Evaluation of Permeability, Safety, and Stability of Nanosized Ketoprofen Co-Spray-Dried with Mannitol for Carrier-Free Pulmonary Systems
Abstract
1. Introduction
2. Materials and Methods
2.1. Materials
2.2. Preparation Techniques
2.3. Cell Line Measurement
2.3.1. Cell Culture
2.3.2. Dilution of Dry Powders for the Cellular Assays
2.3.3. Cell Impedance Kinetics
2.3.4. Permeability Measurements
2.3.5. Barrier Integrity Measurements After Permeability Experiments
2.3.6. Immunocytochemistry
2.4. Stability Study
2.4.1. Particle Size
2.4.2. Scanning Electron Microscopy
2.4.3. Differential Scanning Calorimetry
2.4.4. X-Ray Powder Diffraction
2.4.5. Andersen Cascade Impactor Measurement
2.4.6. In Vitro Release Study
2.4.7. Statistical Analysis
3. Results and Discussion
3.1. Cell Line Measurements
3.1.1. Cell Impedance Assays
3.1.2. Ketoprofen Permeability Across the Respiratory Co-Culture Models
3.1.3. Barrier Integrity Measurements After Permeability Experiments
3.1.4. Immunocytochemistry
3.2. Stability Study
3.2.1. Particle Size
3.2.2. SEM Images
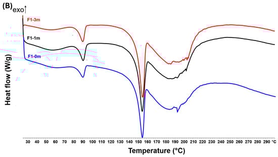
3.2.3. Thermal Analysis by DSC
3.2.4. Structural Analysis by XRPD
3.2.5. In Vitro Lung Deposition by Aerodynamic Measurements
3.2.6. In Vitro Dissolution Study
4. Conclusions
Author Contributions
Funding
Institutional Review Board Statement
Informed Consent Statement
Data Availability Statement
Acknowledgments
Conflicts of Interest
References
- Dhege, C.T.; Kumar, P.; Choonara, Y.E. Pulmonary drug delivery devices and nanosystems as potential treatment strategies for acute respiratory distress syndrome (ARDS). Int. J. Pharm. 2024, 657, 124182. [Google Scholar] [CrossRef] [PubMed]
- Khoza, L.J.; Kumar, P.; Dube, A.; Demana, P.H.; Choonara, Y.E. Insights into innovative therapeutics for drug-resistant tuberculosis: Host-directed therapy and autophagy inducing modified nanoparticles. Int. J. Pharm. 2022, 622, 121893. [Google Scholar] [CrossRef]
- Shakshuki, A.; Agu, R.U. Improving the Efficiency of Respiratory Drug Delivery: A Review of Current Treatment Trends and Future Strategies for Asthma and Chronic Obstructive Pulmonary Disease. Pulm. Ther. 2017, 3, 267–281. [Google Scholar] [CrossRef] [PubMed]
- Parihar, A.; Prajapati, B.G.; Paliwal, H.; Shukla, M.; Khunt, D.; Bahadure, S.D.; Dyawanapelly, S.; Junnuthula, V. Advanced pulmonary drug delivery formulations for the treatment of cystic fi brosis. Drug Discov. Today 2023, 28, 103729. [Google Scholar] [CrossRef] [PubMed]
- Casula, L.; Lai, F.; Pini, E.; Valenti, D.; Sinico, C.; Cardia, M.C.; Marceddu, S.; Ailuno, G.; Fadda, A.M. Pulmonary delivery of curcumin and beclomethasone dipropionate in a multicomponent nanosuspension for the treatment of bronchial asthma. Pharmaceutics 2021, 13, 1300. [Google Scholar] [CrossRef]
- Safari, S.; Davoodi, P.; Soltani, A.; Fadavipour, M.; Rezaeian, A.R.; Heydari, F.; Khazeei Tabari, M.A.; Akhlaghdoust, M. Curcumin effects on chronic obstructive pulmonary disease: A systematic review. Health Sci. Rep. 2023, 6, e1145. [Google Scholar] [CrossRef] [PubMed]
- Weers, J.G. Design of dry powder inhalers to improve patient outcomes: It’s not just about the device. Expert Opin. Drug Deliv. 2024, 21, 365–380. [Google Scholar] [CrossRef]
