Numerical Analysis of Ground Settlement of Close Buried Double-Line Shield Tunnels Under Different Excavation Conditions
Abstract
1. Introduction
2. Finite Element Model and Working Conditions
2.1. Model Establishment
- When the shield machine is excavated, the face will be affected by the earth pressure, so the excavation pressure should be applied to the soil of the excavation face to simulate the support pressure of the shield.
- The lining segment is 1.5 m wide and 0.3 m thick. In the simulation, the length of the two rings, namely 3 m, is used as an excavation step.
- In the simulation, the length of the shield machine is defaulted to 9 m, namely three excavation steps, and the lining and grouting layer are added in the fourth excavation step.
- The soil material model adopts the Mohr–Coulomb model; the lining segment and grouting layer material model adopts the elastic constitutive model.
2.2. Model Conditions
3. Calculation Results and Influence Factors Analysis
3.1. Transverse Ground Settlement with Different Tunnel Spaces
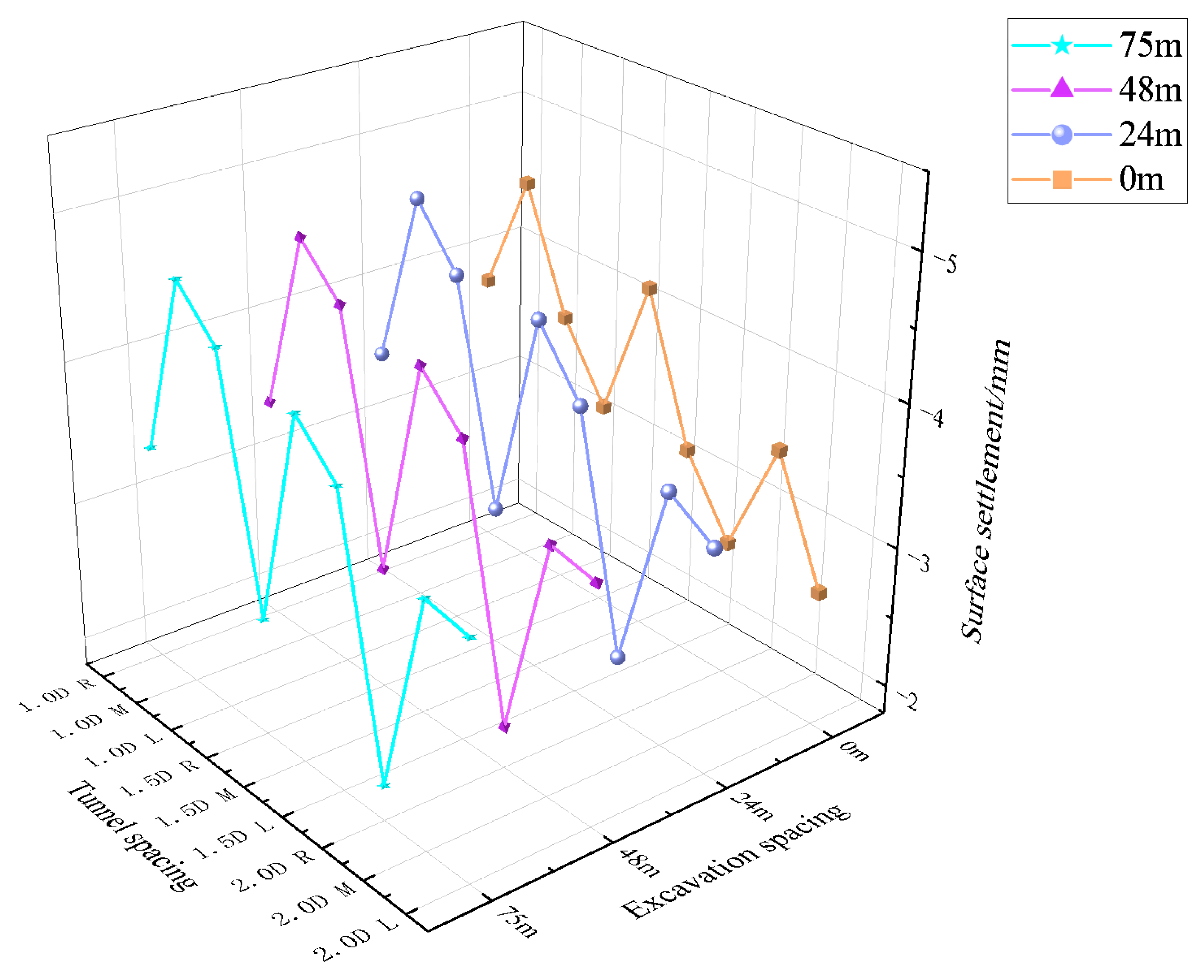
3.2. Transverse Ground Settlement with Different Excavation Intervals
3.3. Quantity Analysis of Influence Factors of Double-Line Tunnel Excavation
3.4. Lateral Ground Settlement for Simultaneous Excavated Tunnels with Different Tunnel Spaces
3.5. Ground Settlement of Special Points Under Different Excavation Steps
3.6. Analysis of Ground Horizontal Deformation
4. Model Validation
5. Fitting Analysis of Transverse Ground Settlement Data with Different Tunnel Spaces
6. Conclusions
- For the double-line tunnel with continuous excavation, as the tunnel spacing increases, the width of the ground settlement trough gradually increases, and the position of the maximum settlement point gradually moves to the left-line tunnel. The excavation of the right-line tunnel will cause secondary disturbance to the soil. With the increase in tunnel spacing, the influence of the right-line tunnel excavation on the left-line tunnel is weakened.
