Lactate Profiling and the Agreement Among Various Lactate Threshold Methods in Professional and Youth Soccer Players
Abstract
1. Introduction
2. Materials and Methods
2.1. Participants
2.2. Procedures
2.3. Statistical Analyses
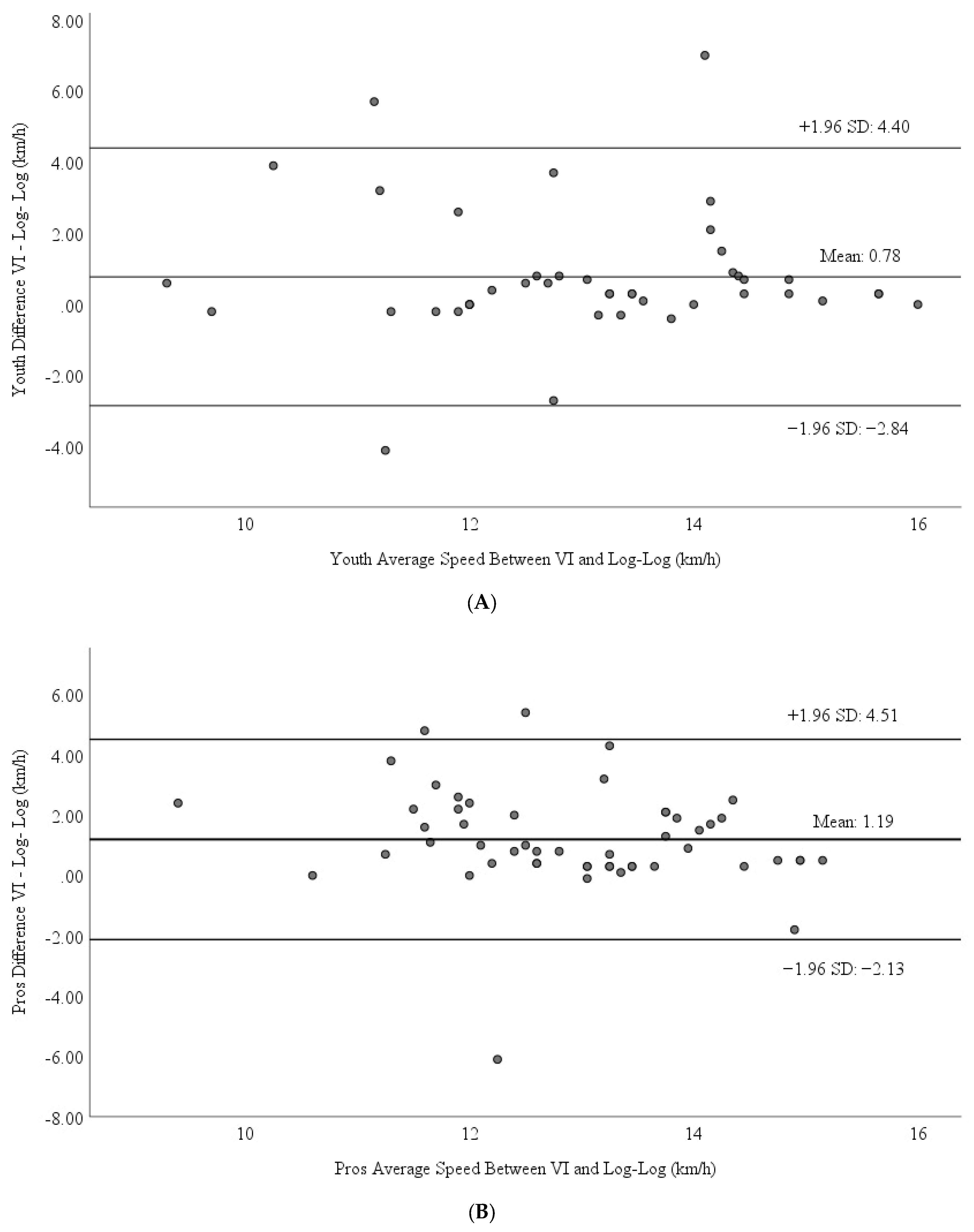
3. Results
4. Discussion
5. Conclusions and Practical Applications
Author Contributions
Funding
Institutional Review Board Statement
Informed Consent Statement
Data Availability Statement
Conflicts of Interest
References
- Bergman, B.C.; Tsvetkova, T.; Lowes, B.; Wolfel, E.E. Myocardial glucose and lactate metabolism during rest and atrial pacing in humans. J. Physiol. 2009, 587, 2087–2099. [Google Scholar] [CrossRef] [PubMed]
- van Hall, G.; Strømstad, M.; Rasmussen, P.; Jans, O.; Zaar, M.; Gam, C.; Quistorff, B.; Secher, N.H.; Nielsen, H.B. Blood lactate is an important energy source for the human brain. J. Cereb. Blood Flow Metab. 2009, 29, 1121–1129. [Google Scholar] [CrossRef] [PubMed]
- Bonen, B.A.; Heynen, M.; Hatta, H. Distribution of monocarboxylate transporters MCT1-MCT8 in rat tissues and human skeletal muscle. Appl. Physiol. Nutr. Metab. 2006, 31, 31–39. [Google Scholar] [CrossRef]
- Lemire, J.; Mailloux, R.J.; Appanna, V.D. Mitochondrial lactate dehydrogenase is involved in oxidative-energy metabolism in human astrocytoma cells (CCF-STTG1). PLoS ONE 2008, 3, e1550. [Google Scholar] [CrossRef] [PubMed]
- Graham, T.E.; Saltin, B. Estimation of the mitochondrial redox state in human skeletal muscle during exercise. J. Appl. Physiol. 1989, 66, 561–566. [Google Scholar] [CrossRef]
- Hui, S.; Ghergurovich, J.M.; Morscher, R.J.; Jang, C.; Teng, X.; Lu, W.; Esparza, L.A.; Reya, T.; Zhan, L.; Guo, J.Y.; et al. Glucose feeds the TCA cycle via circulating lactate. Nature 2017, 551, 115–118. [Google Scholar] [CrossRef]
- Sahlin, K.; Katz, A.; Henriksson, J. Redox state and lactate accumulation in human skeletal muscle during dynamic exercise. Biochem. J. 1987, 245, 551–556. [Google Scholar] [CrossRef]
- Juel, C.; Bangsbo, J.; Graham, T.; Saltin, B. Lactate and potassium fluxes from human skeletal muscle during and after intense, dynamic, knee extensor exercise. Acta Physiol. Scand. 1990, 140, 147–159. [Google Scholar] [CrossRef]
- Smith, E.W.; Skelton, M.S.; Kremer, D.E.; Pascoe, D.D.; Gladden, L.B. Lactate distribution in the blood during progressive exercise. Med. Sci. Sports Exerc. 1997, 29, 654–660. [Google Scholar] [CrossRef]
- Reilly, T. Motion analysis and physiological demands. In Science and Soccer; Reilly, T., Ed.; E. and F.N. Spon: London, UK, 1996; pp. 65–81. [Google Scholar]
- Bangsbo, J.; Mohr, M.; Krustrup, P. Physical and metabolic demands of training and match-play in the elite football player. J. Sports Sci. 2006, 24, 665–674. [Google Scholar] [CrossRef]
