Prediction of Thermal Cracking During Construction of Massive Monolithic Structures
Abstract
1. Introduction
2. Materials and Methods
3. Results and Discussion
3.1. Verification of the Calculation Methodology
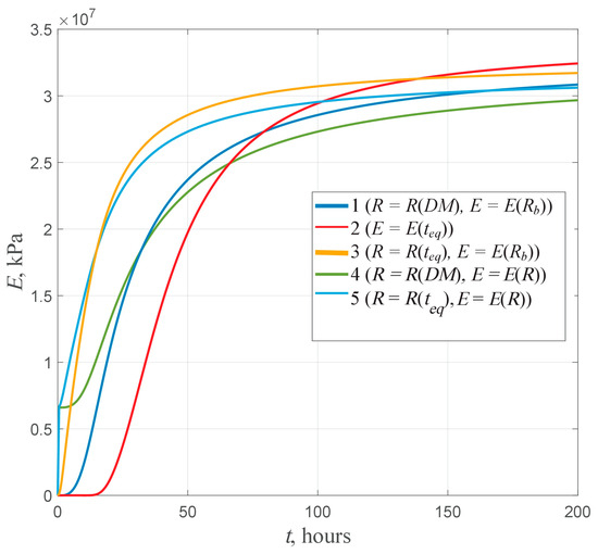
3.2. Results of Stress–Strain State Calculation of the Dock Wall with Time-Varying Concrete Elastic Modulus
- Concrete cubic compressive strength R was calculated as a function of its maturity degree DM using Formula (17). The elastic modulus was calculated as a function of the prismatic compressive strength Rb according to Formula (12).
- The elastic modulus was determined as a function of concrete equivalent age with the use of Formula (11).
- The cubic compressive strength R was calculated by the equivalent age with the use of Equation (15). The elastic modulus was determined by the prismatic strength Rb according to Formula (12).
- The value of R was calculated by the value DM using Formula (17). The elastic modulus was determined by the R value using Formula (14).
- The value of R was determined by the equivalent age according to Formula (15). The elastic modulus was calculated by the R value using Formula (14).
3.3. Comparison with the Results of Calculation Using a Simplified Method
- The calculation is performed with a constant modulus of elasticity of the hardening concrete over time . Such a calculation can be performed by standard means of existing FEM complexes.
- At each time step, the true stress increments are determined using the following formula:
- The true stresses at each step are determined by summing the stress increments from all previous steps.
3.4. Analysis of the Possibility of Reducing the Risk of Early Cracking
3.5. Testing the Developed Methodology on Experimental Data
4. Conclusions
Author Contributions
Funding
Institutional Review Board Statement
Informed Consent Statement
Data Availability Statement
Acknowledgments
Conflicts of Interest
References
- Wang, X.F.; Fang, C.; Kuang, W.Q.; Li, D.W.; Han, N.X.; Xing, F. Experimental study on early cracking sensitivity of lightweight aggregate concrete. Constr. Build. Mater. 2017, 136, 173–183. [Google Scholar] [CrossRef]
- Shi, J.; Liu, B.; Zhou, F.; Shen, S.; Guo, A.; Xie, Y. Effect of steam curing regimes on temperature and humidity gradient, permeability and microstructure of concrete. Constr. Build. Mater. 2021, 281, 122562. [Google Scholar] [CrossRef]
- Do, T.A.; Le, B.A. Machine Learning Approach for Predicting Early-Age Thermal Cracking Potential in Concrete Bridge Piers. Forces Mech. 2024, 17, 100297. [Google Scholar] [CrossRef]
- Chopra, P.; Sharma, R.K.; Kumar, M.; Chopra, T. Comparison of machine learning techniques for the prediction of compressive strength of concrete. Adv. Civ. Eng. 2018, 1, 5481705. [Google Scholar] [CrossRef]
- Cook, R.; Lapeyre, J.; Ma, H.; Kumar, A. Prediction of compressive strength of concrete: Critical comparison of performance of a hybrid machine learning model with standalone models. J. Mater. Civ. Eng. 2019, 31, 04019255. [Google Scholar] [CrossRef]
- Kim, J.J.; Kim, A.-R.; Lee, S.-W. Artificial Neural Network-Based Automated Crack Detection and Analysis for the Inspection of Concrete Structures. Appl. Sci. 2020, 10, 8105. [Google Scholar] [CrossRef]
- Yu, Y.; Rashidi, M.; Samali, B.; Mohammadi, M.; Nguyen, T.N.; Zhou, X. Crack detection of concrete structures using deep convolutional neural networks optimized by enhanced chicken swarm algorithm. Struct. Health Monit. 2022, 21, 2244–2263. [Google Scholar] [CrossRef]
