Abstract
The unit slab track structure in high-speed railways exhibits multiple periodic characteristics, which result in bandgaps of elastic wave propagation within the track structure. Moreover, local defects inevitably occur in the ballastless track structure, disrupting its periodicity and leading to the generation of defect states. An analytical model for infinite periodic slab track structure was established using the Floquet transform and supercell method, accounting for local defects, to clarify the propagation of flexural waves in slab tracks. The formation mechanism of elastic wave bandgaps in periodic slab tracks can be explained by Bragg scattering and local resonance. In the low-frequency below 200 Hz, the local resonances of the slab interact with the flexural waves in the rail, forming an approximately broad coupling bandgap. The bandgaps expand significantly with the increasing fastening stiffness. Besides, when the stiffness of the isolating layer beneath the slab is within the range of 0.9 to 1.0 × 109 N/m3, a broad coupled bandgap is generated in the frequency range of 180–230 Hz. Local damage caused by contact loss between the composite slab and baseplate leads to defect states, and the frequencies of the defect states correspond to unique wave modes, demonstrating the localization of elastic waves near the defect location. The formation mechanism of defect states can be elucidated by the local resonance of the structure at the defect. The frequency of the first-order defect state is significantly affected by the defect size, the second-order defect state exhibits unidirectional propagation characteristics, and the third-order defect state shows localized vibration characteristics, which can provide a reference for defect identification.
1. Introduction
The ballastless track in high-speed railway can be regarded as an infinite periodic structure, in which the ballastless track structure is composed of identical unit cells that are regularly arranged along the longitudinal direction of the line. Previous research has demonstrated that the propagation of elastic waves in periodic structures exhibits distinctive bandgap characteristics, wherein vibration transmission will be significantly attenuated [,,]. However, in practical engineering, local defects are inevitably found in ballastless track structures, thereby disrupting periodicity. When local defects occur in periodic structures, the phenomenon of elastic wave localization emerges, which is referred to as defect states [,,]. Clarifying the propagation of elastic waves in high-speed railway track structures, especially in the presence of local defects, is of substantial theoretical significance for structural vibration and damage control.
Due to the periodicity of track structures, the wave motion characteristics and dynamic analysis methodologies have been extensively investigated. Sheng et al. [] employed the 2.5-D finite element approach to formulate the eigen equation of the periodic track structure, subsequently obtaining the vibration transmission coefficient of the track structure and analyzing the resonance modes corresponding to the bandgap boundaries frequencies. Moreover, a solution strategy for infinite periodic structures under moving loads was put forward by leveraging the periodicity of the track structure []. Feng et al. [,] established a periodic ballastless track structure model and calculated its vertical vibration bandgaps by means of the plane wave expansion method and variational principles. Additionally, the influence of parameters such as rail temperature and fastening stiffness of the bandgap characteristics was discussed. Zhang et al. [] described rail vibration via the 2.5-D finite element method and developed a dynamic response model for ballasted track structure by coupling with the displacement admittance of sleepers. Yang et al. [] utilized the wave finite element method to analyze the wave motion of periodically supported rails, exploring the propagation of different types of elastic waves in rail. Wang et al. [,] established wave analysis models for periodic ballasted and ballastless track structures and calculated the dispersion curves of the track structures using the transfer matrix method. Based on the phononic crystal theory, the mechanism of bandgap formation in track structures was preliminarily elucidated. Zhao et al. [,] studied the effect of rail temperature force and fastening stiffness on the bandgaps and vibration transmission characteristics of ballasted track structures using a three-dimensional wave propagation analysis model. Furthermore, based on the bandgap characteristics of elastic waves in track structures, the introduction of supplementary bandgaps can also provide measures for vibration and noise control in track structures [,,,].
When local defects occur in ballastless track structures, the dynamic properties change and directly influence the dynamic response of the structure and even the ride stability of high-speed trains. There are several types of ballastless track structures in China’s high-speed railway lines, including CRTS (China Railway Track System) I prefabricated slab track, CRTS II prefabricated slab track, CRTS III prefabricated slab track, and double-block slab track []. Dong et al. [] summarized the characteristics and causes of defects and damages in different ballastless track structures after long-term service. Slab cracking and interlayer separation under temperature loads are predominant damages in longitudinally connected ballastless track structures. In contrast, unit slab ballastless track structures mainly exhibit local damage to the mortar layer and contact loss between layers. Temperature deformation during the construction of ballastless tracks [] and factors such as train loads, temperature fluctuations, water ingress, and foundation deformation during the operational period are important causes of damage to ballastless tracks [,]. In response to typical interlayer defect issues in ballastless track structures, Tao Wang et al. [] conducted experimental investigations to analyze the variation of interlayer separation between track slabs and CA mortar under different temperature effects in CRTS I slab track structures. Sun et al. [] obtained interface failure characteristics between the track slab and self-compacting concrete by performing static and fatigue splitting tensile tests, indicating that most interface failures were mortar failures and mortar-aggregate bond failures. Feng et al. [] explored the influence of interlayer separation in CRTS II slab ballastless track structures on the dynamic response of the vehicle-track system dynamics. The results indicated that interlayer separation has a minor impact on the stability of train operation but a pronounced effect on the response of the ballastless track structure. Zhu et al. [,] studied the development characteristics of CA mortar damage under train loads and its impact on service performance, combining dynamic modeling and reliability methods, the limit values for different levels of separation between track slab and CA mortar were proposed. Zeng et al. [] investigated the performance of CRTS III slab ballastless track structures under fatigue loads based on a full-scale experiment, discussing the dynamic response of the structure under different interlayer separations using finite element simulation. Xin et al. [] established a vehicle–track dynamic analysis model using Simpack to study the separation between track slabs and mortar layers in CRTS II type slab ballastless track, the influence of different separation lengths and heights on the dynamic response was discussed, and maintenance and repair control limit values were proposed. Auersch [] analyzed the structural response characteristics of slab ballastless tracks after contact loss between layers using the finite element method and proposed a defect identification method by integrating the structural response during train passage and impact hammer tests. Interlayer defects within ballastless track structures can additionally result in mud pumping and dynamic geometric irregularities []. Subsequently, as the defect continues to deteriorate, the stability of train operation is diminished.
Unit slab ballastless track structures have been widely implemented in high-speed railways due to their favorable environmental adaptability and construction convenience []. There are multiple features consisting of periodically distributed fastenings and periodic prefabricated slabs, which possess more special wave motion properties. On the other hand, the presence of local defects disrupts the periodicity of the track structure, modifying the propagation of elastic waves and generating elastic wave defect states. Investigating the propagation characteristics of elastic waves in defective unit slab ballastless track structures will provide a theoretical foundation for the vibration and damage mitigation of track structures.
Prior investigations concerning the wave behaviors and defect states of track structures tend to have oversimplified analytical models. For example, Reference [] employs a model of a beam with discrete supports to examine defect states resulting from fastening and sleeper damage. For the unit slab track structure, it is necessary to develop an elastic wave analysis model that integrates the multi-periodicity. The unique periodicity modifies the characteristics and formation mechanisms of wave bandgaps. The defect states within such specialized periodic structures need further investigation. Consequently, this study focuses on the slab track structure to elucidate the bandgap characteristics and formation mechanisms of flexural waves, and to investigate the defect states within the slab track structure.
The paper is organized as follows: first, a model for the propagation of flexural waves in unit slab track structures is established, capable of analyzing both periodic and defective ballastless tracks. Subsequently, the bandgap characteristics, vibration transmission, and the influence of structural parameters of periodic ballastless track structures are discussed in the Section 3. The Section 4 analyzes the defect state characteristics and formation mechanisms considering local contact loss between layers of the unit slab track. Finally, conclusions are drawn in the Section 5.
2. Flexural Wave Analysis Model for Unit Slab Track Structure
The CRTS III slab track structure has been extensively employed in China’s high-speed railway systems. Due to the periodic characteristics of the track structure, the unit cell includes the rail, fastening system, slab, self-compacting concrete (SCC) layer, isolation layer, and baseplate within the range of a single slab, as illustrated in Figure 1. The track slabs include prefabricated components integrated with cast-in-place SCC to form a composite layer during on-site construction.

