Abstract
Featured Application
Our study explores information on the limited utility of inflammatory indices, such as IBS, NLR, and PLR, in predicting postoperative complications in robotic thoracic lung cancer surgery. These findings may alert researchers to these biomarkers and encourage the development of alternative strategies for risk assessment and postoperative management, optimizing patient outcomes in minimally invasive surgical settings.
Abstract
Background: Hematological indices such as the neutrophil-lymphocyte ratio (NLR), platelet–lymphocyte ratio (PLR), and systemic immune inflammation index (SII) have been proposed as markers of inflammatory disease and prognostic indicators in some tumors, but their role remains controversial. This study aims to evaluate the relationship between these indices and postoperative complications in patients undergoing robotic-assisted anatomic lung resection for oncological purposes. Methods: This retrospective, single-center study included patients who underwent anatomical lung resection from January 2022 to June 2023 using robotic-assisted surgery. The data collected included hematological variables, demographic information, body mass index (BMI) data, information about pulmonary function, medical history, postoperative outcomes, and survival data. Results: A total of 96 patients were included, with a median BMI of 26.10. The data distribution across demographic and clinical variables was homogeneous. Univariate and multivariate analyses revealed no significant association between preoperative or postoperative inflammatory indices and postoperative complications, persistent air leak (PAL), or 1-year mortality. Conclusions: This small, retrospective study with short-term follow-up found no significant relationship between inflammatory indices and postoperative outcomes. These findings suggest that SII and similar indices are not reliable predictors of complications, PAL, or mortality in patients undergoing robotic-assisted anatomic lung resection.
1. Introduction
For decades, the relationship between infections and survival in lung cancer has been studied. There are isolated reports of patients who, after developing postoperative empyema, showed long survival. It was assumed that this was due to a possible relationship between immune system activation and its action against cancer cells [,]. However, these are very limited series with short-term follow-ups.
It is reasonable to believe that an activated immune system could attack cancer cells. But, in the case of empyema, the immune response generated is nonspecific. This is performed against bacteria, not against cells. This represents a totally different activation pathway [,]. New series and reports, with longer follow-up and larger populations, have attempted to detect the relationship between inflammation, infection, and prognosis. However, this relationship has not been satisfactorily demonstrated. In fact, some of these reports show a deleterious relationship between postoperative empyema and prognosis in lung carcinoma [].
The immune response is known to play a significant role in shaping the short- and medium-term prognosis of lung cancer patients []. In the context of surgery, the choice of surgical approach can notably affect immune system activation. Open surgery has been linked to increased levels of pro-inflammatory factors and proteins that may promote tumor growth [,,,]. In contrast, minimally invasive surgery tends to result in reduced cytokine release, a more balanced immune profile, and the release of proteins with antitumor properties [,,,]. In recent years, robotic-assisted surgery has been added as a new tool for minimally invasive surgery with similar results when compared to Video-Assisted Thoracic Surgery (VATS). This has been demonstrated in surgical terms, showing a similar rate of conversion and a similar number of lymph nodes resected, hospitalization time, duration of surgery, postoperative drainage volume, air leak time and mortality []. But also in immunological terms, there are similar immune system activation profiles, decreasing IL-10 levels and total lymphocyte counts, and increasing serum levels of C-reactive protein, cortisol and glucose, among many other changes []. This may suggest that the response of the immune system will be similar between the two approaches.
Since the late 1990s, it has been shown that the inflammatory pattern developed in serious diseases, including cancer, can influence prognosis and complications []. This is especially true in solid tumors. In these, marked lymphopenia and neutrophilia are observed. In consequence, a high neutrophil–lymphocyte ratio may predict worse oncological and survival outcomes and more complications in certain cases. Therefore, new indices derived from blood components and analytical determinations, largely related to the inflammatory response, have been developed and are now widely accepted in this field. In particular, the platelet to lymphocyte ratio (PLR) and the lymphocyte to monocyte ratio (LMR) both have a very similar origin to the NLR.
In recent years, a new indicator known as the systemic immune-inflammatory index (SII) has been described in relation to prognosis in hepatocarcinoma; this results from the ratio between the product of neutrophils and platelets and lymphocytes. This ratio expresses, in a combined form, the two previously mentioned markers. However, they have not shown adequate validation in lung cancer, even in the most rigorous meta-analyses, and vary according to different techniques and approaches [,,,,,,]. Despite numerous efforts to clarify the relationship between immune response, inflammation levels and long-term oncologic outcomes, the evidence remains inconclusive.
