Next Article in Journal
Leveraging the Chain on Goals Model in Football: Applications for Attack and Defensive Play
Previous Article in Journal
Functionality of the Search and Rescue Transponder (SART) in Maritime Search and Rescue Actions
Previous Article in Special Issue
Optical Coherence Tomography as a Biomarker in the Differential Diagnosis between Parkinson’s Disease and Atypical Parkinsonian Syndromes: A Narrative Review
 
 
Font Type:
Arial Georgia Verdana
Font Size:
Aa Aa Aa
Line Spacing:
Column Width:
Background:
Article

Quantitative Evaluation of the Effectiveness of Erbium Glass Laser Therapy for Acne Scars

by
Wiktoria Odrzywołek
1,*,
Anna Deda
2,
Dagmara Kuca
1,
Małgorzata Bożek
1,
Krzysztof Makarski
3 and
Sławomir Wilczyński
1
1
Department of Basic Biomedical Science, Faculty of Pharmaceutical Sciences in Sosnowiec, Medical University of Silesia, 41-200 Sosnowiec, Poland
2
Department of Practical Cosmetology and Skin Diagnostics, Faculty of Pharmaceutical Sciences in Sosnowiec, Medical University of Silesia in Katowice, 41-200 Sosnowiec, Poland
3
Shar-Pol Sp. z o.o., 44-12 Gliwice, Poland
*
Author to whom correspondence should be addressed.
Appl. Sci. 2025, 15(2), 995; https://doi.org/10.3390/app15020995
Submission received: 2 December 2024 / Revised: 8 January 2025 / Accepted: 14 January 2025 / Published: 20 January 2025
(This article belongs to the Special Issue Biomedical Optics: From Methods to Applications)

Abstract

Background: Acne scarring presents a significant esthetic and psychological concern, commonly classified into atrophic and hypertrophic types. Effectively managing these lesions often involves the use of therapeutic strategies such as laser treatments, dermabrasion, and fillers. This study investigates the efficacy of 1550 nm erbium glass laser therapy in the treatment of atrophic acne scars through a quantitative assessment. Material and Methods: Participants with mild to moderate atrophic acne scars received two sessions of fractional erbium glass laser therapy at one-month intervals. Skin density and epidermal thickness were measured using a high-frequency ultrasound device (DUB SkinScanner), while the Antera 3D imaging system facilitated a comprehensive analysis of skin parameters, including texture, volumetric depressions, and pigmentation. Results: The use of this therapy led to significant improvements across multiple parameters. Skin density and epidermal thickness increased. Significant reductions were observed in fold depth, pore volume, and depression volume, indicating enhanced smoothness and minimized scar appearance. Improvements in texture roughness and pigmentation contributed to a visually coherent skin surface. Conclusions: Fractional erbium glass laser therapy effectively ameliorates the appearance of atrophic acne scars by increasing skin density, reducing dermal depressions, and improving texture and pigmentation uniformity. The Antera 3D system and high-frequency ultrasound device demonstrated high efficacy in capturing subtle changes, supporting its value in clinical applications for optimizing treatment parameters.

