Abstract
Background: This study analyzes the biomechanical contributions of the non-throwing arm during the completion phase of the glide shot put technique, focusing on its roles in performance optimization. Methods: Data from a Chinese elite female shot-putter were collected during a national championship, with three-dimensional kinematic analyses and Spearman correlation to assess joint displacement, velocity, and angular changes. Results: Distal joints of the non-throwing arm exhibited greater displacement but lower peak velocity than proximal joints. Angular changes showed a flexion trend in the elbow and shoulder, with brief extension phases in the elbow. During the completion phase, the shoulder velocity of the non-throwing arm positively correlated with shot put velocity (rs = 0.72, p < 0.05) but negatively correlated with the velocity of the elbow (rs = −0.46, p < 0.05), wrist (rs = −0.41, p < 0.05), and center of mass (rs = −0.66, p < 0.05). The elbow velocity positively correlated with shot put velocity (rs = 0.56, p < 0.05) but negatively correlated with velocities of the shoulder (rs = −0.59, p < 0.05), wrist (rs = −0.79, p < 0.05), and center of mass (rs = −0.91, p < 0.05). Wrist velocity exhibited similar correlations. Conclusions: These findings underscore the active role of the non-throwing arm in enhancing shot put performance by influencing the center of mass movement, rotational mechanics, and energy transfer, providing actionable guidance for elite training optimization.
1. Introduction
Shot put (SP) is a cornerstone event in track and field athletics and has been a mainstay of the Summer Olympics since 1896 [1]. As a power-dominant sport, it exemplifies the integration of strength, technique, and biomechanical precision [2,3]. SP aims to optimize horizontal throw distance by achieving efficient energy transfer through a well-coordinated kinetic chain [3]. Shot put techniques have evolved significantly over decades, with the glide and rotational techniques emerging as dominant approaches to optimize performance. The glide technique employs a linear trajectory across the throwing circle, culminating in an explosive delivery phase. Its relative simplicity makes it ideal for biomechanical analysis, and most athletes begin using the glide technique, which assists more athletes in winning the Olympic and world championships [4]. On the other hand, the rotational technique, introduced later, utilizes a discus-like spin to generate momentum [5]. While both techniques are used at elite levels, the glide technique remains popular for its linear nature, which facilitates biomechanical analysis. Moreover, the glide technique of SP, characterized by its linear and controlled motion, is more readily accepted by female athletes due to its biomechanical and practical advantages [1].
The glide technique can be broadly divided into four phases: the initiation phase, flight phase, landing phase, and completion phase [6]. The completion phase is pivotal, as it encompasses the explosive motions that dictate shot put performance, emphasizing key kinematic and kinetic parameters [6]. Understanding the intricate biomechanics of this phase, especially the role of often-overlooked body segments like the non-throwing arm, is vital for optimizing performance. Extensive biomechanical research has focused on key determinants of shot-put performance in the completion phase, such as throwing arm mechanics [7], leg drive [8], hip rotation, and trunk rotation [9]. Lower body contribution has been well documented, with research highlighting the importance of leg drive and hip rotation in generating power [10]. Trunk rotation has been identified as a critical factor in energy transfer from the lower body to the upper extremities [11,12]. Additionally, investigations into release parameters, such as angle, height, and velocity, have provided insights into optimizing throw distance [11]. Recent studies have also explored the kinetic chain in SP, emphasizing the sequential activation of body segments for maximum performance [13]. Despite substantial advancements in SP biomechanics, the role of the non-throwing arm remains nearly underexplored. Harasin found that the functions of the non-throwing arm were concentrated on improving the velocity of the throwing side by the motion of swinging [14]. In contrast, extensive studies have explored the role of the non-throwing arm in baseball [15,16,17]. These studies highlight its critical function in generating rotational momentum and optimizing throwing efficiency. These findings provide valuable insights into shot put biomechanics. Preliminary studies have suggested its potential role in contributing to rotational momentum. Addressing this gap is essential, as whole-body coordination plays a pivotal role in optimizing throwing performance.
In recent years, Chinese female shot-putters have consistently exhibited exceptional performances in international competitions. A focused analysis of the non-throwing arm mechanics of China’s best elite female shot-putters offers valuable insights into the technical nuances of the glide shot put technique, contributing to a deeper understanding of the biomechanical factors underlying her success. This study specifically aims to investigate the biomechanical contributions of the non-throwing arm in elite female shot-putters. The primary objective is to analyze how the non-throwing arm influences the glide technique during the completion phase. The hypothesis posits that the velocity of the joints in the non-throwing arm may significantly affect the throwing side, the center of mass, and shot put performance, potentially leading to more effective and efficient throwing techniques.
