You are currently viewing a new version of our website. To view the old version click .
Applied Sciences
  • Article
  • Open Access

18 January 2025

Numerical Simulation of Thermo-Hydro-Mechanical Coupling of Model Test for Nuclear Waste Disposal

,
,
,
and
1
Department of Quality Management and Inspection Testing, Yibin University, Yibin 644000, China
2
School of Environment and Resource, Southwest University of Science and Technology, Mianyang 621010, China
*
Author to whom correspondence should be addressed.

Abstract

This article presents a simulation of a long-term retardation performance Mock-up test of the multi-field coupling of buffer materials, with the aim to study the thermo-hydro-mechanical (THM) processes occurring in the engineered barrier system of a high-level waste (HLW) repository. In view of the theory of mixtures and mechanics of continuous media, the coupled THM mathematical model of unsaturated buffer materials is established, considering heat transport and multiphase fluid flow. Using the buffer material Mock-up test of multi-field coupling as a model, the partial differential equation (PDE) module in the general finite element software COMSOL Multiphysics was developed by a second development stage. The dynamic response process of buffer material under the condition of THM coupling was numerically simulated, and the spatial distribution and variation law of suction, porosity, horizontal displacement, temperature and swelling pressure in the engineered barrier were investigated. The porosity of the buffer material under THM coupling was influenced by the swelling pressure and the suction. The welling pressure evolution of the buffer material may be influenced by the thermal expansion induced by high temperature and the swelling pressure generated by buffer material saturation. The evolution of the horizontal displacement of the heater used to simulate a container with radioactive waste was validated. This paper provides technical reference for the design and safety evaluation of underground laboratory barrier engineering in China.

