Abstract
Air pollution in urban street canyons presents a serious health risk, especially in densely populated areas. While previous research has explored airflow characteristics in these canyons, it often lacks detailed data on pollutant dispersion and the effects of wind speed on airflow patterns and vortex formation. This study uses Computational Fluid Dynamics (CFD) to deliver quantitative measurements of pollutant dispersion rates and qualitative insights into airflow patterns across various street canyon morphologies. The analysis examines a range of aspect ratios (ARs), from wide (AR = 0.75) to narrow (AR = 4.5), and different wind speeds to evaluate their effects on pollutant dispersion. Findings indicate that purging flow rates decline as the AR increases, with a more pronounced decrease at lower AR values. In narrower streets, airflow patterns are particularly sensitive to wind velocity, leading to unexpected vortices that hinder effective pollutant dispersion. By incorporating these insights into urban design strategies, cities can enhance street ventilation, thereby reducing pollutant concentrations and improving public health. This study also tests a specific street layout in Seville to predict pollutant accumulation under various conditions, assessing health risks based on World Health Organization guidelines. Ultimately, this research aids in developing healthier, more sustainable urban environments.
1. Introduction
1.1. Context
Street ventilation is a highly discussed topic as it significantly affects inhabitants’ health and social well-being [,]. On the one hand, pollution in cities is an increasing hazard that must be addressed []. Several factors, such as high urbanisation and expanding cities, have led to an increase in pollutant sources, including motorised traffic and industrial or domestic chimneys []. These substances have dangerous consequences for people’s health, creating and accelerating problems in the respiratory and cardiovascular system [], affecting more vulnerable groups such as the elderly and children []. On the other hand, street ventilation is not only related to pollution but also crucial when studying climate change effects such as urban overheating [,,]. This overheating leads to a local rise in temperatures within urban areas, particularly in streets and public spaces, with negative implications for pedestrians’ health [,]
In this context, a complete understanding of street ventilation is crucial, as it provides essential information about pollutant dispersion and heat dissipation in the core of urban life []. A well-designed urban layout, including features such as wider streets and more vegetation, helps modern cities face all of these threats [,].
1.2. Street Ventilation
The study of street ventilation is fundamentally linked to the investigation of the Urban Boundary Layer (UBL). The UBL is the layer of the atmosphere closest to the surface and is significantly affected by the presence of different rural and urban landscapes. This topic has been extensively studied by scientists such as Oke, who has conducted numerous research projects in this field [,,], which have highlighted its dependence on the surrounding landscape [,,]. Thanks to this research, that layer of the atmosphere is well characterised. The literature discussed this topic [], attempting to characterise pollutant dispersion. Although this topic has been discussed in the literature, the majority of the studies usually focus on specific urban layouts under fixed external conditions, which reduces the applicability of the outcomes to very few cases. For instance, Reiminger et al. [] analysed the pollutant dispersion for three streets with different aspect ratios, but the results were for the pollution concentration in certain points of the street, ignoring the ventilation results related to air renovation. Nevertheless, these studies typically focus on a limited range of street morphologies, often using only one or a few aspect ratios. For example, Cheng et al. [] and Liu et al. [] provide valuable information, but their findings are limited to specific cases. The effect of varying determined parameters inherent to the phenomenon is usually studied in the literature, such as the asymmetry [], the existence of balconies [], the Reynolds number [], the position of the pollutant source [], or the influence of external factors such as vegetation []. Since studies typically present qualitative data for variations in a single parameter, there is a lack of clear quantitative data on air flow rates, the primary mechanism of street ventilation, for a wide range of parameters []. It is, therefore, evident that these studies lack practical applicability, given the limited number of scenarios tested and the qualitative nature of the information obtained. Furthermore, none of the studies utilise their findings to predict or model the impacts of external factors on pollutant concentrations in different street layouts, nor do they inform decision-making in real-world scenarios.
1.3. Modelling Urban Airflow
To investigate phenomena associated with fluid dynamics in an urban environment, two primary methods are employed: actual experimentation and numerical simulation. Experiments offer a more realistic environment, but the main handicap is that there is less control for external factors. For example, Chen Guanwen et al. [] initially examined the thermal dynamics of a scaled-down street canyon model, followed by an outdoor ventilation study of the same model []. These studies obtained contours of different magnitudes of the fluid within the street but did not obtain numerical ventilation results for pollutant removal [,]. However, although scaled models aim to provide a more faithful representation of airflow behaviour, they may not accurately replicate real-world conditions. This discrepancy can arise if the boundary parameters and air-inflow velocity are not properly adjusted, leading to inaccuracies primarily due to the Reynolds number. For instance, Chew et al. [] explored a broad spectrum of Reynolds numbers for a constant aspect ratio, noting that the airflow pattern is dependent on the Reynolds number, yet they did not extend their findings to other aspect ratio configurations. This highlights the necessity of conducting the experiments under a Reynolds number regime which resembles reality, by using full-scale models with feasible building heights and using common values of wind velocity in cities as evidenced by Sini et al. [].
Apart from experimentation, numerical simulation through Computational Fluid Dynamics (CFD) offers another method to study this phenomenon. This approach is widely recommended and used by the scientific community as it can achieve good results with fewer resources than experimental methods. Previous research on this topic has provided valuable insights for setting up numerical models for simulations.
Authors employ various approaches to address the turbulent nature of airflow across the urban landscape. Several authors have proposed the use of Reynolds-averaged Navier–Stokes (RANS) equations, specifically the k-ε RNG turbulent model, as the most suitable solution for this problem [,]. This model is considered advantageous because it can provide good results compared to LES or wind tunnel experimental data while requiring lower computational costs. For example, Salim et al. [] compared flow magnitudes in a street canyon using both methods, concluding that RANS equations are acceptable, although LES provides more accurate results. All this previous work has motivated the use of this specific set of options to model street canyon ventilation in further studies.
1.4. Objectives
While existing research has provided insights into the complex dynamics of airflow within urban street canyons, a significant knowledge gap persists. Although studies have concentrated on airflow magnitudes, such as velocity, turbulence, and temperature fields, they have frequently failed to provide concrete numerical results for air ventilation and pollutant dispersion. This leaves us with a restricted comprehension of the influence of the air velocity (and the associated Reynolds number) on the airflow pattern and the resulting number of vortices formed. Moreover, existing studies [,] frequently focus on particular street configurations, which constrains their utility in developing effective pollution mitigation strategies in the real world, but the urban environment is characterised by a high degree of morphological diversity.
This study aims to address this knowledge gap by providing a comprehensive analysis of pollutant dispersion and airflow patterns in real-world scenarios, including different urban layouts, street canyon geometry, and external wind conditions. By examining the relation between air velocity, the Reynolds number, and street canyon geometry, this works aims to quantify air ventilation within different street canyon configurations, assess the impact of air velocity on vortex formation and its implications for pollutant dispersion, and develop a framework for predicting airflow patterns and pollutant concentration in diverse urban environments.
The primary objective is to generate detailed and applicable insights into street ventilation and air dynamics within urban canyons through simulations using a CFD model. The model employs a reference height of 10 m, representing a typical three-story urban building. The simulations encompass a range of parameters reflecting real-world street conditions. The AR varies from 0.75 to 4.5, encompassing different street morphologies (wide, regular, and narrow), while the air velocity ranges from 0.75 to 4 m/s. Additionally, the research findings are applied to a real-world scenario in Seville to predict pollutant concentrations, providing insights into air quality degradation risks based on street morphology and external conditions. This evidences the applicability of the findings in this work to identify hazardous scenarios in actual streets for city inhabitants.
2. Materials and Methods
To conduct Computational Fluid Dynamics (CFD) simulations, it is imperative to develop both a geometrical and numerical model, as well as to configure the Fluent environment appropriately. An accurate setup is essential for effectively replicating real-world conditions. This objective is achieved in Section 2.1. by selecting the appropriate options within the Fluent environment, as recommended in the literature []. Furthermore, a geometrical model is created to simplify the geometry of a street canyon, thereby providing representative information on the behaviour of airflow within an urban street. In this model, boundary conditions are chosen to closely resemble actual conditions, including the modelling of the UBL through an expression of the inlet velocity profile. Additionally, the definition of an optimised grid is crucial for obtaining reliable results while keeping computational costs low, achieved with the definition of cell size as dependent on the street size and aspect ratio. Section 2.2 introduces the parameters considered for characterising street canyon ventilation, as well as the range of values studied. These are the height-to-width aspect ratio () and the Reynolds number (). Finally, a set of key performance indicators is defined in Section 2.2 to characterise the behaviour of airflow across the street and its ventilation potential for each case study. These indicators include airflow patterns within the streets, the number and vortices position, and quantitative information regarding street ventilation, particularly related to pollutant dispersion. The methodology is summarised in Figure 1.

