker–Planck, Schrodinger, or Boltzmann equations), the solution is intrinsically defined in high-dimensional spaces, where separated representations are the simplest way of addressing them.
- The first type of problem concerns a time-dependent parametrized PDE, whose transient solution is expressed by its SVD, composed of space and time modes, scaled by the corresponding singular values. From different problem solutions related to different choices of the problem parameter, one would like to infer, for a given new parameter choice, the reduced basis (SVD modes) associated to that parameter choice, in order to proceed with a Garlekin projection into the reduced basis, that is, elaborating a learning procedure able to infer the parametric principal modes.
- The second case consists of a parametric elliptic 2D PDE, e.g., the steady-state heat equation, except now, to compress the solution associated with each parameters choice, a space separation is performed, calculating the x-modes and the y-modes, again scaling with the associated singular values. Even if the SVD performs well in regular grids where the solution can be expressed as a matrix, recently, the authors extended separated representations to any geometry supporting any irregular mesh [46]. Therefore, from a regression associating parameters to x- and y-modes, projection-based reduced-order discretization can be applied, with impressive gains in computational efficiency.
- More interesting is the case where parameters, instead of being a scalar value or a list, become a field. Let us imagine for a moment the conductivity field evolving in space, representing the thermal problem parameter. One could link the conductivity images with the associated temperature images, by considering an adequate and adapted convolutional neural network. However, here, the problem is how to extend such a procedure if the knowledge consists in the conductivity x- and y-modes and one is interested in obtaining the associated resulting temperature x- and y-modes, without having to reconstruct the full fields.