New drugs and therapies have been developed with the aim of modifying these phenotypes to alleviate different types of neoplasms by altering the proportions of various cell groups, enhancing their antitumor effects, and consequently modifying the derived ratios.
The goal is that the development of new indicators, or the refinement of existing ones, will enable the identification of patients at higher risk of developing complications or experiencing a worse prognosis. However, these indicators and their relationship to oncologic prognosis or postoperative complications have not been explored in all surgical settings.
Our study addresses this gap in the literature by specifically investigating the prognostic value of these inflammatory indices in patients undergoing robotic-assisted anatomic lung resection for lung cancer. In contrast to previous research focused on open or thoracoscopic surgeries, our focus on robotic-assisted surgery offers a novel and relevant perspective in the context of modern surgical practices.
Considering all these factors, we aim to determine whether there is a relationship between blood-derived inflammatory indices and postoperative complications and outcomes in patients undergoing robot-assisted thoracic surgery in our population.
2. Materials and Methods
A retrospective study was conducted at a single center, including patients who underwent anatomical lung resections due to lung cancer between January 2022 and June 2023, performed using robot-assisted thoracic surgery (RATS).
At the center where this study was conducted, robotic-assisted surgery has been used since January 2021, reaching a volume of 116 robotic surgeries in 2024. Of these, 65 correspond to lobectomies, 22 to anatomical segmentectomies and the remaining 29 to mediastinal tumor resections. In the team, there are 6 surgeons accredited to perform robot-assisted thoracic surgery, and of these 6, there are two who perform uni- and bi-portal robotic surgery. In the first 50 cases, a mean operative time of 141 min and (104–178) and a mean length of stay of 1.45 days (1–2) have been recorded [].
The individuals to be included in the analysis were first defined, with the inclusion criteria being as follows: patients over 18 years of age, of any sex and ethnicity, with a preoperative diagnosis of resectable lung cancer, whose surgeries were performed between January 2022 and June 2023. Eligible patients underwent anatomical resections using a robotic platform (regardless of the number of ports used) and had both a preoperative blood test and a postoperative blood test within 24 h of surgery.
Patients were excluded from the analysis if their prior or definitive diagnosis was not lung cancer, if the resection was not anatomical or was not performed using a robotic platform, or if they had received previous immunotherapy treatment. Patients with debilitating diseases or conditions directly affecting the immune system (e.g., autoimmune diseases or those causing immunosuppression and/or immunodeficiency) were also excluded. Additionally, those who did not undergo the two required blood tests were excluded.
All patients received the same procedure: The patient was placed in lateral decubitus on a soft mattress. The table was flexed at the level of the xiphoid. The ipsilateral arm was elevated and placed on a padded table. The patient was restrained to the table with a band over the pelvis. The system used was the da Vinci Xi Robotic System (Software Version: da Vinci OS4 v11 (P11), IS400, Intuitive). Four 8 mm port robotic accesses and one 12 mm accessory port connected to a continuous smoke extraction system were used. All ports were placed in the eighth intercostal space, except for the most anterior port, which was placed in the sixth intercostal space, in line with the previous ones. In all cases, a capnothorax was established with CO2 at a 5 mm Hg pressure and a flow rate of 15 L/min. In specific situations, pressures of up to 7 mm Hg were reached without exceeding this value. The tools used in all cases were the Tip-Up, bi-polar grasper, Hook and/or Long Maryland with a 30° degree endoscope. The procedures were performed according to the tunnel technique or via the fissureless approach []. The technique chosen depended on the surgeon’s expertise.
The data were extracted from the patients’ medical records, with patient anonymity maintained at all times.
A database was created using IBM SPSS Statistics 26 software (Software version 26), including various demographic data: age, gender, smoking status (categorized as smoker, ex-smoker, or non-smoker), preoperative pulmonary function, specifically Forced Expiratory Volume in 1 s (FEV1), and Diffusing Capacity of the Lung for Carbon Monoxide (DLCO). Additional clinical variables included the patients’ pathological history, such as Body Mass Index (BMI), cardiovascular history, chronic obstructive pulmonary disease (COPD), hyper-tension, diabetes mellitus, other neoplasms unrelated to lung cancer or non-melanoma skin cancer, and the use of anticoagulant or antiplatelet medication. Tumor characteristics were staged according to the 8th edition of the TNM classification []. Intraoperative details included the side of surgery, docking time, duration of intervention, resected lobes or segments, and intraoperative blood loss.