Figure 1.
CRTS III slab ballastless track structure and its unit cell: (a) Picture of the real object; (b) components within the unit cell; (c) cross section of the slab track and its typical dimensions.
After long-term service, since the SCC layer is a post-cast structure, typical defects can be found such as breakage, debonding between the SCC and the track slab, and inadequate SCC layer filling. These localized damages disrupt the periodicity of the ballastless track structure. Considering the multiple periodic characteristics of the track structure, taking the CRTS III slab track structure as the research object, the flexural wave propagation model for periodic slab track is established and the supercell method is developed for the propagation of elastic waves in periodic track structures with defects. In the supercell with length , the defective cell is centrally located, bordered by a certain number of non-defective cells on both sides, as shown in Figure 2.

Figure 2.
Supercell model of slab track with local defect.
In the CRTS III slab track system, the rails are constructed from metal, while the slabs, SCC, and baseplates are fabricated from concrete. The fastening assembly in the slab track comprises clips, spikes, flat washers, insulating blocks, gauge blocks, rail pads, iron pads, elastic pads beneath the iron pads, and pre-embedded sleeves situated within the track slabs. Isolation layers are generally composed of geotextiles, with polyurethane or rubber materials employed in areas necessitating vibration mitigation. Consequently, the predominant source of structural elasticity is attributed to the fastening system and the isolation layer. In the model, the rail and composite slabs are denoted by beams, while the fastening system and isolation layer are represented by spring elements. The unit cell of the slab track structure is the length L of one slab, which includes periodically supported rail with a fastening spacing of , and uniformly distributed springs representing the isolation layer beneath the composite slab. The unit cell contains fastenings and isolation layer springs. This takes into account the local defects arising from damage to the SCC layer, where the length of the local defect is , simulated by the failure of springs.
Due to the presence of multiple discrete support characteristics within the structure, solving the wave equations using the transfer matrix method (TMM) becomes challenging. Furthermore, the TMM is unsuitable for large-sized structures and high-frequency analysis, as it is prone to matrix ill-conditioning []. The Floquet transform method enables the analysis of infinite periodic structures within a single cell and effectively mitigates matrix ill-conditioning problems.
The flexural wave propagation equations for the slab track structure can be formulated as follows:
where, and Es denote the elastic modulus of the rail and the composite slab, respectively, and Is are the moment of inertia of the rail and composite slab, and and are the masses per unit length of the rail and composite slab. In the ballastless track structure, both the fastenings and the isolation layer are described using discretely distributed springs, and the isolation layer spring spacing needs to be adjusted according to the defect size. and are the stiffness of the fastenings and the isolation layer, respectively. and represent the displacements of the rail and the slab. denotes the cell number, and represents the number of the defective cell. Within a unit cell of length L, there are fastenings and isolation layer support springs, with corresponding coordinates and .
For the defective cell, considering the contact loss between composite slab layer and baseplate, the wave equation for the rail remains unchanged, and the wave equation for the composite slab is as follows:
where, represents the stiffness under the composite slab within a defective cell.
To construct a supercell model, the size of the supercell is selected as , where is the quantity of unit cells in a supercell and the coordinate range within the supercell is . The wave equations for the slab track structure are rewritten as follows:
where, and .
Since the rail is a continuous beam, the governing equation does not change, only the length is changed, and the supercell contains fastenings. For the composite slabs in the supercell, there are independent equations and each cell contains isolation layer springs. The stiffness of the isolation layer support spring in the cell of the supercell is represented by . The coordinates of fastenings and isolation layer springs in the global system are:
where, and represent the coordinates of the fastenings inside the supercell and the supporting springs under the composite slab.
For infinite periodic structures, the Floquet transformation can be used to study the dynamic behaviors of infinite periodic structures within the unit cell in the wavenumber domain. For any nonperiodic function defined in the x domain , the x domain satisfies the period . The distance between the n-th supercell and the reference supercell can be transformed into the wavenumber domain , and the Floquet transformation is defined as follows []:
The corresponding inverse transformation is:
For the rail, the Fourier transformation and Floquet transformation are performed on Equation (4):
Eliminating infinite terms is completed as follows:
For the wave Equation (5) for the slab, each equation is multiplied by a phase factor and then summed to obtain the following equations as follows:
Therefore, the governing equations of the slabs in the frequency–wavenumber domain can be written as:
The response solution of the rail in the frequency–wavenumber domain can be expressed as:
The solution in Equation (13) consists of 2M + 1 terms, which means that the rail displacement is composed of the superposition of 2M + 1 waves. When M is large enough, the accuracy of the solution can be guaranteed. In addition, on the boundary of the supercell, the following periodic conditions are satisfied:
The displacement response solution of periodic rail can automatically satisfy the periodic boundary conditions at the cell boundary. Since the ends of the track slab are free, and when described using the modal superposition of free beams, its boundary conditions are automatically satisfied. Therefore, the responses of the track slabs are given by mode superposition:
In the formula, is the local coordinate of each slab, is the modal coordinate, and is the orthogonal modal function of the slab of the cell. A free beam is used to simulate the slab, and its modal shape function can be referred to the reference []. is the number of considered modes of slab, and should be sufficiently large and exceed the highest analysis frequency. When , only vertical rigid body mode is considered.
Due to the periodicity of the structure, the shape function of each slab is the same, but the modal coordinates are related to the position of cell number within supercell. Therefore, the response of the slab can be written as:
Upon applying a Floquet transform to Equation (17), the slab responses in the frequency-wavenumber domain are:
where, represents modal coordinates in the wavenumber domain.
By substituting the wavenumber domain solutions (13) and (18) of the rail and slabs into the governing Equations (10) and (12), and set , the following equations can be obtained:
Multiplying both ends of the rail Equation (19) by , and integrating within the interval . For each Equation (20) of the slabs, multiply by , and integrate within the interval to obtain the following independent equations:
According to the above equations, the eigen equation of the defective slab track structure can be constructed as:
where, D is square matrix with order and the matrix elements can be obtained through Equations (21) and (22). U is the modal coordinate vector in the wavenumber domain, composing of and . By solving the eigen equation, the dispersion curves of the slab track structure with and without defect can be obtained.
DU = 0
3. Bandgap Characteristics of Slab Track Structure
3.1. Model Parameters
The propagation characteristic of vertical bending waves within the ideal periodic CRTS III slab track structure was analyzed firstly, with the track structure parameters detailed in Table 1. The fastening system is designed with a static stiffness of 25 × 106 N/m. However, due to the frequency-dependent property of rubber material, existing experimental studies have shown that its dynamic stiffness ranges from 35 × 106 N/m to 65 × 106 N/m. As for the isolation layer, which can be either geotextile or EPDM rubber, existing experimental results indicate that the stiffness of the isolation layer lies ranges from 4 × 108 N/m3 to 1.2 × 109 N/m3 [].

Table 1.
Parameters of the CRTS III slab track.
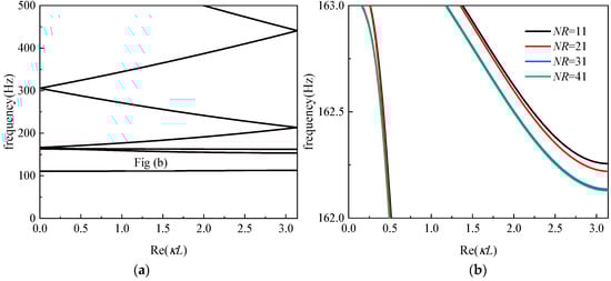
Firstly, it is necessary to discuss the impact of the number of rail waves and the modal numbers of the slab on the calculation results. When , that is, considering only the vertical rigid degree of the slab, the dispersion curves obtained from different numbers of rail wave solutions are presented in Figure 3. As the number of rail waves increases, the dispersion curves gradually converge. It can be observed that for a periodic slab track, with a unit cell length of 5.6 m, employing NR = 31 can yield accurate results.

Figure 3.
Dispersion curves of slab track (): (a) 0~500 Hz; (b) partially enlarged.
When , for a slab of length 5.6 m, the analysis frequency can reach up to 1700 Hz, as shown in Table 2. Therefore, considering 12 modal numbers of the track slab is sufficient to cover the frequency range up to 1500 Hz.

Table 2.
Modal frequencies for the free slab.
To verify the accuracy of the theoretical model, the dispersion curves of the track structure were calculated using the transfer matrix method (TMM). The comparative results of the two computational methods are displayed in Figure 4. The Floquet method offers higher computational efficiency compared to the TMM. On a computer equipped with CPU i7-10510U @ 1.80 GHz and 16 GB of RAM, the computation time for the Floquet method is 4.8 s, whereas the TMM requires 14.6 s. When the phase velocity of the dispersion curve is low, the TMM has sparse data points, particularly at the band-edges, which complicates the precise determination of the bandgap frequency. When dealing with the supercell, the TMM encounters ill-conditioned matrix problems, leading to non-converging elastic wave dispersion curves.

Figure 4.
Comparison of the two methods.
Furthermore, for the slab track with defects, it is necessary to reevaluate the size parameters of the supercell and the number of rail waves. The stability of the computational results is attained when the size parameter is and the number of waves is NR = 201 for the supercell.
3.2. Bandgaps
For the periodic slab track structure, with fastening stiffness at 35 × 106 N/m and isolation layer stiffness at 4 × 108 N/m3, the vertical bending wave dispersion curves of CRTS III slab track with slab length L = 5.6 m are shown in Figure 5.