Figure 1.
Overview of the method.
2.1. CFD Model
When conducting studies using Computational Fluid Dynamics (CFD) simulations, it is crucial to select some parameters that directly impact the accuracy of the results. Multiple configuration sets have been suggested to effectively address the turbulent nature of the problem [,]. In this research, the chosen CFD software is Fluent 2023, a widely used tool in the scientific community due to its computational capabilities and versatility. To address the turbulent nature of the problem, Reynolds-averaged Navier–Stokes (RANS) equations have been employed, specifically using the k-ε RNG closure scheme model, as suggested in different studies [,] due to its good results in modelling the UBL.
The incompressible Navier–Stokes equations in isothermal conditions are employed which consist of the continuity Equation (1),
And the momentum conservation Equation (2).
Both equations are written in tensor notation in which the indices and have a value of 1 and 2, respectively, due to the bidimensional nature of the problem. Because of this, and stand for the x-y cartesian coordinates, is the average air velocities in both directions of space, is the average kinematic pressure, and is the kinematic viscosity of the fluid. In addition, is the Reynolds stress tensor which is defined in Equation (3).
where is the turbulent viscosity of the fluid, is delta Kronecker function, and is the turbulent kinematic energy (TKE). In addition to these equations, renormalisation group model RNG adds two more equations, including one for TKE transport in Equation (4).
And the other is for TKE dissipation rate as in Equation (5).
where is the kinematic turbulent energy production, and are the inverse Prandtl numbers, and is the effective kinematic viscosity expressed as with turbulent viscosity obtained from and where is the scalar measure of the deformation tensor. Eventually, the turbulent production expression is in Equation (6).
Finally, the species transport equation is shown in Equation (7).
where is the time-averaged concentration of the species (pollutant in this application), is the molecular diffusion coefficient, and is the turbulent Schmidt number with a value of 0.7 as recommended by previous studies []. is the source of pollutant in units of kg/s·m3. Its value depends on different factors related to traffic conditions in the street, which affect the amount of pollutant that is released. In this study, its value is fixed at 10−5 kg/s·m3. It is also important to mention that the species considered in this study is CO as a tracer for evaluating the air quality inside canyons, as is usually conducted when studying outdoor pollutant ventilation [,,]. The main reason for considering this pollutant is that it is one of the primary pollutants derived from traffic. In addition, the concentration of CO must be measured to ensure that its levels in the streets remain below a certain threshold [], as this pollutant is linked with several respiratory and cardiovascular diseases. To effectively solve these equations, it is imperative to define additional parameters within the Fluent environment. [].
Regarding the rest of the configuration of the Fluent environment, the SIMPLE scheme has been chosen to solve the coupled equations of pressure and velocity, using the least squares cell-based discretisation scheme for the gradient. Furthermore, a second-order discretisation is used for the rest of the magnitudes to achieve better accuracy, using the hybrid initialisation to start the simulation. Finally, when all the residuals are below the value of 10−5, convergence is considered to be achieved, and the simulation is stopped. On the other hand, a set of alternative methods for street canyon modelling is available. The main decision to develop the model is the geometrical characteristics. Nosek et al. [] developed a 3D model of an urban canyon and assessed the ventilation effectiveness along the length of the street, obtaining that this parameter increases the street ventilation when the street is short. Along with that study, Mei et al. [] compared the ventilation results for two specific AR values using a 3D and 2D model, determining that the results were similar when the street was long. This is very interesting as it allows us to use a bidimensional model for obtaining representative results for a specific part of a long street. Consequently, other authors have adopted the simplification of an infinitely long street to recreate the urban canyon with a two-dimensional approach [,]. This approach allows for relatively fast simulations using a model with low computational cost and simple geometry (Figure 2). However, it demands a good configuration set for Fluent, a good-quality mesh, and appropriate boundary conditions for it to provide good results. The numerical model is split into two zones, the “outer zone” where the fluid develops and the “inner zone” which is the surroundings of the street and the canyon itself.

Figure 2.
Numerical domain of the street canyon.
The grid merges different features to reduce the number of cells to maintain a low computational cost while providing fine meshing to ensure the simulation is conducted correctly (Figure 3). After testing different options (as suggested in a previous study []), the final mesh has a size of /20 in the outer zone and /(100) in the inner zone, because more precision is needed here. The dependence of the cell size on both the height reference and the aspect ratio prevents excessive growth of the number of cells, thus decreasing the computational cost.

Figure 3.
The meshing of the numerical domain.
The modelling of the UBL is realised by choosing appropriate boundary conditions. To recreate the roughness of the urban landscape, the aerodynamic roughness length () is used []. This empirical value is proposed to quantify the roughness of common landscape structures for mathematical modelling purposes. It enables the representation of urban city skylines in CFD studies. In this research, an aerodynamic roughness value of 0.1 m is used as an initial estimate. Furthermore, the inlet profile velocity of the fluid must be defined to resemble the UBL. In this research, the exponential law in Equation (8) is used, as well as the considered boundary conditions listed in Table 1.

Table 1.
Boundary conditions of the model.
2.2. Case Studies
The main parameters affecting the results of street ventilation are the aspect ratio of the street and the Reynolds number [,]. The aspect ratio () measures the ratio between the height of the street () and its width (), expressed as . This indicates the street’s narrowness. On the other hand, the Reynolds number () represents the turbulent behaviour of the flow and is defined as [,]. This parameter can be affected by factors such as the reference wind speed (), building height, and kinematic viscosity () of the fluid. The characterisation of street ventilation around these two parameters is crucial because they directly influence the flow characteristics within the street and its ventilation efficiency.
For a full characterisation of this phenomenon, different street configurations will be tested. Street canyons of with an ranging from 0.75 to 4.5 are chosen since this value range represents the most common city street configurations, as evidenced by previous research works in this field [,]. Lower streets are not considered as their high ventilation helps dissipate pollution.
Nevertheless, the number and position of vortices are highly influenced by the Reynolds number, which depends on both the external airspeed and the building height. For this reason, a deeper study is necessary where this parameter is varied in a realistic range to recreate typical city configurations. For this reason, the Reynolds number varies from 3.4 × 105 to 2.8 × 106 for each tested, which is achieved by varying the wind velocity from 0.75 to 4 m/s. Traditionally, the Reynolds number values used were low (approximately 12,000) as they were experiments conducted in wind tunnels. However, some authors [,] spotted the influence of the Reynolds number in streets with an > 1.5, as the ventilation was highly influenced by it. Therefore, to obtain practical results for real-life applications, the Reynolds number range must be appropriately chosen. Consequently, a highly valuable graph will be provided, which illustrates the number of vortices formed within a street canyon as a function of the aspect ratio () and the Reynolds () number. These data are crucial for the assessment of ventilation performance, which is vital for the development of effective strategies for pollution dispersion and heat dissipation in urban environments. Then, a total number of 45 cases are studied in this work, obtaining the previous indicators for each one.
2.3. Indicators
In order to obtain valuable information from the cases studied, it is necessary to define parameters of interest to fully characterise the dispersion of pollutants in urban canyons as well as the dynamics of the flow within them.
Firstly, the airflow pattern inside the street will determine the ventilation. Other studies have shown that for a low , only one vortex is formed whereas for a high , a multi-vortex regime is found [,]. Furthermore, for a fixed , the creation of one or more vortices is determined by the Reynolds number and thus by the wind speed and the height of the building. For low values, more vortices tend to appear []. That is why it is vital to obtain the airflow pattern, the number of vortices, and the position of their centres for a range of which resembles typical street morphology.
Secondly, to numerically characterise street ventilation, the “purging flow rate” (), in kg/s, is used as suggested by the literature [,]. This defines the amount of air entering the street from the exterior, which implies air renovation, dispersing pollutants in the zone. For street canyons in the multi-vortex regime, each recirculation can be considered isothermal and with a pollutant concentration that is practically uniform, which will be later proved. This means that there is not a high temperature or concentration gradient in a vortex, which leads to a segregation of the canyon street by attending to the frontiers between vortices forming the same number of subvolumes, because each one will have a different temperature and pollutant concentration.