- Finally, the most challenging case consists of learning the complete SVD (PGD or HOSVD) expression of a parametric problem’s solution, as a function of the SVD (PGD or HOSVD) of the involved parameter field. This means not only linking modes to modes, but also the associated singular values, which is equivalent to linking the parameter field to the solution field, but both expressed in a separated (SVD, PGD, or HOSVD) form, from which the solution could be evaluated everywhere [47,48].
2. Methodology
3. Numerical Results
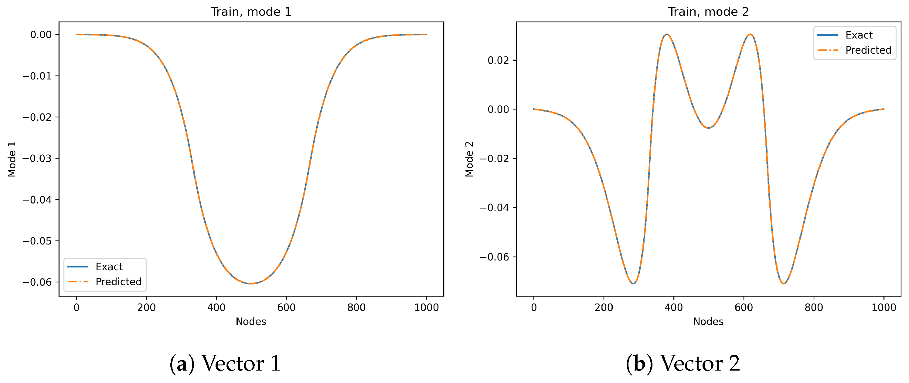
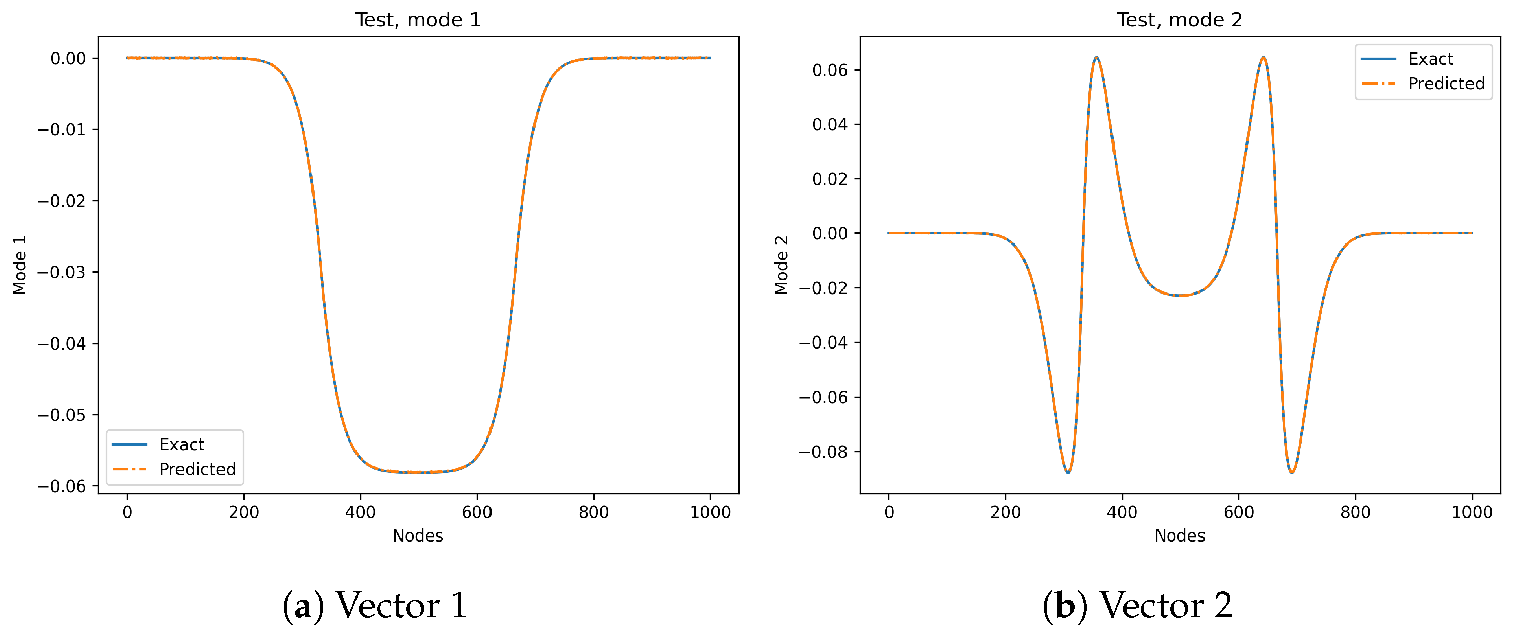
3.1. A 1D Transient Problem
3.2. A 2D Problem with a Field as Input
4. Conclusions
Author Contributions
Funding
Institutional Review Board Statement
Informed Consent Statement
Data Availability Statement
Conflicts of Interest
Appendix A. Proposed Surrogate Models Architecture


References
- MacKay, D. Chapter 20—An Example Inference Task: Clustering. Information Theory, Inference and Learning Algorithms; Cambridge University Press: New York, NY, USA, 2003; pp. 284–292. [Google Scholar]
- MacQueen, J. Some Methods for classification and Analysis of Multivariate Observations. In Proceedings of 5th Berkeley Symposium on Mathematical Statistics and Probability; University of California Press: Berkeley, CA, USA, 1967; pp. 281–297. [Google Scholar]
- Cristianini, N.; Shawe-Taylor, J. An Introduction to Support Vector Machines and Other Kernel-Based Learning Methods; Cambridge University Press: New York, NY, USA, 2000. [Google Scholar]
- Kirkwood, C.W. Decision Tree Primer. 2002. Available online: https://www.public.asu.edu/~kirkwood/DAStuff/refs/decisiontrees/index.html (accessed on 28 January 2025).