2. Materials and Methods
An elite female shot putter (height: 175 cm, weight: 110 kg, BMI: 35.92) participated in this analysis, using the glide technique and performing at national championships. The participant, an elite female shot-putter, was selected based on her competitive achievements, including her performance in international championships. The focus on a single elite athlete ensures data reliability and relevance to high-performance contexts, allowing for an in-depth biomechanical analysis of optimal technique. In the year analyzed, the athlete belonged to the group of the first world-leading shot putters and gained high performance at the IAAF World Championships in Athletics of female shot put. During the national championship, her results were significantly superior to those of other competitors. This disparity in performance made it impractical to include other athletes in the analysis, as their techniques and biomechanical profiles might not provide comparable insights. To ensure the reliability and relevance of the findings, we focused on analyzing the optimal performance of this elite athlete. The athlete was given 30 min to perform a warm-up, which included 10 min of jogging at self-selected intensity and training on the test motion. The participant volunteered to participate in the study and was fully briefed on the measurement procedure before providing their written consent. All investigative procedures were conducted in accordance with the Declaration of Helsinki and approved by the Ethics Committee of Jilin university (201901020).
2.1. Study and Design
The timeline of study design is shown at Figure 1. The experiment was conducted at a national championship in China, where the athlete have gained the championship in the race of the female shot put event. In the race, the athlete used the glide technique to complete the shot put competition. All six trials performed during the competition were recorded for analysis. Among these, the best trial (sixth trial, 19.46 m) was selected for detailed biomechanical analysis, as it represents the athlete’s optimal performance during the event.
Figure 1.
Study Design and Timeline.
2.2. Data Collection
The athlete performed at a standard outdoor wooden shot put circle, following the specifications outlined by the International Association of Athletics Federations (IAAF). The sector for shot put landing was accurately marked according to the IAAF regulations to ensure compliance with legal throwing requirements. All six trials were conducted using the IAAF-approved outdoor shot implements, which were calibrated and verified for competition use. Additionally, the measurement of throw distances followed the IAAF Rule 187, ensuring precision and adherence to international standards. These measures guarantee the validity and reliability of the collected data. The camera supports high-resolution image acquisition and fast shutter speed, ensuring that the intricate details of the throwing motion are clearly visible, and effectively minimizes motion blur. This resolution serves as a robust foundation for further quantitative analysis of the non-throwing arm’s kinematics. A laptop was used to connect and synchronize two cameras. The laptop was connected to the cameras by two cables for transiting the video to the laptop, and the cameras were connected by a cable and four bayonet nut connectors for synchronization. Moreover, the trigger was placed between two connectors and sent the synchronous signals. The cameras were strategically positioned in pairs, with their optical axes aligned to facilitate three-dimensional analysis. Cameras were calibrated with a rigid cuboid frame measuring 2 m × 2 m × 2 m. All experimental setups are illustrated in Figure 2.
Figure 2.
Positioning of high-speed cameras and synchronization system.
2.3. Data Analysis
2.3.1. Completion Phase of Glide Shot Put Definition
The videos were inspected using Simi-Motion to identify the throwing event. The following events for the throw were identified, including the touchdown and the release. Touchdown means the front foot first touches down after the glide, and the release means the shot put leaves the fingers of the shot putter. These events constituted the completion phase that began with the front foot ‘Touchdown’ and finished with the shot leaving the hand of the thrower; the ‘Release’. Moreover, the completion phase can be divided into the transition phase and delivery phase by the moment of the smallest angle of the knee regarding the throwing side. The transition phase began with ‘Touchdown’ and finished with the smallest knee angle, and the delivery phase began with the smallest knee angle and finished with the release.
2.3.2. Kinematics Calculation
The videos were analyzed by Simi-Motion (SIMI Motion version 9.2.2, Simi Reality Motion Systems GmbH, Unterschleißheim, Germany). The center of mass (CoM) was determined by calculating the CoM of each body segment [18]. The whole-body 16-point model included the center of the head, as well as the bilateral shoulder, elbow, hand, hip, knee, ankle bone, foot tip, and shot put. The 3D coordinates were reconstructed by the direct linear transformation (DLT) algorithm according to the data collected by each camera group. A Butterworth digital filter was used to process the three-dimensional trajectories at 10 Hz.
The completion phase time (CPT), transition phase time (TPT), delivery phase time (DPT), relative transition phase time (RTPT), relative delivery phase time (DPT); the center of mass move length in completion phase (CPL), transition phase (TPL), delivery phase(DPL), as well as relative length of transition phase (RTPL), and delivery phase (RDPL) were collect to analysis. Moreover, the displacement and velocity of the hands, elbows, and shoulders of the non-throwing arm and throwing arm, as well as the hip of the throwing side were recorded. The joint angles of interest included the shoulder, and elbow of the non-throwing arm, which recorded the angular (°), angular velocity (Rad/s−1), and angular acceleration (Rad/s−2).