Figure 5.
Flexural wave dispersion curves of CRTS III slab track (L = 5.6 m): (a) dispersion curves; (b) enlarged imaginary part.
Characterized by its multiple periodicities, the dispersion curves of the CRTS III slab track structure exhibit complex bandgap characteristics compared to a single periodic track model []. Within a frequency below 1500 Hz, the real part of the dispersion curve shows multiple flat bands, while the imaginary part displays sharp peaks corresponding to these bands. These flat bands are attributed to the resonant modes of the slab, with the main flat bands within the 1500 Hz range being: 339 Hz, 485 Hz, 668 Hz, 883 Hz, 1130 Hz, and 1409 Hz. These flat bands correspond to the natural frequencies of the track slab as shown in Table 2. The elastic wave bandgaps resulting from these flat bands can be explained by the mechanism of local resonance. Discrete slabs act as scatterers, when the traveling waves in the rail resonate with the scatterers, the elastic waves become localized near the excitation point and cannot propagate forward. Additionally, due to the minor structural differences along the longitudinal direction of the track structure, the Bragg scattering effect is relatively insignificant, with the decay amplitude within the Bragg bandgap being less than that within the local resonance bandgap.
For the propagation of the bending wave in the rail, according to the Bragg scattering mechanism, when the propagation wavelength of elastic wave in periodic structure is λ and the period is l, the phase matching condition is 2l = nλ (n = 1, 2, …) []. Therefore, the Bragg frequency of the rail is:
The Bragg frequencies of the CRTS III slab track are presented in Table 3.

Table 3.
Bragg frequencies.
To further clarify the generation mechanism of the bandgaps in the CRTS III slab ballastless track structure, the wave modes at the band-edge were extracted. When κ = 0, the wave modes below 1500 Hz are shown in Figure 6. Mode (a) represents the starting frequency of the dispersion curve, and its wave mode is the in-phase resonance of the rail and the track slab, corresponding to the first-order resonance of the CRTS III slab ballastless track structure. Modes (b) and (c) form a Bragg bandgap, with the wavelength of the flexural wave equal to the length of the slab. Subfigure (d) shows the mode resulting from the bending resonance of the slab, and mode (e) presents the out-of-phase resonance of the rail and the slab. The bandgap composed of these two wave modes belongs to the local resonance bandgap. Modes (f) and (g) constitute a Bragg bandgap, in which the wavelength of the flexural wave is equal to the length of the slab while the rail and slab exhibit out-of-phase motion. Mode (h) indicates the local resonance of the track slab. Modes (i) and (j) constitute a Bragg bandgap, with the wavelength being half the length of the track slab. Modes (k) and (l) represent the local resonances of the track slab, corresponding to its 6th and 7th bending modes shown in Table 2. Mode (m) is a Bragg-type wave mode, with the wavelength being one-third of the length of the track slab. Modes (n) and (o) are the local resonances of the track slab, corresponding to its 8th and 9th bending modes. Mode (p) belongs to a Bragg-type wave mode, with the wavelength being one-fourth of the length of the track slab. Modes (q) and (r) represent the local resonances of the track slab, corresponding to its 10th and 11th bending modes.

Figure 6.
Wave modes at the band-edge when κ = 0 (red: rail, black: slab).
Within the frequency range below 1000 Hz, due to the coupling effect between the rail and the track slab, there is a minor deviation between the Bragg frequency calculated by the simplified formula (Table 3) and the dispersion curve.
It can be concluded that the bandgaps in the CRTS III slab ballastless track structure are composed of Bragg reflections generated by the periodically distributed slabs and the periodically supported rails, as well as the local resonances produced by the bending resonance of the slabs.
Table 4 presents the formation mechanisms of all flexural bandgaps within 1500 Hz. There are 11 Bragg bandgaps in the CRTS III slab ballastless track structure within 1500 Hz, all of which satisfy the condition that the unit cell size is integer multiples of the half-wavelength of the wave: L = nλ/2. When the flexural wave has a relatively long wavelength, when n = 1 and n = 2, there are also in-phase and out-of-phase motions of the rail and the track slab, resulting in two Bragg bandgaps. It can be observed that the Bragg bandgap frequencies gradually increase from n = 1 to n = 9. For n = 9, the pinned–pinned resonance mode can be observed, i.e., the wavelength of the standing wave is twice the sleeper spacing. From the imaginary part of the dispersion curve, it can be known that the width of the Bragg bandgaps is narrow. The main reason is that the support stiffness under the slab is relatively high, the impedance difference of the track structure along the line is small, and the reflection of elastic waves is low.

Table 4.
Vertical flexural wave bandgaps of CRTS III slab track and their formation mechanisms.
Additionally, there are also 10 local resonance bandgaps below 1500 Hz that are primarily generated by the resonances of the rail and the slab. For the first-order local resonance bandgap, it refers to the initial bandgap of the slab track structure which corresponds to the vertical in-phase resonance between the rail and the slab. For the second-order and third-order local resonance bandgaps, the bandgap range is from 125 Hz to 163 Hz and there is a track slab bending resonance mode at 152 Hz in the middle. It can be observed that these local resonance bandgaps are close to the Bragg bandgaps, and the two types of bandgaps are coupled to produce a relatively wide bandgap range. For the fourth-order local resonance bandgap (225.9–231.8 Hz), a bending resonance between the rail and the track slab occurs. For higher-order local resonance bandgaps, the coupling effect between the rail and the track slab gradually decreases, and the bandgap widths gradually decrease, thus forming flat bands.
In fact, the Bragg and local resonance bandgaps can be coupled to each other in the low-frequency range. There is a coupling between the Bragg and local resonance bandgaps near 110–170 Hz and 200–230 Hz to form approximately broad bandgaps as shown in Figure 5. The relatively wide bandgaps in the CRTS III slab track structure mainly include: the first-order low-frequency bandgap, broad bandgaps at 110–170 Hz and 200–230 Hz resulting from the coupling effect of the local resonance, and the Bragg bandgap.
3.3. Vibration Transmission
To further verify the wave propagation model, a finite element model of the CRTS III slab ballastless track structure was established based on the finite element method. This finite element model consists of 31 unit cells. A vertical unit harmonic force excitation was applied at the middle position of the model, and the vertical vibration responses of the rail at distances of 11.2 m (2 slabs) and 22.4 m (4 slabs) from the excitation point were extracted; their vibration transfer coefficients were calculated, as shown in Figure 7. The vibration attenuation regions within the frequency range below 300 Hz mainly include: 0–110.6 Hz, 111–113 Hz, 116–120 Hz, 125–151 Hz, 151–163 Hz, 165–175 Hz, 181–192 Hz, 204–222 Hz, and 226–234 Hz. It is evident from the vibration transfer coefficients that the attenuation frequency range coincides with the bandgap range. Thus, the correctness of the theoretical analysis is validated.