1. Introduction

The development of nuclear weapons and the efficient utilization of nuclear power produce radioactive waste, especially high-level radioactive waste (HLW), which is harmful to the biosphere. The radiation cycle of HLW can reach tens of thousands of years. HLW, due to its long half-life, high toxicity and strong radioactivity, is hazardous because it produces fatal radiation doses during short periods of direct exposure. Radioactive nuclides enter the environment and migrate with it, entering different types of food chains and causing radiation exposure to both human and non-human organisms [1,2]. It is a topic of great concern and is the most difficult geological science problem in the world. At present, deep geological disposal is the only safe and reliable disposal method that meets practical conditions for the safe disposal of HLW, which is referred to as “digging and burying” [3,4]. The geological disposal repository for HLW usually adopts the concept design of a “multiple barrier system”, which consists of HLW wrapped in glass solidified bodies, disposal containers, buffer materials and surrounding rocks from inside to outside. The disposal containers are generally made of metal, with HLW source items on the inner side and buffer materials on the outer side. The parameters that affect the stability of HLW geological disposal include geological conditions, hydrogeological conditions, engineering parameters (size and material of waste containers, layout and depth of disposal facilities) and environmental parameters (decay heat, isotopic composition, type of assembly, radioactivity), etc. [5]. Multiple barrier systems such as natural barriers, engineering barriers and disposal containers are widely used internationally to achieve the deep geological storage of HLW [6,7]. More than 20 countries around the world have launched geological disposal facility construction projects. Finland has launched the construction of the world’s first deep geological disposal facility for HLW, Switzerland has set the goal of building a disposal facility by the 2050s. The preliminary selection area for the geological disposal of HLW in China has achieved a series of results, and the top-level design work of the scientific research management platform of Beishan Underground Laboratory has been completed [8].
In the deep geological disposal of HLW, there are complex mass, energy and momentum exchange relationships between geotechnical media and the environment, showing a complex thermo-hydro-mechanical (THM) coupling process [9]. The safety performance of the repository barrier system can only be accurately assessed by numerically analyzing the THM multi-field coupling of the repository and investigating the influence law of each parameter on the multi-field coupling. For the study of the THM coupling process in HLW disposal, many scholars have carried out a great deal of work from experimental and theoretical aspects, including indoor tests, in situ tests and numerical simulations [10,11,12,13,14]. Because of the long period and complex interactions of THM multi-field coupling tests, more theoretical models have been developed for the studies [15,16]. Coupled THM processes are commonly simulated using the theories of porous media. In the past three decades, many achievements have been made in the multi-field coupling research of geotechnical THM, and a series of mathematical models and numerical simulation methods have been established [17,18,19,20]. In an effort to assess the long-term stability of HLW repositories, several major international cooperation projects have been carried out, including the DECOVALEX project, the FEBEX project and the China Mock-up project, which have made important contributions to promoting the evaluation of the safety of the geological disposal of HLW [21,22,23,24,25]. During the storage of HLW, the buffer material is under THM coupling. Numerical modeling is an indispensable tool to fully understand these coupling processes, since the safety of the repository must be guaranteed for 100,000 years or more. However, modeling THM coupling processes in buffer materials can be challenging. On the one hand, the constitutive relation of a single process is complex and difficult to obtain; on the other hand, the choice of constitutive relation and parameters has a great impact on the simulation results. Lloret presented the laboratory results concerning the THM behavior of the FEBEX bentonite [26]. Results regarding water holding capacity, permeability and expansibility were obtained during the project. The THM behavior of the indurated Callovo-Oxfordian and Opalinus Clay rocks has been extensively investigated in laboratory under repository-relevant conditions [10]. By monitoring the temperature, relative humidity and mechanics of buffer materials under long-term heating conditions, the changes in the buffer materials under coupled THM conditions were revealed in [27]. Lee investigated the applicability of a thermo-elasto-plastic model, using a TOUGH2-MP/FLAC3D simulator to reproduce the coupled hydro-mechanical action at the engineered barrier system emplacement test in Opalinus Clay, and the coupled THM behavior at the full-size engineered barrier system test in a crystalline host rock [28]. In order to study the THM processes occurring in the barrier system of an HLW, Lee used the computer code TOUGH2 to simulate the multidimensional fluid and heat flows of multiphase and multi-component fluid mixtures in unsaturated media [29]. For MX-80 bentonite, SKB adopted different numerical software, ABAQUS, CODE_BRIGHT and COMPASS, respectively, and put forward a method for the numerical simulation of thermo-hydro-mechanical evolution under the condition of the simulated repository [30,31,32]. Mock-up and in situ tests were carried out in Madrid, Spain, and Grimsel, Switzerland, respectively, and the FEBEX bentonite multi-field coupling theoretical model and corresponding simulation methods were established [23,33,34]. In our country, Gaomiaozi bentonite is the preferred deposit for the buffer material of repository, and many studies on permeability, thermal conductivity, mechanical properties and multi-field coupling theory models have been carried out [22,35,36,37,38,39,40,41].
In view of the theory of mixtures and mechanics of continuous media, a numerical model of porous media was established for coupled THM processes in light of the conservation laws of momentum, mass and energy over a solid–liquid–gas three-phase system. Based on an axisymmetric model, finite element modelling of the long-term performance of the buffer material in the Mock-up test bench under the condition of THM multi-field coupling was carried out by using COMSOL Multiphysics 5.6. The spatial distribution characteristics and change laws of suction, porosity and swelling pressure in the buffer layer were investigated. By comparing the real-time monitoring of the changes in the buffering material under long-term heating and water conditions, it was feasible to verify the numerical simulation of the COMSOL application design. This study is of some significance for the safety evaluation and design parameter selection of the barrier system of HLW repositories in China, and can provide a theoretical basis for the construction of HLW repositories.

