Next Article in Journal
Use of Black Pepper Essential Oil to Produce a Healthier Chicken Pâté
Previous Article in Journal
Thallium Poisoning: Case Report and Scoping Review on Diagnostic Delay and Therapeutic Outcome
 
 
Font Type:
Arial Georgia Verdana
Font Size:
Aa Aa Aa
Line Spacing:
Column Width:
Background:
Article

Dynamic Response of Railway Subgrade Under Train Load and Freeze–Thaw Action

Key Laboratory of Ministry of Education for Geomechanics and Embankment Engineering, School of Civil Engineering and Transportation, Hohai University, Nanjing 210024, China
*
Author to whom correspondence should be addressed.
Appl. Sci. 2025, 15(4), 1735; https://doi.org/10.3390/app15041735
Submission received: 20 December 2024 / Revised: 1 February 2025 / Accepted: 6 February 2025 / Published: 8 February 2025

Abstract

In railway engineering research, there is a notable gap as existing studies often focus separately on train-induced vibrations or freeze–thaw cycle impacts on subgrades, lacking a comprehensive analysis of their combined effects on subgrade dynamic responses. This study developed a three-dimensional finite-element model of a double-track ballastless track railway subgrade. The model considers various conditions, including train speeds of 180 km/h, 200 km/h, and 220 km/h, and soil temperatures of 5 °C, −5 °C, and −15 °C, with typical subgrade materials. The results show that under train load, the maximum vertical displacement of the subgrade decreases as train speed increases. Conversely, the maximum vertical stress and acceleration are directly proportional to the train speed. When the train speed rises from 180 km/h to 220 km/h, the maximum vertical stress of the subgrade increases by 1.1% and 3.1%, respectively. As the soil temperature drops from 5 °C to −15 °C, the maximum vertical displacement of the subgrade decreases. The displacement reduces with increasing distance from the train load. At a specific point A, the maximum vertical stress increases by 2.02% and 1.43%, respectively. Additionally, the deformation of the railway subgrade is directly proportional to the temperature difference. These findings are valuable for understanding subgrade behavior and guiding railway construction in freeze–thaw-affected areas.

1. Introduction

With the continuous advancement of global infrastructure construction, railways, as a crucial means of transportation, play a vital role in ensuring the safe and efficient transportation of people and goods. Their stability is of utmost importance. Particularly in seasonally frozen soil regions, railways are constantly affected by freeze–thaw cycles, facing severe challenges to their long-term stability, which has attracted extensive attention from academia and the engineering community [1,2]. Globally, seasonally frozen soil regions are widely distributed, covering large areas of many countries such as China, Russia, and Canada. Statistics show that the area of seasonally frozen soil regions in China accounts for approximately 53.5% of the total national territory. In these regions, the mileage of railway construction has been increasing [3]. However, freeze–thaw cycles bring numerous problems to railway infrastructure. When the temperature drops, the water in the subgrade freezes and expands, generating frost heave forces. When the temperature rises, the frozen soil thaws, reducing the strength of the soil and causing thaw settlement. This repeated freeze–thaw action can lead to subgrade deformation and track irregularities, seriously threatening the long-term stable operation of railways. Previous studies have explored railway-related issues from various perspectives. In the aspect of railway subgrade vibration response, some scholars have used a combination of numerical simulation and field monitoring to study the impact of train vibrations on the subgrade [4,5,6,7]. Bai et al. used ABAQUS to build a vehicle–track–subgrade coupled model. It analyzed the vibration response of high-speed railway subgrades in karst areas with and without soil holes. Results showed that soil holes decrease dynamic displacement and acceleration amplitudes while increasing the dominant frequency. Monitoring points 0–10 m from the slope toe and relevant indicators can detect subgrade defects [8]. Sun et al. combined field monitoring and numerical simulation to study the dynamic response of soil around a curve-section tunnel under train vibration [9]. The results showed that train vibration affects pore water pressure and soil displacement, and the response is related to location, depth, and curve radius [10,11,12,13,14]. Bian et al. employed a 2.5D finite element model to explore soil vibrations from trains. By analyzing different speeds of constant and harmonic loads, the critical speed was determined. Conclusions showed its relation to soil properties and clarified how speed/load type influences ground and track responses [15]. Hu et al. established a 2.5D model based on Biot’s theory to study the dynamic response of saturated soft soil foundation under high-speed train loads. They found that the responses of excess pore pressure, effective stress, and displacement are affected by factors such as train speed and permeability coefficient, and there is a critical speed [16,17,18]. Zhou et al. centered on the ballastless track–subgrade system of high-speed railways. A 3D finite element model was built based on the Beijing–Shanghai section. By varying the parameters of subgrade layers and fasteners, the impacts on dynamic vertical displacement are analyzed. Results showed that enhancing the subgrade/embankment modulus reduces total displacement. Fastener stiffness mainly affects rail displacement. The modulus ratio of subgrade layers and foundation modulus notably influence subgrade surface displacement. Thus, the proper selection of materials and control of fastener stiffness are crucial for system stability [19,20,21]. Tan et al. proposed a deep, long short-term memory network to predict railway bridge dynamic responses. The results showed that displacement prediction is more accurate and robust than acceleration prediction. Also, factors like network structure, training samples, and train-related variables affect prediction accuracy [22].
However, research on the long-term operation stability of railways under the action of freeze–thaw cycles still has limitations. Most existing studies focus on the impact of a single factor on railway infrastructure and fail to fully consider the coupling effects of freeze–thaw cycles with other factors, such as train loads and climate change [23,24,25]. Zhou et al. used dynamic triaxial tests to study the effects of freeze–thaw cycles (number and temperature) on frozen subgrade soil’s dynamic responses. The results showed that these cycles significantly influence soil properties such as shear modulus, damping ratio, plastic strain, and resilient modulus. A theoretical model was developed, and the freeze–thaw attenuation coefficient was used to evaluate property deterioration, with good agreement between experimental and predicted data [26]. Tang et al. investigated the vibration-induced settlement and permanent deformation accumulation of the permafrost subgrade of the Qinghai–Tibet Railway. They utilized ABAQUS to establish a finite element model considering factors such as seasonality, vibration frequency, train type, and global warming. Results showed that cumulative vibration-induced settlement mainly occurred near the ice-rich permafrost layer and was highly influenced by ground temperature. The embankment height, ice-rich permafrost thickness, and initial mean annual ground temperature of the site affected the settlement and deformation. Permanent deformation accumulation was mainly due to the thaw consolidation of the permafrost layer, with vibration-induced settlement contributing approximately 20% [27,28]. Zhu et al. focused on the train-induced vibration and subsidence of the Qinghai–Tibet Railway’s permafrost subgrade. By establishing train–track–subgrade coupling models and conducting laboratory tests, it analyzed the influence of factors such as embankment height, mean annual ground temperature (MAGT), and ice-rich permafrost layer thickness on subsidence. A prediction program is developed, and it is concluded that increasing embankment height and reducing MAGT can decrease subsidence. The appropriate embankment height for the section is 3–3.5 m [29]. Tai et al. utilized monitoring data to analyze the thermal, unfrozen water, and deformation behaviors of a new high-speed railway anti-frost cutting bed. A frost model was built to assess its effectiveness under extreme weather. Results showed that cutting the top’s frost depth is less than the center’s, unfrozen water sensitivity delays, frost heave occurs early, more water infiltration increases peak frost, and slopes are unstable at the freeze–thaw interface [30,31,32]. Wang et al. established mathematical and numerical models based on Daqing data to simulate the temperature field and vibration response of railway subgrades with insulation boards. The research found that the numerical method can predict the subgrade temperature field. The insulation layer can reduce the freeze–thaw effect, subgrade vibration, and prevent frost damage, and the shallower burial depth has better effects [33,34]. According to the above discussion, there have been a lot of studies on the dynamic response of railway subgrade at home and abroad, but there are few studies on the dynamic response under the combined action of train load and freezing and thawing. Therefore, it is urgent and necessary to conduct research on the long-term operational stability of railways under the action of freeze–thaw cycles. This not only helps to deeply understand the mechanical behavior and performance evolution laws of railways in complex environments, providing a scientific basis for the design, construction, and maintenance of railway infrastructure, but also effectively ensures the safe operation of railways.
This study constructs a three-dimensional finite-element model to analyze the dynamic response (vertical displacement, stress, and acceleration) of railway subgrades under single-track moving loads at 180 km/h, 200 km/h, and 220 km/h. By studying different observation points on the subgrade surface, curves of maximum response values against train speed are obtained, supplementing the lack of research on the impact of different train speeds. Considering the effect of soil temperature on subgrade mechanical properties during freeze–thaw cycles, soil temperatures of 5 °C, −5 °C, and −15 °C are considered to explore the subgrade’s mechanical characteristics and deformation laws, which addresses the deficiency in previous research on the relationship between soil temperature and subgrade behavior during freeze–thaw. Overall, this research provides a more comprehensive understanding of railway subgrade performance in seasonally frozen regions.