- Barnes, C.; Archer, D.T.; Hogg, B.; Bush, M.; Bradley, P.S. The evolution of physical and technical performance parameters in the English Premier League. Int. J. Sports Med. 2014, 35, 1095–1100. [Google Scholar] [CrossRef]
- Goodwin, M.L.; Harris, J.E.; Hernández, A.; Gladden, L.B. Blood lactate measurements and analysis during exercise: A guide for clinicians. J. Diabetes Sci. Technol. 2007, 1, 558–569. [Google Scholar] [CrossRef]
- Baldari, C.; Guidetti, L. A simple method for individual anaerobic threshold as a predictor of max lactate steady state. Med. Sci. Sports Exerc. 2000, 32, 1798–1802. [Google Scholar] [CrossRef]
- Coyle, E.F. Integration of the physiological factors determining endurance performance ability. Exerc. Sport. Sci. Rev. 1995, 23, 25–63. [Google Scholar] [CrossRef]
- Basset, D.R.; Howley, E.T. Limiting factors for maximum oxygen uptake and determinants of endurance performance. Med. Sci. Sports Exerc. 2000, 32, 70–84. [Google Scholar] [CrossRef]
- Ziogas, G.G.; Patras, K.N.; Stergiou, N.; Georgoulis, A.D. Velocity at lactate threshold and running economy must also be considered along with maximal oxygen uptake when testing elite soccer players during preseason. J. Strength Cond. Res. 2011, 25, 414–419. [Google Scholar] [CrossRef]
- Wasserman, K.; Whipp, B.J.; Koyl, S.N.; Beaver, W.L. Anaerobic threshold and respiratory gas exchange during exercise. J. Appl. Physiol. 1973, 35, 236–243. [Google Scholar] [CrossRef]
- Beaver, W.L.; Wasserman, K.; Whipp, B.J. Improved detection of lactate threshold during exercise using a log-log transformation. J. Appl. Physiol. 1985, 59, 1936–1940. [Google Scholar] [CrossRef]
- Cheng, B.; Kuipers, H.; Snyder, A.C.; Keizer, H.A.; Jeukendrup, A.; Hesselink, M. A new approach for the determination of ventilatory and lactate thresholds. Int. J. Sports Med. 1992, 13, 518–522. [Google Scholar] [CrossRef]
- Heck, H.; Mader, A.; Hess, G.; Mücke, S.; Müller, R.; Hollmann, W. Justification of the 4-mmol/l lactate threshold. Int. J. Sports Med. 1985, 6, 117–130. [Google Scholar] [CrossRef]
- Paul, D.J.; Nassis, G.P. Physical fitness testing in youth soccer: Issues and considerations regarding reliability, validity, and sensitivity. Pediatr. Exerc. Sci. 2015, 27, 301–313. [Google Scholar] [CrossRef] [PubMed]
- Shushan, T.; Lovell, R.; Buchheit, M.; Scott, T.J.; Barrett, S.; Norris, D.; McLaren, S.J. Submaximal fitness test in team sports: A systematic review and meta-analysis of exercise heart rate measurement properties. Sports Med. Open 2023, 9, 21. [Google Scholar] [CrossRef] [PubMed]
- Chamari, K.A.; Hachana, Y.; Ahmed, Y.B.; Galy, O.; Sghaier, F.; Chatard, J.C.; Hue, O.; Wisløff, U. Field and laboratory testing in young elite soccer players. Br. J. Sports Med. 2004, 38, 191–196. [Google Scholar] [CrossRef] [PubMed]