2.4. Statistics
Velocities of the shoulder, elbow, and wrist on both the non-throwing and throwing sides, as well as the center of the mass and shot put, were analyzed during the completion phase to clarify the relationship between the joints of the non-throwing arm and the throwing side (a total of thirty-four data sets). The normality of the distribution of the data was evaluated using the Shapiro–Wilk test and the data were found to be not normally distributed. Therefore, the Spearman rank-order test was employed to facilitate the statistical relationship between the non-throwing arm and throwing side kinematics. All analyses yielded statistically significant results at a significance level of p < 0.05. The statistical analyses were conducted using GraphPad Prism 9.0 and Excel 2016.
3. Results
The movement of absolute and relative distances regarding non-throwing arm joints during the completion phase is outlined in Table 1. The results revealed that the absolute distance of distal joints was longer than proximal joints during the phases of completion, transition, and delivery. The relative distance of distal joints was longer than proximal joints during the transition phase, while that of proximal joints was shorter than that of distal joints during the delivery phase.
Table 1.
Absolute distance (m) and relative distance (%) of different stages of displacement of non-throwing arm at completion phase.
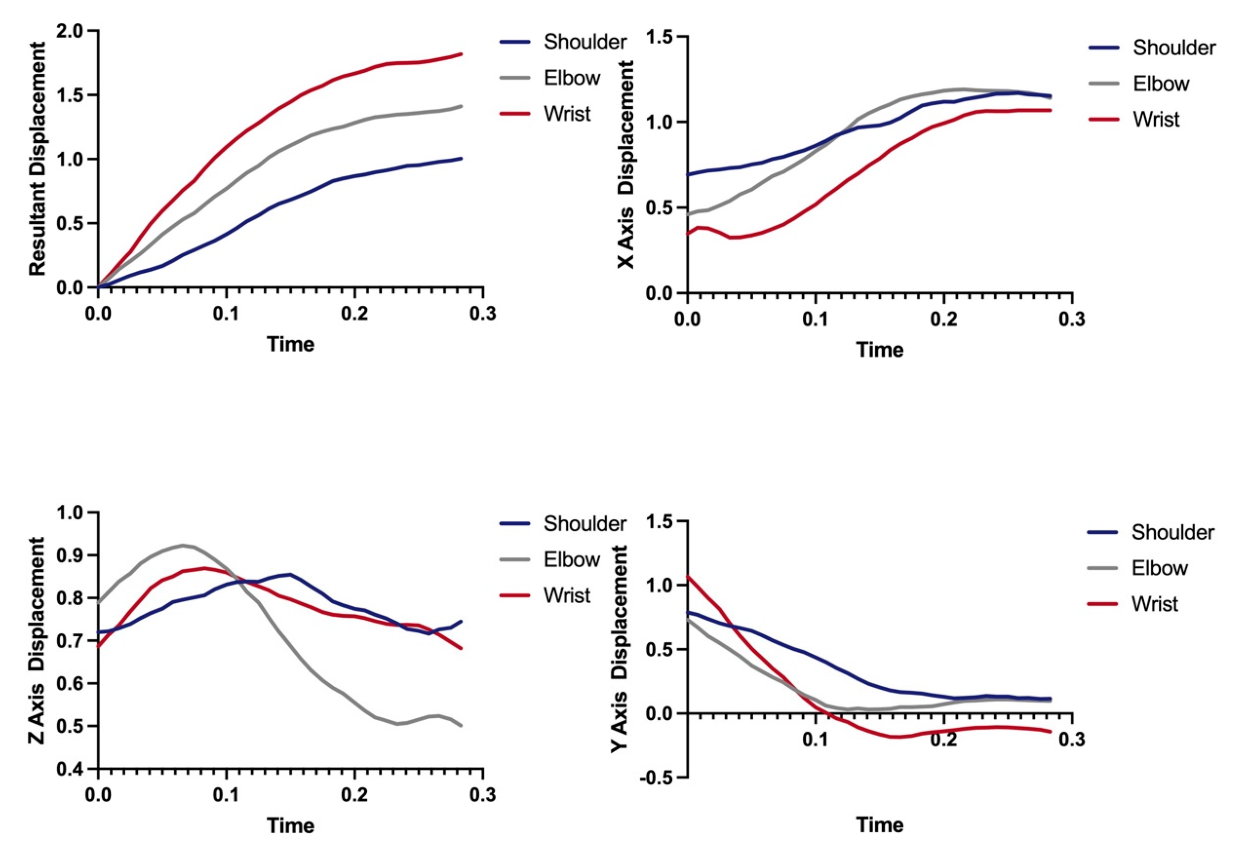
The displacement of the non-throwing arm in the coronal axis, sagittal axis, and vertical axis is described in Figure 3. The non-throwing arm joints changed the direction of displacement in three axes, and the sequences can be summarized as follows: in the coronal axis, the shoulder of the non-throwing arm moved from the left side to the right side, followed by the elbow and hand; in the sagittal axis, the direction of displacement regarding non-throwing arm joints was from back to the front, and the trend of shoulder displacement was not more obviously than that of the elbow and hand. Moreover, the changes in the elbow and hand were similar compared to the shoulder; in the vertical axis, the shoulder was the first joint to change the direction of displacement, followed by the hand and elbow.