Figure 7.
Vibration transmission in periodic slab track: (a) vibration transmission of the rail; (b) vibration transmission of the slab.
3.4. Parameter Analysis
When the stiffness of the isolation layer is maintained at 4 × 108 N/m3 and the vertical stiffness of the fastening increases from 25 × 106 N/m to 65 × 106 N/m, the variation laws of the starting and cut-off frequencies of the various bandgaps in response to the variation of fastening stiffness are shown in Figure 8. It can be observed that an increment in the fastening stiffness induces a shift of all bandgap frequencies towards higher frequencies. The fastening stiffness has a relatively small impact on the width of the bandgaps in high frequencies, but mainly influences the frequencies of bandgaps below 300 Hz.

Figure 8.
Influence of fastening stiffness on bandgaps.
With the increase in fastening stiffness, the first-order bandgap gradually broadens, and the corresponding cut-off frequency increases from 107 Hz to 112 Hz. For higher fastening stiffness, the first-order resonance of the ballastless track is predominantly governed by the support stiffness beneath the slab. The second and third bandgaps exhibit relatively narrow widths and are less affected by parameters. The fourth, fifth, and sixth bandgaps are mainly generated by the coupling effect of local resonance bandgaps and Bragg bandgaps, forming an approximately broad bandgap. Moreover, as the fastening stiffness increases, these bandgaps expand significantly. This expansion is attributed to the generation mechanism of these bandgaps, which is affected by the relative deformation of the rail and the slab. The seventh bandgap shifts towards higher frequency with the stiffness increases while the bandwidth gradually decreases. For the eighth and ninth bandgaps, an approximate coupling between the Bragg bandgap and the local resonance bandgap occurs when the fastening stiffness is within the range of 40–45 × 106 N/m, increasing the width of the bandgaps.
At a vertical stiffness of the fastening of 35 × 106 N/m, the variation laws of bandgaps with the change of the stiffness of the isolation layer are shown in Figure 9. When the stiffness beneath the slab increases from 4 × 108 N/m3 to 1.2 × 109 N/m3, the frequencies of all bandgaps, with the exception of the Bragg bandgap at the pinned–pinned resonance, move towards higher frequencies. Compared with the fastening stiffness, the stiffness of the isolation layer has a more pronounced effect on the bandgaps. With the increased stiffness of the isolation layer, the frequency range of the first-order bandgap broadens gradually, and the cut-off frequency increases from 110.6 Hz to 147 Hz. The second and third bandgaps are relatively narrow and are minimally affected stiffness parameters. The fourth to eighth bandgaps are predominantly generated by the coupling effect of the local resonance and Bragg bandgaps, resulting in the formation of an approximately broad bandgap. Moreover, as the stiffness increases, the range of these bandgaps broadens significantly. When the stiffness of the isolation layer is within the range of 0.9–1.0 × 109 N/m3, five bandgaps converge, leading to a coupled bandgap in the range of 180–230 Hz.

Figure 9.
Influence of isolation layer stiffness on bandgaps.
4. Defect State Analysis of Slab Track
After long-term service, SCC may become damaged, leading to local defects in the CRTS III slab ballastless track structure. The occurrence of defects may lead to significant vibration responses under moving train loads, uneven local contact stress on the track slab, and the continuous development of damage. Therefore, to focus on the damage of SCC within the ballastless track structure, the characteristics of the defective state in CRTS III slab ballastless track structure were analyzed.
4.1. Characteristics of the Defective State
The local damage of SCC is located at the slab edge, and the support stiffness in the defective area is set to 0 in the analytical model. When the defect size of the support area beneath the slab is 0.1 m, six defective states are generated in the slab track structure below 500 Hz. Flat bands representing defect states are formed within the original bandgaps as shown in Figure 10. When an external load is close to the frequency of a defect state, vibration localization at the defective position will be formed []. Due to the failure of the support beneath the track slab, most of the defect states are formed within the local resonance bandgaps associated with the deformation of the slab, except the second defect sate, which is located in the Bragg bandgap showing rail–slab in-phase motion.

