LSTM Attention-Driven Similarity Learning for Effective Bug Localization
Abstract
1. Introduction
- A novel buggy file recommendation system that integrates LSTM-Attention and top-K code similarity learning, validated against existing methods.
- A performance comparison with the DNNLoc baseline shows superior bug localization accuracy and efficiency.
- Practical implications for improving software quality by automating the bug localization process, reducing developer effort, and minimizing debugging costs.
2. Related Work
3. Background Knowledge
“I had a workspace with a maximized editor… installed EGit and restarted. After closing the resulting Welcome screen, I ended up with all the stacks restored to the presentation, but the shared area was still ‘maximized.’ Closing the Welcome should not affect the state of the regular presentation at all…”

4. Our Approach
4.1. Preprocessing
4.2. Top-K Code Similarity
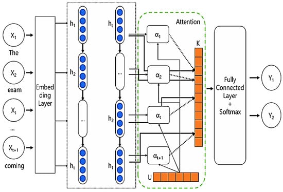
4.3. LSTM-Attention Algorithm
5. Experimental Result
- hidden_units = 128: This value determines the number of units in the LSTM hidden layer. A setting of 128 strikes a balance between model complexity and computational efficiency, enabling the network to effectively capture sequential dependencies in these input data without overfitting.
- num_layers = 1: Using a single LSTM layer simplifies the model while maintaining sufficient capacity to process the input sequences. Adding more layers could increase computational overhead without significant performance gains, given the nature of the dataset.
- max_sequence_length = 100: This parameter limits the length of input sequences processed by the model. It was set to 100 to focus on the most relevant parts of the input while reducing noise and ensuring manageable computational costs.
- input_length = 300: This value defines the maximum length of the tokenized bug report and source code sequences used during training. A length of 300 allows for the inclusion of sufficient context from both the bug report and source code without introducing unnecessary complexity.
- validation_split = 0.01: This parameter reserves 1% of the dataset for validation purposes. Given the size of the dataset, this split was chosen to provide a representative validation set while preserving the majority of these data for training.
- learning_rate = 5 × 10−2: The learning rate was set to 0.05 to enable stable convergence of the model during training. This value ensures that the updates to the model weights are neither too large (which could lead to overshooting the optimal point) nor too small (which could slow down convergence).
5.1. Our Dataset
5.2. Evaluation Metrics
5.3. Baseline
5.4. Research Questions
- RQ1: Does the proposed bug localization method perform adequately?
- RQ2: Can the proposed method be reliably applied to bug localization tasks?
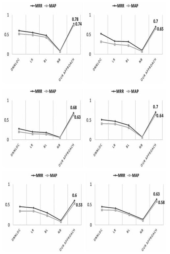
5.5. Result
5.5.1. Result of Our Approach
5.5.2. Comparison Results
6. Discussion
6.1. Experiment Result
6.2. Threats and Validity
7. Conclusions
Author Contributions
Funding
Institutional Review Board Statement
Informed Consent Statement
Data Availability Statement
Acknowledgments
Conflicts of Interest
References
- Huo, X.; Li, M. Enhancing the Unified Features to Locate Buggy Files by Exploiting the Sequential Nature of Source Code. In Proceedings of the International Joint Conference on Artificial Intelligence (IJCAI), Buenos Aires, Argentina, 25–31 July 2015; pp. 1909–1915. [Google Scholar]
- Lam, A.N.; Nguyen, A.T.; Nguyen, H.A.; Nguyen, T.N. Bug Localization with Combination of Deep Learning and Information Retrieval. In Proceedings of the IEEE/ACM 25th International Conference on Program Comprehension (ICPC), Buenos Aires, Argentina, 22–23 May 2017; pp. 218–229. [Google Scholar]
- Ye, X.; Bunescu, R.; Liu, C. Learning to Rank Relevant Files for Bug Reports Using Domain Knowledge. In Proceedings of the 22nd ACM SIGSOFT International Symposium on Foundations of Software Engineering (FSE), Hong Kong, China, 16–21 November 2014; pp. 689–699. [Google Scholar]