2. Three-Dimensional Finite Element Model of Railway Subgrade

Considering the unique advantages of ABAQUS in simulating moving load and setting thermodynamic boundary conditions, ABAQUS is used to establish a dynamic model of ballastless track–subgrade coupling. The DLOAD subroutine is written to apply a constant dynamic load with uniform movement to the track surface to simulate the train load effect. By modifying the boundary conditions and material parameters of the model, the temperature field is changed to achieve the effect of frozen soil subgrade under cold conditions.
The railway subgrade model is based on the Sichuan–Tibet Railway project in a cold region. It has a typical geological background of high altitude, large height difference, and strong tectonic action along the railway line, with frequent earthquakes and strong internal and external dynamical geological action. The railway subgrade is 14.20 km long, including 16 seasonal frozen soil areas, totaling 9.46 km. They are located at an altitude of more than 3000 m. The railway design speed is 200 km/h, which is a passenger and freight railway of class I. Most of the sites is paved with ballastless track.

2.1. Train Load

The dynamic response of subgrade under the action of high-speed train and the long-term performance of railway subgrade soil are two major problems in engineering. Considering the actual engineering situation, the simulation parameters of train load in this paper are high-speed train CRH3 with axle weight of 14 tons. When a carriage with the same set of bogies two wheels in the first wheel through a section, a wave peak is generated, the latter wheel again through the section, another wave peak is generated, it will produce a M-shaped wave, the train load as shown in Figure 1.
The ABAQUS/Explicit module is dedicated to the simulation of transient dynamic problems, such as explosions and impacts, it uses explicit integral solutions, computed in small time incremental steps for the solution of dynamic problems. The unit finite element equations for transient dynamics calculations are [26]:
M { u ¨ } + C { u ˙ } + K { u } = { P }
where [M], [C], and [K] are the unit mass matrix, damping matrix, and stiffness matrix, respectively; u ¨ , { u ˙ } , { u } , and {P} are the acceleration, velocity, displacement vectors of the unit and the nodal force loads, respectively.
The damping coefficient of the roadbed plays a crucial role in influencing its vibration characteristics, where the damping matrix is determined by the Rayleigh linear combination method [27]:
C = α M + β K
where coefficients α, β are Rayleigh damping parameters with a following relationship to the commonly used viscous proportional damping coefficient ξ:
α = 2 ω i ω j ω i + ω j ξ
β = 2 ξ ω i + ω j
where ω i is fundamental frequency of the model, ω j is frequency that contributes most to the dynamic response [27].
The Rayleigh damping parameters are determined as follows. The model analysis of the finite element model is carried out, and the first 40 intrinsic angular frequencies and the vertical response participation coefficients under different frequency excitations are extracted, where the vertical response participation coefficients are larger. It indicates that the vibration mode contributes more to the dynamic response in the vertical direction of the model, the fundamental frequency ω i is determined. The frequency with the largest contribution to the dynamic response from the higher-order vibration modes as ω j is selected.
The angular frequency ω j denotes the maximum absolute value of the vertical response participation coefficient. Specifically, the values of ω i and ω j are established as 11.66 rad/s and 14.68 rad/s, respectively. The damping ratio that characterizes the interaction between the roadbed and the underlying ground is conventionally selected within a range of 0.03 to 0.05. For the empirical analysis conducted in this study, the damping ratios are chosen as 0.045 for the roadbed surface layer, 0.039 for the roadbed subgrade, and 0.035 for the ground surface, reflecting the distinct material and structural properties of each layer.

2.2. Freeze–Thaw Action

Owing to the effectively infinite extent of the railway roadbed, a two-dimensional model has been employed to replicate the thermal conduction process. During the phase transitions of soil thawing and freezing, the simulation incorporates heat transfer through the soil matrix, as well as the heat exchange associated with the ice-water phase change, while neglecting other thermal phenomena. In view of the low water content of the soil in the test section, the convection, water evaporation, etc., during the melting process are ignored. For the heat transfer problem, it contains a phase change, the variable enthalpy H (J/m3) [35] is introduced in the calculation to account for the latent heat of the material during the ice-water phase change, the change of temperature with time at the phase change interface is intermittent. The change in enthalpy with time is continuous, there is no need to keep track of the two-phase interface when solving the enthalpy distribution by numerical methods, it makes possible to treat the liquid-phase region and solid-phase region in unison. After the enthalpy field is solved, the temperature field is solved.
H T = ρ c ( T ) d T
H t = H T T t = ρ c ( T ) T t
Therefore, the soil temperature field control differential equation is:
H t = x ( λ T x ) + y ( λ T y )
where ρ is the density of the material (kg/m3), c(T) is the specific heat of the soil as a function of temperature (J/(kg·°C)), λ is the coefficient of thermal conductivity of the material (W/(m·°C)), T is the temperature (°C), t is the time (s).
According to the survey data, the region experiences an average annual temperature of approximately 7 °C. Furthermore, the thermometric extremes recorded within the area are characterized by a maximum temperature of around 30 °C and a minimum temperature of approximately −15 °C. The seasonal freezing and thawing process of subgrade soil is essentially a process of energy change. The model of subgrade temperature field is established by numerical simulation method, and the mechanical characteristics of railway subgrade at different temperatures are analyzed according to the boundary conditions of subgrade temperature field and related thermodynamic parameters.