- Blikharskyy, Y.; Kopiika, N.; Khmil, R.; Selejdak, J.; Blikharskyy, Z. Review of development and application of digital image correlation method for study of stress–strain state of RC Structures. Appl. Sci. 2022, 12, 10157. [Google Scholar] [CrossRef]
- Chepurnenko, A.S.; Turina, V.S.; Akopyan, V.F. Artificial Neural Network Models for Predicting the Early Cracking Risk in Massive Monolithic Foundation Slabs. Open Civ. Eng. J. 2024, 18, e18741495358647. [Google Scholar] [CrossRef]
- Sargam, Y.; Faytarouni, M.; Riding, K.; Wang, K.; Jahren, C.; Shen, J. Predicting thermal performance of a mass concrete foundation–A field monitoring case study. Case Stud. Constr. Mater. 2019, 11, e00289. [Google Scholar] [CrossRef]
- Rita, M.; Fairbairn, E.; Ribeiro, F.; Andrade, H.; Barbosa, H. Optimization of mass concrete construction using a twofold parallel genetic algorithm. Appl. Sci. 2018, 8, 399. [Google Scholar] [CrossRef]
- Gosselin, L.; Tye-Gingras, M.; Mathieu-Potvin, F. Review of utilization of genetic algorithms in heat transfer problems. Int. J. Heat Mass Transf. 2009, 52, 2169–2188. [Google Scholar] [CrossRef]
- Chiniforush, A.A.; Gharehchaei, M.; Nezhad, A.A.; Castel, A.; Moghaddam, F.; Keyte, L.; Foster, S. Minimising risk of early-age thermal cracking and delayed ettringite formation in concrete–A hybrid numerical simulation and genetic algorithm mix optimisation approach. Constr. Build. Mater. 2021, 299, 124280. [Google Scholar] [CrossRef]
- Safiuddin, M.; Kaish, A.A.; Woon, C.O.; Raman, S.N. Early-age cracking in concrete: Causes, consequences, remedial measures, and recommendations. Appl. Sci. 2018, 8, 1730. [Google Scholar] [CrossRef]
- Kuryłowicz-Cudowska, A.; Wilde, K. FEM and experimental investigations of concrete temperature field in the massive stemwall of the bridge abutment. Constr. Build. Mater. 2022, 347, 128565. [Google Scholar] [CrossRef]
- Klemczak, B.; Batog, M.; Pilch, M.; Żmij, A. Analysis of cracking risk in early age mass concrete with different aggregate types. Procedia Eng. 2017, 193, 234–241. [Google Scholar] [CrossRef]
- Huang, Y.; Liu, G.; Huang, S.; Rao, R.; Hu, C. Experimental and finite element investigations on the temperature field of a massive bridge pier caused by the hydration heat of concrete. Constr. Build. Mater. 2018, 192, 240–252. [Google Scholar] [CrossRef]
- Sheng, X.; Xiao, S.; Zheng, W.; Sun, H.; Yang, Y.; Ma, K. Experimental and finite element investigations on hydration heat and early cracks in massive concrete piers. Case Stud. Constr. Mater. 2023, 18, e01926. [Google Scholar] [CrossRef]
- Klemczak, B. Analytical method for predicting early age thermal effects in thick foundation slabs. Materials 2019, 12, 3689. [Google Scholar] [CrossRef]
- Chepurnenko, A.; Turina, V. Simplified Method for Determining Thermal Stresses during the Construction of Massive Monolithic Foundation Slabs. CivilEng 2023, 4, 740–752. [Google Scholar] [CrossRef]
- Semenov, K.; Kukolev, M.; Zaichenko, N.; Popkov, S.; Makeeva, A.; Amelina, A.; Amelin, P. Unsteady temperature fields in the calculation of crack resistance of massive foundation slab during the building period. In Proceedings of the International Scientific Conference on Energy, Environmental and Construction Engineering, St. Petersburg, Russia, 19–20 November 2019; Springer: Cham, Switzerland, 2019; pp. 455–467. Available online: https://link.springer.com/chapter/10.1007/978-3-030-42351-3_40 (accessed on 29 January 2025).