1. Introduction

Acne scars arise due to an inflammatory response in the skin and can manifest in either atrophic or hypertrophic forms. Atrophic scars are characterized by a deficiency of collagen during the healing process. These scars exhibit a paucity of collagen fibers and are poorly vascularized. They are categorized into three types: ice-pick, rolling, and boxcar scars [1,2,3,4].
Ice-pick scars are narrow and deep, with a “V” shape extending to the deep dermis or subcutaneous tissue. Rolling scars are shallow and wide with a soft edge and a chaotic fibrous structure in the dermis and subcutaneous tissue, giving a wavy “M” appearance. Boxcar scars are round to oval with clear edges; their surface opening is wider than that of ice-pick scars, and they have a wider bottom with a cross-section similar to a “U” shape [5,6]. Hypertrophic scars, on the other hand, are elevated lesions above the skin surface with a reddish-pink hue and do not extend beyond the original boundaries of the skin injury. They typically develop due to improper acne treatment, subsequent to cysts and nodules, and are commonly located in the regions of the cheeks and jawline [7]. Acne scars, a significant esthetic concern for patients, can lead to various facial disfigurements and psychological disorders.
Treating facial acne scars effectively poses a considerable clinical challenge. A range of therapeutic strategies were employed to manage acne scars, including dermabrasion, involving autologous fat transfer, dermal filler injections, and chemical peels. Additionally, laser resurfacing offers an effective and more user-friendly treatment option compared to many other methods. In our study, we used erbium glass laser technology (1550 nm), which allows for non-ablative treatments without evaporation of the epidermis and the skin [8,9,10,11].
Dermabrasion is a mechanical technique that removes the epidermal and dermal layers, stimulating wound healing and collagen production. This method, while effective for shallow scars, carries a risk of pigmentation changes and requires significant downtime. Autologous fat transfer and dermal filler injections offer volume restoration for deeper scars, particularly rolling or boxcar scars, but their effects are often temporary, requiring repeated treatments. Chemical peels are another widely used option, employing chemical exfoliants to resurface the skin and improve texture. These peels vary in depth (superficial, medium, or deep), with deeper peels offering more dramatic results but at the cost of increased recovery time and side effects [6].
Laser resurfacing, particularly fractional laser therapies, has emerged as a highly effective and versatile treatment modality. Unlike mechanical or chemical approaches, laser treatments use focused energy to stimulate collagen remodeling and skin regeneration. Fractional ablative lasers, such as CO2, achieve significant improvements in scar appearance but are associated with extended recovery periods and a higher risk of adverse effects. In contrast, non-ablative lasers, including the erbium glass laser (1550 nm) used in this study, offer a less invasive approach. By delivering energy to the dermis without disrupting the epidermis, non-ablative lasers minimize downtime while promoting collagen synthesis and dermal remodeling. This makes them particularly appealing for patients seeking effective results with minimal recovery.
Each of these approaches offers unique benefits and limitations, highlighting the importance of personalizing acne scar treatment to meet the specific needs of individual patients. Our study focuses on the use of erbium glass laser technology (1550 nm), which combines efficacy and safety in a non-ablative format, allowing for precise treatment without epidermal evaporation. This modality addresses the dual goals of improving skin texture and density while minimizing the risks and inconveniences associated with more invasive therapies.
In recent years, imaging technologies have played a pivotal role in evaluating the efficacy of various treatments by providing precise, objective assessments of skin parameters. These methods not only enhance our understanding of the underlying structural changes but also allow for the quantitative tracking of therapeutic progress, bridging the gap between clinical outcomes and patient satisfaction.
The Antera 3D® system is an advanced imaging device designed for the acquisition and analysis of skin conditions. It operates based on multipoint skin illumination and computer-assisted three-dimensional surface reconstruction. By analyzing differences in images captured at various wavelengths and illumination angles, the system provides detailed spatial and spectral analysis. This analysis allows for the precise mapping of melanin, hemoglobin, pores, and wrinkles, offering insights into surface structure and volumetric changes.
The Antera 3D® system employs reflectance mapping across seven different wavelengths, covering the entire visible spectrum. This approach allows for a precise analysis of the skin’s colorimetric properties, which are predominantly determined by two key chromophores: melanin and hemoglobin. The acquired spectral images are converted into skin spectral reflectance maps, with the skin surface’s shape used to compensate for variations in light intensity caused by changing illumination angles. Then, the reflectance data are transformed into skin absorption coefficients, which are used to quantitatively determine the concentrations of melanin and hemoglobin via mathematical correlation with the known spectral absorption data of these chromophores.
For the analysis of skin texture, a filter is applied to the reconstructed 3D surface of the skin, which differentiates between depressions and elevations relative to a normalized reference shape (a surface free of roughness). By removing the normalized reference shape, the presentation of the skin’s roughness is obtained. Skin texture is defined by the average roughness (Ra), which represents the mean value of all deviations from the normalized reference surface, irrespective of the vertical direction.
R a = 1 n Σ n = z i z i N R S
  • n is the number of pixels in the selected area;
  • Zi and ZiNRS represent the elevations of both the reconstructed skin surface and the normalized reference surface at the i-th pixel [12,13,14].
High-frequency ultrasonography (HFUS) is a valuable diagnostic tool in dermatology, enabling the detailed evaluation of skin structure and parameters. Operating at frequencies above 20 MHz, HFUS provides high-resolution imaging, allowing for the analysis of various skin layers, including the epidermis, dermis, and subcutaneous tissue. This technique also facilitates the assessment of skin echogenicity, which reflects changes in collagen and elastin content [15,16].
In our study, we employed both the Antera 3D® imaging system and high-frequency ultrasonography (HFUS) to comprehensively evaluate the efficacy of erbium glass laser treatment for acne scars.