- Cerda-Kohler, H.; Burgos-Jara, C.; Ramírez-Campillo, R.; Valdés-Cerda, M.; Báez, E.; Zapata-Gómez, D.; Andrade, D.C.; Izquierdo, M. Analysis of agreement between 4 lactate threshold measurement methods in professional soccer players. J. Strength. Cond. Res. 2016, 30, 2864–2870. [Google Scholar] [CrossRef]
- Bentley, D.J.; Newell, J.; Bishop, D. Incremental exercise test design and analysis: Implications for performance diagnostics in endurance athletes. Sports Med. 2007, 37, 575–586. [Google Scholar] [CrossRef]
- Jackson, A.S.; Pollock, M.L. Generalized equations for predicting body density of men. Br. J. Nutr. 1978, 40, 497–504. [Google Scholar] [CrossRef]
- Jones, A.M.; Doust, J.H. A 1% treadmill grade most accurately reflects the energetic cost of outdoor running. J. Sports Sci. 1996, 14, 321–327. [Google Scholar] [CrossRef]
- Midgley, A.W.; Carroll, S.; Marchant, D.; McNaughton, L.R.; Siegler, J. Evaluation of true maximal oxygen uptake based on a novel set of standardized criteria. Appl. Physiol. Nutr. Metab. 2009, 34, 115–123. [Google Scholar] [CrossRef]
- Saunders, P.U.; Pyne, D.B.; Telford, R.D.; Hawley, J.A. Factors affecting running economy in trained distance runners. Sports Med. 2004, 34, 465–485. [Google Scholar] [CrossRef]
- Parpa, K.; Michaelides, M. Comparison of ventilatory and blood lactate thresholds in elite soccer players. Sport Mont 2022, 20, 3–7. [Google Scholar] [CrossRef]
- Hart, S.; Drevets, K.; Alford, M.; Salacinski, A.; Hunt, B.E. A method-comparison study regarding the validity and reliability of the Lactate Plus analyzer. BMJ Open 2013, 3, e001899. [Google Scholar] [CrossRef] [PubMed]
- Newell, J.; Higgins, D.; Madden, N.; Cruickshank, J.; Einbeck, J.; McMillan, K.; McDonald, R. Software for calculating blood lactate endurance markers. J. Sports Sci. 2007, 25, 1403–1409. [Google Scholar] [CrossRef] [PubMed]
- Bland, J.M.; Altman, D.G. Statistical methods for assessing agreement between two methods of clinical measurement. Lancet 1986, 1, 307–310. [Google Scholar] [CrossRef] [PubMed]
- McMillan, K.; Helgerud, J.; Grant, S.J.; Newell, J.; Wilson, J.; Macdonald, R.; Hoff, J. Lactate threshold responses to a season of professional British youth soccer. Br. J. Sports Med. 2005, 39, 432–436. [Google Scholar] [CrossRef]
- Poole, D.C.; Rossiter, H.B.; Brooks, G.A.; Gladden, L.B. The anaerobic threshold: 50+ years of controversy. J. Physiol. 2021, 599, 737–767. [Google Scholar] [CrossRef]
- Ørtenblad, N. Mitochondrial increase in volume density with exercise training: More, larger or better? Acta Physiol. 2018, 222, e12976. [Google Scholar] [CrossRef]
- Jastrzebski, Z.; Dargiewicz, R.; Ignatiuk, W.; Radziminski, L.; Rompa, P.; Konieczna, A. Lactate threshold changes in soccer players during the preparation period. Balt. J. Health Phys. Act. 2011, 3, 96–104. [Google Scholar] [CrossRef][Green Version]
- Nicholson, R.M.; Sleivert, G.G. Indices of lactate threshold and their relationship with 10-km running velocity. Med. Sci. Sports Exerc. 2001, 33, 339–342. [Google Scholar] [CrossRef]