- For the cross-excavated tunnels with different excavation intervals, the disturbance of the soil is larger when the post-excavated tunnel is just excavated, and the ground settlement is larger than that of the continuous excavation of the double-line tunnel. With the increase in the distance between the two tunnels, the rise of ground subsidence caused by the excavation of the right tunnel will be weakened or even reversed. The size of the staggered excavation distance has no significant effect on the final ground lateral settlement. The transverse settlement value of the tunnel ground under continuous excavation and staggered excavation decreases with the increase in tunnel spacing. However, the curves of settlement value with tunnel spacing under different excavation distances are parallel, and the difference in the settlement change rate is very small.
- For the synchronous excavation of double-line tunnels, the ground subsidence curve shows a ‘V’-shaped symmetrical distribution trend. With the decrease in tunnel spacing, the maximum settlement of ground increases gradually, and the width of the settlement trough decreases gradually.
- The influence of tunnel lateral spacing on ground subsidence is greater than that of longitudinal excavation spacing.
- For the synchronous excavation of double-line tunnels under different excavation steps, the ground subsidence of the two zero points gradually increases and, finally, tends to be stable when the longitudinal excavation range is 45 m. Under different excavation intervals of double-line tunnels, the settlement curves of two zero points show three stages: left-line excavation stage, double-line synchronous excavation stage, and stable stage. In the process of staggered excavation, the ground subsidence of the left-line tunnel and the right-line tunnel will affect each other, and the tunnel excavated first will have a greater impact. For the double-line tunnel with tunnel space ≥ 2.0D, the influence of the post-excavation tunnel on land subsidence is small, and the excavation influence range of single-line tunnel land subsidence is about 45 m.
- The horizontal ground deformation of the single-line tunnel and synchronous excavation double-line tunnel is centrosymmetric around the zero point of the symmetry axis. However, the ground horizontal deformation zero point of the continuous excavation double-line tunnel will shift to one side of the first tunnel, and the maximum horizontal deformation is greater than that of the synchronous excavation double-line tunnel. At first, the maximum horizontal deformation of the double-line tunnel is larger than that of the single-line tunnel. With the increase in the tunnel spacing, the maximum horizontal deformation of the double-line tunnel will be smaller than that of the single-line tunnel.
- The lateral settlement formula of the ground with different tunnel spacing is obtained, and the settlement ratio S′ increases linearly with the increase in tunnel spacing. However, these formulas are based on the curve fitting of land subsidence obtained by the finite element model and need to be further verified in combination with the actual situation.