With this innovative approach, the is not only calculated in the roof level of the street canyon but also on the interfaces of each vortex. This is essential to characterise since, for people who are spending time in a street where a bottom vortex is formed, the pollutant dispersion is determined by the of that bottom recirculation. The is defined according to Equation (9):
where i is the number of the subvolume, is the volume of the subvolume considered (m3), is the mean pollutant concentration (kg/m3), is the density of the air (kg/m3), and is the pollutant source rate (kg/s·m3). The PFR gives a numerical value of the real air mass flow coming from the exterior to the street as well as the air mass flow through each subvolume, which helps in understanding the ventilation efficiency of the bottom layers of a street canyon.
3. Results
3.1. Airflow Pattern
This first section addresses the findings related to airflow patterns for different street layouts. Firstly, Figure 4 shows the airflow pattern for each studied for = 676,796 which is the standard case for a three-floor building with 10 m of height and an external wind velocity of 1 m/s. It is noticeable that the number and position of the air recirculation zones are strongly dependent on street morphology, as narrower streets produce more vortices. For = 0.75 to 2.5, only one recirculation is formed at the centroid of the street. As the increases, the vortex displaces towards the street roof level. Then, for = 3, a new recirculation is formed, causing the internal zone of the street to split into two different vortices. In the beginning, the lower vortex is significantly smaller than the other one. However, when the increases from AR = 3 to AR = 4, the lower vortex becomes larger. For instance, for = 3.5, both vortices are the same size. Then, this tendency continues until = 4, when a new vortex appears. Therefore, for an of 4 and 4.5, there are three vortices in the street.

Figure 4.
Air pattern for different s of street canyons with = 676,796.
Figure 4 gives a very useful insight into the air movement inside street canyons as it allows to split them according to their recirculations. Each of these volumes is considered independent because the interaction between them is minimal, so different acclimatisation techniques can be used in each space. These findings may differ from the previous results in the literature. This is because of the Reynolds number range used (6.7·105), which is far from the typical value of 12,000 used traditionally in other studies [,]. However, the results in this work are similar to those of other authors who have tested the dependence of flow on the Reynolds number, using values similar to the one in this study [,,]. They also concluded that for an which traditionally was supposed to have multiple vortices ( = 2), only one vortex is formed for typical Reynolds number values.
Another important matter is the dependence of the number and position of vortices on the Reynolds number. Figure 5 provides the airflow pattern for = 2,030,387 which corresponds to a three-floor building with 10 m height and an external wind velocity of 3 m/s. When comparing to the base case of = 1 m/s, it is noticeable that the airflow pattern of several aspect ratios has changed. For instance, = 3 now only has one vortex, with the location approximately like that of the upper vortex formed for = 1 m/s. In addition, for = 4 and = 4.5, the bottom vortex disappears, forming only two recirculations. However, increasing the Reynolds number not only affects the number of vortices but also their size. The upper recirculation tends to increase in size while maintaining the centre fixed, thus the lower vortices displace towards the ground level. An example of this is for = 3.5, because previously both vortices were almost identical, whilst in this case, the upper vortex is significantly bigger.

Figure 5.
Air pattern for different s of street canyons with = 2,030,387.
Therefore, it can be stated that when the Reynolds number is increased (for instance, higher wind velocities or larger streets), the number of vortices is reduced for every . In those cases where only one vortex is formed for a low , the airflow pattern remains identical. However, for narrower streets, less vortices appear. Streets in the multi-vortex regime for a low may transition into a single-vortex regime.
The effect of reducing the is presented in Figure 6 for = 507,597 which corresponds to a three-floor building with 10 m of height and an external wind velocity of 0.75 m/s. Opposed to the previous results, there are two main effects when reducing the . Firstly, the creation of new vortices, for example, = 3.5 now has three vortices instead of only two. In addition, morphologies in a single-vortex regime now have two recirculations, such as = 2.5. Secondly, lower vortices become larger compared to previous results, displacing their centre towards the roof level. This implies that a little uncertainty in wind speed magnitude may trigger crucial changes in airflow patterns because of the formation of unexpected vortices.

Figure 6.
Air pattern for different s of street canyons with = 507,597.
Finally, the information regarding airflow patterns can be summarised in Figure 7 where the number of vortices is displayed depending on the aspect ratio and Reynolds number. With this, the characterisation of the airflow pattern for a wide range of typical street configurations is provided. This is very useful for the guidance of the initial steps of outdoor conditioning because the number of vortices directly determines the ventilation capacity of the pedestrian level.

Figure 7.
Classification of the number of recirculations depending on the Reynolds number and the aspect ratio.
This finding is fundamental because, according to other authors [,], the airflow pattern does depend on the Reynolds number for deep street canyons. This means that the previous work from the literature that was carried out with reduced-scale models might be insufficient to explain the real behaviour of flow across streets, because the range of Reynolds numbers typically used does not resemble the ones found in reality, so the findings referring to the airflow pattern are not feasible for its use in real projects, due to the uncertainty of the vortices formed. For example, Baratian-Ghorghi et al. [] intended to characterise the pollutant dispersion by using a model with ~12,000, which can lead to inaccurate results. Furthermore, the studies that do use a common Reynolds number regime usually only focus on a specific urban layout with few cases, for instance, Chen G. et al. [] studied different external conditions but only for a fixed street aspect ratio, as well as Chwe et al. []. These studies are incomplete, as they do not provide enough information for a wide range of scenarios. Therefore, this work addresses the existing gap in information about the number of recirculations formed in a narrow street when the exterior wind speed changes for a range of common Reynolds numbers for an average building.
3.2. Pollutant Dispersion
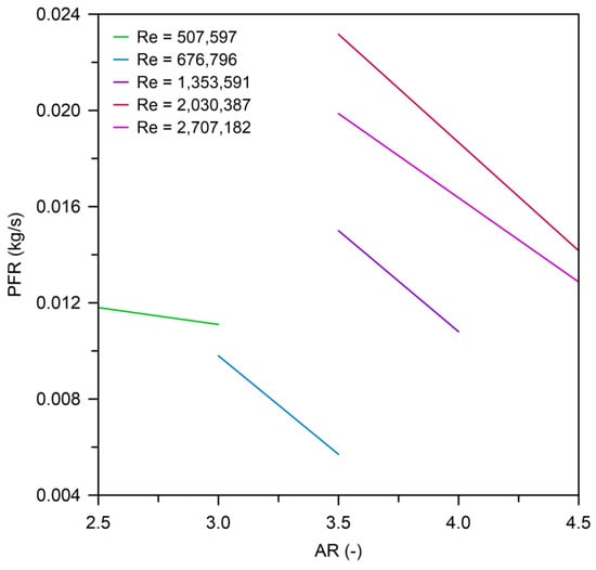
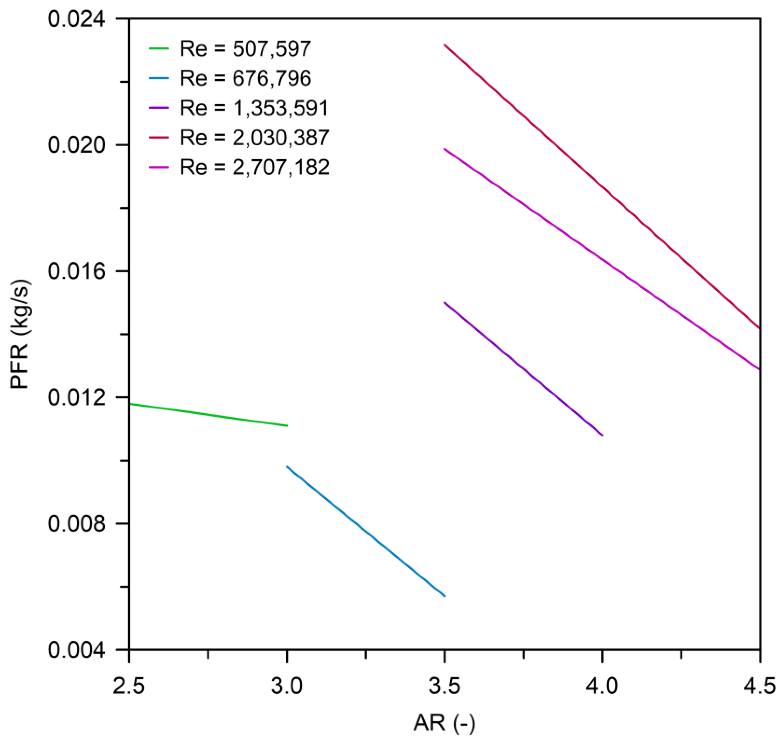
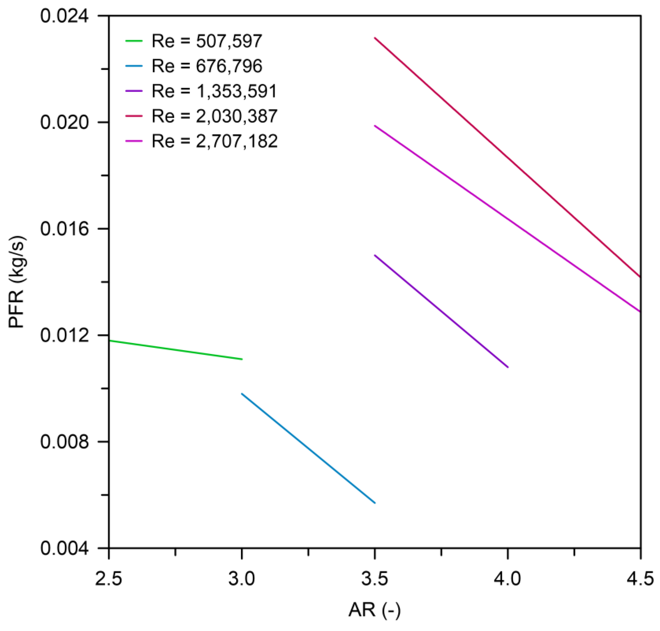
Firstly, the renewal rate at the roof level is shown in Figure 8. The figure shows that all cases for each reference wind velocity have the same trend. In general terms, the air renewal rate descends as the increases. However, the slope of the curve does not remain constant. The maximum value is found for the lowest value, which is when = 0.75. After this maximum, its value descends to approximately = 2. Within this range, the air renewal is reduced by more than half of its initial value. At this point, there is a change in the slope of the tendency line and the decline occurs more slowly. This might be explained because the street now exhibits two recirculations, which causes a reduction in ventilation effectiveness. Finally, for high values, approximately for = 3.5 and above, the reduction in the value is very low. From this point, the difference in the between different configurations is minimal, which is caused by the apparition of another vortex at the bottom of the street. This means that for very narrow streets or spaces, the purging flow rate remains practically constant with one order of magnitude less if compared with = 0.75, being approximately independent of the aspect ratio.