Figure 10.
Wave propagation in the slab track structure with local contact loss, where A–F represents 6 defect states: (a) dispersion curve of supercell, red lines represent the defect states; (b) wave modes of defect states (red: rail, black: slab).
Following the wave modes corresponding to the defect states illustrated in Figure 10, structural deformation is concentrated near the defect, with the maximum vibration response occurring in the defective cell. Mode A–Mode F represents the wave modes of the supercell at the defect state frequencies. For any wavenumber, there is only one corresponding wave mode for a defect state. Defect mode A shows the vibration localization of the defect state and the rail and the slab move in-phase, with the primary deformation concentrated around the local defect. For defect mode B, it is located in the Bragg bandgap and has a broader influence range. Since the defect is located on the left side of the slab end, the flexural wave exhibits rapid attenuation when propagating to the left side. Defect mode C is primarily characterized by the bending deformation mode of the slab, and its influence range encompasses an approximate length of two track slabs. For defect mode D, the rail and slab move out-of-phase, which can induce noticeable vibrations within a range of 10 m on either side of the defect. For defect states in the higher frequency range, such as defect mode E and mode F, the localization of elastic waves is less pronounced, and the influence range of local vibrations can exceed 100 m.
Since the local defect directly affects the support stiffness of the slab, most of the defect states are located within local resonance bandgaps except defect mode B. The main reason for forming a defect state within the Bragg bandgap is that the maximum deformation is located at the slab end, as illustrated by mode C in Figure 6. The presence of local defects alters the dynamic properties of the original periodic structure, inducing structural resonance around the defect at specific frequencies within bandgaps, which does not propagate throughout the entire structure. Therefore, the formation mechanism of defect states in periodic slab tracks can be explained by local resonance.
Furthermore, it is noteworthy that the defect states in defective structures and dispersion curves resulting from local resonance in non-detective structures are flat bands. The group velocity corresponding to the defect states is equal to 0, whereas the flat bands formed by local resonances are not strictly equal to 0. Consequently, the waves corresponding to the defect states are incapable of propagating within the structure and are localized near defects. In contrast, the flat bands are formed by the local resonance in a periodic structure, the standing wave modes represent the structure’s resonances and will not be localized at a specific position.
4.2. Influence of Defect Size and Location
As the size of the contact loss increases, the lower order defect states clearly change since the wave modes are closely related to the support of the isolation layer, as shown in Figure 11a. When the defect size increases from 0.1 m to 0.5 m, the first-order defect state changes significantly with the variation in defect size, with the frequency descending from 108.31 Hz to 77.51 Hz. The second-order defect state does not exhibit significant changes to the variation in defect size. When the defect size increases from 0.1 m to 0.3 m, the frequency of the defective state decreases from 118 Hz to 117.3 Hz, and as the defect size further increases, the frequency of the defective state stabilizes. The frequency of the third-order defect state decreases from 149 Hz to 145.8 Hz and the higher-order defect states are not substantially affected by the defect size.