2. Materials and Methods

  • Patients
This study included 30 patients (16 women, 14 men) with mild to moderate atrophic acne scars and no new active acne lesions. The patients’ ages ranged between 28 and 40 (mean 32 years, SD = 4.2) years. The inclusion criteria encompassed overall good health, age ≥ 20 years, a diagnosis of pathological acne scarring, no contraindications to laser therapy, and a willingness to comply with the study protocol and attend follow-up visits. Exclusion criteria encompassed recent isotretinoin therapy within the last 6 months, filler injections or dermabrasion in the past year, chemical peelings in the last 3 months, a personal history of hypertrophic scars or keloid formation, pregnancy, and lactation.
The study was conducted in accordance with the Declaration of Helsinki. Our research obtained a positive opinion of the Ethics Committee of SUM No. PCN/0022/KB1/12/I/20 on 19 May 2020. All volunteers signed voluntary consent to participate in the study.
  • Treatment
Before the procedure, the patients cleansed their skin using gentle soap. One hour prior to treatment, a topical anesthetic cream (EMLA, AstraZeneca, Stockholm, Sweden) was applied to the skin. Additionally, the treatment area was disinfected with Kodan (Schülke & Mayr, Norderstedt, Germany). The patients were treated with a fractional 1550 nm erbium glass laser. Each patient was treated for 2 treatments at monthly intervals. The treatment comprised the following: an impulse time of 2.8 ms; a pulse energy of 30–35 mJ; a 70 µm beam; a spot surface of 0.0038 mm2; and an energy density of 0.035 J/0.000038 cm2 = 921 J/cm2.
  • Ultrasound Measurement
The DUB SkinScanner high-frequency ultrasonography, operating in B-scan mode with a 50 MHz transducer, was utilized to evaluate skin density (echo intensity) and epidermal thickness (entrance echo). Epidermal thickness was quantified in millimeters using the A-scan, while skin density was measured directly beneath the epidermis using the “region of interest” (ROI) function within the DUB SkinScanner software (DUB-SkinScanner75 5.21). Images were acquired from the designated skin area pre- and post-laser treatments, with measurements consistently conducted at the same locations to ensure reproducibility. All images were obtained under standardized settings. Prior to each measurement, ultrasound gel was applied to the skin surface, and images were captured perpendicularly with minimal operator-applied pressure to maintain measurement accuracy.
  • Antera Measurement
All measurements were performed in the same room with no daylight under controlled ambient conditions (22–24 °C, 50–60% relative humidity). After a 20 min acclimatization, the Antera 3D camera (Miravex Limited, Dublin, Ireland) was utilized to capture images of the treated area both before the initiation of the treatment and months after the second session. The evaluation scores for texture, folds, volume, and melanin levels were analyzed using the Antera Pro software (version 2.8.6; Miravex Limited, Dublin, Ireland) (Table 1). Skin measurements from the Antera 3D were obtained on a measuring area of 5.6 × 5.6 cm. Acquisitions were performed on the face area by placing the camera directly onto the skin without excessive pressure.
  • Statistical analysis
To present the results obtained on a quantitative scale, descriptive statistical methods were used, including arithmetic mean, median (Me), standard deviation (SD), interquartile range (IQR), minimum (Min), and maximum (Max). To assess how well the distribution of the studied variables conforms with the normal distribution, the Shapiro–Wilk test was applied. A paired t-test or the Wilcoxon test was used to evaluate the difference between measurements before and after therapy. The results with p < 0.05 were considered statistically significant. The statistical analysis was performed using Statistica v.13.3 (StatSoft) and GraphPad Prism v.9.0.

3. Results

  • Skin density and epidermis thickness
The skin density before therapy was 10.459 a.u. (arbitrary units) (±4.974), while after therapy, it was 13.409 a.u. (±6.759). It was shown that skin density increased on average by 2.950 (±3.261). This increase was found to be statistically significant (p < 0.0001) (Figure 1a).
The epidermal thickness before therapy was 0.089 mm (±0.013), while after therapy, it was 0.093 mm (±0.016). It was shown that the epidermal thickness increased on average by 0.004 (±0.011). This increase was found to be statistically significant (p = 0.0398) (Figure 2b). The effects of increased skin density and epidermal thickness are visible in Figure 2.
  • Average depth of the folds
The mean depth of the folds before therapy was 0.110 mm (±0.018), while after therapy, the mean fold depth was 0.077 mm (±0.047). It was shown that the mean depth decreased by 0.033 (±0.041). This decrease was found to be statistically significant (p < 0.0001) (Figure 3).
  • Pores
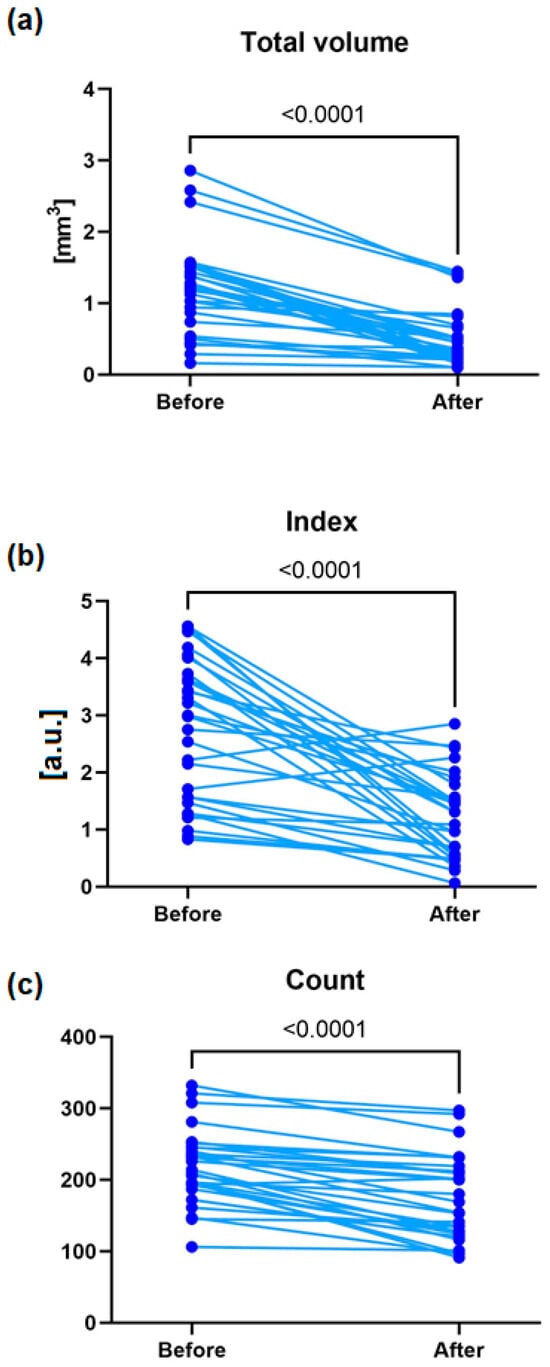
The total mean volume before therapy was 1.199 mm3 (±0.645), while after therapy, the total mean volume was 0.479 mm3 (±0.372). It was shown that the total mean volume decreased by 0.720 (±0.458). This decrease was found to be statistically significant (p < 0.0001) (Figure 4a).
The index before therapy was 2.770 a.u. (±1.248), while after therapy, the index was 1.207 a.u. (±0.736). It was shown that the index decreased by 1.563 (±1.283). This decrease was found to be statistically significant (p < 0.0001) (Figure 4b).
The count before therapy was 217.500 (±51.115), while after therapy, the count was 172.967 (±58.971). It was shown that the count decreased by 44.533 (±30.178). This decrease was found to be statistically significant (p < 0.0001) (Figure 4c).
  • Volumes of skin depressions
The mean volume of skin depressions before therapy was 7.907 mm3 (±2.148), while after therapy, the mean volume was 4.666 mm3 (±2.203). It was shown that the mean volume decreased by 3.241 (±1.991). This decrease was found to be statistically significant (p < 0.0001) (Figure 5).
  • Texture
The texture roughness before therapy was 13.322 µm (±3.961), while after therapy, the texture roughness was 9.343 µm (±2.337). It was shown that the texture roughness decreased by 3.979 (±2.942). This decrease was found to be statistically significant (p < 0.0001) (Figure 6a).
The maximum texture height before therapy was 0.171 mm (±0.065), while after therapy, the maximum texture height was 0.126 mm (±0.054). It was shown that the maximum texture height decreased by 0.045 (±0.033). This decrease was found to be statistically significant (p < 0.0001) (Figure 6b).
  • Pigmentation
The mean pigmentation before therapy was 41.210 a.u. (±2.929), while after therapy, the mean pigmentation was 38.952 a.u. (±3.100). It was shown that the mean pigmentation decreased by 2.257 (±1.829). This decrease was found to be statistically significant (p < 0.0001) (Figure 7a).
The maximum pigmentation before therapy was 54.300 a.u. (±2.179), while after therapy, the maximum pigmentation was 48.010 a.u. (±4.528). It was shown that the maximum pigmentation decreased by 6.290 (±3.782). This decrease was found to be statistically significant (p < 0.0001) (Figure 7b).
The presented 3D visualizations of skin texture, pores, volume, and folds before and after erbium glass laser therapy highlight the significant improvements in skin smoothness and structure achieved after the treatment (Figure 8).