Figure 8.
Purging flow rate results for different ARs and Reynolds numbers.
This general behaviour can be verified for the reference case of = 1 m/s. The purging flow rate with the exterior for = 0.75 is approximately 0.25 kg/s. As stated above, this is the maximum value for this Reynolds number. Then, its value descends quickly until the = 2, where the ~0.1 kg/s, which is less than half of the initial case. As the continues to increase, this decrease slows down, so that for the last studied case of = 4.5, the value of the air pollution exchange is approximately 0.04 kg/s, which is an order of magnitude lower than the initial case.
Regarding the effect of the Reynolds number regime, it is remarkable that the relationship between the purging flow rate and the Reynolds number is practically linear for a fixed aspect ratio since the effect of Re is to shift the curve by increasing or decreasing it proportionally to . With this finding, if some specific Reynolds number for a street configuration is needed, it can be obtained directly from Figure 8.
A deeper analysis can be conducted for street configurations in a multi-vortex regime, as the purging flow rate with the exterior does not define the real pollutant removal at the pedestrian level. The primary effect of vortices is the accumulation of pollutants in the bottom layer of the streets. For that purpose, a further analysis of the purging flow rate between lower recirculations within a street is needed.
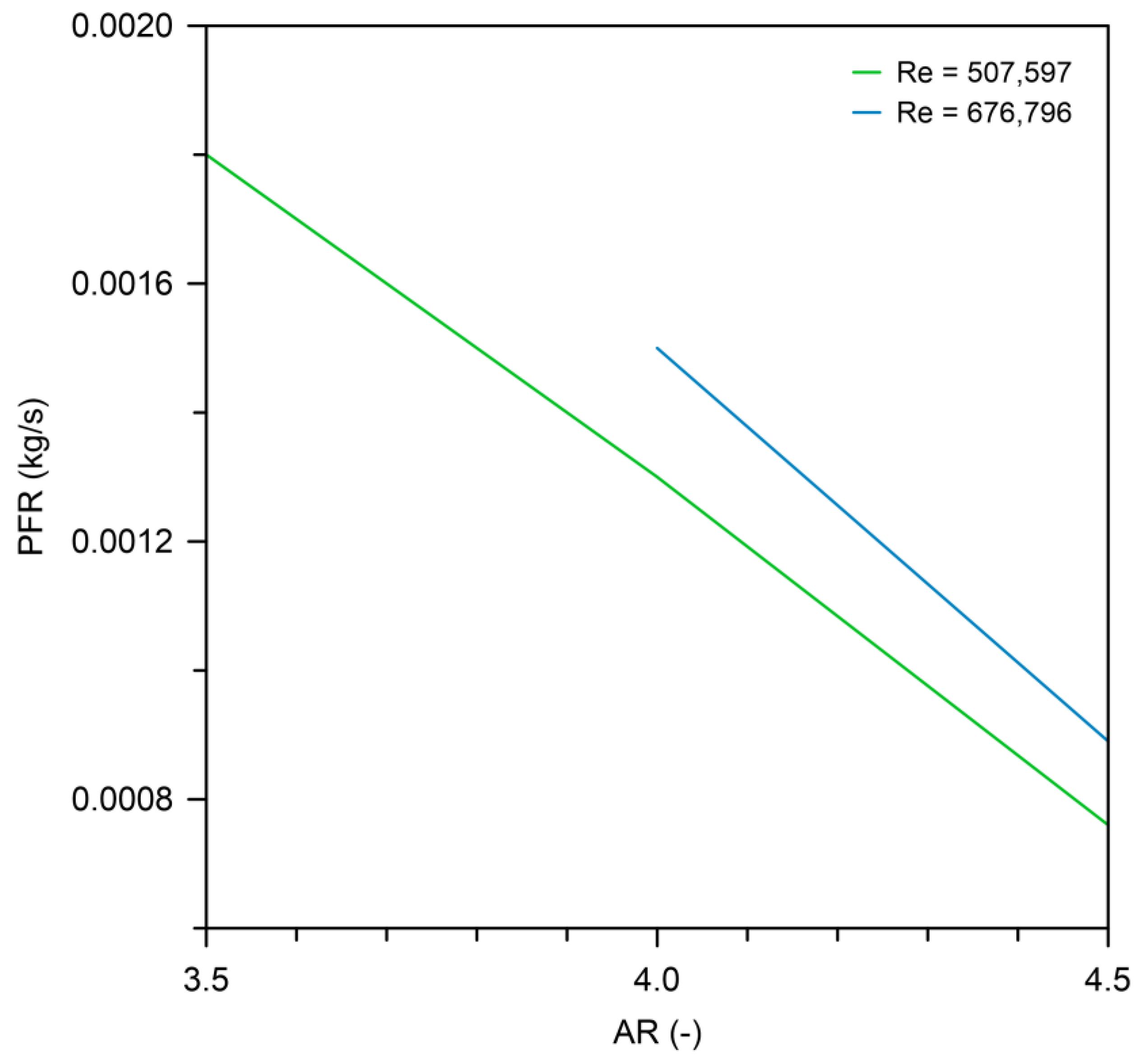
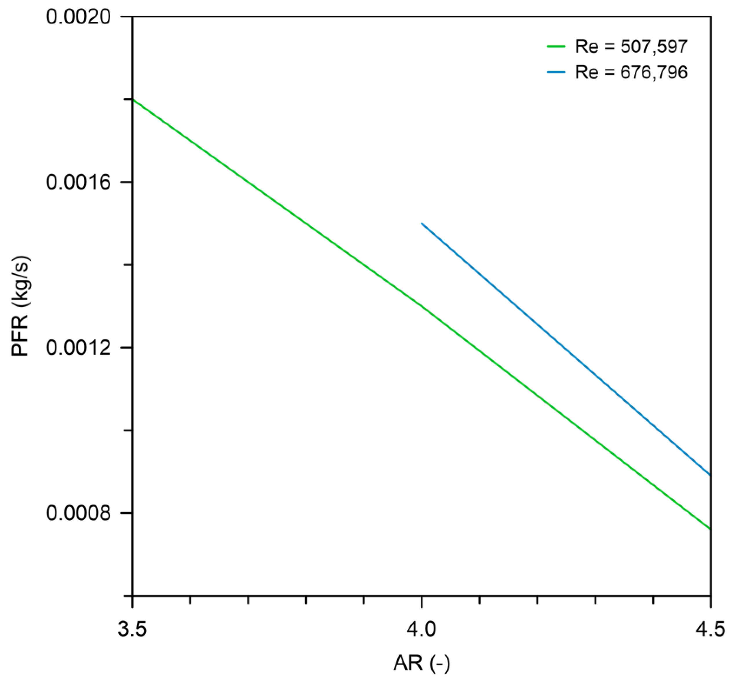
The purging flow rate between the internal vortices, when only two recirculations are found, is seen in Figure 9. In this case, there is no appreciable reduction when increasing the aspect ratio, partly because the multi-vortex street configurations are in the range where the decrease in the is less appreciable. Furthermore, it can be seen that in this case, the relationship between the and Reynolds number is also almost linear. It is worth noting that for all the cases studied the value of the is approximately ~0.02 kg/s, which means that the ventilation efficiency of the lower part of the street in the cases with two vortices is significantly worse than the case where only one vortex occurs.