Figure 3.
The displacement of non-throwing arm joints in coronal axis (X Axis), sagittal axis (Y Axis), and vertical axis (Z Axis), as well as resultant displacement.
The joints of the non-throwing arm’s displacement velocity regarding the axis of coronal, sagittal, vertical, as well as resultant velocity, are shown in Figure 4 and Table 2. During the completion phase, the trend of resultant velocity regarding joints of the non-throwing arm performed decreases and increases at the end of the phase, similar to the changing of the sagittal axis velocity of the joints. The coronal axis velocity increases when moving from right to left, then decreases in the second half and changes direction before release. The vertical axis velocity regarding joints of the non-throwing arm was changed from positive to negative, which indicates the changing in direction from upside to downside, and the direction was changed before release. The joints of the non-throwing arm’s displacement changed the direction and decreased the velocity before release.
Figure 4.
The velocity of non-throwing arm joints in coronal axis (X Axis), sagittal axis (Y Axis), and vertical axis (Z Axis), as well as resultant velocity.
Table 2.
The velocity changing of joints regarding non-throwing arm (m/s).
The angular change during the completion phase is shown in Figure 5. During the completion phase, the angles of the shoulder and elbow have shown the flexion trends, and the elbow angle exhibited brief periods of extension.
Figure 5.
The angular change regarding the elbow and shoulder of non-throwing arm.
The results of the correlation between the velocity changes regarding the joints of the non-throwing arm and the velocity changes in the joints of the throwing arm, shot put, and center of gravity are presented in Figure 6. The change in resultant velocity regarding the shoulder of the non-throwing arm presents a positive relationship with the velocity of the center of gravity (rs = 0.72, p < 0.05), and a negative relationship with the elbow (rs = −0.46, p < 0.05), hand (rs = −0.41, p < 0.05) of the throwing arm, and shot put (rs = −0.66, p < 0.05). The change in resultant velocity regarding the elbow of the non-throwing arm shows a positive relationship with the velocity of the center of gravity (rs = 0.56, p < 0.05) and a negative influence on the velocity of the shoulder (rs = −0.59, p < 0.05), elbow (rs = −0.79, p < 0.05), hand (rs = −0.75, p < 0.05) of the throwing arm, and shot put (rs = −0.91, p < 0.05).
Figure 6.
The correlation results between joints of non-throwing arm and throwing side joints, center of mass and shot put. *, p < 0.05.
The change in resultant velocity regarding the hand of the non-throwing arm exhibited a positive relationship with the center of gravity(rs = 0.56, p < 0.05), and a negative relationship to the shoulder(rs = −0.60, p < 0.05), elbow (rs = −0.80, p < 0.05), hand (rs = −0.74, p < 0.05) of the throwing arm, and shot put(rs = −0.99, p < 0.05). The resultant velocity of joints of non-throwing shows no correlation to the hip joint of the throwing side.
4. Discussion
4.1. Results Discussion
The main findings of this study can be summarized as follows: (1) The direction and velocity change: The joints of the non-throwing arm changed their displacement direction prior to shot put release, and the shoulder exhibits a trend of first increasing and then decreasing with decreasing velocity of elbow and wrist regarding non-throwing side, indicating a complex coordination pattern; (2) Angular changes: While the shoulder and elbow angles generally showed a flexion trend, the elbow angle exhibited brief periods of extension, suggesting a nuanced joint control strategy; (3) Velocity correlations: The resultant velocity of the non-throwing arm joints showed significant correlations with the throwing arm joints and shot put velocity, but notably, not with the hip joint of the throwing side. Specifically: Shoulder velocity was positively correlated with center of gravity velocity. Elbow and hand velocities were negatively correlated with throwing arm joint velocities and shot put velocity. These findings highlight the complex and nuanced role of the non-throwing arm in shot put performance, suggesting that the non-throwing arm is not merely a passive component but plays an active role in throw mechanics, potentially influencing balance, energy transfer, and overall throwing effectiveness. The following discussion will examine these results in detail, exploring their implications for shot put technique and training strategies.