4. Discussion

The study demonstrated the efficacy of 1550 nm erbium glass laser therapy in reducing the appearance of atrophic acne scars through significant improvements in various skin parameters. Each of these improved parameters provides insights into the mechanisms by which the therapy contributes to scar reduction and enhances the overall condition of the skin.
There are reports on the effectiveness of the erbium glass laser in reducing acne scars; however, the assessment methods used in these studies were qualitative rather than quantitative. In the study by Kim et al., 2009, 1550 nm laser therapy on acne scars was evaluated. The patients underwent three treatment sessions at six-week intervals, with the laser parameters set to 30–32 mJ pulse energy and a density of 300–350 spots/cm2. The results demonstrated significant improvement, particularly for rolling-type scars, with average improvement ratings of 2.51 to 2.88 on a 4-point scale, indicating a noticeable reduction in scar appearance and enhanced skin texture. In the study by Kim et al., 2009, the assessment of treatment efficacy utilized a four-point improvement scale rated by independent dermatologists who were blinded to the study. However, there was no mention of formal validation of this scale in this text, suggesting it may have been used as a subjective measure rather than a standardized or validated tool. This highlights a potential limitation in the robustness of the reported outcomes, as reliance on subjective evaluation could introduce variability in the results [17]. In the study by Cho et al., the effectiveness and safety of a single-session treatment using the 1550 nm erbium-doped fractional photothermolysis system (FPS) were assessed. Each patient underwent one session with FPS at a pulse energy of 40 mJ/cm2, covering 17% per cm2 per pass, completing eight passes. Qualitative assessment methods included a blinded evaluation of standardized photographs by two independent dermatologists using a quartile grading scale for improvement (0 to 4) and patient-reported satisfaction levels. The clinical outcomes, evaluated three months post-treatment, showed that six out of eight participants achieved a moderate improvement (26–50%) in scar appearance, with one patient experiencing marked improvement (51–75%) and one patient showing minimal to no improvement [18].
The study by Hantash et al. investigated the effect of laser spot size on penetration depth using a 1550 nm Fraxel® SR laser. Smaller spot sizes (60 μm) created shallower lesions and caused more epidermal disruption, facilitating easier transepidermal elimination of dermal material. Larger spot sizes (140 μm) produced deeper thermal lesions, reaching up to 700 μm, while maintaining better epidermal integrity [19]. Although our study utilized a laser with a 70 µm spot size, we achieved significant efficacy in the reduction of acne scars.
In our study, we focused on quantitative assessment methods, enhancing the precision of therapeutic outcome evaluations. High-frequency ultrasound (HFUS) and Antera 3D® imaging have proven to be effective tools for the assessment of acne scars and the evaluation of treatment efficacy. Our study emphasizes the effectiveness of fractional erbium-doped glass lasers in treating atrophic acne scars, corroborating findings from previous research. Rongsaard and Rummaneethorn conducted a split-face study where one side of the face was treated with a fractional erbium-doped glass laser (1550 nm). Their methodology involved three treatment sessions at monthly intervals, with energy parameters ranging from 30 to 50 mJ/MTZ and coverage levels of 10–14% per pass. This approach ensured consistent and controlled treatment parameters, allowing for a robust evaluation of therapeutic efficacy. Skin texture improvement was assessed using the VISIA® Complexion Analysis System, which quantifies irregularities on the facial surface by generating texture scores before and after the treatment. While the system provided valuable comparative data, the authors noted the absence of formal validation for quantitative measurements, highlighting a limitation in methodological precision. Despite this, significant reductions in texture scores were observed following treatment with the erbium glass laser, demonstrating its ability to smoothen and refine skin texture. Notably, during the procedure, a Cryo 6 Skin Cooling System was employed to cool the skin, primarily to reduce pain and protect the epidermis from thermal damage. While this approach enhanced patient comfort and minimized post-treatment erythema and scabbing, it may have influenced the efficacy of thermal energy delivery, which is crucial for collagen remodeling and neocollagenesis. By mitigating surface heat, cooling might limit the full penetration of thermal energy into the skin, potentially moderating the overall impact of the laser on scar reduction. However, the balance between patient comfort and treatment efficacy is an important consideration, and further research is needed to determine the optimal cooling parameters for fractional non-ablative laser therapies [20]. The findings of Naranjo et al. on the efficacy of non-ablative fractional 1540 nm erbium glass laser treatments for improving skin texture further support the observed benefits of similar laser systems in dermatological treatments. Their study demonstrated significant reductions in skin roughness volume (49.5%), roughness-affected area (46%), and maximum depth depression (24.6%) after five monthly treatment sessions. These results align with our findings, underscoring the capacity of non-ablative lasers to stimulate neocollagenesis while preserving the epidermis, resulting in both structural and esthetic enhancements. The shorter downtime and lower risk of complications associated with non-ablative approaches make them particularly advantageous for patients seeking minimally invasive treatments. Additionally, their application of advanced 3D imaging for quantifying treatment outcomes reinforces the importance of objective assessment methods, which ensure precise and reproducible evaluations critical for optimizing therapeutic protocols. These insights emphasize the growing role of non-ablative lasers in dermatological practice, offering effective and patient-friendly solutions for skin rejuvenation and scar reduction [21].
In our study, we addressed these methodological gaps by incorporating advanced imaging techniques, such as Antera 3D® and HFUS, to quantitatively measure improvements in skin texture, density, and volume. The absence of cooling in our protocol may have allowed for deeper energy delivery, enhancing the observed effects on dermal remodeling and collagen synthesis. These tools allowed for objective and reproducible evaluations, strengthening the reliability of our findings compared to more subjective assessment methods.
HFUS has shown utility in monitoring therapeutic progress by quantitatively measuring increases in epidermal thickness and dermal density post-treatment, markers indicative of collagen production, and dermal remodeling—key outcomes for effective scar treatment. Antera 3D® imaging complements HFUS by focusing on the scar’s surface characteristics, including skin texture and volumetric changes [22,23].
The increase in skin density post-treatment suggests an improvement in collagen content and other structural proteins within the skin. Atrophic scars are characterized by collagen deficiency, resulting in indentations and depressions in the skin. By increasing skin density, the laser therapy effectively fills in these indentations, reducing the visibility of scars. A thicker epidermis can mask surface-level scars, making them less visible. Since a thinner epidermis may highlight the presence of scars, increasing its thickness through treatment helps to smooth the skin surface. This protective layer also supports overall skin health and regeneration.
Deep folds and irregularities are often associated with rolling scars, which create a wavy texture. By reducing the depth of these folds, the therapy helps to achieve a more uniform surface, minimizing the appearance of rolling scars and improving the overall skin texture.
Reduced pore volume and count post-treatment imply an improvement in skin texture. Enlarged pores can emphasize scarred areas, especially on acne-affected skin. The decrease in pore size contributes to a more refined, even skin texture, helping to mask the scars and creating a smoother surface.
The decrease in the volume of skin depressions due to acne scars is a direct indicator of scar reduction. Smaller depressions reflect a more even skin surface where previously sunken areas are raised. This is likely due to the laser’s collagen-stimulating effects, which help rebuild the skin’s structure and lessen the depth of scars.
Reduced roughness in skin texture after treatment suggests a smoother surface, which is essential for diminishing the appearance of acne scars. Acne scars often create a rough, uneven texture on the skin, and reducing this roughness leads to a more visually appealing, uniform surface. A decrease in maximum texture height implies the leveling of the highest and lowest points on the skin’s surface. This is crucial for acne scars, where differences in height between normal skin and scar tissue can be significant. By reducing these differences, the treatment helps achieve a more consistent and smooth skin appearance.
Reducing pigmentation levels, both mean and maximum, suggests an evening of skin tone, which is critical for reducing the visibility of acne scars. Scars can cause hyperpigmentation, and addressing this uneven pigmentation helps the skin appear more uniform, making scars less noticeable.
These parameter improvements highlight how erbium glass laser therapy not only reduces the visibility of acne scars but also enhances the overall health and appearance of the skin.