Figure 9.
Purging flow rate results between subvolumes when there are two recirculations.
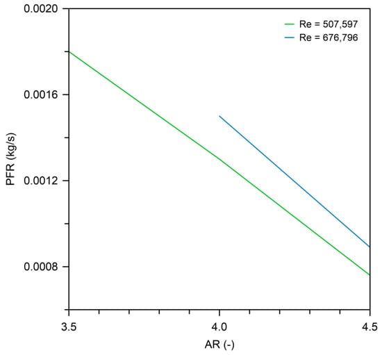
The between the internal vortices, when three recirculations are found, is observed in Figure 10. The former discussion of the relation between the and the aspect ratio and Reynolds number is valid in this three-vortex regime. However, the purging flow rate between the two lower vortices is very small, approximately ~0.001 kg/s. This implies that the air in the bottom vortices is hardly renewed and, therefore, pollutants accumulate in them, potentially causing serious health problems if not addressed. For example, in the case of = 4 and = 0.75 m/s, the vortex would occupy the entire pedestrian height (about 2 m) which would be especially dangerous due to the low value of the .

Figure 10.
Purging flow rate results in the bottom subvolume when there are three recirculations.
4. Discussion
The effective ventilation of urban streets plays a critical role in mitigating air pollution and enhancing the overall quality of life in densely populated areas. Through a comprehensive analysis of various factors such as the street geometry and wind speed, this work aims to elucidate the mechanisms that govern pollutant dispersion and the resultant air quality. In particular, it explores the dynamics of airflow patterns, including the formation of vortices and their influence on pollutant transport. Furthermore, the results of this work have useful implications in the context of urban planning and public health, providing valuable insights into the design of urban environments that prioritise effective ventilation, ultimately contributing to sustainable urban development and enhanced community well-being.
4.1. Impacts on Air Quality
The study of the airflow pattern through a parametric study allowed for the definition of the regime of typical street morphologies in the common range of Reynolds numbers found in cities. Based on the results among all the cases studied, streets with an 2.5 present a single vortex for the entire Reynolds number range studied, which implies a higher ventilation efficiency since pollutants do not accumulate in the lower part of the street, which coincides with the area occupied by pedestrians. However, as the aspect ratio increases, new vortices start to appear for different Reynolds values, reducing the purging flow rate value at the roof level. This relation between the formation of new vortices and the reduction in the pollutant dispersion can be stated in Figure 8, where it is possible to observe notorious curve slope changes. From = 2.5 to AR = 3.5, the multi-vortex regime causes the ventilation efficiency to decrease, since the at the roof level is greatly reduced for all the Reynolds number values studied. This reduction in pollutant dispersion of the whole street in a multi-vortex regime is dangerous since it implies that the pollutants in the street are not properly removed.
This situation is even more critical for street configurations with an > 3.5 since three or more vortices appear for the whole Reynolds number range studied. The values for the case of the bottom vortex, which coincides with the pedestrian height, are significantly small, which amplifies the risk of accumulation of pollutants and harmful particles. This can result in poor air quality in urban environments and can increase the probability of citizens developing diseases due to pollution accumulation.
These results highlight the utility of this analysis as it provides a preliminary guide for the planning of new urban environments regarding both main parameters of this phenomenon, the aspect ratio of streets and the expected Reynolds number regime. With these data, it is known which street configurations ventilate naturally and can ensure a low risk of pollutant accumulation. In addition, streets with high aspect ratios and low Reynolds are the streets where pollution issues must be addressed to enhance the quality of life of the citizens.
This research provides several valuable contributions to the analysis of pollutant dispersion efficiency for various urban layouts and external wind conditions. The parametric study conducted in this investigation is of essential importance, as it ensures the substantial applicability of the results obtained. The extant literature on this subject is typically constrained to a specific urban canyon or a rather limited range of aspect ratios. However, this study has pioneered a novel approach by encompassing a diverse spectrum of street geometries, in addition to external conditions modelled through the Reynolds number.
Furthermore, in this study, the relationship between the vortices formed inside an urban canyon and the pollution concentration has been investigated for different conditions for the first time. This study demonstrated that the presence of lower vortices in the streets makes ventilation of the streets difficult and provides a novel approach to determining PFR values not only at the roof street level, but also for the sub-volumes formed by the vortices.
The results of this study can be used to proactively address excessive accumulation of health-damaging pollutants on specific streets. This accumulation arises from a combination of the AR, Reynolds number, and pollutant generation rate parameters which causes a decrease in ventilation performance in these areas. The subsequent case study has been conducted to illustrate the application of this research to a real-life case scenario considering the developed framework.
4.2. Practical Application
The methodology outlined in this study, along with its findings, has been applied to a real-world scenario to predict the concentration of a pollutant species in urban streets. This approach is significant as it provides valuable insights and guidance for urban designers in developing street layouts with morphologies that effectively mitigate pollutant accumulation and help to identify the existing streets that can affect inhabitants’ health under some conditions. A study was conducted on five streets in the city centre of Seville. The selection of these streets was driven by two key factors: their residential nature and the presence of relatively narrow ARs. However, these streets also feature a high volume of traffic, a phenomenon attributable to their central location within the urban landscape. Additionally, a proportion of traffic is diverted to these areas due to the pedestrianisation of the surrounding avenues and main streets, further contributing to their high traffic density. Different external conditions will be studied to assess their response towards external changes. The streets and their characteristics are listed in Table 2.

Table 2.
Characteristics of the selected streets in Seville for study.
The selected streets present an ranging from 2 to 3, and cars are allowed to pass through them, incrementing pollution in the lower layers of the streets, which can lead to excessive pollutant accumulation under certain external air conditions. In this case, the emissions of CO derived from the traffic are going to be examined, as this is one of the most common pollutants derived from vehicles which has a high impact on human health. To verify if the contamination levels could be dangerous to inhabitants’ health, the scale of risk suggested by the World Health Organization (WHO) was considered. This risk scale establishes the following limits for CO concentration in streets to prevent health issues caused by pollution exposure []:
- A limit of 10 mg/m3 for a time exposure inferior to 8 h;
- A limit of 35 mg/m3 for a time exposure inferior to 1 h;
- A limit of 100 mg/m3 for a time exposure inferior to 15 min.
Two pollution scenarios were defined—a base case scenario (or low-traffic scenario) and a high-traffic scenario—since there are no official data available on that specific pollutant for the streets selected. The first scenario pretends to represent the most probable pollution situation in a low congestion residential area. For that, an external air wind velocity is set at 2 m/s, a reasonable value for low winds according to the Beaufort scale [], and an average CO emissions rate of 10−7 kg/m3·s is considered in reference to the available literature []. On the other side, the high-traffic scenario was set considering a CO emissions rate of 10−5 kg/m3·s, which has been validated in other studies of outdoor urban ventilation with this pollutant species [,,]. The equations used are detailed in Section 2.1., and the results are summarised in Table 3.

Table 3.
Mean pollutant concentration in the studied streets for low and high traffic density.
In the low traffic case, where the initial levels of pollution are considered negligible, it is evident that all streets are below the minimum concentration limit stipulated by the World Health Organization (WHO) to ensure public health is not compromised by prolonged exposure.