2. THM Coupling Model

The continuum theory says that in the space occupied by matter, matter is continuously distributed without gaps. The macroscopic quantities can be acquired by partial differential equation (PDE) methods, and the microscopic structure of substance can be omitted [42]. The theory of mixtures was developed in light of modern continuous-media physics, which extended the continuum mechanics principle to simulate multiphase systems in several permeable continuum media [43].
General assumptions are as follows:
(1)
The partly saturated medium is assumed to be a polyphase system (solid, liquid and gas). The space of the solid skeleton is partly filled with gas, and partly with liquid water.
(2)
The multiphase medium is considered as a mixture. In its compound, each phase is continuous and any spatial point is presumed to be occupied concurrently by a physical point of each phase.
(3)
Gas-phase density is a function of temperature and pressure, according to the ideal gas state equation.
(4)
Fluid seepage follows Darcy’s law and does not undergo chemical reactions with solid particles. The saturated vapor pressure follows Kelvin’s humidity law, and the diffusion of vapor follows the generalized Fick Law.
(5)
The deformation of porous media satisfies the small-deformation assumption, and the Terzaghi effective stress principle is applicable to unsaturated media.
(6)
It is assumed that the solid, liquid and gas phases keep partial thermal equilibrium.

2.1. Momentum Conservation Equation

According to the mixture theory, the conservation of linear momentum for mixture components is the same as that for a single-phase material. In any given spatial volume of boundary, assuming that the volumetric force only considers the gravity of each phase, the momentum conservation equation of the porous medium system represented by displacement is written as [43,44]
1 2 D : u t + u t T χ p l t + 1 χ p g t + K β s T T t + K ε s w t δ + F t = 0
where D is the elastic tensor, u is the displacement vector, T is the temperature, χ is Bishop’s coefficient, P l is the liquid pressure, P g is the gas pressure, K is the drainage bulk modulus, β s T is the solid-phase volume thermal expansion coefficient, ε s w is the volume strain of soil moisture expansion, δ is the Kronecker unit tensor and F is the body force, respectively.

2.2. Mass Conservation Equation

2.2.1. Solid-Phase Skeleton Mass Conservation Equation

According to the generalized conservation of mass equation, it is assumed that the source and sink of solid mass are 0, and the solid deformation rate is very small. Considering that the divergence of solid skeleton velocity is equal to the volumetric strain rate of the soil, the solid mass conservation equation (porosity evolution equation) is obtained as [43,44]
n t 1 n χ K p l t + 1 χ K p g t β s T T t + ε v t = 0
where n is the porosity, ε v is the volumetric strain of soil, p l is the pore water pressure and p g is the pore gas pressure, respectively.

2.2.2. Conservation Equation of Water Quality

We only consider the water transfer rate between liquid and gas phases as the source term. According to the generalized Darcy law, we ignore inertia and viscosity effects, as well as the thermal driving effect of temperature gradient on the liquid flow field. Expressing saturation as a function of suction and temperature, the water body mass conservation equation is obtained as [43,44]
ρ l k r l k μ l p l + ρ l g = ρ l n S c l p c s p p l t + c s p p g t S ε v t + β s T + S β l T T t + S n n t + ω n p s v p v
where ρ l is the density of water bodies, k is the intrinsic permeability tensor, k r l is the relative permeability of water bodies, μ l is the dynamic viscosity coefficient of water, p l is the liquid pressure, S is the saturation, c l p is the compressibility coefficient, c s p is the suction influence coefficient of saturation, β s T is the temperature influence coefficient of saturation, β l T is the thermal expansion coefficient, ω is the liquid-phase migration coefficient, p s v is the saturated steam pressure and p v is the steam pressure.