- Segerlind, L.J. Applied Finite Element Analysis; John Wiley & Sons: Hoboken, NJ, USA, 1991. [Google Scholar]
- Smolana, A.; Klemczak, B.; Azenha, M.; Schlicke, D. Thermo-Mechanical Analysis of Mass Concrete Foundation Slabs at Early Age—Essential Aspects and Experiences from the FE Modelling. Materials 2022, 15, 1815. [Google Scholar] [CrossRef]
- Smolana, A.; Klemczak, B.; Azenha, M.; Schlicke, D. Early age cracking risk in a massive concrete foundation slab: Comparison of analytical and numerical prediction models with on-site measurements. Constr. Build. Mater. 2021, 301, 124135. [Google Scholar] [CrossRef]
- Karpenko, N.I. General Models of Reinforced Concrete Mechanics; Stroyizdat: Moscow, Russia, 1996. [Google Scholar]
- Litvinov, S.V.; Yazyev, B.M.; Kuznetsov, V.V.; Belyugin, N.V.; Avakov, A.A. Study of the concordance between various concrete deformation models and experimental data for uniaxial compression cases. Constr. Mater. Prod. 2024, 7, 6. [Google Scholar] [CrossRef]
- Nesvetaev, G.V.; Koryanova, Y.I.; Shut, V.V. Specific heat dissipation of concrete and the risk of early cracking of massive reinforced concrete foundation slabs. Constr. Mater. Prod. 2024, 7, 3. [Google Scholar] [CrossRef]
- Nesvetaev, G.V.; Koryanova, Y.I.; Yazyev, B.M. Autogenous shrinkage and early cracking of massive foundation slabs. Mag. Civ. Eng. 2024, 17, 13005. Available online: https://engstroy.spbstu.ru/en/article/2024.130.5/ (accessed on 29 January 2025).
- Waller, V.; d’Aloïa, L.; Cussigh, F.; Lecrux, S. Using the maturity method in concrete cracking control at early ages. Cem. Concr. Compos. 2004, 26, 589–599. Available online: https://www.sciencedirect.com/science/article/abs/pii/S0958946503000805 (accessed on 29 January 2025). [CrossRef]
- Nesvetaev, G.V.; Koryanova, Y.I. Forecasting the Strength Gaining Kinetics of the Concrete Hardening in the Abnormal Conditions. Mod. Trends Constr. Urban Territ. Plan. 2023, 2, 59–68. (In Russian) [Google Scholar] [CrossRef]
- Turina, V.S.; Chepurnenko, A.S.; Akopyan, V.F. Methodology for determining true temperature stresses during the construction of massive monolithic reinforced concrete structures. Constr. Mater. Prod. 2024, 7, 5. [Google Scholar] [CrossRef]
- Liu, X.; Zhang, C.; Chang, X.; Zhou, W.; Cheng, Y.; Duan, Y. Precise simulation analysis of the thermal field in mass concrete with a pipe water cooling system. Appl. Therm. Eng. 2015, 78, 449–459. [Google Scholar] [CrossRef]
- Nguyen, C.T.; Luu, X.B. Reducing temperature difference in mass concrete by surface insulation. Mag. Civ. Eng. 2019, 4, 70–79. [Google Scholar] [CrossRef]
- Bjøntegaard, Ø. Basis for and Practical Approaches to Stress Calculations and Crack Risk Estimation in Hardening Concrete Structures–State of the Art FA 3 Technical Performance. SP 3.1 Crack Free Concrete Structures. 2011. Available online: https://sintef.brage.unit.no/sintef-xmlui/bitstream/handle/11250/2411102/coin31.pdf (accessed on 17 January 2025).