For the first scenario, where a low value of pollution source is considered, all the tested streets are below the first limit proposed by the WHO, which implies that there is a minimum risk for people’s health. However, in the second scenario, there has been an increase in CO concentration levels across all streets. Notably, the increase is more pronounced in the narrowest street, where the formation of a new vortex in the lower area has been observed. This vortex hinders street ventilation, thereby favouring the accumulation of particles. The majority of the streets fall below the first limit set by the WHO, although they are near this limit. This indicates that a small change in outdoor conditions can lead to an increase in pollution levels, thereby posing a heightened risk to the health of the inhabitants. Finally, the narrowest street exhibits a CO concentration value that exceeds the first limit of 10 mg/m3 established by the WHO, signifying a heightened level of danger to health when compared to the rest of the streets studied. This reduction in the maximum time a person can remain in such an environment before experiencing adverse health effects is also of significance.
As can be observed, under the same external air conditions, the street with a larger has better ventilation performance, with the lowest pollutant concentration among them, whereas the narrowest street has the highest one. This is logical because the findings of this work demonstrate that streets with an AR higher than 2.5 exhibit heightened sensitivity to variations in external conditions, suggesting the presence of a multi-vortex regime. This phenomenon complicates the ventilation process in the street’s lower layers and contributes to an increase in pollutant levels.
To visualise this phenomenon more clearly, a risk scale can be established based on the limits established by the WHO. The map depicting the streets will be coloured green for those which do not exceed the first pollution limit, yellow for those which exceed the second limit, and red for those which exceed the third limit. With this information, a risk map can be produced (shown in Figure 11). In this way, urban designers can use these results to know under which circumstances the pollution accumulation in streets can trigger health issues; thus, they can apply different solutions to mitigate it.

Figure 11.
Map of the chosen streets with the level of health risk. Green is for risk-free streets, and yellow is for streets in risk level one.
In this case study, a range of existing streets in the city centre of Seville have been analysed to assess their response to various environmental conditions associated with pollution. This study aims to classify the risk to individuals posed by exposure to specific concentrations of pollutants, in accordance with the guidelines established by the WHO. The findings of this study provide a framework for analysing existing streets and urban configurations under diverse external conditions, facilitating the anticipation of potential health limits that may be exceeded under exceptional circumstances. This approach enables proactive measures to be taken, rather than a reactive approach that is contingent on the occurrence of hazardous situations and the subsequent assessment of pollutants’ concentrations in the area.
Furthermore, this methodology can be employed to formulate new urban configurations that encourage the natural ventilation of streets, thereby circumventing the construction of new streets that may pose hazardous situations under external conditions conducive to the accumulation of dangerous pollutants. In conclusion, this methodology can be utilised to analyse both existing and new urban layouts to predict hazardous situations related to containment, thus ensuring more citizen-friendly cities and reducing the risk to the health of the inhabitants.
4.3. Limitations
In this study, the complex dynamics of the street canyon are reduced to a bidimensional model. This introduces inaccuracies when the results are applied in real-world applications due to the chaotic nature of airflow in three-dimensional environments because of the many factors altering the ideal case, for instance, trees, vehicles, and balconies. This complexity leads to corner recirculations and unexpected airflow patterns, which can significantly affect air movement within or around the street. Despite these limitations, the use of bidimensional simplification has been tested by some authors, concluding that its use is acceptable for elongated streets, as evidenced by minimal errors in the results [,]. Consequently, this method is appropriate in scientific research where valuable illustrative results are sought. Furthermore, this simplification adds another uncertainty which is the effect of crosswinds, because the wind profile is assumed to be perpendicular to the street. However, this case has proved to be the one with minimum street ventilation and therefore minimum pollution dispersion, so it is the one tested in most of the studies in this field.
5. Conclusions
This work aims to mitigate the gaps in the literature regarding street ventilation and pollutant dispersion for a large number of cases covering different urban layouts, for Reynolds number values in a realistic range that can typically be found in cities. This comprehensive study has generated valuable insights into the dynamics of airflow within various urban street morphologies, particularly for Reynolds numbers commonly encountered in urban environments. The analysis of streamline patterns resulting from varying aspect ratios and Reynolds numbers can be crucial for identifying critical urban layouts. This work evidenced that narrower streets tend to exhibit inferior ventilation, particularly in the lower vortices formed within these configurations. More specifically, streets characterised by AR > 2.5 are particularly risky due to their tendency to transition into a multi-vortex regime, which can lead to situations where the pollutant dispersion is significantly poorer than expected. This phenomenon contributes to a significant accumulation of pollutants, exacerbating urban air quality issues. Consequently, the implementation of innovative pollution control and dispersion techniques becomes essential in addressing these adverse health effects.
Moreover, the application of the findings of this study to a practical case involving five streets in Seville demonstrates the applicability of this research to forecasting pollution scenarios, enabling the identification of locations and periods when the risk level for human health due to pollution exposure is elevated. The findings indicate that streets with minimal variations in the AR exhibit heightened sensitivity to external pollution conditions, as narrower streets can attain a higher level of risk for pedestrians when subjected to equivalent levels of pollutant emissions.
This study’s contributions to the field of urban environmental planning are invaluable, providing a foundational basis for the creation of sustainable and liveable urban spaces for future generations. This research has not only addressed configurations that promote natural ventilation but has also identified those that necessitate further intervention. This dual focus serves as a pivotal guide for future urban development. By integrating these insights into the urban planning process, cities can be designed to be more resilient against pollution-related health risks, ultimately leading to significant improvements in the quality of life for urban residents.
This study also presents opportunities for further exploration. Future research could encompass the characterisation of additional street morphologies, including various roof shapes and asymmetric street canyon configurations. Such expansions would enhance the comprehensiveness of pollution dispersion characterisation in urban settings, thereby improving future urban layouts. Moreover, subsequent investigations could include a broader range of AR values, thereby encompassing morphologies not addressed in this initial study. This could involve examining very low ARs indicative of avenues or open plazas, as well as exceptionally high ARs characteristic of densely populated areas with tall structures. Expanding the scope of research in this manner will significantly enrich our understanding of urban air quality dynamics and inform more effective urban planning strategies.
Author Contributions
Conceptualisation, F.R.S. and S.Á.D.; methodology, F.R.S., S.Á.D., M.G.D. and J.S.R.; software, F.R.S.; validation, S.Á.D., M.G.D., R.M.P., T.P.A. and J.S.R.; investigation, S.Á.D., F.R.S., M.G.D., T.P.A., R.M.P. and J.S.R.; data curation, F.R.S. and M.G.D.; writing—original draft preparation, F.R.S.; writing—review and editing, M.G.D., R.M.P. and J.S.R.; visualisation, F.R.S.; supervision, T.P.A., R.M.P. and M.G.D.; project administration, J.S.R.; funding acquisition, S.Á.D. All authors have read and agreed to the published version of this manuscript.
Funding
The first author is supported through the grant agreement C23.I1.P03.S01.01 ANDALUCÍA from “Programa Investigo” funded by the Recovery, Transformation, and Resilience Plan of the Spanish Government. The third author is supported by the Spanish Ministry of Science, Innovation, and Universities through a PhD grant agreement FPU21/02611. This study has been funded by the project “CONSTANCY-Resilient urbanisation methodologies and natural conditioning using imaginative nature-based solutions and cultural heritage to recover the street life” (Grant Agreement PID2020-118972RB-I00) by the Spanish Ministry of Science, Innovation, and Universities, and the European Commission through the LIFE programme and ERDF funds: Project LIFEWATERCOL (LIFE18 CCA/ES/001122).
Institutional Review Board Statement
Not applicable.
Informed Consent Statement
Not applicable.
Data Availability Statement
Data are available if required.
Conflicts of Interest
The authors declare no conflicts of interest.