2.3. Parameter Selection and Meshing

In this paper, ABAQUS 2020 is used to determine the parameters and establish a three-dimensional finite element model according to the code for design on the subgrade of China’s high-speed railway [36]. Figure 2 delineates the finite element model of the double-track ballastless track subgrade structure.
The railway incorporates CHN60 rails conforming to the standard gauge of 1.435 m, equipped with 300-1a fasteners spaced at 0.625 m. The CRTS-II ballast slab with dimensions of 2.55 m in width and 0.2 m in thickness is supported by a cement-asphalt-mortar (CAM) layer that is 0.2 m wide and 0.03 m thick. The trapezoidal support layer with dimensions varying from 2.95 to 3.25 m in width and 0.3 m in thickness is under the ballast slab. The subgrade structure is composed of a surface layer (0.4 m thick), a subgrade layer (1.8 m thick), and an embankment layer (2 m thick), extending 13.6 m in width with a slope gradient of 1:1.5. In adherence to the specified standards, the line spacing for the dual-track railway is established at 5 m. The subgrade’s dimensions are critically considered to ensure that the energy transferred from the dynamic loads above is adequately attenuated; hence, the subgrade is dimensioned at 47.7 m in width and 20 m in thickness. The 300-1a fasteners, in conjunction with the rails, are modeled as line-elastic connections, represented by spring-damping elements with a stiffness of 45 kN/mm and a damping coefficient of 45,000.
The Mohr–Coulomb model is adopted for soil. The parameters of the track–subgrade model are taken according to the code for design on the subgrade of China’s high-speed railway [36]. The parameters are shown in Table 1, where E is Elastic modulus, μ is Poisson’s ratio, c is the Cohesive force of soil, and φ is the internal friction angle of soil.
The existing research shows that the physical and mechanical parameters of unfrozen soil change little. The physical and mechanical parameters of frozen soil below 0 °C change greatly with temperature. The mechanical and thermophysical parameters of soil are shown in Table 2 and Table 3, and the f and u represent the frozen state and the unfrozen state, respectively [27].
Within the context of finite element analysis, the maximum allowable mesh size within the finite element model is governed by the minimum wavelength associated with the highest frequency induced by the dynamic train loads. It is established that a Rayleigh wavelength should encompass no fewer than 10 mesh elements [37]. Consequently, the maximum mesh size can be derived from the minimum wavelength utilizing the following calculation formula.
L e λ s 6
The L e is maximum element size and λ s is shear wavelength. In this paper, the value of λ s is 7.9 m, it indicates that the maximum element size L e is 1.32 m. To ensure precise analysis of the dynamic response of the model, the phenomenon of stress concentration in the region beneath the track structure has been considered. Consequently, the solid element size has been specified at 0.14 m to capture the intricate stress distributions in this critical area. The load location is further away, the element size is larger, the solid element size is gradually increased to 0.5 m at the boundary of the foundation. The railway track, subgrade and foundation are adopted eight-node hexahedral solid units. To maintain the continuity of interface deformation, a tie connection is employed to guarantee interlayer contact beneath the slab. The foundation base is rendered immobile, while the periphery is encircled by a semi-uniform viscoelastic artificial boundary to simulate the edge conditions.
The observation points of the non-ballasted track–subgrade coupling model are distributed within the subgrade cross-section as shown in Figure 3, the coordinate point A (−2.5,0) is positioned on the subgrade surface directly beneath the left track of the left railway line. The coordinate point B (0,0) marks the central axis of the subgrade. Meanwhile, the coordinate point C (2.5,0) is located on the subgrade surface below the right track of the right railway line.

2.4. Model Verification and Calculation Conditions

To validate the accuracy of the forementioned loading methodology and the developed three-dimensional finite element model, a comparative analysis of the present findings with those from extant literature is conducted. The model employed for the validation purposes comprised a 1 m-thick embankment layer overlaying a subgrade with a 6-m-depth of soft soil and a 17 m-depth of hard soil beneath the foundation. A train with an axle load of 14 tons is simulated to traverse the model at a constant velocity of 50 m/s. The accuracy of the model is assessed by examining the time-history responses of vertical displacement at a critical point, B (the center of the subgrade). Figure 4 illustrates the comparison between the vertical displacement responses computed by the finite element model (FEM) and the simulated response model reported by Bian and Zhou [15,20]. The abscissa in the figure denotes the distance over which the load velocity is applied, where ‘c’ represents the speed of the moving load, and ‘t’ signifies time.
The results of this paper coincide well with the results of existing studies by Bian and Zhou [15,20], the vertical displacement change trend is the same, it indicates that the FEM has good reliability and high accuracy in calculating the dynamic response of the subgrade under the action of moving load. The consonance between the outcomes of the finite element analysis and the cited numerical simulation results attests to the reliability of the 3D finite element modeling methodology employed in this study. This validation suggests that the adopted modeling process is a dependable tool for investigating the mechanical behavior of the ballasted track–subgrade system subjected to moving train loads.
The impact of different train speeds—180, 200, and 220 km/h—is considered with the same environmental temperature, the impact of different ambient temperatures 5, −5, and −15 °C is considered with the same train speed, and the design of the calculation cases are shown in Table 4.