Shot put performance demands high mechanical power output, generated by the movement of the center of mass and all body segments within a confined space. Therefore, all the muscles needed by the shot put must work for great performance. Previous studies confirm that the right arm and trunk play a significant role in higher performance and better energy transformation [12]. Thus, the functions of the non-throwing arm are crucial as they influence the rotation and translation of the trunk and throwing arm from the back to the front. In addition to its impact on the center of mass movement, the non-throwing arm plays a significant role in the prestretch and the stretch-shortening cycle.
The study observed the increasing resultant velocity regarding the shoulder of the non-throwing arm in the first half of the completion phase. While this displacement initiates the movement of the throwing side, Dražen Harasin suggests that it also increases the release velocity of the shot put, a phenomenon explained by the stretch-shortening cycle [14]. The non-throwing arm’s swinging motion stretches antagonistic muscles, activating the stretch-shortening cycle, which enhances energy efficiency and velocity output. This mechanism aligns with the force–velocity relationship in muscle physiology, allowing for greater power output during the throw [19]. Therefore, the prestretch was one of the important functions of the non-throwing arm and this was a reason to explain the shoulder of the non-throwing arm’s increasing velocity. The direction and velocity of the non-throwing arm’s swing are significant because it moves forward on the left side before the throwing side, influencing the movement direction and rotation radius of the throwing arm. Thus, the non-throwing arm increasing resultant velocity in the first half of the completion phase can accelerate the velocity of the center of mass for preparing better shot putting by stretch-shortening cycle and decreasing rotation radius. The non-throwing arm decelerated the resultant velocity prior to the release. The non-throwing arm moved downward, coinciding with the deceleration of the athlete’s overall velocity. Lowering the non-throwing arm can be associated with lateral flexion of the left trunk. Roman Waldera et al. observed that elite female shot putters exhibited greater lateral flexion on the non-throwing side [6]. Göksu and Kural found a negative correlation between the lateral flexion of the non-throwing side trunk and the release angle [20]. Considering Ariel et al.’s findings [21] on optimal release angles, we found that lowering the non-throwing arm might decrease the release angle. This could potentially improve the release velocity of the shot, though further research is needed to confirm this relationship.
The study also found the extension regarding the elbow of the non-throwing arm during the flexion of joints regarding non-throwing arm. In a previous study, the non-throwing arm’s movement significantly affects the athlete’s rotation radius, which, in turn, impacts the overall throwing performance. Hence, the rotation of the trunk results in the curved motion of the throwing arm, and the shot put that the radius of curves can be controlled by the non-throwing arm [14]. A bigger radius contributes to a larger moment of inertia and reduces the rotation velocity [22]. The extension of the elbow of the non-throwing arm improves the radius of trunk rotation. Decreasing trunk rotation velocity through increased radius allows for better energy transfer timing to the throwing arm, which contributes to the over-instrument [23]. Moreover, it provides a higher moment of inertia that can assist the rotation of the trunk and throwing side [24], which explains the extension of the elbow during the completion phase. Furthermore, research regarding the throwing motion points out the instrument should be thrown when the moment of inertia is minimal [25]. The non-throwing arm’s influence on the rotation radius directly affects the moment of inertia of the thrower’s body system. This result explains the flexion of joints of the non-throwing arm during completion. According to the principle of conservation of angular momentum [26], changes in this radius can significantly impact the angular velocity and, consequently, the linear velocity of the shot at release.