Hematological variables were collected, including absolute and relative values of leukocytes and different subgroups (lymphocytes, monocytes, platelets and neutrophils). Two samples were taken at the two aforementioned time points: a first “preoperative” sample before induction in the operating room and a second “postoperative” sample 24 h after surgery. The ratios were calculated as follows:
All values for the different cell groups are expressed in the same unit: thousands of cells per microliter (×103/μL). The resulting value is dimensionless (without units).
Postoperative data included the need for intensive care unit (ICU) admission, the duration of intensive care unit stay, and the duration of chest drainage. The following were considered as complications: persistent air leak (PAL), bleeding requiring reoperation, adult respiratory distress syndrome (ARDS), empyema, chylothorax, atrial fibrillation, coronary events, heart failure, acute urinary retention, and COVID-19 infection. Follow-up data (including the final pathological stage, the need for readmission within the first 30 days after discharge, the reason for readmission, tumor recurrence and its location, and overall and cause-specific survival) were collected. All variables, except the final pathologic stage, were considered as a “complication” variable.
Statical Analysis
A descriptive analysis of the selected population was performed for demographic, hematologic, and pathological variables. The normality of the quantitative variables was assessed using the Kolmogorov–Smirnov test. Based on the results, variables are presented as mean ± standard deviation if the data follow a normal distribution, as geometric mean (95% CI) if the distribution is log-normal, or as median (Q1, Q3) if the data are nonparametric. Logistic regression and odds ratios were selected as the primary methods for investigating the association between pre- and postoperative indices and complications. These analyses were initially adjusted using univariate logistic regression for each variable in the dataset. Subsequently, a multivariate analysis was performed, including significant and clinically relevant variables.
The differences and proportions between pre- and postoperative measurements in various hematologic values and derived indices (platelet–lymphocyte ratio [PLR], neutrophil–lymphocyte ratio [NLR], monocyte–lymphocyte ratio [LMR], and systemic immune-inflammation index [SII]) were examined. Hematologic variables were log-transformed before being entered into the model to account for their distribution. Logistic regression was employed to evaluate the relationship between the derived ratios and indices and the occurrence of complications.
This analysis utilized ROC (Receiver Operating Characteristic) curves to assess the discriminative capacity of these indicators to predict complications. Additionally, the area under the curve (AUC) was calculated as a quantitative measure of discriminative power: an AUC close to 1 indicates excellent predictive ability, while an AUC of 0.5 suggests a performance equivalent to chance.
3. Results
3.1. Study Population
A total of 96 patients who met the criteria for undergoing anatomical lung resections for lung cancer in robot-assisted surgeries were recruited. A total of 54 patients had hematologic data available at pre- and postoperative times and were included in the statistical analysis. Forty-two patients were excluded due to the absence of blood tests at the two required time points. The distribution of demographic variables, results and follow-up are shown in Table 1, Table 2 and Table 3.

Table 1.
Descriptive values and analysis.

Table 2.
Postoperative complications.

Table 3.
Results and follow-up.
In summary, the mean BMI was 26.15, with no gender predominance. The majority of the cohort were former smokers, with an equivalent distribution between nonsmokers and active smokers. Among the most prevalent comorbidities were hypertension and cardiovascular disease, affecting 61.1% and 38.9% of patients, respectively. Of the cohort, 81.5% required at least 24 h of ICU stay due to organizational reasons and not due to clinical needs. The most common postoperative complication was persistent air leak, occurring in 20.4% of cases.
3.2. Hematological Changes
The preoperative, postoperative, and mean differences in the values observed for the hematological parameters and indices are summarized in Table 4. In brief, Neutrophils, Monocytes, PLR, and NLR had a statistically significant increase, while Lymphocytes, Platelets, and LMR showed a significant decrease.

Table 4.
Pre- and post-surgical hematological variation.