- Oh, D.-W.; Choi, J.H.; Yu, G.H.; Kim, B.K.; Cho, S.M.; Choi, Y.W.; Jeong, J.-H.; Kang, J.-H.; Kim, D.-W.; Park, C.-W. Formulation and evaluation of carrier-based dry powders containing budesonide and arformoterol for inhalation therapy. Pharm. Dev. Technol. 2024, 29, 966–975. [Google Scholar] [CrossRef]
- Lechanteur, A.; Evrard, B. Influence of Composition and Spray-Drying Process Parameters on Carrier-Free DPI Properties and Behaviors in the Lung: A review. Pharmaceutics 2020, 12, 55. [Google Scholar] [CrossRef]
- Nga, S.; Li, S.; Low, K.; Wan, H.; Zhang, X.; Chow, S.; Hui, B.; Chow, P.C.Y.; Fung, S. Development of favipiravir dry powders for intranasal delivery: An integrated cocrystal and particle engineering approach via spray freeze drying. Int. J. Pharm. 2024, 653, 123896. [Google Scholar] [CrossRef]
- Bartos, C.; Motzwickler-n, A.; Buri, K. Study on the Scale-Up Possibility of a Combined Wet Grinding Technique Intended for Oral Administration of Meloxicam Nanosuspension. Pharmacetics 2024, 16, 1512. [Google Scholar] [CrossRef]
- Longest, W.; Farkas, D. Development of a New Inhaler for High-Efficiency Dispersion of Spray-Dried Powders Using Computational Fluid Dynamics ( CFD ) Modeling. AAPS J. 2019, 8, 21–25. [Google Scholar] [CrossRef] [PubMed]
- Dieplinger, J.; Isabel Afonso Urich, A.; Mohsenzada, N.; Pinto, J.T.; Dekner, M.; Paudel, A. Influence of L-leucine content on the aerosolization stability of spray-dried protein dry powder inhalation (DPI). Int. J. Pharm. 2024, 666, 124822. [Google Scholar] [CrossRef] [PubMed]
- Shetty, N.; Cipolla, D.; Park, H.; Zhou, Q.T.; Pharmacy, P.; Drive, S.M.; Lafayette, W. Physical stability of dry powder inhaler formulations. Expert Opin. Drug Deliv. 2020, 17, 77–96. [Google Scholar] [CrossRef]
- Arte, K.S.; Tower, C.W.; Mutukuri, T.T.; Chen, Y.; Patel, S.M.; Munson, E.J.; Tony, Q. Understanding the impact of mannitol on physical stability and aerosolization of spray-dried protein powders for inhalation. Int. J. Pharm. 2024, 650, 123698. [Google Scholar] [CrossRef] [PubMed]
- Banat, H.; Csóka, I.; Paróczai, D.; Burian, K.; Farkas, Á.; Ambrus, R. A Novel Combined Dry Powder Inhaler Comprising Nanosized Ketoprofen-Embedded Mannitol-Coated Microparticles for Pulmonary Inflammations: Development, In Vitro—In Silico Characterization, and Cell Line Evaluation. Pharmaceuticals 2024, 17, 75. [Google Scholar] [CrossRef] [PubMed]
- Bocsik, A.; Walter, F.R.; Gyebrovszki, A.; Fül, L.; Blasig, I.; Dabrowski, S.; Otv, F.; Veszelka, S.; Vastag, M.; Szab, P. Reversible Opening of Intercellular Junctions of Intestinal Epithelial and Brain Endothelial Cells With Tight Junction Modulator Peptides. J. Pharm. Sci. 2016, 105, 754–765. [Google Scholar] [CrossRef]
- Bocsik, A.; Gróf, I.; Kiss, L.; Ötvös, F.; Zsíros, O.; Daruka, L.; Fülöp, L.; Vastag, M.; Kittel, Á.; Imre, N.; et al. Dual action of the PN159/KLAL/MAP peptide: Increase of drug penetration across caco-2 intestinal barrier model by modulation of tight junctions and plasma membrane permeability. Pharmaceutics 2019, 11, 73. [Google Scholar] [CrossRef]