Figure 11.
Variation of defect state frequency with defect size: (a) local defect at slab end; (b) local defect at the middle of the slab.
From the perspective of defect identification, a comprehensive evaluation can be facilitated by integrating the first three-order defect states. The location of the defect can be determined according to the first-order defect state, with the second-order and third-order defective states serving as auxiliary indicators. The defect size is closely related to the first-order defective state. As the defect size increases, the frequency of the defect state decreases significantly. Although the frequency variation of the second-order defective state concerning the defect size is relatively minor, due to the influence of elastic wave localization, the second-order defective state exhibits the characteristic of unidirectional propagation of elastic waves, which can be utilized as an auxiliary parameter for defect identification. For the third-order defect state, the wave mode is localized near the defective cell, which will also be beneficial for defect identification.
Additionally, to investigate the influence of defect location, local defects were placed at the center of the track slab, and the effect of varying defect sizes on the frequency of defect states was analyzed, as depicted in Figure 11b. The findings reveal that when the defect is centrally located within the slab, the types of defect states remain consistent due to the same failure mode compared with the defect at the slab end. However, the frequency associated with these defect states follows a different pattern as the size of the defect changes. The impact of the central defect on wave propagation is relatively minor, with only the first-order defect state exhibiting a decrease in frequency as the defect size enlarges, while other defect states remain unchanged.
5. Conclusions
To investigate the propagation characteristics of the flexural waves in the slab track structure, this study focuses on the CRTS III ballastless track. Considering the periodically distributed fastenings and slabs, a wave analysis model of the slab track structure considering local defects was established based on the Floquet transform and the supercell method. The following conclusions can be drawn:
For the unit slab track structure, the Floquet transform method can be effectively applied to the elastic wave analysis of the track structure with and without defects, possessing the advantages of stable calculation and high efficiency.
Within the frequency range of 1500 Hz, the CRTS III slab track structure exhibits 21 vertical flexural wave bandgaps. The formation mechanism of these bandgaps can be elucidated by Bragg scattering and local resonance. The most prominent bandgap ranges are 0–110 Hz, 110–170 Hz, and 200–230 Hz. In the low-frequency range, the local resonance of the slab interacts with the waves in the rail, thereby giving rise to a broad bandgap through the coupling of the Bragg and the local resonance bandgaps.
With the increase in fastening stiffness, the bandgaps shift towards higher frequencies. The range of the bandgap composed of the fourth to sixth bandgaps widens significantly due to the coupling effect of two types of bandgaps. With the increase in the isolation layer stiffness, the range of the fourth to eighth bandgaps widens markedly. Within the stiffness range of 0.9 to 1.0 × 109 N/m3 for the isolation layer, the five bandgaps interact with one another, resulting in the formation of a relatively broad bandgap in the range of 180–230 Hz.
Local defects give rise to the emergence of defect states in slab tracks, manifested as the localization of elastic waves near the defect position. Local contact loss beneath the slab can generate six defect states below 500 Hz, and the formation mechanism of the defect states can also be explained by the local resonance of the structure at the defect position. The frequency of the first-order defect state is considerably influenced by the defect’s size. The second-order defect state exhibits the characteristic of unidirectional propagation, and the third-order defect state demonstrates vibration localization. These defect states can serve as important indicators for defect identification.
To further investigate the wave propagation and defect states within ballastless track structures, it is necessary to construct a three-dimensional wave model of the ballastless track structure in forthcoming studies, accounting for asymmetric motion and slab warping. A broader range of local defects can be discussed, including delamination between the slab and the SCC layer. Additionally, it is crucial to incorporate environmental factors and the influence of train loads, assessing the effects of temperature gradients and train loads on the wave propagation characteristics in ballastless track structures.
Author Contributions