3.3. Postoperative Complications and Predictive Value of Indices
Of the group studied, two patients (3.7%) required reoperation due to bleeding (Clavien–Dindo classification IIIb), one (1.9%) developed empyema, and another (1.9%) developed chylothorax (Clavien–Dindo classification IIIa) requiring the placement of chest drainage without intubation. The most frequent complication of the entire cohort studied (20.4%) was persistent air leak (Clavien–Dindo Classification I) [], slightly increasing the length of stay without generating any major complication. The complications are shown in Table 2.
No significant relation was observed between inflammatory changes and the incidence of postoperative complications after logistic regression analysis. The odds ratios (ORs) were adjusted with univariate regression, adding clinically significant variables in a second instance, but no significant ORs were found. In addition, the ROC curves obtained did not show statistical significance for any of the indices in relation to the studied variables (Figure 1 and Figure 2).

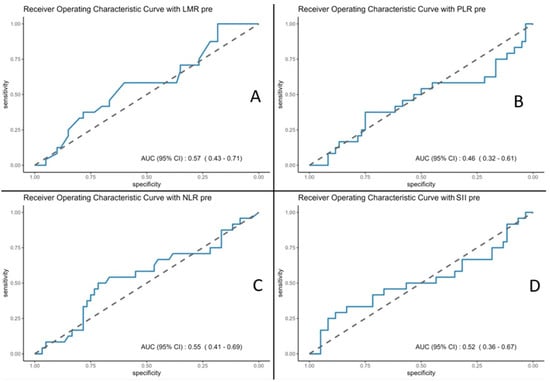
Figure 1.
ROC curve between complications and preoperative values as (A) LMR; (B) PLR; (C) NLR and (D) SII. The ROC curves, which relate complications to the results of both pre and postoperative indices, do not show good results. When the ROC curve approaches the dotted straight line on the graph, which corresponds to an AUC of 0.50, it is equivalent to random guessing by flipping a coin. In all cases, it is very close to this line, and in some cases, it crosses it downwards, indicating an even worse statistical performance.

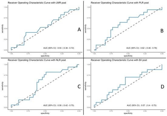
Figure 2.
ROC curve between complications and postoperative values as (A) LMR; (B) PLR; (C) NLR and (D) SII. The ROC curves, which relate complications to the results of both pre and postoperative indices, do not show good results. Recalling that when the ROC curve approaches the dotted straight line on the graph, which corresponds to an AUC of 0.50, it is equivalent to random guessing by flipping a coin. In all cases, it is very close to this line, and in some cases, it crosses it downwards, indicating an even worse statistical performance.
3.4. Systemic Immune-Inflammation Index (SII)
In the analysis of the SII, comparing patients with and without complications using a logistic regression model, no significant associations were found between SII (pre- and post-surgical) and the presence or absence of complications, with non-significant ROC curves.
4. Discussion
In our study, we found that patients undergoing lung anatomic robotic-assisted surgery experienced an increase in the absolute values of neutrophils and monocytes while experiencing is a decrease in the absolute values of lymphocytes and platelets. In addition, the ratios were modified accordingly, with an increase in PLR and NLR and a respective decrease in LMR. The NLR and PLR showed an increase in the postoperative period with respect to the preoperative period. This is a common response to different types of injury. The MRL decreases its value in the postoperative period with respect to the preoperative period, with this decrease being a usual response to injury. However, no relationship was found between the inflammatory hemocytometry indices for any of the variables studied, both preoperatively and postoperatively. As for the SII, there was no association between its increase and the occurrence of post-surgical events.
In the current literature, there are many studies aimed at detecting and determining the prognostic potential of many biological markers that are accessible to all media and low in cost. A historical review of a group of these studies [] highlights the importance of the immunological changes that develop during cancer. These immunological changes, including increased neutrophils and lymphopenia, allow the development of certain ratios that function as indices. In the case of solid tumors of the gastrointestinal tract, one ratio in particular, the preoperative NLR, has been shown to be a prognostic factor in survival and postsurgical outcomes. Some studies have found a negative prognostic relationship between PLR and 2-year survival in cohorts of 500 NSCLC patients [].
Other authors, on the other hand, have focused on determining the relationship between SII and prognosis in neoplastic diseases. Other studies with a retrospective design have found that elevated values of SII, PLR and NLR are associated with a negative prognosis in the early stages of NSLC [,,]. However, these are studies with heterogeneity in their samples, which does not allow their conclusions to be generalized. A meta-analysis of retrospective studies in SCLC showed a relationship between high levels of SII and a worse prognosis [].