3. Dynamic Response of Subgrade Under Different Train Speeds

3.1. Vertical Displacement

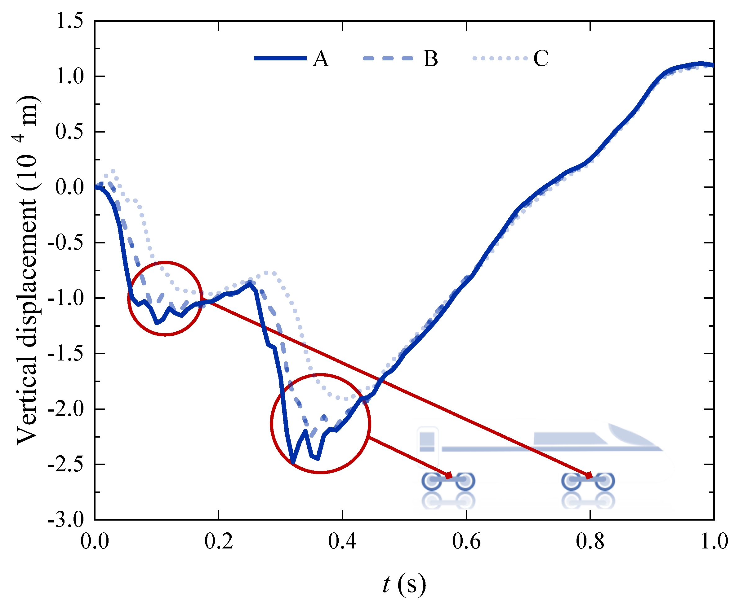
Figure 5 depicts the vertical displacement–time history curves for points A, B, and C. The dynamic displacement–time curves of the subgrade exhibit a distinctive M-shaped pattern, with negative values signifying compression, which is in direct correlation with the passage of the moving train load. As energy is laterally transferred to points B and C, the vertical displacement of the subgrade progressively diminishes, resulting in a less pronounced M-shaped curve, which signifies the attenuation of vibration waves propagating laterally along the track subgrade structure due to the passage of trains. The initial and secondary extrema of the vertical displacement curve for point A, as depicted in Figure 5, represent the displacement induced by the front bogie of the train (as shown by the small red circle on the left), while the tertiary and quaternary extrema correspond to the displacement generated by the rear bogie of the train (as shown by the larger red circle on the right). Upon the passage of the front bogie over point A, the dynamic displacement is induced. Before this displacement has fully dissipated, the subsequent arrival of the rear bogie generates an additional dynamic displacement. The superposition of these two displacement events leads to the third and fourth displacement extrema exceeding the first and second extrema, thereby corroborating the findings reported by Chen [20].
Figure 6 illustrates the variation in vertical displacement curves for points A, B, and C as a function of different train speeds. At a train speed of 180 km/h, the maximum vertical displacement recorded at point A is 0.272 mm. As the train speed is elevated to 220 km/h, the maximum vertical displacement at point A diminishes to 0.261 mm, the maximum vertical displacement at point B reduces from 0.245 mm to 0.232 mm, and the maximum vertical displacement at point C decreases from 0.207 mm to 0.196 mm. This result indicates that with the increase in train speed from 180 km/h to 220 km/h, the maximum vertical displacements at all monitored points exhibit a concomitant reduction.
The vertical displacement of the subgrade in response to a moving constant load represents an instantaneous deformation, which, as a dynamic response, is inherently time dependent. As the train traverses the observation point, the dynamic load is transmitted to the railway track and subgrade structure. At a train speed of 180 km/h, the duration of applied pressure at the observation point is greater than at the speed of 220 km/h. With the increase in train speed, the duration of the applied train loads on the subgrade is diminished. Consequently, this results in smaller displacements at points A, B, and C. The vertical displacements at these points are further mitigated at higher train speeds, indicating that the instantaneous vertical displacement diminishes with the escalation of train speed.

3.2. Vertical Stress

Figure 7 shows the vertical stress-time course curve of point A. When the train speed is 180 km/h, the maximum vertical stress caused by dynamic load fluctuates in the range of 16.87 kPa to 18.78 kPa. When the train speed is 200 km/h, the maximum vertical stress caused by dynamic load fluctuates in the range of 16.54 kPa to 18.80 kPa. When the train speed is 220 km/h, the maximum vertical stress caused by dynamic load fluctuates in the range of 16.30 kPa to 19.36 kPa. The range of fluctuation of vertical stress increases with the increase in speed, the peak of vertical stress gradually shifts to the left with the increase in speed, the curve takes the shape of M under the action of moving constant load, the position of the train bogie can be recognized from the crest of the dynamic response of subgrade surface.
Figure 8 shows the variation of maximum vertical stress with train speed. As the train speed increases from 180 km/h to 220 km/h, the maximum vertical stress of point A increases by 1.1% and 3.1%, respectively. The maximum vertical stress of point C increases from 0.77 kPa to 0.83 kPa, and the trend of increase of point B is similar to that of point C.

3.3. Vertical Acceleration

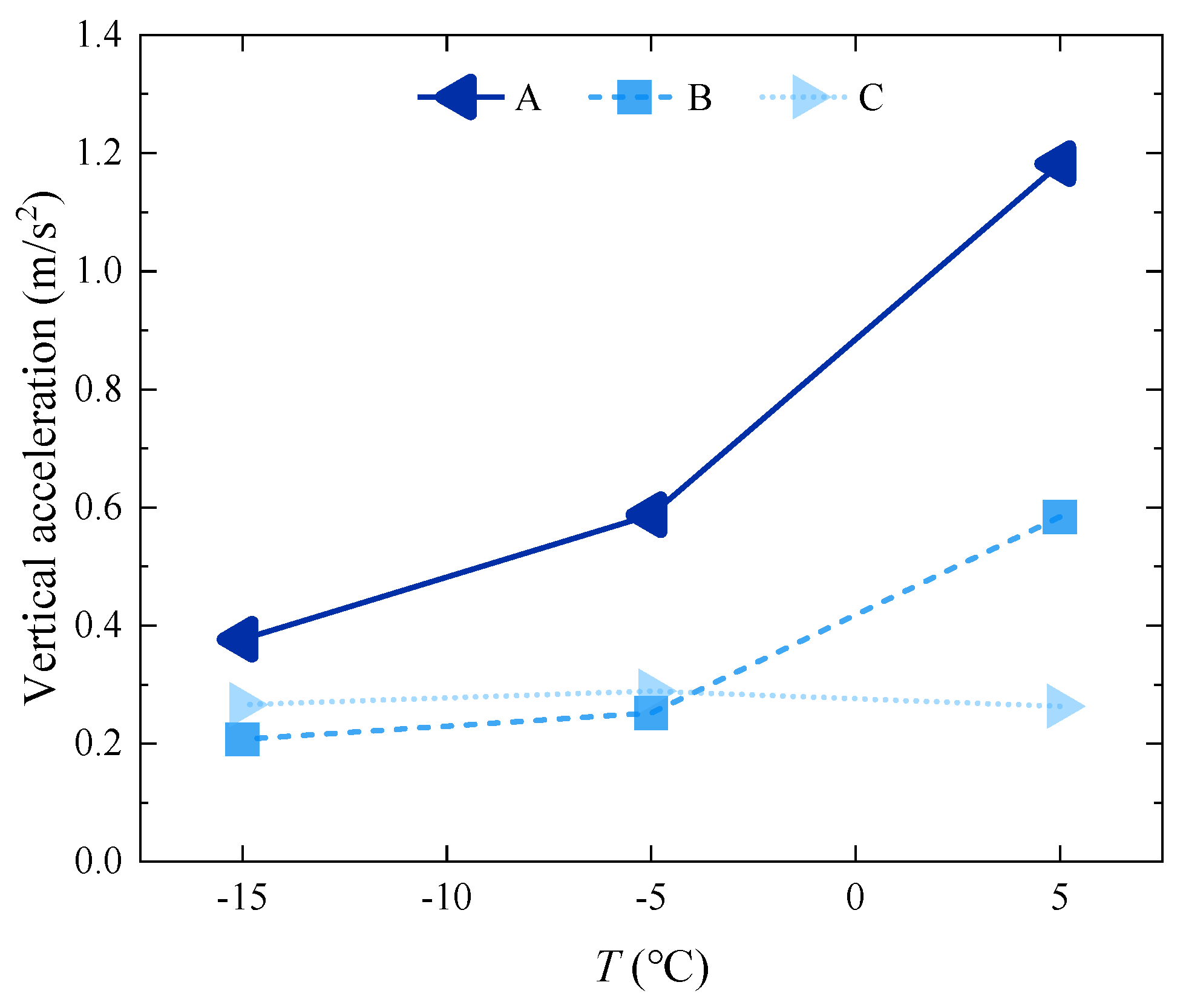
Figure 9 depicts the vertical acceleration–time curve for point A. At a train speed of 180 km/h, the vertical acceleration at point A exhibits fluctuations ranging from −0.70 m/s2 to 0.94 m/s2. As the train speed increases to 200 km/h, the vertical acceleration variability is observed between −0.63 m/s2 and 0.72 m/s2. At the speed of 220 km/h, the vertical acceleration varies within the range of −0.64 m/s2 to 1.18 m/s2. The comparison with vertical stress–time history curves of point A reveals that the vertical acceleration at each point on the subgrade surface aligns with the fluctuation trend of vertical stress. Figure 10 presents the variation curve of the maximum vertical acceleration in relation to train speed, indicating a positive correlation between the maximum vertical acceleration at each point and the speed of the train.