2.2.3. Gas Mass Conservation Equation

Gas is a mixture of dry air and water vapor, including dry air dissolved in water. The mixed gas satisfies the ideal state equation. According to the generalized conservation of mass equation, it is assumed that the change in dry air quality dissolved in water is related to the dry air pressure on the water surface; the gas mass conservation equation is obtained as [43,44]
ρ a k l r k μ l p l ρ l g + ρ g k g r k μ g p g + ρ g g + ρ g k g T T = n H ρ a S c a p + c s p + ρ g 1 S c g p c s p p g t n c s p H ρ a ρ g p l t n H S ρ a c a p p v t + n ρ a H β s T S β aT ρ g 1 S β g T + β s T T t + H S ρ a + ρ g 1 S n t + n H S ρ a + n S ρ l ε v t ρ l ω p s v p v
where v g r is the intrinsic flow rate of gas relative to the solid phase, k l r is the relative permeability of the liquid phase, k g r is the gas-phase relative permeability, k g T is the thermal driving coefficient of mixed gas, μ g is the dynamic viscosity coefficient of gas, ρ g is the intrinsic density of mixed gas, c g p is the compressibility factor, β g T is the thermal expansion coefficient of mixed gas, c ap is the dry air compression coefficient, β aT is the dry air thermal expansion coefficient, H is the Henry solubility, and ρ l and ρ a are the densities of water and dry air, respectively.

2.3. Energy Conservation Equation

Given any unit body, the total intrinsic energy change rate of the phase is equal to the heat flux rate through the unit and heat source in unit time.
Assuming that there are no physical or chemical reactions in the system that cause changes in the system heat, the amount of change in system heat caused by the deformation of the system due to external forces is zero. The sum of the total heat transferred by the interaction between various phases within the system is zero. The three-phase hybrid energy conservation equation can be written as [43,44]
k g r k μ g T ρ g c g + K g β g 1 n 1 S p g + k l r k μ l T ρ l c l + K l β l 1 n S p l ρ l g + λ + k g T ρ g c g T g + K g β g T g 1 n 1 S T ρ s 1 n c s + ρ l n S c l + ρ g n 1 S c g T t = T ρ s 1 n c s + ρ l n S c l + ρ g n 1 S c g + T K s β s + K l β l + K g β g ε v t + ρ l ω P s v P v
The variables K s , K l and K g are the volume strain modulus of solid, liquid and gas phases, respectively; the variables β s , β l and β g are the volume thermal expansion coefficients of solid, liquid and gas phases, respectively; the variables c s , c l and c g are the specific heat capacities of solid, liquid and gas phases, respectively; and λ is the thermal conductivity coefficient.

3. Coupling Model Parameters

3.1. The Mock-Up Experimental System of Buffer Materials

The Mock-up experimental system of the long-term retardation performance of the multi-field coupling buffer material is cylindrical in shape, with six main components [45]. The experimental material is CBM, and the sensors include temperature, temperature and humidity, soil pressure and pore water pressure sensors. The numerical calculation model of the test bench based on the COMSOL multi-field coupling problem calculation module is shown in Figure 1. We take the horizontal direction along the midpoint of the heater edge as section A. The Richards equation interface in COMSOL can be used to describe the fluid motion of variable-saturation porous media. In the model, the saturated liquid volume fraction is set to 1, and the “permeability” model is selected. The water storage model is “user-defined”, and the VG model is retained. In the experiment, the seams between CBM were ignored and the entire buffer material was treated as a homogeneous medium. The small pores at the top of the stainless steel chamber were ignored, and the air pressure was treated as a constant atmospheric pressure.
Figure 1. The numerical simulation model. (a) Geometric model and the boundary; (b) model meshing.

3.2. Geometry and Boundary Conditions

Based on the calculation module of COMSOL multi-field coupling, the simplified section of the tank cavity is taken as the hydraulic boundary, and the length and width are 750 mm; the external section of the heater is taken as the heating boundary, and the length and width are 180 mm (Figure 1a). To mesh the simplified section, quadrilateral mesh generation in COMSOL Multiphysics (as shown in Figure 1b) is adopted, and a boundary layer is added at the boundary to increase the convergence of the model.