We can observe that NRL, SII and PLR are shown as a constant, where the higher the values, the worse the prognosis; however, in no case has a cut-off value been defined to establish this relationship. There is also no consistency between stages, since some find this relationship in early stage16 while others do so only in advanced stage20. As previously published, a retrospective study showed that high LMR values are associated with worse DFS and OS in early stages []. The same index has been described as a worse independent prognosis in advanced stages [].
It is this inconsistency between the different indices, the pathological stage and the threshold or cut-off values that prevents, for the time being, these indices to be established as useful tools in clinical practice.
In the case of our current study, although the design does not present advantages over pre-existing ones, the results differ from those found by other authors. Some studies support the idea that different stages imply different inflammatory states and, therefore, different outcomes [,]. In our case, we did not find such a claim. Patients presented variations in their total number of neutrophils, lymphocytes, platelets and monocytes, in accordance with the findings in the literature. Neutrophils, monocytes and platelets all showed an absolute increase, while lymphocytes showed a decrease in absolute number. The indices also presented similar variations. However, it has not been possible to establish a relationship between these values and complications or outcomes.
New studies have been devoted to the search for new indices, among which the Red Cell Distribution Width (RDW), pretreatment Hb and pretreatment PLR, and MRL indices stand out as prognostic factors in other neoplasms and especially in lung cancer [,,,,]. On the other hand, the existence of new treatments that act on the patient’s immune system, such as immunotherapy, present us with an added risk for which hematological indices do not seem to have the same influence [].
Our study, however, has limitations. It is a retrospective study, does not avoid selection bias and does not allow the variables studied, such as the inclusion criteria, selected approaches in the interventions or the operator performing them, to be controlled. There is no specific protocol for the type of surgery performed or the number of ports. Not all patients had both pre-operative and postoperative determinations. In our analysis, only those with both determinations were included, which generated a reduced sample. The latter is reflected in the recording of minor complications such as acute urinary retention (AUR), subcutaneous emphysema or persistent air leak, whose low frequency did not allow us to draw conclusions. The short follow-up time limits the correct interpretation of the survival data, not allowing definitive conclusions to be drawn, as any interpretation would probably be inaccurate. Finally, this is a study developed in a single center, so it lacks the external validation of the data and there may be biases associated with the institution itself.
Looking ahead, these indices need to be explored with prospective, randomized designs to better define the conditions under which they change. It is also important to define which characteristics of the surgical approach, in this case the robotic approach, influence the variations in these indices. With this knowledge, it would be possible to define the complete picture of the interaction between the immune system, the surgical approach, the postoperative complications and finally the oncologic prognosis. In this sense, our team is developing new studies with better designs to answer the questions that the present analysis has not been able to explain.
5. Conclusions
In summary, our study contributes to the growing body of evidence exploring the prognostic value of inflammatory indices in patients undergoing robot-assisted thoracic surgery for lung cancer. Our findings suggest that inflammatory indices derived from blood, such as PLR, NLR, and LMR, do not appear to be reliable predictors of postoperative complications, air leak, or mortality in patients undergoing robot-assisted anatomical lung resection for lung cancer. These results emphasize the need for further research with larger sample sizes, longer follow-up periods, and more rigorous study designs to better understand the prognostic value of these indices in clinical practice. Additionally, given the inconsistent findings across different studies and the lack of standardized cut-off values, future research should focus on identifying robust prognostic indices and establishing clear criteria for their clinical utility.
Author Contributions
Conceptualization, R.R., N.I.Q. and M.B.; methodology, R.R. and L.G.; formal analysis, M.B. and A.U.; investigation, L.G., X.M. and I.B. (Irene Botias); writing—original draft preparation, N.I.Q.; writing—review and editing, A.G., L.M., R.N. and R.G.; visualization, A.U. and I.B. (Irene Bello); supervision, R.R. and M.B.; project administration, N.I.Q., M.B. and R.R. All authors have read and agreed to the published version of the manuscript.
Funding
This research received no external funding.
Institutional Review Board Statement
The study was conducted in accordance with the Declaration of Helsinki, and approved by the Ethics Committee “Comité de Ética de la Investigación—HCB” with the number: HCB/2023/0744, 27 July 2023.