- Zhou, J.; Zhang, H.; Lo, D. Where Should the Bugs Be Fixed? More Accurate Information Retrieval-Based Bug Localization Based on Bug Reports. In Proceedings of the 34th International Conference on Software Engineering (ICSE), Zurich, Switzerland, 2–9 June 2012; pp. 14–24. [Google Scholar]
- Youm, K.C.; Ahn, J.; Lee, E. Improved Bug Localization Based on Code Change Histories and Bug Reports. Inf. Softw. Technol. 2017, 82, 177–192. [Google Scholar] [CrossRef]
- Lam, A.N.; Nguyen, A.T.; Nguyen, H.A.; Nguyen, T.N. Combining Deep Learning with Information Retrieval to Localize Buggy Files for Bug Reports. In Proceedings of the 30th IEEE/ACM International Conference on Automated Software Engineering (ASE), Lincoln, NE, USA, 9–13 November 2015; pp. 476–481. [Google Scholar]
- Dao, T.; Zhang, L.; Meng, N. How Does Execution Information Help with Information-Retrieval Based Bug Localization? In Proceedings of the IEEE/ACM 25th International Conference on Program Comprehension (ICPC), Buenos Aires, Argentina, 22–23 May 2017; pp. 241–250. [Google Scholar]
- Nie, L.; Jiang, H.; Ren, Z.; Sun, Z.; Li, X. Query Expansion Based on Crowd Knowledge for Code Search. IEEE Trans. Serv. Comput. 2016, 9, 771–783. [Google Scholar] [CrossRef]
- Lemos, O.A.L.; de Paula, A.C.; Zanichelli, F.C.; Lopes, C.V. Thesaurus-Based Automatic Query Expansion for Interface-Driven Code Search. In Proceedings of the 11th Working Conference on Mining Software Repositories (MSR), Hyderabad, India, 31 May—1 June 2014; pp. 212–221. [Google Scholar]
- Lu, M.; Sun, X.; Wang, S.; Lo, D.; Duan, Y. Query Expansion via WordNet for Effective Code Search. In Proceedings of the IEEE 22nd International Conference on Software Analysis, Evolution and Reengineering (SANER), Montreal, QC, Canada, 2–6 March 2015; pp. 545–549. [Google Scholar]
- Rahman, M.M.; Roy, C. Effective Reformulation of Query for Code Search Using Crowdsourced Knowledge and Extra-Large Data Analytics. In Proceedings of the IEEE International Conference on Software Maintenance and Evolution (ICSME), Madrid, Spain, 23–29 September 2018; pp. 473–484. [Google Scholar]
- Kim, M.; Kim, Y.; Lee, E. A Novel Automatic Query Expansion with Word Embedding for IR-Based Bug Localization. In Proceedings of the IEEE 32nd International Symposium on Software Reliability Engineering (ISSRE), Wuhan, China, 25–28 October 2021; pp. 276–287. [Google Scholar]
- Chaparro, O.; Florez, J.M.; Marcus, A. Using Observed Behavior to Reformulate Queries During Text Retrieval-Based Bug Localization. In Proceedings of the IEEE International Conference on Software Maintenance and Evolution (ICSME), Shanghai, China, 17–22 September 2017; pp. 376–387. [Google Scholar]
- Rath, M.; Lo, D.; Mäder, P. Analyzing Requirements and Traceability Information to Improve Bug Localization. In Proceedings of the 15th International Conference on Mining Software Repositories (MSR), Gothenburg, Sweden, 27 May–3 June 2018; pp. 442–453. [Google Scholar]
- Sachdev, S.; Li, H.; Luan, S.; Kim, S.; Sen, K.; Chandra, S. Retrieval on Source Code: A Neural Code Search. In Proceedings of the 2nd ACM SIGPLAN International Workshop on Machine Learning and Programming Languages, Philadelphia, PA, USA, 18–22 June 2018; pp. 31–41. [Google Scholar]
- Li, Z.; Jiang, Z.; Chen, X.; Cao, K.; Gu, Q. LaProb: A Label Propagation-Based Software Bug Localization Method. Inf. Softw. Technol. 2021, 130, 106410. [Google Scholar] [CrossRef]
- Huang, X.; Xiang, C.; Li, H.; He, P. SBugLocater: Bug Localization Based on Deep Matching and Information Retrieval. Math. Probl. Eng. 2022, 2022, 3987981. [Google Scholar] [CrossRef]
- Haiduc, S.; Bavota, G.; Marcus, A.; Oliveto, R.; De Lucia, A.; Menzies, T. Automatic Query Reformulations for Text Retrieval in Software Engineering. In Proceedings of the 35th International Conference on Software Engineering (ICSE), San Francisco, CA, USA, 18–26 May 2013; pp. 842–851. [Google Scholar]
- Anh, B.T.M.; Luyen, N.V. An Imbalanced Deep Learning Model for Bug Localization. In Proceedings of the 28th Asia-Pacific Software Engineering Conference Workshops (APSEC Workshops), Taipei, Taiwan, 6–9 December 2021; pp. 32–40. [Google Scholar]