5. Conclusions

The findings of this study underscore the Antera 3D camera’s capability to provide precise, objective assessments of scar treatment efficacy, with the sensitivity to detect even minimal changes in skin parameters. This high level of measurement accuracy substantiates its value as a clinical tool and highlights its potential for broader integration into dermatological practice. However, while these quantitative measurements offer valuable insights into skin parameter improvements, further research is needed to establish clinically relevant thresholds for these changes and their correlation with patient satisfaction and desired esthetic outcomes.
The data derived from Antera 3D assessments provide a foundation for refining laser therapy protocols, enabling the precise calibration of treatment parameters to optimize therapeutic outcomes. Complementary ultrasound analysis confirms significant increases in skin density and epidermal thickness following treatment, likely indicative of enhanced collagen synthesis and dermal restructuring. These biological changes are promising indicators of therapeutic efficacy, particularly in the context of acne scars, where improvements in structural integrity and surface texture are essential.
In addition to the utility of advanced imaging modalities, the fractional erbium glass laser therapy itself demonstrated significant therapeutic effects in treating atrophic acne scars. The observed improvements in skin density, epidermal thickness, texture, and pigmentation highlight the potential of this non-ablative laser as a highly effective treatment option with minimal downtime and a favorable safety profile. This positions fractional erbium glass lasers as an effective and less invasive therapeutic modality, particularly suitable for patients prioritizing treatments with minimal recovery time and lower procedural risks.
To move closer to resolving the clinical challenges of acne scar treatment, a more patient-centered framework should be developed. This framework would include defining acceptable clinical endpoints, correlating quantitative changes with patient satisfaction, and determining the cost-effectiveness of the therapy based on its outcomes. While the present study focuses on quantifying changes in skin parameters, it lays the groundwork for future research aimed at linking these findings to meaningful clinical benefits. Future studies should focus on correlating these quantitative measures with clinical outcomes, such as how closely treated skin approximates normal values and the degree to which patients perceive improvements in their skin’s appearance. Furthermore, establishing thresholds for acceptable changes in skin parameters, in conjunction with patient-reported satisfaction levels, could provide a clearer framework for evaluating the true success of the treatment.
Collectively, these results demonstrate that fractional erbium glass laser therapy, combined with advanced imaging techniques, provides a robust and adaptable framework for evaluating and enhancing acne scar treatments. This integrated approach holds significant promise for improving clinical effectiveness, achieving patient-centered outcomes, and advancing dermatological treatment strategies.

Author Contributions

Conceptualization, W.O. and A.D.; methodology, W.O. and K.M.; formal analysis, S.W.; investigation, D.K. and M.B.; data curation, D.K.; writing—W.O. and D.K.; writing—M.B.; visualization: A.D.; supervision, S.W. All authors have read and agreed to the published version of the manuscript.

Funding

The project “Quantitative evaluation of the effectiveness of therapy on the biomechanical and biophysical properties of acne scars” has been subsidized by the Metropolis GZM within the framework of the Program “Metropolitan Science Support Fund” in 2022–2024. Agreement number RW/26/2024.

Institutional Review Board Statement

The study was conducted in accordance with the Declaration of Helsinki and approved by the Ethics Committee of SUM No. PCN/0022/KB1/12/I/20 on 19 May 2020.

Informed Consent Statement

Informed consent was obtained from all subjects involved in the study.

Data Availability Statement

The raw data supporting the conclusions of this article will be made available by the authors on request.

Conflicts of Interest

Author Krzysztof Makarski was employed by the company Shar-Pol Sp. z o.o.,. The remaining authors declare that the research was conducted in the absence of any commercial or financial relationships that could be construed as a potential conflict of interest.