Author Contributions
Funding
Institutional Review Board Statement
Informed Consent Statement
Data Availability Statement
Conflicts of Interest
References
- di Marzo, M.; Tomassi, A.; Placidi, L. A Methodology for Structural Damage Detection Adding Masses. Res. Nondestruct. Eval. 2024, 35, 172–196. [Google Scholar] [CrossRef]
- Sharma, H.; Patil, M.; Woolsey, C. A review of structure-preserving numerical methods for engineering applications. Comput. Methods Appl. Mech. Eng. 2020, 366, 113067. [Google Scholar] [CrossRef]
- Peck, R. Deep Excavations and Tunnelling in Soft Ground. In Proceedings of the 7th International Conference on Soil Mechanics and Foundation Engineering, Mexico City, Mexico, 25–29 August 1969; pp. 225–290. [Google Scholar]
- O’Reilly, M.; New, B. Settlements above Tunnels in the United Kindom—Their Magnitudes and Prediction. In Proceedings of Tunnelling’82 Symposium; Springer: London, UK, 1982; pp. 173–181. [Google Scholar] [CrossRef]
- Suwansawat, S.; Einstein, H. Describing settlement troughs over twin tunnels using a superposition technique. J. Geotech. Geoenviron. 2007, 133, 445–468. [Google Scholar] [CrossRef]
- Dang, H.; Meguid, M. Application of a multilaminate model to simulate the undrained response of structured clay to shield tunnelling. Can. Geotech. J. 2008, 45, 14–28. [Google Scholar] [CrossRef]
- Fattah, M.; Shlash, K.; Salim, N. Prediction of settlement trough induced by tunneling in cohesive ground. Acta Geotech. 2013, 8, 167–179. [Google Scholar] [CrossRef]
- Chakeri, H.; Ozcelik, Y.; Unver, B. Effects of important factors on surface settlement prediction for metro tunnel excavated by EPB. Tunn. Undergr. Space Tech. 2013, 36, 14–23. [Google Scholar] [CrossRef]
- Liu, R.; Zheng, J.; Zhang, K.; Li, Z. Prediction on ground surface settlement caused by subway shield construction in Xi’an. Appl. Mech. Mater. 2013, 353–256, 1534–1538. [Google Scholar] [CrossRef]
- Ng, C.; Boonyarak, T.; Masin, D. Three-dimensional centrifuge and numerical modeling of the interaction between perpendicularly crossing tunnels. Can. Geotech. J. 2013, 50, 935–946. [Google Scholar] [CrossRef]
- Gue, C.; Wilcock, M.; Alhaddad, M.; Elshafie, M.; Soga, K.; Mair, R. Tunnelling close beneath an existing tunnel in clay-perpendicular undercrossing. Geotechnique 2017, 67, 795–807. [Google Scholar] [CrossRef]
- Berthoz, N.; Branque, D.; Wong, H.; Subrin, D. TBM soft ground interaction: Experimental study on a 1 g reduced-scale EPBS model. Tunn. Undergr. Space Tech. 2018, 72, 189–209. [Google Scholar] [CrossRef]
- Sun, X.; Miao, L.; Lin, H.; Tong, T. Soil Arch Effect Analysis of Shield Tunnel in Dry Sandy Ground. Int. J. Geomech. 2018, 18, 04018057. [Google Scholar] [CrossRef]
- Kasper, T.; Meschke, G. On the influence of face pressure, grouting pressure and TBM design in soft ground tunnelling. Tunn. Undergr. Space Tech. 2006, 21, 160–171. [Google Scholar] [CrossRef]
- Chen, S.; Lee, S.; Gui, M. Effects of rock pillar width on the excavation behavior of parallel tunnels. Tunn. Undergr. Space Tech. 2009, 24, 148–154. [Google Scholar] [CrossRef]
- Fargnoli, V.; Boldini, D.; Amorosi, A. Twin tunnel excavation in coarse grained soils: Observations and numerical back-predictions under free field conditions and in presence of a surface structure. Tunn. Undergr. Space Tech. 2015, 49, 454–469. [Google Scholar] [CrossRef]
- Moosavi, E.; Shirinabadi, R.; Rahimi, E.; Gholinejad, M. Nu merical Modeling of Ground Movement due to Twin Tunnel Structure of Esfahan Subway, Iran. J. Min. Sci. 2017, 53, 663–675. [Google Scholar] [CrossRef]
- Michael, K.; Dimitris, L.; Ioannis, V.; Petros, F. Development of a 3D finite element model for shield EPB tunnelling. Tunn. Undergr. Space Tech. 2017, 65, 22–34. [Google Scholar] [CrossRef]
- Lambrughi, A.; Rodriguez, L.; Castellanza, R. Development and validation of a 3D numerical model for TBM-EPB mechanised excavations. Comput. Geotech. 2012, 40, 97–113. [Google Scholar] [CrossRef]
- Zhao, K.; Janutolo, M.; Barla, G. A Completely 3D Model for the Simulation of Mechanized Tunnel Excavation. Rock Mech. Rock Eng. 2012, 45, 475–497. [Google Scholar] [CrossRef]
- Comodromos, E.; Papadopoulou, M.; Konstantinidis, G. Numerical Assessment of Subsidence and Adjacent Building Movements Induced by TBM-EPB Tunneling. J. Geotech. Geoenviron. 2014, 140, 04014061. [Google Scholar] [CrossRef]
- Terzaghi, K. Shield tunnels of the Chicago subway. Boston. Soc. Civ. Eng. 1942, 29, 163–210. [Google Scholar] [CrossRef]
- Addenbrooke, T.I.; Potts, D.M. Twin tunnel interaction: Surface and subsurface effects. Int. J. Geomech. 2001, 1, 249–271. [Google Scholar] [CrossRef]
- Divall, S.; Goodey, R.J.; Taylor, N. Ground movements generated by sequential twin-tunnelling in over-consolidated clay. Delft-Online Publ. By TU Delft Libr. 2012. Available online: https://repository.tudelft.nl/record/uuid:f71fabea-424b-42e5-93aa-701715eed17d (accessed on 9 February 2025).