- Zhang, W.; Li, Z.; Wang, Q.; Li, J. FineLocator: A Novel Approach to Method-Level Fine-Grained Bug Localization by Query Expansion. Inf. Softw. Technol. 2019, 110, 121–135. [Google Scholar] [CrossRef]
- Kim, M.; Lee, E. A Novel Approach to Automatic Query Reformulation for IR-Based Bug Localization. In Proceedings of the 34th ACM/SIGAPP Symposium on Applied Computing, New York, NY, USA, 8–12 April 2019; pp. 1752–1759. [Google Scholar]
- Le, T.D.B.; Lo, D.; Goues, C.L.; Grunske, L. A Learning-to-Rank Based Fault Localization Approach Using Likely Invariants. In Proceedings of the 25th International Symposium on Software Testing and Analysis (ISSTA), Saarbrücken, Germany, 18–20 July 2016; pp. 177–188. [Google Scholar]
- Wang, Y.; Yao, Y.; Tong, H.; Huo, X.; Li, M.; Xu, F.; Lu, J. Enhancing Supervised Bug Localization with Metadata and Stack-Trace. Knowl. Inf. Syst. 2020, 62, 2461–2484. [Google Scholar] [CrossRef]
- Koyuncu, A.; Bissyandé, T.F.; Kim, D.; Liu, K.; Klein, J.; Monperrus, M.; Le Traon, Y. D&C: A Divide-and-Conquer Approach to IR-Based Bug Localization. arXiv 2019, arXiv:1902.02703. [Google Scholar]
- Yuan, W.; Qi, B.; Sun, H.; Liu, X. DependLoc: A Dependency-Based Framework for Bug Localization. In Proceedings of the 27th Asia-Pacific Software Engineering Conference (APSEC), Singapore, 1–4 December 2020; pp. 61–70. [Google Scholar]
- Qi, B.; Sun, H.; Yuan, W.; Zhang, H.; Meng, X. DreamLoc: A Deep Relevance Matching-Based Framework for Bug Localization. IEEE Trans. Reliab. 2021, 71, 235–249. [Google Scholar] [CrossRef]
- Kim, D.; Tao, Y.; Kim, S.; Zeller, A. Where Should We Fix This Bug? A Two-Phase Recommendation Model. IEEE Trans. Softw. Eng. 2013, 39, 1597–1610. [Google Scholar]
- Moser, R.; Pedrycz, W.; Succi, G. A Comparative Analysis of the Efficiency of Change Metrics and Static Code Attributes for Defect Prediction. In Proceedings of the 30th International Conference on Software Engineering (ICSE), Leipzig, Germany, 10–18 May 2008; pp. 181–190. [Google Scholar]
- Rahman, M.M.; Roy, C.K. Improving IR-Based Bug Localization with Context-Aware Query Reformulation. In Proceedings of the 2018 26th ACM Joint Meeting on European Software Engineering Conference and Symposium on the Foundations of Software Engineering (ESEC/FSE), Lake Buena Vista, FL, USA, 4–9 November 2018; pp. 621–632. [Google Scholar]
- Cheng, S.; Yan, X.; Khan, A.A. A Similarity Integration Method Based on Information Retrieval and Word Embedding in Bug Localization. In Proceedings of the IEEE 20th International Conference on Software Quality, Reliability, and Security (QRS), Macau, China, 11–14 December 2020; pp. 180–187. [Google Scholar]
- Wang, S.; Liu, T.; Tan, L. Automatically Learning Semantic Features for Defect Prediction. In Proceedings of the IEEE/ACM 38th International Conference on Software Engineering (ICSE), Austin, TX, USA, 14–22 May 2016; pp. 297–308. [Google Scholar]
- Choetkiertikul, M.; Dam, H.K.; Tran, T.; Pham, T.; Ghose, A.; Menzies, T. A Deep Learning Model for Estimating Story Points. IEEE Trans. Softw. Eng. 2018, 45, 637–656. [Google Scholar] [CrossRef]
- Xiao, Y.; Keung, J.; Bennin, K.E.; Mi, Q. Improving Bug Localization with Word Embedding and Enhanced Convolutional Neural Networks. Inf. Softw. Technol. 2019, 105, 17–29. [Google Scholar] [CrossRef]
- Huo, X.; Thung, F.; Li, M.; Lo, D.; Shi, S.-T. Deep Transfer Bug Localization. IEEE Trans. Softw. Eng. 2019, 47, 1368–1380. [Google Scholar] [CrossRef]
- Hoang, T.; Oentaryo, R.J.; Le, T.D.B.; Lo, D. Network-Clustered Multi-Modal Bug Localization. IEEE Trans. Softw. Eng. 2018, 45, 1002–1023. [Google Scholar] [CrossRef]
- Yang, Z.; Shi, J.; Wang, S.; Lo, D. IncBL: Incremental Bug Localization. In Proceedings of the 36th IEEE/ACM International Conference on Automated Software Engineering (ASE), Melbourne, Australia, 15–19 November 2021; pp. 1223–1226. [Google Scholar]
- Chen, A.R.; Chen, T.-H.; Wang, S. PathIdea: Improving Information Retrieval-Based Bug Localization by Reconstructing Execution Paths Using Logs. IEEE Trans. Softw. Eng. 2021, 48, 2905–2919. [Google Scholar] [CrossRef]
- Eclipse #423718. Available online: https://bugs.eclipse.org/bugs/show_bug.cgi?id=423718 (accessed on 23 January 2023).