- Breiman, L. Random Forests. Mach. Learn. 2001, 45, 5–32. [Google Scholar] [CrossRef]
- Goodfellow, I.; Bengio, Y. Courville, A. Deep Learning; MIT Press: Cambridge, UK, 2016. [Google Scholar]
- Sancarlos, A.; Champaney, V.; Duval, J.L.; Cueto, E.; Chinesta, F. PGD-based advanced nonlinear multiparametric regressions for constructing metamodels at the scarce-data limit. arXiv 2021, arXiv:2103.05358. [Google Scholar]
- Chinesta, F.; Cueto, E.; Champaney, V.; Ghnatios, C.; Ammlar, A.; Hascoet, N.; Gonzalez, D.; Alfaro, I.; Di Lorenzo, D.; Pasquale, A.; et al. A Gentle Introduction on Data, Learning, Model Order Reduction and Twinning Methodologies and Techniques; Springer: Berlin/Heidelberg, Germany, 2024. [Google Scholar]
- Venkatesan, R.; Li, B. Convolutional Neural Networks in Visual Computing: A Concise Guide; CRC Press: Boca Raton, FL, USA, 2017. [Google Scholar]
- Bronstein, M.; Bruna, J.; Cohen, T.; Velickovic, P. Geometric Deep Learning, Grids, Groups, Graphs, Geodesics and Gauges. arXiv 2021, arXiv:2104.13478. [Google Scholar]
- Qin, T.; Wu, K.; Xiu, D. Data driven governing equations approximation using deep neural networks. J. Comput. Phys. 2019, 395, 620–635. [Google Scholar] [CrossRef]
- Zhou, G.; Wu, J.; Zhang, C.; Zhou, Z. Minimal gated unit for recurrent neural networks. Int. J. Autom. Comput. 2016, 13, 226–234. [Google Scholar] [CrossRef]
- Chen, R.T.Q.; Rubanova, Y.; Bettencourt, J.; Duvenaud, D.K. Neural Ordinary Differential Equations. In Proceedings of the Advances in Neural Information Processing Systems 31 (NeurIPS 2018), Montreal, QC, Canada, 3–8 December 2018. [Google Scholar]
- Raissi, M.; Perdikaris, P.; Karniadakis, G.E. Physics-informed neural networks: A deep learning framework for solving forward and inverse problems involving nonlinear partial differential equations. J. Comput. Phys. 2019, 378, 686–707. [Google Scholar] [CrossRef]
- Bertalan, T.; Dietrich, F.; Mezic, I.; Kevrekidis, I.G. On learning Hamiltonian systems from data. Chaos 2019, 29, 121107. [Google Scholar] [CrossRef]
- Gonzalez, D.; Chinesta, F.; Cueto, E. Thermodynamically consistent data-driven computational mechanics. Contin. Mech. Thermodyn. 2019, 31, 239–253. [Google Scholar] [CrossRef]
- Greydanus, S.; Dzamba, M.; Yosinski, J. Hamiltonian Neural Networks. arXiv 2019, arXiv:1906.01563v3. [Google Scholar]
- Hernandeza, Q.; Badias, A.; Gonzalez, D.; Chinesta, F.; Cueto, E. Deep learning of thermodynamics-aware reduced-order models from data. J. Comput. Phys. 2021, 426, 109950. [Google Scholar] [CrossRef]
- Hernadez, Q.; Gonzalez, D.; Chinesta, F.; Cueto, E. Learning non-Markovian physics from data. J. Comput. Phys. 2021, 428, 109982. [Google Scholar]
- Lee, K.; Trask, N.A.; Stinis, P. Machine learning structure preserving brackets for forecasting irreversible processes. arXiv 2021, arXiv:2106.12619. [Google Scholar]
- Masi, F.; Stefanou, I.; Vannucci, P.; Maffi-Berthier, V. Thermodynamics-based Artificial Neural Networks for constitutive modeling. arXiv 2020, arXiv:2005.12183v1. [Google Scholar] [CrossRef]
- Zhang, Z.; Shin, Y.; Karniadakis, G.E. GFINNs: GENERIC Formalism Informed Neural Networks for Deterministic and Stochastic Dynamical Systems. arXiv 2021, arXiv:2109.00092v1. [Google Scholar] [CrossRef] [PubMed]