- Jędrzejewska, A.; Kanavaris, F.; Zych, M.; Schlicke, D.; Azenha, M. Experiences on early age cracking of wall-on-slab concrete structures. Structures 2020, 27, 2520–2549. [Google Scholar] [CrossRef]















| Quantity | Unit of Measurement | Value |
|---|---|---|
| Linear thermal expansion coefficient of old and new concrete | 1/°C | 10−5 |
| Thermal conductivity coefficient of old and new concrete | W/(m∙°C) | 2.67 |
| Density of old and new concrete | kg/m3 | 2500 |
| Specific heat capacity of old and new concrete | J/(kg∙°C) | 1000 |
| Heat transfer coefficient on the upper surface | W/(m2∙°C) | 25 |
| Heat transfer coefficient on side surfaces covered by formwork | W/(m2∙°C) | 10 |
| Initial temperature of the base made of old concrete | °C | 10 |
| t, h | Tmax, °C (ANSYS) | Tmax, °C (Authors) |
|---|---|---|
| 10 | 22.717 | 22.721 |
| 20 | 34.470 | 34.498 |
| 30 | 39.173 | 39.259 |
| 40 | 40.898 | 41.020 |
| 50 | 41.136 | 41.254 |
| 60 | 40.525 | 40.615 |
| 70 | 39.410 | 39.471 |
| Quantity | Unit of Measurement | Value |
|---|---|---|
| Elastic modulus | MPa | 30 |
| Secant coefficient of linear thermal expansion | 1/°C | 10−5 |
| Thermal conductivity coefficient | W/(m∙°C) | 1.4 |
| Density | g/cm3 | 2.07 |
| Specific heat capacity | kJ/(kg∙°C) | 1.04 |
| Initial temperature | °C | 16 |
Disclaimer/Publisher’s Note: The statements, opinions and data contained in all publications are solely those of the individual author(s) and contributor(s) and not of MDPI and/or the editor(s). MDPI and/or the editor(s) disclaim responsibility for any injury to people or property resulting from any ideas, methods, instructions or products referred to in the content. |
© 2025 by the authors. Licensee MDPI, Basel, Switzerland. This article is an open access article distributed under the terms and conditions of the Creative Commons Attribution (CC BY) license (https://creativecommons.org/licenses/by/4.0/).
Share and Cite
Tyurina, V.; Chepurnenko, A.; Akopyan, V. Prediction of Thermal Cracking During Construction of Massive Monolithic Structures. Appl. Sci. 2025, 15, 1499. https://doi.org/10.3390/app15031499
Tyurina V, Chepurnenko A, Akopyan V. Prediction of Thermal Cracking During Construction of Massive Monolithic Structures. Applied Sciences. 2025; 15(3):1499. https://doi.org/10.3390/app15031499
Chicago/Turabian StyleTyurina, Vasilina, Anton Chepurnenko, and Vladimir Akopyan. 2025. "Prediction of Thermal Cracking During Construction of Massive Monolithic Structures" Applied Sciences 15, no. 3: 1499. https://doi.org/10.3390/app15031499
APA StyleTyurina, V., Chepurnenko, A., & Akopyan, V. (2025). Prediction of Thermal Cracking During Construction of Massive Monolithic Structures. Applied Sciences, 15(3), 1499. https://doi.org/10.3390/app15031499