The results have shown the correlation between the non-throwing arm and the throwing side, center of mass, and shot put. The negative correlation between the non-throwing arm and the instrument. This correlation suggests that a slower-moving non-throwing arm might be associated with higher shot velocities. Błażkiewicz’s study demonstrated that during the shot put, the right trunk and right lower limbs contribute to improved performance and more efficient energy transfer [12]. Specifically, the appropriate rotation of the trunk and throwing side guarantees higher performance. This rotation is crucial for better energy transfer. However, the suitable throwing side movement is combined with the non-throwing arm. Moreover, the positive correlation between the joints of the non-throwing arm and the throwing side and center of mass was explained as part of the first discussion. Although baseball throwing and shot put throwing differ in their specific movements, both activities require full-body coordination and effective energy transfer. Consequently, findings from research on the effects of the non-throwing arm in baseball may offer valuable insights into the mechanics of the shot put throw. Previous studies on baseball throwing show that skilled players tend to rotate and translate their trunks. This movement changes the throwing arm posture, thereby accelerating release velocity [27,28]. The non-throwing arm, acting as a counterbalance, facilitates the displacement of the throwing side, including rotation and translation of the trunk and throwing arm from the back to the front. Ishida et al. found that restricting the non-throwing arm influences the baseball release velocity due to a decrease in shoulder internal rotation angular velocity [29]. A previous study found the torque of throwing arm shoulder rotation, and abduction correlated with the baseball release velocity [22]. In the decreasing displacement range, the non-throwing arm provides the stability center for the throwing arm to circle around it as it accelerates in velocity. Indeed, the non-throwing arm played a pivot point or fulcrum for the upper trunk and the throwing arm to rotate around. The stable fulcrum provided by the non-throwing arm enhances the thrower’s postural control, which is crucial for optimal force transfer, as described in the kinetic chain theory [30]. Therefore, decreasing the velocity of the non-throwing arm’s joints is significant for the throwing side; it ensures higher torque on the throwing arm. Additionally, it helps decelerate the resultant velocity while the throwing arm accelerates. Faster displacement of throwing arm is produced by larger torque. Several studies have shown the shoulder of the non-throwing arm roughly unchanged position while the throwing arm displaces around it in other throwing movements [15,31]. Therefore, the shoulder of the non-throwing arm plays an important role like the pivot point or fulcrum for the trunk and throwing arm rotating. Hence, the non-throwing arm acts as a pivot point, stabilizing the upper body and enabling the throwing arm to generate higher torques efficiently. In summary, the decreasing velocity of the non-throwing arm provides a more stable fulcrum and controls the motion of the throwing side, which can contribute to higher performance.
Based on these observations, we can summarize the function of the non-throwing arm into two main components: firstly, with increasing shoulder velocity, the non-throwing arm introduces displacement regarding the center of mass; secondly, with decreasing velocity, the non-throwing arm serves as a stable pivot for trunk and arm rotation. These findings highlight the complex and nuanced role of the non-throwing arm in shot put performance, suggesting that it is not merely a passive component but plays an active role in throw mechanics. Moreover, our results underscore the critical role of the non-throwing arm, suggesting that coaches and athletes should pay more attention to its mechanics. Specifically, training programs should incorporate exercises that enhance the coordination and timing of the non-throwing arm movement. For instance, drills focusing on the synchronization of both arms during practice can improve overall performance. Coaches may consider implementing targeted strength and conditioning exercises that focus on the muscles involved in the non-throwing arm, aiming to increase its effectiveness as a stabilizing component in the throwing motion. Additionally, video analysis and biomechanical feedback can be beneficial for athletes to visualize and refine their non-throwing arm mechanics during training sessions. By closely examining the movement patterns, athletes can make real-time adjustments, ultimately enhancing their throwing technique.
4.2. Study Limitation
While this study provides valuable insights into the role of the non-throwing arm in shot put performance, it is important to acknowledge its primary limitation: although this provides high-quality data, the results may not be fully generalizable to all athletes. Further research with a broader sample, including male athletes and a wider range of performance levels, is necessary to better understand the generalizability of these findings. Future studies should also explore additional performance parameters such as release height, angle, and velocity. Furthermore, advanced biomechanical analyses, including electromyography (EMG) and kinetic measurements, could help to elucidate the specific muscle activation patterns and energy transfer mechanisms involved in non-throwing arm movement during the shot put.
5. Conclusions
The study utilizes industrial cameras to analyze the kinematics of the non-throwing arm during the completion phase of the glide technique in shot put. The non-throwing arm plays an essential and active role in the shot put performance by contributing to body stabilization, energy transfer, and rotational mechanics. Its coordination impacts multiple aspects of the throw, including the center of mass displacement, rotational dynamics, and velocity optimization. Specifically, the stretch-shortening cycle facilitated by the non-throwing arm enhances energy storage and release, improving force generation on the throwing side. Additionally, by modulating the rotation radius, the non-throwing arm influences the moment of inertia, allowing for better control of angular velocity during the critical phases of the throw. These findings highlight the complex biomechanical interactions driven by the non-throwing arm, which directly support throwing effectiveness and efficiency. Integrating these insights into training programs can help athletes optimize their technique, focusing on timing, coordination, and movement patterns of the non-throwing arm to maximize performance.
Author Contributions
Conceptualization, J.J., H.X. and G.Y.; Formal analysis, J.C.; Investigation, J.J., T.Y., Y.M. and H.W.; Methodology, J.J., T.Y., H.X. and G.Y.; Writing—original draft, J.J.; Writing—review and editing, J.J., H.X. and G.Y. All authors have read and agreed to the published version of the manuscript.
Funding
This research received no external funding.