4. Dynamic Response of Subgrade Under Different Temperatures

4.1. Vertical Displacement

Figure 11 shows the vertical displacement–time course curves of points A, B, and C under different soil temperature conditions. When the soil temperature is 5 °C, the maximum vertical displacement of point A is 0.261 mm. When the soil temperature decreases to −15 °C, the maximum vertical displacement of point A decreases to 0.201 mm, the maximum vertical displacement of point B decreases from 0.232 mm to 0.193 mm, and the maximum vertical displacement of point C decreases from 0.196 mm to 0.176 mm. It can be seen that the maximum vertical displacement of all points decreases with the decrease in soil temperature from 5 °C to −15 °C. It shows that the maximum vertical displacements of all points decrease with the soil temperature decreasing from 5 °C to −15 °C. The train load is farther away, and the degree of decrease of the displacement of the points is smaller.

4.2. Vertical Stress

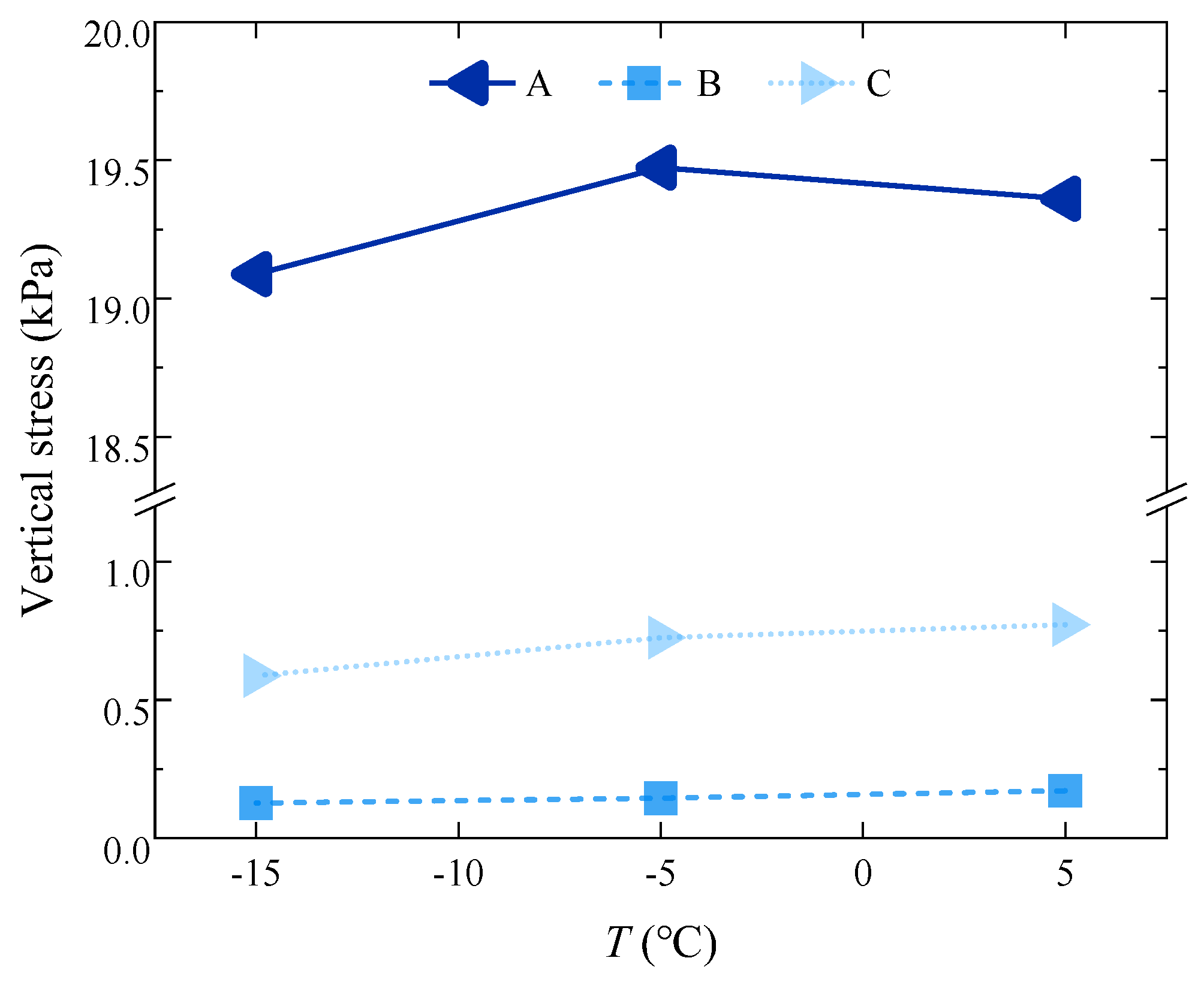
Figure 12 shows the maximum vertical stress of points with soil temperature. When the soil temperature is −15 °C, the maximum vertical stresses of points A, B, and C are 19.09 kPa, 0.13 kPa, and 0.59 kPa, respectively. When the soil temperature increases to −5 °C, the maximum vertical stresses of points A, B, and C are 19.47 kPa, 0.14 kPa, and 0.73 kPa, respectively. When the soil temperature increases to 5 °C, the maximum vertical stresses of points A, B, and C are 19.36 kPa, 0.17 kPa, and 0.77 kPa, respectively. The maximum vertical stresses of point A increase by 2.02% and 1.43% when the soil temperature rises from −15 °C to 5 °C. The vertical stresses of points B and C increase with increasing temperature, and the trend of increase is similar.
When the soil is elevated from negative to positive temperature, the water in the soil undergoes a phase change, i.e., ice melts into water, and the water has very different physical properties in different states, leading to variations in the mechanical properties of the soil. The intrinsic relationship used in this paper for the soil in the process of warming up the soil, the parameters of the soil such as the modulus of elasticity and cohesion will be reduced, the extent of the reduction is positively correlated to the soil water content.