3.3. Bentonite Coupling Model Parameters and Constitutive Equations

The mechanical model parameters of the buffer material are shown in Table 1.
Table 1. Parameters of buffer material.
(1)
The thermal drive coefficient of the water body of bentonite is
k l T = 2.5 × 10 n S 15.5
(2)
The thermal conductivity of bentonite is
λ = 2.1545 ω + 1.0316 ρ d 1.9875 n + 0.6181 S 0.5508

3.4. Fluid Parameters and Constitutive Equations

The Van Genuchten (VG) model is used, and the related parameters are shown in Table 2.
Table 2. Parameters of fluid.
(1)
The relative permeability of water bodies [46] is calculated as
k lr = S 0.05 0.95 3 n n 0 7
(2)
The dynamic viscosity coefficient of a water body [47] is calculated as
μ l = 1.984 × 10 6 exp 1825.85 T
(3)
The thermal expansion coefficient of a water body is calculated as
β l = 1.7769 × 10 10 T 3 5.7556 × 10 8 T 2 + 1.1383 × 10 5 T + 3.0240 × 10 6
(4)
The specific heat capacity of water bodies is calculated as
C l = 6872.8945 23.09 T + 0.069 T 2 7.35 × 10 5 T 3
(5)
The liquid-phase migration coefficient [48] is calculated as
ω = C ρ l M l 2 π R T
where n 0 is the initial porosity, C is the adjustment coefficient and its value is 2 × 10 5 , and the value of R is 8.3144 J/(mol·K).

3.5. Gas Parameters and Constitutive Equations

The parameters of gas are shown in Table 3.
Table 3. Relevant parameters of gas [49,50].
(1)
The water vapor density is calculated as
ρ v = p v M l R T = 0.0021668 p v T
(2)
The air density is calculated as
ρ a = 0.2 ( p g p v ) M O + 0.8 ( p g p v ) M N R T = 0.00347 p g p v T
(3)
The dry air density is calculated as
ρ g = p v M l + 0.2 ( p g p v ) M O + 0.8 ( p g p v ) M N R T = 0.0034 p g T 0.0013 p v T
(4)
The gas thermal drive coefficient is calculated as
k g T = 6 × 10 12 ( 1 S )
(5)
The effective diffusion coefficient of water vapor molecules is calculated as
D V = D V 0 ( T 273.15 ) 1.8
(6)
The specific heat capacity of air is calculated as
c g = 28.8 ρ g + 5.4 ρ V 0.0288 ρ g 0.0108 ρ v
(7)
The dry air solubility coefficient is calculated as
H = 8.21 × 10 5 exp 1700 ( 1 T 1 298.15 ) + 1.35 × 10 4 exp 1300 ( 1 T 1 298.15 )
(8)
The dynamic viscosity coefficient of gas is calculated as
μ g = 0.00001827 411.15 T + 120 T 120 1.5
(9)
The gas relative permeability is calculated as
k g r = 1 S S m 1 S m 3
where M l is the molar mass of water molecules and its value is 0.018 kg/mol, p v is the vapor pressure, M O is the molar mass of O2 and its value is 0.032 kg/mol, M N is the molar mass of N2 and its value is 0.028 kg/mol and D V 0 is the molecular diffusivity and its value is 3 × 10−10 m2/s.