- Chakeri, H.; Hasanpour, R.; Hindistan, M.A. Analysis of interaction between tunnels in soft ground by 3D numerical modeling. Bull. Eng. Geol. Environ. 2011, 70, 439–448. [Google Scholar] [CrossRef]
- Chapman, D.N.; Ahn, S.K.; Hunt, D.V. The use of model tests to investigate the ground displacements associated with multiple tunnel construction in soil. Tunn. Undergr. Space Technol. 2006, 21, 413. [Google Scholar] [CrossRef]
- Islam, M.S.; Iskander, M. Twin tunnelling induced ground settlements: A review. Tunn. Undergr. Space Technol. 2021, 110, 103614. [Google Scholar] [CrossRef]
- Shahin, H.M.; Nakai, T.; Ishii, K.; Iwata, T.; Kuroi, S. Investigation of influence of tunneling on existing building and tunnel: Model tests and numerical simulations. Acta Geotech. 2016, 11, 679–692. [Google Scholar] [CrossRef]
- Peng, F.; Ma, S. Analysis of experimental data on the effect of double-line parallel shield tunneling on the deformation of adjacent building. Alex. Eng. J. 2021, 60, 3957–3963. [Google Scholar] [CrossRef]
- Guo, H.; Yuan, D.; Jin, D. Theoretical Analysis and Numerical Simulations for the Safe Clear Distance of a Shallow-Buried Twin-Shield Tunnel with Small Spacing. KSCE J. Civ. Eng. 2024, 28, 5277–5289. [Google Scholar] [CrossRef]
- Shi, S.; Zhu, F.; Ge, Z. Prediction and Analysis of Subsurface Settlement in a Double-Line Shield Tunnel. J. Geotech. Geoenvironmental Eng. 2024, 150, 04024117. [Google Scholar] [CrossRef]
- Islam, M.S.; Iskander, M. Effect of geometric parameters and construction sequence on ground settlement of offset arrangement twin tunnel. Geosciences 2022, 12, 41. [Google Scholar] [CrossRef]
- Peng, Y.; Ding, W.; Yan, Z.; Huang, X.; Xiao, B. Analysis and calculation method of effective bending rigidity ratio in modified routine method. Chin. J. Geotech. Eng. 2013, 35, 495–500. [Google Scholar]
- Tang, Y.; Chen, H.; Ye, Z.; Liu, T.; Yang, Y. Experimental study on the transverse effective bending rigidity of segmental lining structure. Adv. Civ. Eng. 2020, 2020, 8836505. [Google Scholar] [CrossRef]
- Wei, G. Evaluation and Control of Environmental Effects of Double-Line Shield Tunnel Construction; Architecture and Building Press: Beijing, China, 2018; pp. 53–58. [Google Scholar]











| Soil Types | Elastic Modulus (MPa) | Poisson Ratio | Internal Friction Angle (°) | Cohesion (kPa) | Volume Weight (kN/m3) |
|---|---|---|---|---|---|
| Miscellaneous soil | 10.5 | 0.35 | 12 | 6 | 17.5 |
| Sandy silt | 47.65 | 0.26 | 25 | 17 | 19.2 |
| Sandy silt | 47.65 | 0.3 | 30 | 18 | 19.8 |
| Clay | 56.52 | 0.35 | 8 | 35 | 18 |
| Silty clay | 43.75 | 0.27 | 16 | 32 | 19.5 |
| Silty fine sand | 52.5 | 0.28 | 30 | 0 | 19.3 |
| Clayey silt | 47.65 | 0.3 | 16 | 32 | 19.8 |
| Silty fine sand | 52.5 | 0.28 | 30 | 0 | 19.3 |
| Pebble | 157.5 | 0.22 | 38 | 0 | 20.5 |
| Pebble | 157.5 | 0.22 | 38 | 0 | 20.8 |
| Lining | 34,500 | 0.15 | 24.5 | ||
| Grout | 90 | 0.3 | 18 | ||
| Shield | 210,000 | 0.2 | 76.93 |