4.3. Vertical Acceleration

Figure 13 shows the maximum vertical acceleration of points with soil temperature. The maximum vertical acceleration of points A, B, and C is 0.38 m/s2 and 0.27 m/s2, respectively. When the soil temperature is −15 °C, the maximum vertical accelerations of points A, B, and C are 0.38 m/s2, 0.21 m/s2, and 0.27 m/s2. When the soil temperature increases to −5 °C, the maximum vertical accelerations of points A, B, and C are 0.59 m/s2, 0.25 m/s2, and 0.29 m/s2. When the soil temperature increases to 5 °C, the maximum vertical accelerations of point A, point B, and point C are 1.18 m/s2, 0.58 m/s2, and 0.26 m/s2. Figure 13 shows the maximum vertical acceleration of points with soil temperature. There is no loading on the upper part of point B, and there is a track structure on the upper part of point C. When a train loading is applied on it, point B will produce more significant stress and acceleration feedback.

5. Discussion

Our research is centered around a numerical simulation of railway subgrades, which, although powerful, is based on certain assumptions. One major limitation is the simplification of complex real-world geological conditions. In the model, soil heterogeneity and the presence of hidden geological structures are not fully considered. These simplifications may lead to deviations between the simulation results and the actual situation. For example, in real-world railway subgrades, the varying properties of soil layers and the presence of faults or underground cavities can significantly affect the dynamic response of the subgrade under train loads and freeze–thaw cycles. However, our model overlooks these factors, potentially leading to less accurate predictions. Another shortcoming is the lack of comprehensive incorporation of long-term environmental factors. Climate change, for instance, can influence the frequency and intensity of freeze–thaw cycles over time. Rising temperatures or changing precipitation patterns can alter the freeze–thaw process, but our current model does not account for these long-term changes. This omission may limit the model’s ability to predict the long-term performance of railway subgrades accurately.
To address the limitations and further advance the research in this area, several future research directions are proposed. Firstly, more in-depth studies on the complex interaction mechanisms between train loads and freeze–thaw cycles under different geological conditions are essential. This could involve collecting a large amount of field-monitoring data. By comparing the simulation results with real-world measurements, we can validate and improve the existing numerical models. For example, setting up monitoring stations along railways in different geological regions to record parameters such as subgrade displacement, stress, and temperature during train operations and freeze–thaw cycles. Another, exploring the application of advanced monitoring technologies, such as distributed optical fiber sensing, holds great potential. This technology can provide real-time monitoring of the state of railway subgrades, detecting early signs of damage or deformation. By integrating such advanced monitoring technologies with numerical simulations, we can achieve a more comprehensive understanding of the performance of railway subgrades.

6. Conclusions

In this paper, the dynamic response of subgrade is studied by the three-dimensional finite element model, the dynamic response (vertical displacement, stress, and acceleration) of subgrade under the combined action of different train speeds (180, 200, and 220 km/h) and different soil temperatures (5, −5, and −15 °C) is analyzed, the following conclusions are drawn:
(1) Under the action of train load, the vertical dynamic displacement of subgrade decreases with the increase in train speed. When the train speed increases from 180 km/h to 220 km/h, the vertical dynamic displacement of the point decreases due to the shortening of load action time. The maximum vertical stress of the subgrade increases with the increase in train speed. When the train speed increases from 180 km/h to 220 km/h, the maximum vertical stress of the subgrade increases by 1.1% and 3.1%, respectively. The maximum acceleration of subgrade increases with the increase in train speed, and the increase amplitude decreases with distance.
(2) When the soil temperature decreases from 5 °C to −15 °C, the maximum vertical displacements of points decrease, the train load is farther away, and the degree of displacement reduction of points is smaller. When the soil temperature is raised from −15 °C to 5 °C, the maximum vertical stress of point A increases by 2.02% and 1.43%, respectively. The vertical stresses of points B and C increase with the increase in temperature, and the trend of increase is similar.

Author Contributions

L.G.: Methodology; writing—original draft preparation; project administration; L.L.: Writing—original draft preparation; validation; data curation; writing—review and editing; D.L.: Data curation; writing—review and editing; supervision; B.W.: Writing—review and editing; supervision; L.W.H.N.: Writing—review and editing; supervision. All authors have read and agreed to the published version of the manuscript.

Funding

This research is funded by the National Natural Science Foundation of China (Grant No. 42377184, 52027812), Qing Lan Project of Jiangsu, and the Fundamental Research Funds for the Central Universities of Hohai University (No. B220370222).

Institutional Review Board Statement

Not applicable.

Informed Consent Statement

Not applicable.

Data Availability Statement

The original contributions presented in the study are included in the article, further inquiries can be directed to the corresponding author.

Conflicts of Interest

The authors declare no conflict of interest.

Notation

SymbolsMeaning
[M]Element mass matrix
[C]Element damping matrix
[K]Element stiffness matrix
{ u ¨ } Element acceleration
{ u } ˙ Element velocity
{ u } Element displacement vector
{ P } Element nodal loads
α, βRayleigh damping parameters
ξDamping ratio
L e Maximum mesh size
λ s Shear wavelength
ρDensity
EElastic modulus
μPoisson’s ratio
cCohesive force
φAngle of internal friction
WMoisture content
λThermal conductivity
CSoil specific heat capacity
LCokeper kilogram
kPermeability coefficient