- Ghnatios, C.; Alfaro, I.; González, D.; Chinesta, F.; Cueto, E. Data-Driven GENERIC Modeling of Poroviscoelastic Materials. Entropy 2019, 21, 1165. [Google Scholar] [CrossRef]
- Ghnatios, C.; Champaney, V.; Pasquale, A.; Chinesta, F. A Regularized Real-Time Integrator for Data-Driven Control of Heating Channels. Computation 2022, 10, 176. [Google Scholar] [CrossRef]
- Lee, J.A.; Verleysen, M. Nonlinear Dimensionality Reduction; Springer: New York, NY, USA, 2007. [Google Scholar]
- Chinesta, F.; Ladeveze, P.; Cueto, E. A short review in model order reduction based on Proper Generalized Decomposition. Arch. Comput. Methods Eng. 2011, 18, 395–404. [Google Scholar] [CrossRef]
- Chinesta, F.; Leygue, A.; Bordeu, F.; Aguado, J.V.; Cueto, E.; Gonzalez, D.; Alfaro, I.; Ammar, A.; Huerta, A. Parametric PGD based computational vademecum for efficient design, optimization and control. Arch. Comput. Methods Eng. 2013, 20, 31–59. [Google Scholar] [CrossRef]
- Chinesta, F.; Keunings, R.; Leygue, A. The Proper Generalized Decomposition for Advanced Numerical Simulations: A Primer; Springer: Berlin/Heidelberg, Germany, 2014. [Google Scholar]
- Chinesta, F.; Huerta, A.; Rozza, G.; Willcox, K. Model Order Reduction. In Encyclopedia of Computational Mechanics, 2nd ed.; Stein, E., de Borst, R., Hughes, T., Eds.; John Wiley & Sons, Ltd.: Hoboken, NJ, USA, 2015. [Google Scholar]
- Cichocki, A.; Lee, N.; Oseledets, I.; Phan, A.-H.; Zhao, Q.; Mandic, D.P. Tensor Networks for Dimensionality Reduction and Large-scale Optimization: Part 1 Low-Rank Tensor Decompositions. Found. Trends Mach. Learn. 2016, 9, 249–429. [Google Scholar] [CrossRef]
- Cichocki, A.; Phan, A.-H.; Zhao, Q.; Lee, N.; Oseledets, I.; Sugiyama, M.; Mandic, D.P. Tensor Networks for Dimensionality Reduction and Large-scale Optimization: Part 2 Applications and Future Perspectives. Found. Trends Mach. Learn. 2017, 9, 431–673. [Google Scholar] [CrossRef]
- Novikov, A.; Izmailov, P.; Khrulkov, V.; Figurnov, M.; Oseledets, I. Tensor Train Decomposition on TensorFlow (T3F). J. Mach. Learn. Res. 2020, 21, 1–7. [Google Scholar]
- Oseledets, I. Tensor-Train Decomposition. Siam J. Sci. Comput. 2011, 33, 2295–2317. [Google Scholar] [CrossRef]
- Sidiropoulos, N.D.; De Lathauwer, L.; Fu, X.; Huang, K.; Papalexakis, E.E.; Faloutsos, C. Tensor Decomposition for Signal Processing and Machine Learning. IEEE Trans. Signal Process. 2017, 65, 3551–3582. [Google Scholar] [CrossRef]
- Su, J.; Byeon, W.; Kossaifi, J.; Huang, F.; Kautz, J.; Anandkumar, A. Convolutional Tensor-Train LSTM for Spatio-temporal Learning. arXiv 2020, arXiv:2002.09131. [Google Scholar]
- Xu, Y.L.; Calvi, G.G.; Mandic, D.P. Tensor-Train Recurrent Neural Networks for Interpretable Multi-Way Financial Forecasting. In Proceedings of the 2021 International Joint Conference on Neural Networks (IJCNN), Online, 18–22 July 2021; pp. 1–5. [Google Scholar]
- Yang, Y.; Krompass, D.; Tresp, V. Tensor-train recurrent neural networks for video classification. In Proceedings of the 34th International Conference on Machine Learning, ICML17, Sydney, Australia, 6–11 August 2017; Volume 70, pp. 3891–3900. [Google Scholar]
- Ye, J.; Wang, L.; Li, G.; Chen, D.; Zhe, S.; Chu, X.; Xu, Z. Learning Compact Recurrent Neural Networks with Block-Term Tensor Decomposition. In Proceedings of the IEEE/CVF Conference on Computer Vision and Pattern Recognition, Salt Lake City, UT, USA, 18–23 June 2018; pp. 9378–9387. [Google Scholar]