- Kao, A.; Poteet, S.R. Natural Language Processing and Text Mining; Springer Science & Business Media: Boston, NY, USA, 2007. [Google Scholar]
- Binkley, D.; Davis, M.; Lawrie, D.; Morrell, C. To CamelCase or Under_Score. In Proceedings of the IEEE 17th International Conference on Program Comprehension (ICPC), Vancouver, BC, USA, 17–19 May 2009; pp. 158–167. [Google Scholar]
- Whissell, J.S.; Clarke, C.L.A. Effective Measures for Inter-Document Similarity. In Proceedings of the 22nd ACM International Conference on Information and Knowledge Management (CIKM), San Francisco, CA, USA, 27 October–1 November 2013; pp. 1361–1370. [Google Scholar]
- Moravvej, S.V.; Mousavirad, S.J.; Moghadam, M.H.H.; Saadatmand, M. An LSTM-Based Plagiarism Detection via Attention Mechanism and a Population-Based Approach for Pre-Training Parameters with Imbalanced Classes. In Proceedings of the International Conference on Neural Information Processing (ICONIP), Sanur, Indonesia, 8–12 December 2021; pp. 690–701. [Google Scholar]
- Gravetter, F.J.; Wallnau, L.B. Introduction to the t Statistic. In Essentials of Statistics for the Behavioral Sciences, 8th ed.; Cengage Learning: Boston, MA, USA, 2014; p. 252. [Google Scholar]
- Woolson, R.F. Wilcoxon Signed-Rank Test. In Wiley Encyclopedia of Clinical Trials; Wiley: Hoboken, NJ, USA, 2007; pp. 1–3. [Google Scholar]











| Study | Technique/Methodology | Key Results | Difference to Proposed Model |
|---|---|---|---|
| Lam et al. [6] | Deep learning (HyLoc with two DNNs) | Top-1 accuracy: +16.2–46.4%, Top-5 accuracy: +27.3–62% | Focuses on separate DNNs for feature extraction; lacks similarity learning integration. |
| Dao et al. [7] | Coverage, slicing, spectral analysis | MAP: +14–22%, MRR: +16–21% | Uses traditional IR techniques with coverage analysis; no deep learning ranking. |
| Lemos et al. [9] | Query expansion (WordNet, Code Saurus) | Relevant functions retrieval: +41% | Query expansion relies on predefined thesauri (WordNet, Code Saurus), not dynamically learned. |
| Kim et al. [12] | Automatic query expansion (word embeddings) | Precision improvement: +42% | Word embeddings for query expansion; limited scalability across projects. |
| Chaparro et al. [13] | Query reconstruction using OB, EB, and S2R | MAP: +116.6%, MRR: +147.4% | Behavior-based query reconstruction; the manual effort required. |
| Our approach | Integration of top-K code similarity learning with LSTM-Attention | Achieved accuracy rates of 89.27% for Tomcat, 80.43% for AspectJ, 78.14% for Birt, 81.12% for Eclipse, 72.63% for JDT, and 72.99% for SWT. Performance improvements compared with the baseline were approximately 18.3%, 12.08%, 38.29%, 15%, 11.65%, and 9.99%, respectively. | Combines similarity learning with attention mechanisms; dynamically learns project-specific features without relying on external datasets or manual efforts. |
| Target Code | TOP1 | TOP2 | TOP3 |
|---|---|---|---|
| MongoDBDataSetWizardPage.java | OlapQueryUtil.java (36.86) | QueryProperties.java (36.06) | MongoBDriver.java (35.66) |