References
- Salizzoni, P.; Soulhac, L.; Mejean, P. Street canyon ventilation and atmospheric turbulence. Atmos. Environ. 2009, 43, 5056–5067. [Google Scholar] [CrossRef]
- Mei, S.-J.; Luo, Z.; Zhao, F.-Y.; Wang, H.-Q. Street canyon ventilation and pollution dispersion: 2-D versus 3-D CFD simulations. Sustain. Cities Soc. 2019, 50, 101700. [Google Scholar] [CrossRef]
- Mayer, H. Air pollution in cities. Atmos. Environ. 1999, 33, 4029–4037. [Google Scholar] [CrossRef]
- Sini, J.-F.; Anquetin, S.; Mestayer, P.G. Pollutant dispersion and thermal effects in urban street canyons. Atmos. Environ. 1996, 30, 2659–2677. [Google Scholar] [CrossRef]
- West, J.J.; Cohen, A.; Dentener, F.; Brunekreef, B.; Zhu, T.; Armstrong, B.; Bell, M.L.; Brauer, M.; Carmichael, G.; Costa, D.L.; et al. What We Breathe Impacts Our Health: Improving Understanding of the Link between Air Pollution and Health. Environ. Sci. Technol. 2016, 50, 4895–4904. [Google Scholar] [CrossRef]
- Sram, R.J.; Binkova, B.; Dostal, M.; Merkerova-Dostalova, M.; Libalova, H.; Milcova, A.; Rossner, P.; Rossnerova, A.; Schmuczerova, J.; Svecova, V.; et al. Health impact of air pollution to children. Int. J. Hyg. Environ. Heal. 2013, 216, 533–540. [Google Scholar] [CrossRef]
- Pisello, A.L.; Saliari, M.; Vasilakopoulou, K.; Hadad, S.; Santamouris, M. Facing the urban overheating: Recent developments. Mitigation potential and sensitivity of the main technologies. WIREs Energy Environ. 2018, 7, e294. [Google Scholar] [CrossRef]
- Khan, H.S.; Santamouris, M.; Paolini, R.; Caccetta, P.; Kassomenos, P. Analyzing the local and climatic conditions affecting the urban overheating magnitude during the Heatwaves (HWs) in a coastal city: A case study of the greater Sydney region. Sci. Total. Environ. 2020, 755, 142515. [Google Scholar] [CrossRef] [PubMed]
- Nazarian, N.; Krayenhoff, E.S.; Bechtel, B.; Hondula, D.M.; Paolini, R.; Vanos, J.; Cheung, T.; Chow, W.T.L.; de Dear, R.; Jay, O.; et al. Integrated Assessment of Urban Overheating Impacts on Human Life. Earth’s Futur. 2022, 10, e2022EF002682. [Google Scholar] [CrossRef]
- Libert, J.P.; Di Nisi, J.; Fukuda, H.; Muzet, A.; Ehrhart, J.; Amoros, C. Effect of Continuous Heat Exposure on Sleep Stages in Humans. Sleep 1988, 11, 195–209. [Google Scholar] [CrossRef] [PubMed]
- Shindell, D.; Zhang, Y.; Scott, M.; Ru, M.; Stark, K.; Ebi, K.L. The Effects of Heat Exposure on Human Mortality Throughout the United States. GeoHealth 2020, 4, e2019GH000234. [Google Scholar] [CrossRef] [PubMed]
- Harlan, S.L.; Ruddell, D.M. Climate change and health in cities: Impacts of heat and air pollution and potential co-benefits from mitigation and adaptation. Curr. Opin. Environ. Sustain. 2011, 3, 126–134. [Google Scholar] [CrossRef]
- Tang, Y.-F.; Wen, Y.-B.; Chen, H.; Tan, Z.-C.; Yao, Y.-H.; Zhao, F.-Y. Airflow Mitigation and Pollutant Purification in an Idealized Urban Street Canyon with Wind Driven Natural Ventilation: Cooperating and Opposing Effects of Roadside Tree Plantings and Non-uniform Building Heights. Sustain. Cities Soc. 2023, 92, 104483. [Google Scholar] [CrossRef]
- Xiaomin, X.; Zhen, H.; Jiasong, W. The impact of urban street layout on local atmospheric environment. Build. Environ. 2006, 41, 1352–1363. [Google Scholar] [CrossRef]
- Oke, T.R.; Mills, G.; Christen, A.; Voogt, J. Urban Climates; Cambridge University Press: Cambridge, UK, 2017. [Google Scholar]
- Oke, T.R. Street design and urban canopy layer climate. Energy Build. 1988, 11, 103–113. [Google Scholar] [CrossRef]
- Monteith, J.L.; Oke, T.R. Boundary Layer Climates. J. Appl. Ecol. 1980, 17, 517. [Google Scholar] [CrossRef]
- Barlow, J.F. Progress in observing and modelling the urban boundary layer. Urban Clim. 2014, 10, 216–240. [Google Scholar] [CrossRef]
- Yang, H.; Chen, G.; Wang, D.; Hang, J.; Li, Q.; Wang, Q. Influences of street aspect ratios and realistic solar heating on convective heat transfer and ventilation in full-scale 2D street canyons. Build. Environ. 2021, 204, 108125. [Google Scholar] [CrossRef]
- Reiminger, N.; Vazquez, J.; Blond, N.; Dufresne, M.; Wertel, J. CFD evaluation of mean pollutant concentration variations in step-down street canyons. J. Wind. Eng. Ind. Aerodyn. 2019, 196, 104032. [Google Scholar] [CrossRef]
- Cheng, W.; Liu, C.-H.; Leung, D.Y. Computational formulation for the evaluation of street canyon ventilation and pollutant removal performance. Atmos. Environ. 2008, 42, 9041–9051. [Google Scholar] [CrossRef]
- Liu, J.; Luo, Z.; Zhao, T.; Shui, J. Ventilation in a Street Canyon under Diurnal Heating Conditions. Int. J. Vent. 2012, 11, 141–154. [Google Scholar] [CrossRef]
- Jon, K.S.; Jong, S.I.; Ri, S.H.; Ko, J.Y.; Ko, S.G.; Kim, H.; Ryang, T.S.; Sin, C.H. Effects of increasing the degree of building height asymmetry on ventilation and pollutant dispersion within street canyons. Energy Built Environ. 2023, 5, 727–740. [Google Scholar] [CrossRef]
- Sin, C.H.; Cui, P.-Y.; Luo, Y.; Jon, K.S.; Huang, Y.-D. CFD modeling on the canyon ventilation and pollutant exposure in asymmetric street canyons with continuity/discontinuity balconies. Atmos. Pollut. Res. 2022, 14, 101641. [Google Scholar] [CrossRef]
- Yang, H.; Lam, C.K.C.; Lin, Y.; Chen, L.; Mattsson, M.; Sandberg, M.; Hayati, A.; Claesson, L.; Hang, J. Numerical investigations of Re-independence and influence of wall heating on flow characteristics and ventilation in full-scale 2D street canyons. Build. Environ. 2020, 189, 107510. [Google Scholar] [CrossRef]
- Wen, Y.-B.; Huang, Z.-R.; Tang, Y.-F.; Li, D.-R.; Zhang, Y.-J.; Zhao, F.-Y. Air exchange rate and pollutant dispersion inside compact urban street canyons with combined wind and thermal driven natural ventilations: Effects of non-uniform building heights and unstable thermal stratifications. Sci. Total. Environ. 2022, 851, 158053. [Google Scholar] [CrossRef] [PubMed]
- Fellini, S.; Marro, M.; Del Ponte, A.V.; Barulli, M.; Soulhac, L.; Ridolfi, L.; Salizzoni, P. High resolution wind-tunnel investigation about the effect of street trees on pollutant concentration and street canyon ventilation. Build. Environ. 2022, 226, 109763. [Google Scholar] [CrossRef]
- Pantusheva, M.; Mitkov, R.; Hristov, P.O.; Petrova-Antonova, D. Air Pollution Dispersion Modelling in Urban Environment Using CFD: A Systematic Review. Atmosphere 2022, 13, 1640. [Google Scholar] [CrossRef]
- Chen, G.; Wang, D.; Wang, Q.; Li, Y.; Wang, X.; Hang, J.; Gao, P.; Ou, C.; Wang, K. Scaled outdoor experimental studies of urban thermal environment in street canyon models with various aspect ratios and thermal storage. Sci. Total Environ. 2020, 726, 138147. [Google Scholar] [CrossRef]
- Chen, G.; Hang, J.; Chen, L.; Lin, Y. Comparison of uniform and non-uniform surface heating effects on in-canyon airflow and ventilation by CFD simulations and scaled outdoor experiments. Build. Environ. 2023, 244, 110744. [Google Scholar] [CrossRef]
- Garau, M.; Badas, M.G.; Ferrari, S.; Seoni, A.; Querzoli, G. Turbulence and Air Exchange in a Two-Dimensional Urban Street Canyon Between Gable Roof Buildings. Bound.-Layer Meteorol. 2017, 167, 123–143. [Google Scholar] [CrossRef]
- Baratian-Ghorghi, Z.; Kaye, N.B. The effect of canyon aspect ratio on flushing of dense pollutants from an isolated street canyon. Sci. Total. Environ. 2013, 443, 112–122. [Google Scholar] [CrossRef]