- Rajamohan, R.; Kamaraj, E.; Muthuraja, P.; Murugavel, K.; Govindasamy, C.; Prabakaran, D.S.; Malik, T.; Lee, Y.R. Enhancing ketoprofen’s solubility and anti-inflammatory efficacy with safe methyl-β-cyclodextrin complexation. Sci. Rep. 2024, 14, 21516. [Google Scholar] [CrossRef]
- Hiemstra, P.S.; Tetley, T.D.; Janes, S.M. Airway and alveolar epithelial cells in culture. Eur. Respir. J. 2019, 54, 1900742. [Google Scholar] [CrossRef] [PubMed]
- Ménard, S.; Cerf-Bensussan, N.; Heyman, M. Multiple facets of intestinal permeability and epithelial handling of dietary antigens. Mucosal Immunol. 2010, 3, 247–259. [Google Scholar] [CrossRef] [PubMed]
- Sipos, B.; Bella, Z.; Gróf, I.; Veszelka, S.; Deli, M.A.; Szűcs, K.F.; Sztojkov-Ivanov, A.; Ducza, E.; Gáspár, R.; Kecskeméti, G.; et al. Soluplus® promotes efficient transport of meloxicam to the central nervous system via nasal administration. Int. J. Pharm. 2023, 632, 122594. [Google Scholar] [CrossRef]
- Pozzoli, M.; Traini, D.; Young, P.M.; Sukkar, M.B.; Sonvico, F. Development of a Soluplus budesonide freeze-dried powder for nasal drug delivery. Drug Dev. Ind. Pharm. 2017, 43, 1510–1518. [Google Scholar] [CrossRef] [PubMed]
- Zhao, Y.; Liu, S.; Lu, X. Advances in Pulmonary Protein Delivery Systems. Adv. Nanobiomed Res. 2024, 4, 2300176. [Google Scholar] [CrossRef]
- Armstrong, B. Understand the Effects of Moisture on Powder Behavior. Chem. Eng. Prog. 2014, 110, 25–30. [Google Scholar]
- Han, C.-S.; Kang, J.-H.; Park, E.h.; Lee, H.-J.; Jeong, S.-J.; Kim, D.-W.; Park, C.-W. Corrugated surface microparticles with chitosan and levofloxacin for improved aerodynamic performance. Asian J. Pharm. Sci. 2023, 18, 100815. [Google Scholar] [CrossRef] [PubMed]
- Zimmermann, C.M.; Deßloch, L.; Jürgens, D.C.; Luciani, P.; Merkel, O.M. Evaluation of the effects of storage conditions on spray-dried siRNA-LNPs before and after subsequent drying. Eur. J. Pharm. Biopharm. 2023, 193, 218–226. [Google Scholar] [CrossRef] [PubMed]
- Party, P.; Ambrus, R. Investigation of Physico-Chemical Stability and Aerodynamic Properties of Novel “Nano-in-Micro” Structured Dry Powder Inhaler System. Micromachines 2023, 14, 1348. [Google Scholar] [CrossRef]
- Benke, E.; Farkas, Á.; Balásházy, I.; Szabó-Révész, P.; Ambrus, R. Stability test of novel combined formulated dry powder inhalation system containing antibiotic: Physical characterization and in vitro–in silico lung deposition results. Drug Dev. Ind. Pharm. 2019, 45, 1369–1378. [Google Scholar] [CrossRef]
- Molimard, M.; Kottakis, I.; Jauernig, J.; Lederhilger, S.; Nikolaev, I. Performance Characteristics of Breezhaler® and Aerolizer® in the Real-World Setting. Clin. Drug Investig. 2021, 41, 415–424. [Google Scholar] [CrossRef] [PubMed]
- Tran, T.; Amalina, N.; Sin, W.; Hadinoto, K. Effects of storage on the stability and aerosolization efficiency of dry powder inhaler formulation of plasmid DNA-Chitosan nanoparticles. J. Drug Deliv. Sci. Technol. 2020, 59, 101866. [Google Scholar] [CrossRef]
- Seok, M.; Ji, Y.; Kang, H.; Wook, D.; Chun, K.; Park, W. Recent developments in dry powder inhalation ( DPI ) formulations for lung - targeted drug delivery. J. Pharm. Investig. 2024, 54, 113–130. [Google Scholar] [CrossRef]