Institutional Review Board Statement
The subject gave her informed consent for inclusion before her participated in the study. The study was conducted in accordance with the Declaration of Helsinki, and the protocol was approved by the Ethics Committee of Jilin university (201901020) on 20 October 2019.
Informed Consent Statement
Informed consent was obtained from all subjects involved in this study.
Data Availability Statement
Data will be available upon reasonable request to the corresponding authors.
Conflicts of Interest
The authors declare no conflicts of interest.
References
- Meron, A.; Saint-Phard, D. Track and Field Throwing Sports: Injuries and Prevention. Curr. Sport. Med. Rep. 2017, 16, 391–396. [Google Scholar] [CrossRef] [PubMed]
- Judge, L.W.; Bellar, D.; Thrasher, A.B.; Simon, L.; Hindawi, O.S.; Wanless, E. A Pilot Study Exploring the Quadratic Nature of the Relationship of Strength to Performance Among Shot Putters. Int. J. Exerc. Sci. 2013, 6, 171–179. [Google Scholar] [CrossRef] [PubMed]
- Hashimoto, S.; Fujimori, T.; Ohyama-Byun, K.; Okamoto, Y.; Nakajima, T.; Sado, N. Distal Muscle Cross-Sectional Area Is Correlated with Shot Put Performance. J. Biomech. 2023, 160, 6. [Google Scholar] [CrossRef] [PubMed]
- Maneshkumarmurali, M.; Mr, D. Kinematic Analysis of Shot Release of Intercollegiate Athletes. Int. J. Phys. Educ. Sports Health 2016, 3, 131–134. [Google Scholar]
- Schofield, M.; Cronin, J.B.; Macadam, P.; Hébert-Losier, K. Rotational Shot Put: A Phase Analysis of Current Kinematic Knowledge. Sports Biomech. 2022, 21, 278–296. [Google Scholar]
- Waldera, R. A Biomechanical and Electromyographic Analysis of Elite Shot Putters at a Division I University. Ph.D. Thesis, North Dakota State University, Fargo, ND, USA, 2022. [Google Scholar]
- Landolsi, M.; Labiadh, L.; Zarrouk, F.; Maaref, K.; Ghannouchi, S.; Tabka, Z.; Lacouture, P. Kinematic analysis of the shot-put: A method of assessing the mechanical work of the hand action force. Eur. J. Sport. Sci. 2018, 18, 1208–1216. [Google Scholar] [CrossRef]
- Howard, R.M.; Conway, R.; Harrison, A.J. Muscle Activation Sequencing of Leg Muscles During Linear Glide Shot Putting. Sports Biomech. 2017, 16, 463–484. [Google Scholar] [CrossRef]
- Young, M.; Li, L. Determination of Critical Parameters Among Elite Female Shot Putters. Sports Biomech. 2005, 4, 131–148. [Google Scholar] [CrossRef]
- Blazkiewicz, M.; Lyson, B.; Wit, A. Mechanical Energy Flows Between Body Segments in Ballistic Track-and-Field Movements (Shot Put, Discus, Javelin) as a Performance Evaluation Method. Acta Bioeng. Biomech. 2019, 21, 31–36. [Google Scholar]
- Young, M. Development and Application of an Optimization Model for Elite Level Shot Putting. Ph.D. Thesis, Louisiana State University, Baton Rouge, LA, USA, 2009. [Google Scholar]
- Blazkiewicz, M.; Lyson, B.; Chmielewski, A.; Wit, A. Transfer of Mechanical Energy During the Shot Put. J. Hum. Kinet. 2016, 52, 139–146. [Google Scholar] [CrossRef]
- Gowda, V.; Subramanian, S.S.; Gaowgzeh, R.A.M.; Alsenany, S.A.; Abdelaliem, S.M.F.; Alabdullah, A.A.S.; Afnan, A.M. Effect of Kinematic Chain Exercise Protocol on Throwing Performance and Shoulder Muscle Strength Among University Shot Put Athletes—A Randomized Controlled Trial. J. Clin. Med. 2024, 13, 15. [Google Scholar] [CrossRef] [PubMed]
- Harasin, D.; Milanovic, D.; Coh, M. 3d Kinematics of the Swing Arm in the Second Double-Support Phase of Rotational Shot Put—Elite vs Sub-Elite Athletes. Kinesiology 2010, 42, 169–174. [Google Scholar]
- Murata, A. Shoulder Joint Movement of the Non-Throwing Arm During Baseball Pitch—Comparison Between Skilled and Unskilled Pitchers. J. Biomech. 2001, 34, 1643–1647. [Google Scholar] [CrossRef] [PubMed]