Informed Consent Statement
Patient consent was waived because this is a retrospective study analyzing laboratory parameters. All data were anonymized prior to analysis, ensuring patient confidentiality and compliance with ethical standards.
Data Availability Statement
Data presented in this study are available upon request from the corresponding author. Data are not available to the public due to the internal policies of the institution and the data protection law 3/2018.
Conflicts of Interest
The authors declare no conflicts of interest.
Abbreviations
The following abbreviations are used in this manuscript:
MDPI | Multidisciplinary Digital Publishing Institute |
NLR | Neutrophil–Lymphocyte Ratio |
PLR | Platelet–Lymphocyte Ratio |
LMR | Lymphocyte–Monocyte Ratio |
SII | Systemic Immune-Inflammatory Index |
RATS | Robot-Assisted Thoracic Surgery |
FEV1 | Forced Expiratory Volume in 1 s |
DLCO | Diffusing Capacity of the Lung for Carbon Monoxide |
BMI | Body Mass Index |
COPD | Chronic Obstructive Pulmonary Disease |
TNM | Tumor–Node–Metastasis (8th edition) |
PAL | Persistent Air Leak |
ARDS | Adult Respiratory Distress Syndrome |
OR | Odds Ratio |
ROC | Receiver Operating Characteristic |
RDW | Red Cell Distribution Width |
Hb | Hemoglobin |
AUR | Acute Urinary Retention |
DFS | Disease-Free Survival |
OS | Overall Survival |
NSCLC | Non-Small Cell Lung Cancer |
SCLC | Small Cell Lung Cancer |
HBP | High Blood Pressure |
DM | Diabetes Mellitus |
CKD | Chronic Kidney Disease |
CVD | Cardiovascular Disease |
ICU | Intensive Care Unit |
ReSI | Surgical Re-Intervention |
AF | Atrial Fibrillation |
HF | Heart Failure |
ADK | Adenocarcinoma |
Sqm | Squamous Cell Carcinoma |
Readmission 30d | Readmission within 30 days |
References
- Ruckdeschel, J.C.; Codish, S.D.; Stranahan, A.; McKneally, M.F. Postoperative Empyema Improves Survival in Lung Cancer. N. Engl. J. Med. 1972, 287, 1013–1017. [Google Scholar] [CrossRef]
- Sekiguchi, K.; Oki, S.; Sugimoto, H. Influence of Empyema after Resection for Bronchogenic Carcinoma and Survival (Cooperative Study in Japan). Tohoku J. Exp. Med. 1979, 128, 63–69. [Google Scholar] [CrossRef] [PubMed]
- Dunn, G.P.; Bruce, A.T.; Ikeda, H.; Old, L.J.; Schreiber, R.D. Cancer immunoediting: From immunosurveillance to tumor escape. Nat. Immunol. 2002, 3, 991–998. [Google Scholar] [CrossRef] [PubMed]
- Coulie, P.G.; Van den Eynde, B.J.; Van Der Bruggen, P.; Boon, T. Tumour antigens recognized by T lymphocytes: At the core of cancer immunotherapy. Nat. Rev. Cancer 2014, 14, 135–146. [Google Scholar] [CrossRef] [PubMed]
- Brohee, D.; Vanderhoeft, P.; Smets, P. Lung cancer and postoperative empyema. Eur. J. Cancer 1977, 13, 1429–1436. [Google Scholar] [CrossRef] [PubMed]
- Ng, C.S.H.; Lee, T.W.; Wan, S.; Wan, I.Y.P.; Sihoe, A.D.L.; Arifi, A.A.; Yim, A.P.C. Thoracotomy Is Associated with Significantly More Profound Suppression in Lymphocytes and Natural Killer Cells Than Video-Assisted Thoracic Surgery Following Major Lung Resections for Cancer. J. Investig. Surg. 2005, 18, 81–88. [Google Scholar] [CrossRef]
- Ng, C.S.H.; Lau, K.K.W. Surgical Trauma and Immune Functional Changes Following Major Lung Resection. Indian J. Surg. 2015, 77, 49–54. [Google Scholar] [CrossRef]