- Chew, L.W.; Aliabadi, A.A.; Norford, L.K. Flows across high aspect ratio street canyons: Reynolds number independence revisited. Environ. Fluid Mech. 2018, 18, 1275–1291. [Google Scholar] [CrossRef]
- Richards, P.; Hoxey, R. Appropriate boundary conditions for computational wind engineering models using the k-ε turbulence model. In Computational Wind Engineering 1; Elsevier: Amsterdam, The Netherlands, 1993; pp. 145–153. [Google Scholar] [CrossRef]
- Li, X.-X.; Liu, C.-H.; Leung, D.Y.; Lam, K. Recent progress in CFD modelling of wind field and pollutant transport in street canyons. Atmos. Environ. 2006, 40, 5640–5658. [Google Scholar] [CrossRef]
- Salim, S.M.; Buccolieri, R.; Chan, A.; DI Sabatino, S. Numerical simulation of atmospheric pollutant dispersion in an urban street canyon: Comparison between RANS and LES. J. Wind Eng. Ind. Aerodyn. 2011, 99, 103–113. [Google Scholar] [CrossRef]
- Zhang, Y.-W.; Gu, Z.-L.; Lee, S.-C.; Fu, T.-M.; Ho, K.-F. Numerical Simulation and In Situ Investigation of Fine Particle Dispersion in an Actual Deep Street Canyon in Hong Kong. Indoor Built Environ. 2010, 20, 206–216. [Google Scholar] [CrossRef]
- Li, X.; Liu, C.; Leung, D. Development of a model for the determination of air exchange rates for street canyons. Atmos. Environ. 2005, 39, 7285–7296. [Google Scholar] [CrossRef]
- Buccolieri, R.; Gromke, C.; Di Sabatino, S.; Ruck, B. Aerodynamic effects of trees on pollutant concentration in street canyons. Sci. Total. Environ. 2009, 407, 5247–5256. [Google Scholar] [CrossRef] [PubMed]
- Hang, J.; Luo, Z.; Wang, X.; He, L.; Wang, B.; Zhu, W. The influence of street layouts and viaduct settings on daily carbon monoxide exposure and intake fraction in idealized urban canyons. Environ. Pollut. 2017, 220, 72–86. [Google Scholar] [CrossRef]
- Ng, W.-Y.; Chau, C.-K. A modeling investigation of the impact of street and building configurations on personal air pollutant exposure in isolated deep urban canyons. Sci. Total. Environ. 2014, 468, 429–448. [Google Scholar] [CrossRef] [PubMed]
- Personal Interventions and Risk Communication on Air Pollution: Summary Report of WHO Expert Consultation. Geneva, Switzerland, 12–14 February 2019. Available online: https://iris.who.int/handle/10665/333781 (accessed on 22 October 2024).
- ANSYS FLUENT 12.0 User’s Guide. Available online: https://www.afs.enea.it/project/neptunius/docs/fluent/html/ug/main_pre.htm (accessed on 23 October 2023).
- Nosek, Š.; Kukačka, L.; Kellnerová, R.; Jurčáková, K.; Jaňour, Z. Ventilation Processes in a Three-Dimensional Street Canyon. Bound.-Layer Meteorol. 2016, 159, 259–284. [Google Scholar] [CrossRef]
- Kumar, P.; Garmory, A.; Ketzel, M.; Berkowicz, R.; Britter, R. Comparative study of measured and modelled number concentrations of nanoparticles in an urban street canyon. Atmos. Environ. 2009, 43, 949–958. [Google Scholar] [CrossRef][Green Version]
- Kim, J.-J.; Baik, J.-J. Urban street-canyon flows with bottom heating. Atmos. Environ. 2001, 35, 3395–3404. [Google Scholar] [CrossRef]
- Sukri, M.; Ali, M. Computational Investigations and Grid Refinement Study of Wind Flow Characteristics within Two-Dimensional Street Canyon using Large-eddy Simulation. 2016. Available online: https://www.researchgate.net/publication/309634464 (accessed on 3 September 2024).
- Blocken, B.J.E. Computational Fluid Dynamics for urban physics: Importance, scales, possibilities, limitations and ten tips and tricks towards accurate and reliable simulations. Build. Environ. 2015, 91, 219–245. [Google Scholar] [CrossRef]
- Hang, J.; Chen, G. Experimental study of urban microclimate on scaled street canyons with various aspect ratios. Urban Clim. 2022, 46, 101299. [Google Scholar] [CrossRef]
- Karimimoshaver, M.; Khalvandi, R.; Khalvandi, M. The effect of urban morphology on heat accumulation in urban street canyons and mitigation approach. Sustain. Cities Soc. 2021, 73, 103127. [Google Scholar] [CrossRef]
- Memon, R.A.; Leung, D.Y.; Liu, C.-H. Effects of building aspect ratio and wind speed on air temperatures in urban-like street canyons. Build. Environ. 2010, 45, 176–188. [Google Scholar] [CrossRef]
- He, L.; Hang, J.; Wang, X.; Lin, B.; Li, X.; Lan, G. Numerical investigations of flow and passive pollutant exposure in high-rise deep street canyons with various street aspect ratios and viaduct settings. Sci. Total. Environ. 2017, 584, 189–206. [Google Scholar] [CrossRef]
- Li, X.-X.; Britter, R.E.; Norford, L.K.; Koh, T.-Y.; Entekhabi, D. Flow and Pollutant Transport in Urban Street Canyons of Different Aspect Ratios with Ground Heating: Large-Eddy Simulation. Bound.-Layer Meteorol. 2012, 142, 289–304. [Google Scholar] [CrossRef]
- Hang, J.; Chen, X.; Chen, G.; Chen, T.; Lin, Y.; Luo, Z.; Zhang, X.; Wang, Q. The influence of aspect ratios and wall heating conditions on flow and passive pollutant exposure in 2D typical street canyons. Build. Environ. 2019, 168, 106536. [Google Scholar] [CrossRef]
- Saqr, K.M.; Wmy, A.; Csn, A.; Saqr, K. Effects of Buildings Aspect Ratio, Wind Speed and Wind Direction on Flow Structure and Pollutant Dispersion in Symmetric Street Canyons: A Review. 2012. Available online: https://www.researchgate.net/publication/256839331 (accessed on 22 October 2024).
- Yang, X.; Zhang, Y.; Hang, J.; Lin, Y.; Mattsson, M.; Sandberg, M.; Zhang, M.; Wang, K. Integrated assessment of indoor and outdoor ventilation in street canyons with naturally-ventilated buildings by various ventilation indexes. Build. Environ. 2020, 169, 106528. [Google Scholar] [CrossRef]
- Li, X.-X.; Liu, C.-H.; Leung, D.Y.C. Large-Eddy Simulation of Flow and Pollutant Dispersion in High-Aspect-Ratio Urban Street Canyons with Wall Model. Bound.-Layer Meteorol. 2008, 129, 249–268. [Google Scholar] [CrossRef]
- The Beaufort Wind Scale|Royal Meteorological Society. Available online: https://www.rmets.org/metmatters/beaufort-wind-scale (accessed on 22 October 2024).
- Meroney, R.N.; Pavageau, M.; Rafailidis, S.; Schatzmann, M. Study of line source characteristics for 2-D physical modelling of pollutant dispersion in street canyons. J. Wind. Eng. Ind. Aerodyn. 1996, 62, 37–56. [Google Scholar] [CrossRef]
- Hang, J.; Sandberg, M.; Li, Y. Age of air and air exchange efficiency in idealized city models. Build. Environ. 2009, 44, 1714–1723. [Google Scholar] [CrossRef]
- Buccolieri, R.; Sandberg, M.; DI Sabatino, S. City breathability and its link to pollutant concentration distribution within urban-like geometries. Atmos. Environ. 2010, 44, 1894–1903. [Google Scholar] [CrossRef]
- Ramponi, R.; Blocken, B.; De Coo, L.B.; Janssen, W.D. CFD simulation of outdoor ventilation of generic urban configurations with different urban densities and equal and unequal street widths. Build. Environ. 2015, 92, 152–166. [Google Scholar] [CrossRef]
Disclaimer/Publisher’s Note: The statements, opinions and data contained in all publications are solely those of the individual author(s) and contributor(s) and not of MDPI and/or the editor(s). MDPI and/or the editor(s) disclaim responsibility for any injury to people or property resulting from any ideas, methods, instructions or products referred to in the content. |
© 2025 by the authors. Licensee MDPI, Basel, Switzerland. This article is an open access article distributed under the terms and conditions of the Creative Commons Attribution (CC BY) license (https://creativecommons.org/licenses/by/4.0/).