- Zhou, S.; Weston, S.B. Reliability of the D-max method to define physiological responses to incremental exercise testing. Physiol. Meas. 1997, 18, 145–154. [Google Scholar] [CrossRef]
- Santos-Concejero, J.; Granados, C.; Irazusta, J.; Bidaurrazaga-Letona, I.; Zabala-Lili, J.; Tam, N.; Gil, S.M. OBLA is a better predictor of performance than Dmax in long and middle-distance well-trained runners. J. Sports Med. Phys. Fit. 2014, 54, 553–558. [Google Scholar]
- Czuba, M.; Zajac, A.; Cholewa, J.; Poprecki, S.; Waskiewicz, Z.; Mikołajec, K. Lactate threshold (D-Max Method) and maximal lactate steady state in cyclists. J. Hum. Kinet. 2009, 21, 49–56. [Google Scholar] [CrossRef]
- Van Schuylenbergh, R.; Vanden Eynde, B.; Hespel, P. Correlations between lactate and ventilatory thresholds and the maximal lactate steady state in elite cyclists. Int. J. Sports Med. 2004, 25, 403–408. [Google Scholar] [CrossRef] [PubMed]
- Carter, S.L.; Newhouse, I. Agreement among six methods of predicting the anaerobic lactate threshold in elite cross-country skiers. Int. J. Exerc. Sci. 2019, 12, 155–172. [Google Scholar] [CrossRef] [PubMed]
- Janeba, M.; Yaeger, D.; White, R.; Stavrianeas, S. The Dmax method does not produce a valid estimate of the lactate threshold. J. Exerc. Physiol. Online 2010, 13, 50–57. [Google Scholar]
- Hendry, D.T.; Crocker, P.R.E.; Williams, A.M.; Hodges, N.J. Tracking and Comparing Self-Determined Motivation in Elite Youth Soccer: Influence of Developmental Activities, Age, and Skill. Front. Psychol. 2019, 10, 304. [Google Scholar] [CrossRef]
- Chalmers, S.; Esterman, A.; Eston, R.; Norton, K. Standardization of the Dmax method for calculating the second lactate threshold. Int. J. Sports Physiol. Perform. 2015, 10, 921–926. [Google Scholar] [CrossRef]
- Faude, O.; Kindermann, W.; Meyer, T. Lactate threshold concepts: How valid are they? Sports Med. 2009, 39, 469–490. [Google Scholar] [CrossRef]
- Davis, J.A.; Rozenek, R.; DeCicco, D.M.; Carizzi, M.T.; Pham, P.H. Comparison of three methods for detection of the lactate threshold. Clin. Physiol. Funct. Imaging 2007, 27, 381–384. [Google Scholar] [CrossRef]
- Hauser, T.; Adam, J.; Schulz, H. Comparison of selected lactate threshold parameters with maximal lactate steady state in cycling. Int. J. Sports Med. 2014, 35, 517–521. [Google Scholar] [CrossRef]
- Sandford, G.N.; Laursen, P.B.; Buchheit, M. Anaerobic speed/power reserve and sport performance: Scientific basis, current applications and future directions. Sports Med. 2021, 51, 2017–2028. [Google Scholar] [CrossRef]
- Lyzohub, V.; Kozhemiako, T.; Khomenko, S.; Pustovalov, V.; Shpaniuk, V. Physical Activity of Elite Soccer Players Using Different Regimes of Energy Metabolism. Health Probl. Civiliz. 2021, 15, 202–210. [Google Scholar] [CrossRef]