Conceptualization, Q.Y.; methodology, Q.Y.; software, Q.Y. and Z.W.; validation, Q.Y., Z.W., L.Z. and S.W.; investigation, Z.L.; resources, S.W.; writing—original draft preparation, Q.Y.; writing—review and editing, Q.Y. and L.Z.; supervision, S.W. All authors have read and agreed to the published version of the manuscript.
Funding
This research was funded by the National Natural Science Foundation of China (52208449) and the Research Fund Project of the China Academy of Railway Sciences (2024YJ334).
Institutional Review Board Statement
Not applicable.
Informed Consent Statement
Not applicable.
Data Availability Statement
The original contributions presented in this study are included in the article. Further inquiries can be directed to the corresponding author.
Conflicts of Interest
Authors Qiang Yi, Lei Zhao and Shuguo Wang were employed by the China Academy of Railway Sciences Corporation Limited. The remaining authors declare that the research was conducted in the absence of any commercial or financial relationships that could be construed as potential conflicts of interest.
References
- Bogacz, R.; Czyczula, W.; Konowrocki, R. Effect of periodicity of railway track and wheel-rail interaction on wheelset-track dynamics. Arch. Appl. Mech. 2015, 85, 1321–1330. [Google Scholar] [CrossRef][Green Version]
- Matias, S.R.; Ferreira, P.A. Railway slab track systems: Review and research potentials. Struct. Infrastruct. Eng. 2020, 16, 1635–1653. [Google Scholar] [CrossRef]
- Zhang, L.; Sheng, X. A review on the research progress of mechanical meta-structures and their applications in rail transit. Intell. Transp. Infrastruct. 2022, 1, liac010. [Google Scholar] [CrossRef]
- Jo, S.H.; Yoon, H.; Shin, Y.C.; Choi, W.; Park, C.S.; Kim, M.; Youn, B.D. Designing a phononic crystal with a defect for energy localization and harvesting: Supercell size and defect location. Int. J. Mech. Sci. 2020, 179, 105670. [Google Scholar] [CrossRef]
- Jo, S.H.; Yoon, H.; Shin, Y.C.; Youn, B.D. Revealing defect-mode-enabled energy localization mechanisms of a one-dimensional phononic crystal. Int. J. Mech. Sci. 2022, 215, 106950. [Google Scholar] [CrossRef]
- Li, Y.; Cottereau, R.; Tie, B. Defect modes in imperfect periodic structures. J. Phys. Conf. Ser. 2024, 2822, 012146. [Google Scholar] [CrossRef]
- Sheng, X.; Li, M.H. Propagation constants of railway tracks as a periodic structure. J. Sound Vib. 2007, 299, 1114–1123. [Google Scholar] [CrossRef]
- Peng, Y.H.; Sheng, X.Z.; Cheng, G. Modelling track and ground vibrations for a slab ballastless track as an infinitely long periodic structure subject to a moving harmonic load. J. Sound Vib. 2020, 489, 115760. [Google Scholar] [CrossRef]
- Feng, Q.S.; Dai, C.X.; Guo, W.J.; Yang, Z.; Lu, J.F. A Hybrid Solution for Band-Gap Analysis of Vertical Vibration for Periodic Beam-Plate Coupled Systems Based on Variation Principle. Int. J. Struct. Stab. Dyn. 2021, 21, 2150173. [Google Scholar] [CrossRef]
- Liu, J.; Feng, Q.S.; Yang, Z.; Chen, Y. Complex Dispersion Analysis of Flexural Wave Propagation in Periodic Track Structure. Int. J. Struct. Stab. Dyn. 2024, 2550197. [Google Scholar] [CrossRef]
- Zhang, X.Y.; Thompson, D.J.; Li, Q.; Kostovasilis, D.; Toward, M.G.R.; Squicciarini, G.; Ryue, J. A model of a discretely supported railway track based on a 2.5D finite element approach. J. Sound Vib. 2019, 438, 153–174. [Google Scholar] [CrossRef]
- Yang, C.; Kaynardag, K.; Salamone, S. Investigation of wave propagation and attenuation in periodic supported rails using wave finite element method. Acta Mech. 2024, 235, 1453–1469. [Google Scholar] [CrossRef]
- Wang, P.; Yi, Q.; Zhao, C.Y.; Xing, M.T.; Tang, J. Wave propagation in periodic track structures: Band-gap behaviours and formation mechanisms. Arch. Appl. Mech. 2017, 87, 503–519. [Google Scholar] [CrossRef]
- Wang, P.; Yi, Q.; Zhao, C.Y.; Xing, M.T. Elastic wave propagation characteristics of periodic track structure in high-speed railway. J. Vib. Control 2019, 25, 517–528. [Google Scholar] [CrossRef]
- Zhao, C.Y.; Geng, M.J.; Wang, Y.Z.; Hui, Q.M.; Zhang, X.H.; Lei, J.X.; Wang, P. Vibration band gap characteristics of high-speed railway ballasted track structure and their influence on vibration transmission. J. Cent. South Univ. 2023, 30, 2740–2756. [Google Scholar] [CrossRef]
- Zhao, C.Y.; Hui, Q.M.; Wang, P.; Zhang, X.H.; Geng, M.J.; Wang, Y.Z. Characterization of elastic wave propagation in high-speed railway tracks considering temperature effects. J. Vib. Control 2024. [Google Scholar] [CrossRef]
- Cui, R.X.; Zhou, J.S.; Gong, D. Band Gap and Vibration Reduction Properties of Damped Rail with Two-Dimensional Honeycomb Phononic Crystals. Shock Vib. 2021, 1, 8814962. [Google Scholar] [CrossRef]
- Zhao, C.Y.; Shi, D.J.; Zheng, J.Y.; Niu, Y.W.; Wang, P. New floating slab track isolator for vibration reduction using particle damping vibration absorption and bandgap vibration resistance. Constr. Build. Mater. 2022, 336, 127561. [Google Scholar] [CrossRef]