- Bacciu, D.; Mandic, D.P. Tensor Decompositions in Deep Learning. arXiv 2020, arXiv:2002.11835v1. [Google Scholar]
- Hawkins, C.; Liu, X.; Zhang, Z. Towards Compact Neural Networks via End-to-End Training: A Bayesian Tensor Approach with Automatic Rank Determination. Siam J. Math. Data Sci. 2022, 4, 46–71. [Google Scholar] [CrossRef]
- Kossai, J.; Lipton, Z.C.; Kolbeinsson, A.; Khanna, A.; Furlanello, T.; Anandkumar, A. Tensor Regression Networks. J. Mach. Learn. Res. 2020, 21, 4862–4882. [Google Scholar]
- Novikov, A.; Podoprikhin, D.; Osokin, A.; Vetrov, D. Tensorizing neural networks. In Proceedings of the 28th International Conference on Neural Information Processing Systems, NIPS’15, Montreal, QC, Canada, 7–12 December 2015; Volume 1, pp. 442–450. [Google Scholar]
- Su, J.; Li, J.; Liu, X.; Ranadive, T.; Coley, C.; Tuan, T.-C.; Huang, F. Compact Neural Architecture Designs by Tensor Representations. Front. Artif. Intell. 2022, 5, 728761. [Google Scholar] [CrossRef]
- Kolda, T.; Bader, B. Tensor Decompositions and Applications. Siam Rev. 2009, 51, 455–500. [Google Scholar] [CrossRef]
- Bader, B.; Kolda, T. Efficient MATLAB Computations with Sparse and Factored Tensors. SIAM J. Sci. Comput. 2007, 30, 205–231. [Google Scholar] [CrossRef]
- Ghnatios, C.; Chinesta, F. A Parsimonious Separated Representation Empowering PINN-PGD Based Solutions for Parametrized Partial Differential Equations. Mathematics 2024, 12, 2365. [Google Scholar] [CrossRef]
- Ghnatios, C. Simulation avancée des problèmes thermiques rencontrés lors de la mise en forme des composites. In Matériaux et Structures en Mécanique; Ecole Centrale de Nantes (ECN): Nantes, France, 2012. [Google Scholar]
- Ghnatios, C.; Masson, F.; Huerta, A.; Leygue, A.; Cueto, E.; Chinesta, F. Proper Generalized Decomposition based dynamic data-driven control of thermal processes. Comput. Methods Appl. Mech. Eng. 2012, 213–216, 29–41. [Google Scholar] [CrossRef]









Disclaimer/Publisher’s Note: The statements, opinions and data contained in all publications are solely those of the individual author(s) and contributor(s) and not of MDPI and/or the editor(s). MDPI and/or the editor(s) disclaim responsibility for any injury to people or property resulting from any ideas, methods, instructions or products referred to in the content. |
© 2025 by the authors. Licensee MDPI, Basel, Switzerland. This article is an open access article distributed under the terms and conditions of the Creative Commons Attribution (CC BY) license (https://creativecommons.org/licenses/by/4.0/).
Share and Cite
Ghnatios, C.; Chinesta, F. Tensor Decomposition Through Neural Architectures. Appl. Sci. 2025, 15, 1949. https://doi.org/10.3390/app15041949
Ghnatios C, Chinesta F. Tensor Decomposition Through Neural Architectures. Applied Sciences. 2025; 15(4):1949. https://doi.org/10.3390/app15041949
Chicago/Turabian StyleGhnatios, Chady, and Francisco Chinesta. 2025. "Tensor Decomposition Through Neural Architectures" Applied Sciences 15, no. 4: 1949. https://doi.org/10.3390/app15041949
APA StyleGhnatios, C., & Chinesta, F. (2025). Tensor Decomposition Through Neural Architectures. Applied Sciences, 15(4), 1949. https://doi.org/10.3390/app15041949