- Jones, R.O.; Anderson, N.H.; Murchison, J.T.; Brittan, M.; Simon, E.J.; Casali, G.; Simpson, A.J.; Walker, W.S. Innate Immune Responses after Resection for Lung Cancer via Video-Assisted Thoracoscopic Surgery and Thoracotomy. Innov. Technol. Tech. Cardiothorac. Vasc. Surg. 2014, 9, 93–103. [Google Scholar] [CrossRef] [PubMed]
- Walker, W.S.; Leaver, H.A. Immunologic and Stress Responses Following Video-Assisted Thoracic Surgery and Open Pulmonary Lobectomy in Early Stage Lung Cancer. Thorac. Surg. Clin. 2007, 17, 241–249. [Google Scholar] [CrossRef] [PubMed]
- Ng, C.S.; Wan, S.; Hui, C.W.; Wan, I.Y.; Lee, T.W.; Underwood, M.J.; Yim, A.P. Video-assisted thoracic surgery lobectomy for lung cancer is associated with less immunochemokine disturbances than thoracotomy. Eur. J. Cardio-Thoracic Surg. 2007, 31, 83–87. [Google Scholar] [CrossRef]
- Yu, P.S.Y.; Chan, K.W.; Lau, R.W.H.; Wan, I.Y.P.; Chen, G.G.; Ng, C.S.H. Uniportal video-assisted thoracic surgery for major lung resection is associated with less immunochemokine disturbances than multiportal approach. Sci. Rep. 2021, 11, 10369. [Google Scholar] [CrossRef] [PubMed]
- Whitson, B.; D’cunha, J.; Maddaus, M. Minimally invasive cancer surgery improves patient survival rates through less perioperative immunosuppression. Med. Hypotheses 2007, 68, 1328–1332. [Google Scholar] [CrossRef] [PubMed]
- Ng, C.S.; Wan, I.Y.; Yim, A.P. Impact of Video-Assisted Thoracoscopic Major Lung Resection on Immune Function. Asian Cardiovasc. Thorac. Ann. 2009, 17, 426–432. [Google Scholar] [CrossRef] [PubMed]
- Guo, F.; Ma, D.; Li, S. Compare the prognosis of Da Vinci robot-assisted thoracic surgery (RATS) with video-assisted thoracic surgery (VATS) for non-small cell lung cancer. Medicine 2019, 98, e17089. [Google Scholar] [CrossRef] [PubMed]
- Erus, S.; Öztürk, A.B.; Albayrak, Ö.; Incir, S.; Kapdağlı, M.H.; Cesur, E.E.; Yavuz, Ö.; Tanju, S.; Dilege, Ş. Immune profiling after minimally invasive lobectomy. Interact. Cardiovasc. Thorac. Surg. 2021, 32, 291–297. [Google Scholar] [CrossRef]
- Zahorec, R. Neutrophil-to-lymphocyte ratio, past, present and future perspectives. Bratisl. Med. J. 2021, 122, 474–488. [Google Scholar] [CrossRef] [PubMed]
- Łochowski, M.; Łochowska, B.; Zawadzka, I.; Cieślik-Wolski, B.; Kozik, D.; Kozak, J. Prognostic value of neutrophil-to-lymphocyte, platelet-to-lymphocyte and lymphocyte-to-monocyte ratio ratios in patients operated on due to non-small cell lung cancer. J. Thorac. Dis. 2019, 11, 3377–3384. [Google Scholar] [CrossRef]
- Guo, W.; Cai, S.; Zhang, F.; Shao, F.; Zhang, G.; Zhou, Y.; Zhao, L.; Tan, F.; Gao, S.; He, J. Systemic immune-inflammation index (SII) is useful to predict survival outcomes in patients with surgically resected non-small cell lung cancer. Thorac. Cancer 2019, 10, 761–768. [Google Scholar] [CrossRef]
- Zhang, Y.; Chen, B.; Wang, L.; Wang, R.; Yang, X. Systemic immune-inflammation index is a promising noninvasive marker to predict survival of lung cancer. Medicine 2019, 98, e13788. [Google Scholar] [CrossRef]
- Moreno, C.; Ureña, A.; Macia, I.; Rivas, F.; Déniz, C.; Muñoz, A.; Serratosa, I.; Poltorak, V.; Moya-Guerola, M.; Masuet-Aumatell, C.; et al. The Influence of Preoperative Nutritional and Systemic Inflammatory Status on Perioperative Outcomes following Da Vinci Robot-Assisted Thoracic Lung Cancer Surgery. J. Clin. Med. 2023, 12, 554. [Google Scholar] [CrossRef]