| Maximum Settlement Location/m | Maximum Settlement/mm | |
|---|---|---|
| single-line tunnel | - | 3.65 |
| double-line tunnel (1.0D) | −1.6 | 4.73 |
| double-line tunnel (1.5D) | −2.67 | 4.34 |
| double-line tunnel (2.0D) | −4.8 | 3.75 |
| Location of Maximum Settlement (11 Steps)/m | Maximum Settlement Value (11 Steps)/mm | Location of Maximum Settlement (19 Steps)/m | Maximum Settlement Value (19 Steps)/mm | |
|---|---|---|---|---|
| Double-line tunnel with continuous excavation | −6.4 | 3.61 | −6.4 | 3.71 |
| Double-line tunnel (excavation interval 24 m) | −4.8 | 3.82 | - | - |
| Double-line tunnel (excavation interval 48 m) | - | - | -4.8 | 3.96 |
| Distance | 2.0D | 1.5D | 1.0D | R (mm) | |
|---|---|---|---|---|---|
| 75 m | Left line | −3.46 | −3.90 | −4.34 | 0.88 |
| midline | −3.52 | −4.21 | −4.65 | 1.13 | |
| Right line | −2.05 | −2.63 | −3.34 | 1.29 | |
| 48 m | Left line | −3.48 | −3.92 | −4.37 | 0.89 |
| midline | −3.55 | −4.25 | −4.69 | 1.14 | |
| Right line | −2.10 | −2.67 | −3.39 | 1.29 | |
| 24 m | Left line | −3.39 | −3.86 | −4.33 | 0.95 |
| midline | −3.60 | −4.30 | −4.73 | 1.13 | |
| Right line | −2.25 | −2.80 | −3.48 | 1.23 | |
| 0 m | Left line | −2.76 | −3.27 | −3.78 | 1.02 |
| midline | −3.59 | −4.27 | −4.62 | 1.03 | |
| Right line | −2.76 | −3.27 | −3.78 | 1.02 | |
| R (mm) | Left line | 0.72 | 0.65 | 0.59 | |
| midline | 0.08 | 0.09 | 0.10 | ||
| Right line | 0.71 | 0.64 | 0.44 | ||
Disclaimer/Publisher’s Note: The statements, opinions and data contained in all publications are solely those of the individual author(s) and contributor(s) and not of MDPI and/or the editor(s). MDPI and/or the editor(s) disclaim responsibility for any injury to people or property resulting from any ideas, methods, instructions or products referred to in the content. |
© 2025 by the authors. Licensee MDPI, Basel, Switzerland. This article is an open access article distributed under the terms and conditions of the Creative Commons Attribution (CC BY) license (https://creativecommons.org/licenses/by/4.0/).
Share and Cite
Jiang, Z.; Wang, Y. Numerical Analysis of Ground Settlement of Close Buried Double-Line Shield Tunnels Under Different Excavation Conditions. Appl. Sci. 2025, 15, 1936. https://doi.org/10.3390/app15041936
Jiang Z, Wang Y. Numerical Analysis of Ground Settlement of Close Buried Double-Line Shield Tunnels Under Different Excavation Conditions. Applied Sciences. 2025; 15(4):1936. https://doi.org/10.3390/app15041936
Chicago/Turabian StyleJiang, Zhiheng, and Yuke Wang. 2025. "Numerical Analysis of Ground Settlement of Close Buried Double-Line Shield Tunnels Under Different Excavation Conditions" Applied Sciences 15, no. 4: 1936. https://doi.org/10.3390/app15041936
APA StyleJiang, Z., & Wang, Y. (2025). Numerical Analysis of Ground Settlement of Close Buried Double-Line Shield Tunnels Under Different Excavation Conditions. Applied Sciences, 15(4), 1936. https://doi.org/10.3390/app15041936