- Jacob, S.; Nair, A.B.; Shah, J. Emerging role of nanosuspensions in drug delivery systems. Biomater. Res. 2020, 24, 3. [Google Scholar] [CrossRef] [PubMed]
- Li, Z.; Luo, X.; Li, Q.; Jin, Z.; Naeem, A.; Zhu, W.; Chen, L.; Feng, Y.; Ming, L. The Fabrication, Drug Loading, and Release Behavior of Porous Mannitol. Molecules 2024, 29, 715. [Google Scholar] [CrossRef] [PubMed]
- Eedara, B.B.; Bastola, R.; Das, S.C. Dissolution and Absorption of Inhaled Drug Particles in the Lungs. Pharmacetics 2022, 14, 2667. [Google Scholar] [CrossRef] [PubMed]
- Chu, K.R.; Lee, E.; Jeong, S.H.; Park, E.S. Effect of particle size on the dissolution behaviors of poorly water-soluble drugs. Arch. Pharm. Res. 2012, 35, 1187–1195. [Google Scholar] [CrossRef]
- Scrivens, G. Prediction of the Long-Term Dissolution Performance of an Immediate-Release Tablet Using Accelerated Stability Studies. J. Pharm. Sci. 2019, 108, 506–515. [Google Scholar] [CrossRef]












| Sample * | D[0.1] (µm) | D[0.5] (µm) | D[0.9] (µm) | Span |
|---|---|---|---|---|
| F1_0m | 1.073 ± 0.07 | 2.325 ± 0.14 | 13.867 ± 2.34 | 5.503 ± 0.68 |
| F1_1m | 1.065 ± 0.12 | 2.337 ± 0.38 | 143.822 ± 5.91 | 61.073 ± 3.20 |
| F1_3m | 1.125 ± 0.45 | 2.444 ± 0.93 | 297.506 ± 10.36 | 121.275 ± 11.51 |
| Sample | Particle Size (µm) |
|---|---|
| F1_0m | 2.32 ± 0.12 |
| F1_1m | 2.35 ± 0.39 |
| F1_3m | 2.47 ± 0.89 |
Disclaimer/Publisher’s Note: The statements, opinions and data contained in all publications are solely those of the individual author(s) and contributor(s) and not of MDPI and/or the editor(s). MDPI and/or the editor(s) disclaim responsibility for any injury to people or property resulting from any ideas, methods, instructions or products referred to in the content. |
© 2025 by the authors. Licensee MDPI, Basel, Switzerland. This article is an open access article distributed under the terms and conditions of the Creative Commons Attribution (CC BY) license (https://creativecommons.org/licenses/by/4.0/).
Share and Cite
Banat, H.; Gróf, I.; Deli, M.A.; Ambrus, R.; Csóka, I. Evaluation of Permeability, Safety, and Stability of Nanosized Ketoprofen Co-Spray-Dried with Mannitol for Carrier-Free Pulmonary Systems. Appl. Sci. 2025, 15, 1547. https://doi.org/10.3390/app15031547
Banat H, Gróf I, Deli MA, Ambrus R, Csóka I. Evaluation of Permeability, Safety, and Stability of Nanosized Ketoprofen Co-Spray-Dried with Mannitol for Carrier-Free Pulmonary Systems. Applied Sciences. 2025; 15(3):1547. https://doi.org/10.3390/app15031547
Chicago/Turabian StyleBanat, Heba, Ilona Gróf, Mária A. Deli, Rita Ambrus, and Ildikó Csóka. 2025. "Evaluation of Permeability, Safety, and Stability of Nanosized Ketoprofen Co-Spray-Dried with Mannitol for Carrier-Free Pulmonary Systems" Applied Sciences 15, no. 3: 1547. https://doi.org/10.3390/app15031547
APA StyleBanat, H., Gróf, I., Deli, M. A., Ambrus, R., & Csóka, I. (2025). Evaluation of Permeability, Safety, and Stability of Nanosized Ketoprofen Co-Spray-Dried with Mannitol for Carrier-Free Pulmonary Systems. Applied Sciences, 15(3), 1547. https://doi.org/10.3390/app15031547