References

  1. Salameh, F.; Shumaker, P.R.; Goodman, G.J.; Spring, L.K.; Seago, M.; Alam, M.; Al-Niaimi, F.; Cassuto, D.; Chan, H.H.; Dierickx, C.; et al. Energy-based devices for the treatment of Acne Scars: 2022 International consensus recommendations. Lasers Surg. Med. 2022, 54, 10–26. [Google Scholar] [CrossRef]
  2. Waibel, J.S.; Waibel, H.; Sedaghat, E. Scar Therapy of Skin. Facial Plast. Surg. Clin. N. Am. 2023, 31, 453–462. [Google Scholar] [CrossRef] [PubMed]
  3. Agrawal, D.; Khunger, N. A morphological study of acne scarring and its relationship between severity and treatment of active acne. J. Cutan. Aesthet. Surg. 2020, 13, 210. [Google Scholar] [CrossRef] [PubMed]
  4. Feng, Y.; Li, J.; Mo, X.; Ju, Q. Macrophages in acne vulgaris: Mediating phagocytosis, inflammation, scar formation, and therapeutic implications. Front. Immunol. 2024, 15, 1355455. [Google Scholar] [CrossRef]
  5. Miao, L.; Ma, Y.; Liu, Z.; Ruan, H.; Yuan, B. Modern techniques in addressing facial acne scars: A thorough analysis. Ski. Res. Technol. 2024, 30, e13573. [Google Scholar] [CrossRef]
  6. Tam, C.; Khong, J.; Tam, K.; Vasilev, R.; Wu, W.; Hazany, S. A Comprehensive Review of Non-Energy-Based Treatments for Atrophic Acne Scarring. Clin. Cosmet. Investig. Dermatol. 2022, 15, 455–469. [Google Scholar] [CrossRef] [PubMed]
  7. Mony, M.P.; Harmon, K.A.; Hess, R.; Dorafshar, A.H.; Shafikhani, S.H. An Updated Review of Hypertrophic Scarring. Cells 2023, 12, 678. [Google Scholar] [CrossRef]
  8. Sardana, K.; Garg, V.; Arora, P.; Khurana, N. Histological validity and clinical evidence for use of fractional lasers for acne scars. J. Cutan. Aesthet. Surg. 2012, 5, 75. [Google Scholar] [CrossRef] [PubMed]
  9. Al-Dhalimi, M.; Jaber, A. Treatment of atrophic facial acne scars with fractional Er:Yag laser. J. Cosmet. Laser Ther. 2015, 17, 184–188. [Google Scholar] [CrossRef] [PubMed]
  10. Kim, H.J.; Kim, Y.H. Exploring Acne Treatments: From Pathophysiological Mechanisms to Emerging Therapies. Int. J. Mol. Sci. 2024, 25, 5302. [Google Scholar] [CrossRef]
  11. Connolly, D.; Vu, H.L.; Mariwalla, K.; Saedi, N. Acne scarring- pathogenesis, evaluation, and treatment options. J. Clin. Aesthet. Dermatol. 2017, 10, 12–23. [Google Scholar]
  12. Matias, A.R.; Ferreira, M.; Costa, P.; Neto, P. Skin colour, skin redness and melanin biometric measurements: Comparison study between Antera 3D, Mexameter and Colorimeter. Ski. Res. Technol. 2015, 21, 346–362. [Google Scholar] [CrossRef] [PubMed]
  13. Messaraa, C.; Metois, A.; Walsh, M.; Flynn, J.; Doyle, L.; Robertson, N.; Mansfield, A.; O’Connor, C.; Mavon, A. Antera 3D capabilities for pore measurements. Ski. Res. Technol. 2018, 24, 606–613. [Google Scholar] [CrossRef] [PubMed]
  14. Messaraa, C.; Metois, A.; Walsh, M.; Hurley, S.; Doyle, L.; Mansfield, A.; O’Connor, C.; Mavon, A. Wrinkle and roughness measurement by the Antera 3D and its application for evaluation of cosmetic products. Ski. Res. Technol. 2018, 24, 359–366. [Google Scholar] [CrossRef] [PubMed]
  15. Pequeno, A.L.V.; Bagatin, E. Dermatological ultrasound in assessing skin aging. Front. Med. 2024, 11, 1353605. [Google Scholar] [CrossRef] [PubMed]
  16. Czajkowska, J.; Juszczyk, J.; Bugdol, M.N.; Glenc-Ambroży, M.; Polak, A.; Piejko, L.; Pietka, E. High-frequency ultrasound in anti-aging skin therapy monitoring. Sci. Rep. 2023, 13, 17799. [Google Scholar] [CrossRef]
  17. Kim, H.J.; Kim, T.G.; Kwon, Y.S.; Park, J.M.; Lee, J.H. Comparison of a 1550 nm Erbium:Glass fractional laser and a chemical reconstruction of skin scars (CROSS) method in the treatment of acne scars: A simultaneous split-face trial. Lasers Surg. Med. 2009, 41, 545–549. [Google Scholar] [CrossRef] [PubMed]
  18. Cho, S.; Lee, S.; Oh, S.; Chung, W.; Kang, J.; Kim, Y.; Kim, D. Non-ablative 1550-nm erbium-glass and ablative 10 600-nm carbon dioxide fractional lasers for acne scars: A randomized split-face study with blinded response evaluation. J. Eur. Acad. Dermatol. Venereol. 2010, 24, 921–925. [Google Scholar] [CrossRef] [PubMed]