- Casado, A.; Foster, C.; Bakken, M.; Tjelta, L.I. Does Lactate-Guided Threshold Interval Training within a High-Volume Low-Intensity Approach Represent the "Next Step" in the Evolution of Distance Running Training? Int. J. Environ. Res. Public Health 2023, 20, 3782. [Google Scholar] [CrossRef] [PubMed]
- Edwards, A.M.; Clark, N.; Macfadyen, A.M. Lactate and ventilatory thresholds reflect the training status of professional soccer players where maximum aerobic power is unchanged. J. Sports Sci. Med. 2003, 2, 23–29. [Google Scholar] [PubMed]
- Michaelides, M.A.; Parpa, K.M.; Zacharia, A.I. Effects of an 8-week pre-seasonal training on the aerobic fitness of professional soccer players. J. Strength. Cond. Res. 2021, 35, 2783–2789. [Google Scholar] [CrossRef]
- Yoshida, T. Effect of dietary modifications on lactate threshold and onset of blood lactate accumulation during incremental exercise. Eur. J. Appl. Physiol. Occup. Physiol. 1984, 53, 200–205. [Google Scholar] [CrossRef]




| Playing Standards | n | M ± SD (km/h) | |
|---|---|---|---|
| Age (years) | pro | 52 | 27.37 * ± 5.67 |
| youth | 44 | 16.20 ± 0.8 | |
| Height (cm) | pro | 52 | 179.78 * ± 6.72 |
| youth | 44 | 175.97 ± 5.84 | |
| Body Mass (kg) | pro | 52 | 77.12 * ± 6.54 |
| youth | 44 | 66.98 ± 6.19 | |
| Body Mass Index (BMI) | pro | 52 | 23.83 * ± 1.26 |
| youth | 44 | 21.59 ± 1.84 | |
| Body Fat Percentage (7-site) | pro | 52 | 10.50 ± 3.83 |
| youth | 44 | 9.24 ± 3.28 |
| Methods for LT Detection | Playing Standards | n | M ± SD (km/h) |
|---|---|---|---|
| Visual Inspection | pro | 52 | 13.51 ± 1.33 |
| youth | 44 | 13.45 ± 1.78 | |
| Log–Log | pro | 52 | 12.32 ± 1.61 |
| youth | 44 | 12.67 ± 1.83 | |
| Dmax | pro | 52 | 13.55 ± 0.89 |
| youth | 44 | 13.79 ± 1.01 | |
| FBLA (4 mmol/L) | pro | 52 | 13.54 * ± 1.13 |
| youth | 44 | 12.71 ± 1.63 |
| Pro | Youth | |||||||
|---|---|---|---|---|---|---|---|---|
| Playing Position | n | km/h | 95% CI | n | km/h | 95% CI | ||
| Visual Inspection | ||||||||
| Defenders | 8 | 14.00 ± 1.26 | 12.93 | 15.07 | 8 | 13.05 ± 1.04 | 11.98 | 14.12 |
| Full Backs | 13 | 13.54 ± 1.42 | 12.70 | 14.38 | 11 | 13.85 ± 1.58 | 12.94 | 14.76 |
| Midfielders | 11 | 13.80 ± 1.29 | 12.89 | 14.71 | 14 | 14.01 ± 1.85 | 13.21 | 14.82 |
| Wingers | 7 | 13.40 ± 0.61 | 12.26 | 14.54 | 6 | 13.43 ± 1.46 | 12.20 | 14.67 |
| Forwards | 13 | 13.00 ± 1.56 | 12.16 | 13.84 | 4 | 11.70 ± 2.84 | 10.19 | 13.21 |
| Log–Log | ||||||||
| Defenders | 8 | 12.10 ± 2.03 | 10.88 | 13.32 | 8 | 12.86 ± 0.93 | 11.64 | 14.08 |
| Full Backs | 13 | 11.95 ± 1.60 | 10.99 | 12.90 | 11 | 12.19 ± 1.82 | 11.15 | 13.23 |
| Midfielders | 11 | 12.83 ± 1.01 | 11.79 | 13.87 | 14 | 13.27 ± 1.96 | 12.35 | 14.19 |
| Wingers | 7 | 12.79 ± 0.71 | 11.48 | 14.09 | 6 | 11.82 ± 2.40 | 10.41 | 13.22 |
| Forwards | 13 | 12.14 ± 2.09 | 11.18 | 13.09 | 4 | 12.45 ± 2.00 | 10.73 | 14.17 |
| DMax | ||||||||