References

  1. Chen, Y.M.; Bian, X.C. Advances in high speed railway roadbed dynamics research. China Civ. Eng. J. 2018, 51, 1–13. (In Chinese) [Google Scholar]
  2. Ferreira, G.; Montenegro, P.; Andersson, A.; Henriques, A.A.; Karoumi, R.; Calçada, R. Critical analysis of the current Eurocode deck acceleration limit for evaluating running safety in ballastless railway bridges. Eng. Struct. 2024, 312, 118127. [Google Scholar] [CrossRef]
  3. Cai, Y.Q.; Guo, L.; Jardine, R.J.; Wang, J. Stress-strain Response of Soft Clay to Traffic Loading. Géotechnique 2017, 67, 446–451. [Google Scholar] [CrossRef]
  4. Li, T.; Su, Q.; Kaewunruen, S. Influences of piles on the ground vibration considering the train-track-soil dynamic interactions. Comput. Geotech. 2020, 120, 103455. [Google Scholar] [CrossRef]
  5. Ngamkhanong, C.; Feng, B.; Kaewunruen, S. Evaluation of lateral stability of railway tracks due to ballast degradation. Constr. Build. Mater. 2021, 278, 122342. [Google Scholar] [CrossRef]
  6. Ngamkhanong, C.; Ming, Y.Q.; Li, T.; Kaewunruen, S. Dynamic train-track interactions over railway track stiffness transition zones using baseplate fastening systems. Eng. Fail. Anal. 2020, 118, 104866. [Google Scholar] [CrossRef]
  7. Ngamkhanong, C.; Kaewunruen, S. Effects of under sleeper pads on dynamic responses of railway prestressed concrete sleepers subjected to high intensity impact loads. Eng. Struct. 2020, 214, 110604. [Google Scholar] [CrossRef]
  8. Bai, M.; Yang, L.; Wei, Y.; Liu, H. Study on Dynamic Response Characteristics and Monitoring Indicators of High-Speed Railway Subgrade in Karst Areas. Appl. Sci. 2024, 14, 8715. [Google Scholar] [CrossRef]
  9. Sun, L.; Zhao, J.; Qin, W.; Hou, D.; Wang, X. Dynamic Response Analysis of Soil around Curve Section Tunnel under Train Vibration Load. Appl. Sci. 2023, 13, 8013. [Google Scholar] [CrossRef]
  10. Liu, W.Z.; Huang, X.J.; Sun, X.; Feng, X.M.; Gao, F.L. Field Tests on Dynamic Response and Characteristics of Lateritic Soil Subgrade under the Combined Action of Wetting and Cyclic Loading. Soil Dyn. Earthq. Eng. 2024, 181, 108688. [Google Scholar] [CrossRef]
  11. Li, X.; Bai, M.Z.; Wei, Z.J.; Li, P.X.; Shi, H.; Zhang, Y. Dynamic Response and Stability Analysis of High-Speed Railway Subgrade in Karst Areas. IEEE Access 2021, 9, 129188–129206. [Google Scholar]
  12. Deng, Z.X.; Xie, K.; Wang, W.B.; Su, Q.; Xu, L.R.; Li, J.S.; Liu, B. A New Method of Rapid-Intelligent Assessment for the Dynamic Service Performance in High-Speed Railway Subgrade. Int. J. Rail Transp. 2024, 1–28. [Google Scholar] [CrossRef]
  13. Wang, X.P.; Li, G.F.; Mu, X.L.; Wang, H.B.; Jin, Z.Y.; Ding, W.C. Dynamic response analysis of the low-speed maglev vehicle-orbit coupling system in the small radius curve. Vib. Impact 2022, 41, 81–89+105. [Google Scholar]
  14. Zhang, X.W.; Wang, C. Analysis of surrounding rock stability and surface settlement in weak layered foundation tunnel. J. Undergr. Space Eng. 2022, 18, 396–403+411. [Google Scholar]
  15. Bian, X.C.; Cheng, C.; Chen, Y.M. Numerical analysis of soil vibrations due to trains moving at critical speed. Acta Geotech. 2016, 11, 281–294. [Google Scholar] [CrossRef]
  16. Hu, J.; Tang, Y.; Zhang, J.; Deng, T. Study on the dynamic response of saturated soft ground under high speed train load. Rock Soil Mech. 2021, 42, 3169–3181. (In Chinese) [Google Scholar]
  17. Ba, Z.; Wu, M.; Liang, J. 3D dynamic responses of a multi-layered transversely isotropic saturated half-space under concentrated forces and pore pressure. Appl. Math. Model. 2020, 80, 859–878. [Google Scholar] [CrossRef]
  18. Ai, Z.Y.; Ji, W.T.; Li, Y.; Li, H.T. Dynamic response of saturated multilayered soils with elastic superstrata subjected to vertical impulsive loadings. Appl. Math. Model. 2021, 91, 875–891. [Google Scholar] [CrossRef]
  19. Chen, J.; Zhou, Y. Dynamic responses of subgrade under double-line high-speed railway. Soil Dyn. Earthq. Eng. 2018, 110, 1–12. [Google Scholar] [CrossRef]
  20. Zhou, Y.; Chen, J. Dynamic vertical displacement for ballastless track-subgrade system under high-speed train moving loads. Soil Dyn. Earthq. Eng. 2020, 129, 105911. [Google Scholar]
  21. Moretti, L.; Loprencipe, G.; Di Mascio, P. Competition in Rail Transport: Methodology to Evaluate Economic Impact of New Trains on Track. 2014. Available online: https://www.researchgate.net/publication/279258790 (accessed on 10 December 2024).
  22. Tan, S.; Ke, X.; Pang, Z.; Mao, J. Dynamic Response Prediction of Railway Bridges Considering Train Load Duration Using the Deep LSTM Network. Appl. Sci. 2024, 14, 9161. [Google Scholar] [CrossRef]
  23. Nasrollahi, K.; Nielsen, J.C.O.; Aggestam, E.; Dijkstra, J.; Ekh, M. Prediction of long-term differential track settlement in a transition zone using an iterative approach. Eng. Struct. 2023, 283, 115830. [Google Scholar] [CrossRef]
  24. Guo, H.Q.; Wang, L.Y.; Wang, Y.J.; Chen, F.; Wang, Z.J.; Zhang, Q.L. Status and analysis of permafrost subgrade in Qinghai-Tibet Railway. Railw. Eng. 2023, 63, 116–121. [Google Scholar]
  25. Shi, K.P.; Wang, S.R.; Chen, Y.B.; Yang, W.F.; Li, C.L. Cumulative Deformation Analysis of Foundation of Mined-Out Areas under Dynamic Loading-a Case Study of Taijiao High-Speed Railway. Teh. Vjesn. 2023, 30, 614–622. [Google Scholar]
  26. Zhou, Z.W.; LI, G.Y.; Shen, M.D. Dynamic responses of frozen subgrade soil exposed to freeze-thaw cycles. Soil Dyn. Earthq. Eng. 2022, 152, 107010. [Google Scholar] [CrossRef]
  27. Tang, C.X.; Zhu, Z.Y.; Ma, Y. Numerical simulation for vibration-induced settlement and permanent deformation accumulation in permafrost subgrades of the Qinghai-Tibet Railway. Comput. Geotech. 2024, 167, 106047. [Google Scholar] [CrossRef]
  28. Tang, C.X.; Zhu, Z.Y.; Luo, F. Deformation behaviour and influence mechanism of thaw consolidation of embankments on the Qinghai-Tibet Railway in permafrost regions. Transp. Geotech. 2021, 28, 100513. [Google Scholar] [CrossRef]
  29. Zhu, Z.Y.; Tang, C.X.; Ma, Y.; Luo, F.; Luo, B.; Zou, Z.; Guo, Z.; Jang, X. Train-induced vibration and subsidence prediction of the permafrost subgrade along the Qinghai-Tibet Railway. Soil Dyn. Earthq. Eng. 2022, 162, 107433. [Google Scholar] [CrossRef]
  30. Tai, B.; Yue, Z.; Qi, S. Experimental and numerical investigation on thermal-moisture-mechanical behaviors on a new anti-frost cutting bed of high-speed railway in deep seasonally frozen ground regions under extreme climate. Comput. Geotech. 2021, 136, 104251. [Google Scholar] [CrossRef]
  31. Tai, B.W.; Wu, Q.B.; Zhang, Z.Q.; Xu, X.M. Cooling performance and deformation behavior of crushed-rock embankments on the Qinghai-Tibet Railway in permafrost regions. Eng. Geol. 2020, 265, 105453. [Google Scholar] [CrossRef]
  32. Zhang, S.Z.; Niu, F.J.; Wang, S.; Wang, J.C.; Sun, Y.N. Necessity of cooling methods for transportation infrastructure construction in permafrost regions of Qinghai-Tibet Plateau. Bull. Eng. Geol. Environ. 2021, 80, 6705–6723. [Google Scholar] [CrossRef]
  33. Wang, K.Y.; Zhuang, Y. Characterizing the permanent deformation Response-Behavior of subgrade material under cyclic loading based on the shakedown theory. Construct. Build. Mater. 2021, 311, 125325. [Google Scholar] [CrossRef]
  34. Wang, Z.Y.; Ling, X.Z.; Zhao, Y.Y. Numerical simulation of vibrational response characteristics of railway subgrades with insulation boards. Sci. Cold Arid. Reg. 2022, 14, 23–31. [Google Scholar]
  35. Xu, X.Z.; Wang, J.C.; Zhang, L.X. Physics of Frozen Soils; Science Press: Beijing, China, 2010; pp. 40–120. (In Chinese) [Google Scholar]
  36. TB 10001-2016; Code for Design on Subgrade of China’s High-Speed Railway. China Railway Publishing House: Beijing, China, 2016.
  37. Olivier, B.; Connolly, D.P. The effect of embankment on high speed rail ground vibrations. Int. J. Real. Ther. 2016, 4, 229–246. [Google Scholar] [CrossRef]
Figure 1. Train axle load distribution (unit: m).
Figure 1. Train axle load distribution (unit: m).
Applsci 15 01735 g001
Figure 2. Three-dimensional ballastless track–subgrade model.
Figure 2. Three-dimensional ballastless track–subgrade model.
Applsci 15 01735 g002
Figure 3. Distribution of observation points A-B-C (unit: m).
Figure 3. Distribution of observation points A-B-C (unit: m).
Applsci 15 01735 g003
Figure 4. Vertical displacement of three models [15,20].
Figure 4. Vertical displacement of three models [15,20].
Applsci 15 01735 g004
Figure 5. Vertical displacement–time history curves of points.
Figure 5. Vertical displacement–time history curves of points.
Applsci 15 01735 g005
Figure 6. Vertical displacement of points with train speed (A-B-C are observation points).
Figure 6. Vertical displacement of points with train speed (A-B-C are observation points).
Applsci 15 01735 g006
Figure 7. Vertical stress–time history curves of point A.
Figure 7. Vertical stress–time history curves of point A.
Applsci 15 01735 g007
Figure 8. Variation of the maximum vertical stress with train speed.
Figure 8. Variation of the maximum vertical stress with train speed.
Applsci 15 01735 g008
Figure 9. Vertical acceleration–time history curves of point A.
Figure 9. Vertical acceleration–time history curves of point A.
Applsci 15 01735 g009
Figure 10. Variation of the maximum vertical acceleration of points with train speed.
Figure 10. Variation of the maximum vertical acceleration of points with train speed.
Applsci 15 01735 g010
Figure 11. Variation of vertical displacement of points with different soil temperatures (A-B-C are observation points).
Figure 11. Variation of vertical displacement of points with different soil temperatures (A-B-C are observation points).
Applsci 15 01735 g011
Figure 12. Maximum vertical stress of points with soil temperature.
Figure 12. Maximum vertical stress of points with soil temperature.
Applsci 15 01735 g012
Figure 13. Maximum vertical acceleration of points with soil temperature.
Figure 13. Maximum vertical acceleration of points with soil temperature.
Applsci 15 01735 g013
Table 1. Simulation parameters of the ballastless track–subgrade structure.
Table 1. Simulation parameters of the ballastless track–subgrade structure.
Materialρ/(kg·m−3)E/MPaμc/MPaφ/◦
Rail7800210,0000.3//
Slab300035,0000.16//
CAM layer2000920.4//
Supporting layer270030,0000.16//
Surface layer of subgrade1950210.24128
Subgrade fill1900210.24128
Active layer1800340.45330
Ice-rich frozen soil160020.4712
Ice-poor frozen soil18005000.2532,00014
Table 2. Mechanical parameters of permafrost subgrade materials.
Table 2. Mechanical parameters of permafrost subgrade materials.
MaterialParametersTemperature/°C
50−5−15
Surface layer of subgrade
/subgrade fill
E/MPa21212529.6
μ0.240.240.130.13
c/MPa0.0010.0010.50.75
φ/ 28284040
Active layerE/MPa343450.867
μ0.450.450.130.13
c/MPa0.0030.0030.60.6
φ/30303434
Ice-rich frozen soilE/MPa22176520
μ0.40.40.180.15
c/MPa0.0070.0071.31.3
φ/12122525
Ice-poor frozen soilE/MPa500500730835
μ0.250.250.250.25
c/MPa32323838
φ/14142828
Table 3. Thermophysical parameters and permeability coefficients of permafrost subgrade materials.
Table 3. Thermophysical parameters and permeability coefficients of permafrost subgrade materials.
MaterialW/%λ/(W·m−1·°C−1)C/(J·kg−1·°C−1)L/(J·kg−1)k/(m·s−1)
λfλuCfCu Thawed StateFrozen State
Surface layer of subgrade61.41.15706.6861.710,461.51.0 × 10−71.0 × 10−19
Subgrade fill61.41.15706.6861.710,736.81.0 × 10−71.0 × 10−19
Active layer152.4141.837851.81099.537,687.51.3 × 10−71.3 × 10−19
Ice-rich frozen soil302.121.421222160852,5275.0 × 10−95.0 × 10−21
Ice-poor frozen soil151.861.6981.8127220,944.41.6 × 10−91.6 × 10−21
Table 4. Simulation cases.
Table 4. Simulation cases.
Casev (km/h)T (°C)Casev (km/h)T (°C)Casev (km/h)T (°C)
118054200572205
2180−55200−58220−5
3180−156200−159220−15
Disclaimer/Publisher’s Note: The statements, opinions and data contained in all publications are solely those of the individual author(s) and contributor(s) and not of MDPI and/or the editor(s). MDPI and/or the editor(s) disclaim responsibility for any injury to people or property resulting from any ideas, methods, instructions or products referred to in the content.