  19. Hantash, B.M.; Bedi, V.P.; Sudireddy, V.; Struck, S.K.; Herron, G.S.; Chan, K.F. Laser-induced transepidermal elimination of dermal content by fractional photothermolysis. J. Biomed. Opt. 2006, 11, 041115. [Google Scholar] [CrossRef]
  20. Rongsaard, N.; Rummaneethorn, P. Comparison of a Fractional Bipolar Radiofrequency Device and a Fractional Erbium-Doped Glass 1,550-nm Device for the Treatment of Atrophic Acne Scars: A Randomized Split-Face Clinical Study. Dermatol. Surg. 2014, 40, 14–21. [Google Scholar] [CrossRef]
  21. Review, R.; Llamas, M.A.R.; Ifrach, H.E.N.; Andrino, R. Visible and Quanti able Improvement in Skin Roughness and Texture Using a High Power Non-ablative 1540-nm Fractional Erbium: Glass Laser. J. Clin. Aesthetic Dermatol. 2022, 15, 32–35. [Google Scholar]
  22. Ning, X.; Jiang, L.; Yu, R.; Sheng, Y.; Li, M.; Ouyang, H.; Xu, J.; Cui, Y. Advances in the Application of Noninvasive Skin Imaging Techniques in Acne Scars. Am. J. Clin. Dermatol. 2024, 25, 823–835. [Google Scholar] [CrossRef]
  23. Malinowska, S.; Jaguś, D.; Woźniak, W.; Mlosek, R.K. Usefulness of high-frequency ultrasound in the monitoring of laser treatment of acne scars. J. Ultrason. 2020, 20, 279–283. [Google Scholar] [CrossRef] [PubMed]
Figure 1. Skin density (a) and epidermal thickness (b) before and after laser procedures.
Figure 1. Skin density (a) and epidermal thickness (b) before and after laser procedures.
Applsci 15 00995 g001
Figure 2. The HFU of the skin before laser therapy (a) and after laser therapy (b).
Figure 2. The HFU of the skin before laser therapy (a) and after laser therapy (b).
Applsci 15 00995 g002
Figure 3. The average depth of the folds before and after laser therapy.
Figure 3. The average depth of the folds before and after laser therapy.
Applsci 15 00995 g003
Figure 4. Total mean volume of pores (a), pore index (b), and count (c) before and after therapy.
Figure 4. Total mean volume of pores (a), pore index (b), and count (c) before and after therapy.
Applsci 15 00995 g004
Figure 5. Volume of skin depressions before and after laser therapy.
Figure 5. Volume of skin depressions before and after laser therapy.
Applsci 15 00995 g005
Figure 6. Texture roughness (a) and texture max high (b) before and after therapy.
Figure 6. Texture roughness (a) and texture max high (b) before and after therapy.
Applsci 15 00995 g006
Figure 7. Pigmentation average (a) and pigmentation max (b) before and after therapy.
Figure 7. Pigmentation average (a) and pigmentation max (b) before and after therapy.
Applsci 15 00995 g007
Figure 8. Representative 3D skin texture images (a), images of skin pores (b), images of skin volume (c), and images of skin folds (d) before and after erbium glass laser therapy.
Figure 8. Representative 3D skin texture images (a), images of skin pores (b), images of skin volume (c), and images of skin folds (d) before and after erbium glass laser therapy.
Applsci 15 00995 g008
Table 1. Parameters measured by Antera 3D.
Table 1. Parameters measured by Antera 3D.
Volume of skin depressionsThe total volume of skin depressions caused by the presence of acne scars in the selected area
Texture roughnessThe average of all deviations from a reference surface, regardless of vertical direction
Texture max highMaximum peak to valley height of the profile in the assessment area
Pigmentation averageAverage pigmentation from selected ROI
Pigmentation maxMaximum peak of pigmentation
Total volume of poresThe overall volume of skin indentations due to the presence of pores in the selected region
Pore indexTotal score of skin porosity in the selected ROI
Pore countThe number of individual pores detected
Disclaimer/Publisher’s Note: The statements, opinions and data contained in all publications are solely those of the individual author(s) and contributor(s) and not of MDPI and/or the editor(s). MDPI and/or the editor(s) disclaim responsibility for any injury to people or property resulting from any ideas, methods, instructions or products referred to in the content.