- Hirashima, M.; Yamane, K.; Nakamura, Y.; Ohtsuki, T. Kinetic Chain of Overarm Throwing in Terms of Joint Rotations Revealed by Induced Acceleration Analysis. J. Biomech. 2008, 41, 2874–2883. [Google Scholar] [CrossRef]
- Naito, K.; Takagi, T.; Kubota, H.; Maruyama, T. Multi-Body Dynamic Coupling Mechanism for Generating Throwing Arm Velocity During Baseball Pitching. Hum. Mov. Sci. 2017, 54, 363–376. [Google Scholar] [CrossRef]
- Miller, D.I.; Morrison, W.E. Prediction of Segmental Parameters Using the Hanavan Human Body Model. Med. Sci. Sports 1975, 7, 207–212. [Google Scholar] [CrossRef]
- Kraft, T.; Mattei, T.; Brenner, B. Structural Features of Force-Generating Cross-Bridges. A 2d-X-Ray Diffraction Study. Adv. Exp. Med. Biol. 1998, 453, 289–295; Discussion 295–296. [Google Scholar]
- Göksu, Ö.; Kural, D. Evaluation of the Effects of Hip Joint Range of Motion and Trunk Rotation On Throwing Biomechanics in Shot-Put Throwers: A Pilot Study. Acta Medica Mediterr. 2019, 35, 2823–2829. [Google Scholar]
- Ariel, G.B.; Penny, A.; Probe, J.; Finch, A.E. Biomechanical Analysis of the Shot-Put Event at the 2004 Athens Olympic Games; Universität Konstanz: Konstanz, Germany, 2008. [Google Scholar]
- Fleisig, G.S.; Barrentine, S.W.; Zheng, N.; Escamilla, R.F.; Andrews, J.R. Kinematic and Kinetic Comparison of Baseball Pitching Among Various Levels of Development. J. Biomech. 1999, 32, 1371–1375. [Google Scholar] [CrossRef]
- Stodden, D.F.; Fleisig, G.S.; Mclean, S.P.; Andrews, J.R. Relationship of Biomechanical Factors To Baseball Pitching Velocity: Within Pitcher Variation. J. Appl. Biomech. 2005, 21, 44–56. [Google Scholar] [CrossRef]
- Oyama, S.; Yu, B.; Blackburn, J.T.; Padua, D.A.; Li, L.; Myers, J.B. Effect of Excessive Contralateral Trunk Tilt On Pitching Biomechanics and Performance in High School Baseball Pitchers. Am. J. Sports Med. 2013, 41, 2430–2438. [Google Scholar] [CrossRef] [PubMed]
- Bartlett, R. Principles of Throwing. In Biomechanics in Sport; Wiley: Hoboken, NJ, USA, 2000; pp. 365–380. [Google Scholar]
- Chu, Y.C.; Fleisig, G.S.; Simpson, K.J.; Andrews, J.R. Biomechanical Comparison Between Elite Female and Male Baseball Pitchers. J. Appl. Biomech. 2009, 25, 22–31. [Google Scholar] [CrossRef] [PubMed]
- Hirashima, M.; Kudo, K.; Watarai, K.; Ohtsuki, T. Control of 3d Limb Dynamics in Unconstrained Overarm Throws of Different Speeds Performed By Skilled Baseball Players. J. Neurophysiol. 2007, 97, 680–691. [Google Scholar] [CrossRef]
- Debicki, D.B.; Gribble, P.L.; Watts, S.; Hore, J. Kinematics of Wrist Joint Flexion in Overarm Throws Made By Skilled Subjects. Exp. Brain Res. 2004, 154, 382–394. [Google Scholar]
- Ishida, K.; Hirano, Y. Effects of Non-throwing Arm on Trunk and Throwing Arm Movements in Baseball Pitching. Int. J. Sport Health Sci. 2004, 2, 119–128. [Google Scholar] [CrossRef][Green Version]
- Latash, M.L. Laws of Nature That Define Biological Action and Perception. Phys. Life Rev. 2021, 36, 47–67. [Google Scholar] [CrossRef]
- Feltner, M.E.; Dapena, J. Three-Dimensional Interactions in a Two-Segment Kinetic Chain. Part I: General Model. Int. J. Sport Biomech. 1989, 5, 403–419. [Google Scholar] [CrossRef]
Disclaimer/Publisher’s Note: The statements, opinions and data contained in all publications are solely those of the individual author(s) and contributor(s) and not of MDPI and/or the editor(s). MDPI and/or the editor(s) disclaim responsibility for any injury to people or property resulting from any ideas, methods, instructions or products referred to in the content. |
© 2025 by the authors. Licensee MDPI, Basel, Switzerland. This article is an open access article distributed under the terms and conditions of the Creative Commons Attribution (CC BY) license (https://creativecommons.org/licenses/by/4.0/).