Share and Cite

MDPI and ACS Style

Gao, L.; Luo, L.; Lu, D.; Wei, B.; Hawng Nan, L.W. Dynamic Response of Railway Subgrade Under Train Load and Freeze–Thaw Action. Appl. Sci. 2025, 15, 1735. https://doi.org/10.3390/app15041735

AMA Style

Gao L, Luo L, Lu D, Wei B, Hawng Nan LW. Dynamic Response of Railway Subgrade Under Train Load and Freeze–Thaw Action. Applied Sciences. 2025; 15(4):1735. https://doi.org/10.3390/app15041735

Chicago/Turabian Style

Gao, Lei, Linzeng Luo, Ding Lu, Bingbing Wei, and Lau Wa Hawng Nan. 2025. "Dynamic Response of Railway Subgrade Under Train Load and Freeze–Thaw Action" Applied Sciences 15, no. 4: 1735. https://doi.org/10.3390/app15041735

APA Style

Gao, L., Luo, L., Lu, D., Wei, B., & Hawng Nan, L. W. (2025). Dynamic Response of Railway Subgrade Under Train Load and Freeze–Thaw Action. Applied Sciences, 15(4), 1735. https://doi.org/10.3390/app15041735

Note that from the first issue of 2016, this journal uses article numbers instead of page numbers. See further details here.

Article Metrics

Back to TopTop