- Jin, H.; Li, Z. Band Gap Analysis of Improved Point-Supporting Structure for Floating-Slab Track Through Theoretical Model. J. Vib. Eng. Technol. 2022, 10, 55–69. [Google Scholar] [CrossRef]
- Iqbal, M.; Kumar, A. Flexural waves analysis and enhancement of bandgap properties of a periodic track structure. Proc. Inst. Mech. Eng. Part E J. Process Mech. Eng. 2024, 238, 2069–2079. [Google Scholar] [CrossRef]
- Ren, J.J.; Deng, S.J.; Zhang, K.Y.; Du, W.; Wu, Q.H. Design theories and maintenance technologies of slab tracks for high-speed railways in China: A review. Transp. Saf. Environ. 2021, 3, tdab024. [Google Scholar] [CrossRef]
- Dong, W.; Wang, X.; He, Q.; Ren, J. A survey of Ballastless track defects in China’s high-speed railway after ten years of service. Intell. Transp. Infrastruct. 2022, 1, liac023. [Google Scholar] [CrossRef]
- Wang, J.; Gao, L.; Wang, L.D.; Zhao, W.Q.; Qin, Y.; Hua, C.; Li, Y.W. Evolution Mechanism of Interlayer Properties of CRTS III Slab Track during Construction. Appl. Sci. 2024, 14, 704. [Google Scholar] [CrossRef]
- Ren, J.J.; Liu, W.G.; Lai, J.L.; Ye, W.L.; Deng, S.J.; Liu, X.Y.; Tan, B. Performance deterioration and structural state diagnosis of slab tracks for high-speed railways: A review. Eng. Fail. Anal. 2024, 158, 107955. [Google Scholar] [CrossRef]
- Wu, W.; Liu, P.; Gong, Y.F. Interfacial separation in CRTS II type slab track structure subjected to continuous high temperatures: Thermal and moisture effects. Appl. Therm. Eng. 2025, 261, 04016041. [Google Scholar] [CrossRef]
- Wang, T.; Jia, H.Q.; Liu, Z.K.; Wei, Z.; Xie, X.; Wu, S.L.; Li, H.Y. Experimental study of the gap between track slab and cement asphalt mortar layer in CRTS I slab track. J. Mod. Transp. 2018, 26, 173–178. [Google Scholar] [CrossRef]
- Sun, S.W.; Xu, Q.Y. Experimental study on the interface fatigue between track slab and self-compacting concrete for CRTS III slab track. Eng. Fail. Anal. 2023, 150, 107302. [Google Scholar] [CrossRef]
- Feng, Q.S.; Chao, H.Y.; Lei, X.Y. In Influence of the Seam between Slab and CA Mortar of CRTSII Ballastless Track on Vibration Characteristics of Vehicle-Track System. In Proceedings of the 10th International Conference on Structural Dynamics (EURODYN), Rome, Italy, 10–13 September 2017; Faculty of Civil and Industrial Engineering, Sapienza University of Rome: Rome, Italy, 2017. [Google Scholar]
- Zhu, S.Y.; Cai, C.B. Interface damage and its effect on vibrations of slab track under temperature and vehicle dynamic loads. Int. J. Non-Linear Mech. 2014, 58, 222–232. [Google Scholar] [CrossRef]
- Zhu, S.Y.; Cai, C.B.; Zhai, W.M. Interface Damage Assessment of Railway Slab Track Based on Reliability Techniques and Vehicle-Track Interactions. J. Transp. Eng. 2016, 142, 04016041. [Google Scholar] [CrossRef]
- Zeng, Z.P.; Xiao, Y.C.; Wang, W.D.; Huang, Z.B.; Wei, W.; Houdou, S.B. Research on Dynamic Performance of CRTSIII Type Slab Ballastless Track under Long-Term Service. Materials 2022, 15, 2033. [Google Scholar] [CrossRef]
- Xin, X.; Ren, Z.S. The Effect of Interface Damage between Slab and Mortar Layer on the Dynamic Performances of Vehicle and Track Systems under the High Frequency Train Loads. Appl. Sci. 2022, 12, 4555. [Google Scholar] [CrossRef]
- Auersch, L.; Said, S. Track-soil dynamics-Calculation and measurement of damaged and repaired slab tracks. Transp. Geotech. 2017, 12, 1–14. [Google Scholar] [CrossRef]
- Li, Z.W.; Liu, X.Z.; Yang, F.; Zhang, L.W. Mud Pumping Defect Detection of High-Speed Rail Slab Track Based on Track Geometry Data. J. Transp. Eng. Part A Syst. 2022, 148, 04022023. [Google Scholar] [CrossRef]
- Yi, Q.; Zhao, C.Y.; Wang, P. Characteristics of defect states in periodic railway track structure. J. Low Freq. Noise Vib. Act. Control 2022, 41, 196–208. [Google Scholar] [CrossRef]
- Waki, Y.; Mace, B.R.; Brennan, M.J. Numerical issues concerning the wave and finite element method for free and forced vibrations of waveguides. J. Sound Vib. 2009, 327, 92–108. [Google Scholar] [CrossRef]
- Didier, C.; Louise, E.M.; Denis, A. Periodic BEM and FEM-BEM couplin. Comput. Mech. 2000, 25, 567–577. [Google Scholar]
- Zhai, W. Vehicle–Track Coupled Dynamics Models; Springer: Singapore, 2020. [Google Scholar]
- Miranda, E.J.P., Jr.; Dos Santos, J.M.C. Flexural Wave Band Gaps in Phononic Crystal Euler-Bernoulli Beams Using Wave Finite Element and Plane Wave Expansion Methods. Mater. Res. 2017, 20, 729–742. [Google Scholar] [CrossRef]
Disclaimer/Publisher’s Note: The statements, opinions and data contained in all publications are solely those of the individual author(s) and contributor(s) and not of MDPI and/or the editor(s). MDPI and/or the editor(s) disclaim responsibility for any injury to people or property resulting from any ideas, methods, instructions or products referred to in the content. |
© 2025 by the authors. Licensee MDPI, Basel, Switzerland. This article is an open access article distributed under the terms and conditions of the Creative Commons Attribution (CC BY) license (https://creativecommons.org/licenses/by/4.0/).