| DataSetParametersPage.java | Regression_154987.java (89.65) | ParameterComboCellEditor.java (85.39) | IReportClasspathResolver.java (84.71) |
| BindingDialogHelper.java | ElementExportUtil.java (77.75) | ElementExporter.java (70.59) | IReportClasspathResolver.java (69.68) |
| CategoryWrapper.java | AbstractScriptHandler.java (65.16) | FunctionProviderBaseImpl.java (57.38) | CrosstabPreparationHandler.java (56.29) |
| Layer (Type) | Output Shape |
|---|---|
| embedding (Embedding) | (None, 100, 100) |
| LSTM | (None, 100, 128) |
| attention_with_context (AttentionWithContext) | (None, 100, 128) |
| addition (Addition) | (None, 128) |
| dense (Dense) | (None, 976) |
| Hypothesis | p-Value | Result |
|---|---|---|
| H10 | (t-test) 1.11 × 10−5 | H1a: Accept |
| H20 | (t-test) 3.36 × 10−6 | H2a: Accept |
| H30 | (t-test) 1.38 × 10−6 | H3a: Accept |
| H40 | (t-test) 4.51 × 10−7 | H4a: Accept |
| H50 | (t-test) 1.06 × 10−6 | H5a: Accept |
| H60 | (t-test) 2.83 × 10−8 | H6a: Accept |
| H70 | (t-test) 7.90 × 10−9 | H7a: Accept |
| H80 | (t-test) 1.83 × 10−7 | H8a: Accept |
| H90 | (t-test) 1.64 × 10−7 | H9a: Accept |
| H100 | (t-test) 2.22 × 10−8 | H10a: Accept |
| H110 | (t-test) 2.66 × 10−8 | H11a: Accept |
| H120 | (t-test) 2.58 × 10−7 | H12a: Accept |
| H130 | (t-test) 2.48 × 10−7 | H13a: Accept |
| H140 | (t-test) 2.44 × 10−8 | H14a: Accept |
| H150 | (Wilcox test) 1.56 × 10−2 | H15a: Accept |
| H160 | (t-test) 8.93 × 10−7 | H16a: Accept |
| H170 | (t-test) 6.96 × 10−5 | H17a: Accept |
| H180 | (t-test) 1.63 × 10−7 | H18a: Accept |
| H190 | (t-test) 2.22 × 10−7 | H19a: Accept |
| H200 | (t-test) 8.24 × 10−6 | H20a: Accept |
| H210 | (t-test) 1.15 × 10−3 | H21a: Accept |
| H220 | (t-test) 8.98 × 10−6 | H22a: Accept |
| H230 | (t-test) 9.39 × 10−9 | H23a: Accept |
| H240 | (t-test) 1.13 × 10−7 | H24a: Accept |
Disclaimer/Publisher’s Note: The statements, opinions and data contained in all publications are solely those of the individual author(s) and contributor(s) and not of MDPI and/or the editor(s). MDPI and/or the editor(s) disclaim responsibility for any injury to people or property resulting from any ideas, methods, instructions or products referred to in the content. |
© 2025 by the authors. Licensee MDPI, Basel, Switzerland. This article is an open access article distributed under the terms and conditions of the Creative Commons Attribution (CC BY) license (https://creativecommons.org/licenses/by/4.0/).
Share and Cite
Yang, G.; Ji, J.; Kim, E. LSTM Attention-Driven Similarity Learning for Effective Bug Localization. Appl. Sci. 2025, 15, 1582. https://doi.org/10.3390/app15031582
Yang G, Ji J, Kim E. LSTM Attention-Driven Similarity Learning for Effective Bug Localization. Applied Sciences. 2025; 15(3):1582. https://doi.org/10.3390/app15031582
Chicago/Turabian StyleYang, Geunseok, Jinfeng Ji, and Eontae Kim. 2025. "LSTM Attention-Driven Similarity Learning for Effective Bug Localization" Applied Sciences 15, no. 3: 1582. https://doi.org/10.3390/app15031582
APA StyleYang, G., Ji, J., & Kim, E. (2025). LSTM Attention-Driven Similarity Learning for Effective Bug Localization. Applied Sciences, 15(3), 1582. https://doi.org/10.3390/app15031582