| Defenders | 8 | 13.70 ± 0.82 | 13.07 | 14.33 | 8 | 13.44 ± 0.98 | 12.80 | 14.07 |
| Full Backs | 13 | 13.48 ± 0.72 | 12.99 | 13.98 | 11 | 13.46 ± 0.67 | 12.92 | 14.00 |
| Midfielders | 11 | 14.10 ± 1.24 | 13.56 | 14.64 | 14 | 13.81 ± 0.85 | 13.34 | 14.29 |
| Wingers | 7 | 13.14 ± 0.43 | 12.47 | 13.82 | 6 | 13.85 ± 1.09 | 13.12 | 14.58 |
| Forwards | 13 | 13.28 ± 0.81 | 12.78 | 13.77 | 4 | 14.68 ± 1.56 | 13.78 | 15.57 |
| FBLA-4 mmol/L | ||||||||
| Defenders | 8 | 13.55 ± 0.85 | 12.55 | 14.55 | 8 | 12.73 ± 1.11 | 11.73 | 13.72 |
| Full Backs | 13 | 13.27 ± 1.52 | 12.49 | 14.05 | 11 | 13.17 ± 1.10 | 12.32 | 14.02 |
| Midfielders | 11 | 13.65 ± 1.06 | 12.80 | 14.49 | 14 | 12.79 ± 2.08 | 12.03 | 13.54 |
| Wingers | 7 | 13.81 ± 1.11 | 12.75 | 14.88 | 6 | 12.17 ± 1.24 | 11.02 | 13.32 |
| Forwards | 13 | 13.58 ± 0.99 | 12.80 | 14.37 | 4 | 12.23 ± 2.75 | 10.82 | 13.63 |
| LT Speed ICC (95% CI) | ||
|---|---|---|
| Youth (n = 44) | Pro (n = 52) | |
| VI vs. Log–Log | 0.65 * (0.35–0.81) | 0.51 * (0.15–0.72) |
| VI vs. Dmax | −0.03 (−0.89–0.439) | 0.44 * (0.02–0.68) |
| Dmax vs. Log–Log | 0.39 (−0.12–0.67) | 0.57 * (0.26–0.76) |
| Coefficient of Determination (R2) | ||
|---|---|---|
| Youth (n = 44) | Pro (n = 52) | |
| VI | 0.35 ** | 0.48 ** |
| Log–Log | 0.17 * | 0.04 |
| Dmax | 0.01 | 0.08 * |
| FBLA (4 mmol) | 0.27 ** | 0.23 ** |
Disclaimer/Publisher’s Note: The statements, opinions and data contained in all publications are solely those of the individual author(s) and contributor(s) and not of MDPI and/or the editor(s). MDPI and/or the editor(s) disclaim responsibility for any injury to people or property resulting from any ideas, methods, instructions or products referred to in the content. |
© 2025 by the authors. Licensee MDPI, Basel, Switzerland. This article is an open access article distributed under the terms and conditions of the Creative Commons Attribution (CC BY) license (https://creativecommons.org/licenses/by/4.0/).
Share and Cite
Michaelides, M.; Parpa, K. Lactate Profiling and the Agreement Among Various Lactate Threshold Methods in Professional and Youth Soccer Players. Appl. Sci. 2025, 15, 1399. https://doi.org/10.3390/app15031399
Michaelides M, Parpa K. Lactate Profiling and the Agreement Among Various Lactate Threshold Methods in Professional and Youth Soccer Players. Applied Sciences. 2025; 15(3):1399. https://doi.org/10.3390/app15031399
Chicago/Turabian StyleMichaelides, Marcos, and Koulla Parpa. 2025. "Lactate Profiling and the Agreement Among Various Lactate Threshold Methods in Professional and Youth Soccer Players" Applied Sciences 15, no. 3: 1399. https://doi.org/10.3390/app15031399
APA StyleMichaelides, M., & Parpa, K. (2025). Lactate Profiling and the Agreement Among Various Lactate Threshold Methods in Professional and Youth Soccer Players. Applied Sciences, 15(3), 1399. https://doi.org/10.3390/app15031399