Share and Cite

MDPI and ACS Style

Odrzywołek, W.; Deda, A.; Kuca, D.; Bożek, M.; Makarski, K.; Wilczyński, S. Quantitative Evaluation of the Effectiveness of Erbium Glass Laser Therapy for Acne Scars. Appl. Sci. 2025, 15, 995. https://doi.org/10.3390/app15020995

AMA Style

Odrzywołek W, Deda A, Kuca D, Bożek M, Makarski K, Wilczyński S. Quantitative Evaluation of the Effectiveness of Erbium Glass Laser Therapy for Acne Scars. Applied Sciences. 2025; 15(2):995. https://doi.org/10.3390/app15020995

Chicago/Turabian Style

Odrzywołek, Wiktoria, Anna Deda, Dagmara Kuca, Małgorzata Bożek, Krzysztof Makarski, and Sławomir Wilczyński. 2025. "Quantitative Evaluation of the Effectiveness of Erbium Glass Laser Therapy for Acne Scars" Applied Sciences 15, no. 2: 995. https://doi.org/10.3390/app15020995

APA Style

Odrzywołek, W., Deda, A., Kuca, D., Bożek, M., Makarski, K., & Wilczyński, S. (2025). Quantitative Evaluation of the Effectiveness of Erbium Glass Laser Therapy for Acne Scars. Applied Sciences, 15(2), 995. https://doi.org/10.3390/app15020995

Note that from the first issue of 2016, this journal uses article numbers instead of page numbers. See further details here.

Article Metrics

Back to TopTop