- Wang, Y.; Li, Y.; Chen, P.; Xu, W.; Wu, Y.; Che, G. Prognostic value of the pretreatment systemic immune-inflammation index (SII) in patients with non-small cell lung cancer: A meta-analysis. Ann. Transl. Med. 2019, 7, 433. [Google Scholar] [CrossRef] [PubMed]
- Huang, W.; Luo, J.; Wen, J.; Jiang, M. The Relationship Between Systemic Immune Inflammatory Index and Prognosis of Patients With Non-Small Cell Lung Cancer: A Meta-Analysis and Systematic Review. Front. Surg. 2022, 9, 898304. [Google Scholar] [CrossRef] [PubMed]
- Rebuzzi, S.E.; Prelaj, A.; Friedlaender, A.; Cortellini, A.; Addeo, A.; Genova, C.; Naqash, A.R.; Auclin, E.; Mezquita, L.; Banna, G.L. Prognostic scores including peripheral blood-derived inflammatory indices in patients with advanced non-small-cell lung cancer treated with immune checkpoint inhibitors. Crit. Rev. Oncol. Hematol. 2022, 179, 103806. [Google Scholar] [CrossRef] [PubMed]
- Paglialunga, P.L.; Molins, L.; Guzmán, R.; Guirao, A.; Grando, L.; Sanchez-Lorente, D.; Guerrero, C.; Bello, I.; Quiroga, N.; Boada, M. Starting a robotic thoracic surgery program: From wedge resection to sleeve lobectomy in six months. Initial conclusions. Cirugía Española 2023, 101, 833–840. [Google Scholar] [CrossRef] [PubMed]
- Decaluwé, H. Video-assisted thoracic surgery tunnel technique: An alternative fissureless approach for anatomical lung resections. Video-Assisted Thorac. Surg. 2017, 2, 45. [Google Scholar] [CrossRef]
- Dindo, D.; Demartines, N.; Clavien, P.-A. Classification of Surgical Complications. Ann. Surg. 2004, 240, 205–213. [Google Scholar] [CrossRef] [PubMed]
- Zhou, Y.; Dai, M.; Zhang, Z. Prognostic Significance of the Systemic Immune-Inflammation Index (SII) in Patients With Small Cell Lung Cancer: A Meta-Analysis. Front. Oncol. 2022, 12, 814727. [Google Scholar] [CrossRef]
- Ramos, R.; Macía, I.; Navarro-Martin, A.; Déniz, C.; Rivas, F.; Ureña, A.; Masuet-Aumatell, C.; Moreno, C.; Nadal, E.; Escobar, I. Prognostic value of the preoperative lymphocyte-to-monocyte ratio for survival after lung cancer surgery. BMC Pulm. Med. 2021, 21, 75. [Google Scholar] [CrossRef] [PubMed]
- Łochowski, M.; Łochowska, B.; Chałubińska-Fendler, J.; Zawadzka, I.; Rębowski, M.; Kozak, J. Prognostic Factors Determining Survival of Patients Operated for Non-Small Cell Lung Cancer with Consideration Given to Morphological Parameters of Blood. Cancer Manag. Res. 2021, 13, 479–487. [Google Scholar] [CrossRef]
- Feier, C.V.I.; Muntean, C.; Faur, A.M.; Gaborean, V.; Petrache, I.A.; Cozma, G.V. Exploring Inflammatory Parameters in Lung Cancer Patients: A Retrospective Analysis. J. Pers. Med. 2024, 14, 552. [Google Scholar] [CrossRef] [PubMed]
- Şahin, F.; Aslan, A.F. Relationship between Inflammatory and Biological Markers and Lung Cancer. J. Clin. Med. 2018, 7, 160. [Google Scholar] [CrossRef] [PubMed]
Disclaimer/Publisher’s Note: The statements, opinions and data contained in all publications are solely those of the individual author(s) and contributor(s) and not of MDPI and/or the editor(s). MDPI and/or the editor(s) disclaim responsibility for any injury to people or property resulting from any ideas, methods, instructions or products referred to in the content. |
© 2025 by the authors. Licensee MDPI, Basel, Switzerland. This article is an open access article distributed under the terms and conditions of the Creative Commons Attribution (CC BY) license (https://creativecommons.org/licenses/by/4.0/).