4. Results and Discussion

4.1. Suction Change Process

Figure 2 shows the variation of the suction value versus time of the entire buffer layer. It can be seen that in the horizontal direction, the suction value gradually decreased from the outside to the inside, and the variation pattern in the vertical direction was consistent. There was no significant difference in the suction value of the buffer layer due to the addition of water and the gravity effect of water. In the vertical direction, there was a slight difference in the suction value between the middle and the two ends, which is because the upper and lower hydraulic boundary conditions in the model area were impermeable, and the water in the upper and lower parts could only penetrate towards the middle.
Figure 2. Variation of suction value with time.
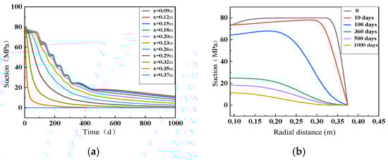
As shown in Figure 3a, as the experiment progressed, the suction values at each point continued to decrease. The suction value close to the water injection boundary rapidly decreased to close to 0 at the beginning of the experiment. The closer it was to the water injection boundary, the steeper the curve, and the faster the suction value decreased. The closer it was to the heater, the slightly higher the curve in the early stage of the experiment, which then gradually flattened out. After about 100 days, the suction value began to decrease, and the rate of decrease was relatively small when it was close to the surrounding rock.
Figure 3. (a) Variation curve of suction with time; (b) variation curve of suction with radial distance.
As shown in Figure 3b, it can be seen that the suction value near the heater changed very little in the 100 days before the test, with suction values ranging from 60 MPa to 80 MPa. The suction value near the water injection boundary rapidly decreased and tended to zero. As the experiment progressed, the suction value gradually decreased from the heater boundary to the hydraulic boundary. At 100 days, the suction value decreased from 64.31 MPa at the edge of the heater to 0 at the hydraulic boundary edge. At 0.09 m from the edge of the heater, the suction value decreased from 72.77 MPa at 10 days to 11.36 MPa at 1000 days, reflecting the infiltration process of groundwater into the buffer layer. After 100 days, there was a significant change in the suction value at the boundary of the heater, indicating that groundwater infiltration had an impact on the buffer layer near the heater side, and the gradient of the curve significantly decreased, indicating that the suction value of the buffer layer tended to be consistent.

4.2. Process of Porosity Change

The porosity of the entire buffer layer ranged from 0.35 to 0.4, as shown in Figure 4. Under the combined effect of expansion and suction, the porosity decreased near the heater and the buffer layer shrank. Near the hydraulic boundary, groundwater caused the buffer layer to expand, leading to an increase in porosity. The porosity gradually increased along the radial direction, and the impact of porosity changes on the seepage field led to faster saturation of the buffer layer near the hydraulic boundary. Narkuniene discovered that mineral dissolution induced slight changes in the bentonite porosity in [51]. Morozov discovered the high stability of bentonite from the 10th Khutor deposit under model conditions, which was confirmed by modeling. The processes of concrete leaching were revealed, which changed the composition and acidity of the synthetic water and led to an increase in the porosity of the material in contact with the solution [52]. Liang found that the change in bentonite porosity was caused by decay heat, which is consistent with the research findings of this article [15].
Figure 4. Variation of porosity with time.
The variation curve of porosity at each point on section A over time is shown in Figure 5a. With the continuous input of water, the porosity first showed an increasing trend, and then gradually stabilized. The results show that the porosity near the water injection boundary increased rapidly. The closer to the water injection boundary, the faster the porosity increased, and the steeper the curve. At the initial stage of the experiment, the porosity near the heater remained almost unchanged. After about 100 days, the porosity slowly increased, and the rate of increase was relatively small near the hydraulic boundary. The final porosity of the buffer layer near the heater was about 0.37, and the final porosity of the buffer layer near the hydraulic boundary was about 0.40. The entire buffer layer had no plastic strain, and THM coupling led to uneven porosity of the buffer layer.
Figure 5. (a) Variation curve of porosity with time; (b) variation curve of porosity with radial distance.
During the first 100 days of irrigation (Figure 5b), the porosity near the hydraulic boundary rapidly increased, while the porosity of the buffer zone near the heater remained almost unchanged. After 360 days, the porosity of the buffer zone near the heater significantly increased, reaching 0.36, and the porosity of the buffer zone near the hydraulic boundary was 0.38. After 1000 days, the porosity of the buffer zone near the hydraulic boundary was 0.40.

4.3. Variation of Horizontal Displacement

Figure 6 shows the trend of the horizontal displacement of the entire buffer layer. As the experiment progressed, the horizontal displacement moved towards the direction of the heater and slowly increased. At 100 days, due to the expansion of the entire buffer layer near the hydraulic boundary when encountering water, the buffer layer significantly moved towards the direction of the heater. The horizontal displacement value increased slowly after 360 days, which may have been limited by the displacement of the heater and surrounding hydraulic boundaries.
Figure 6. Variation of the horizontal displacement of the bentonite barrier with time.
Figure 7a shows the variation curve of horizontal displacement with time on section A. It can be seen from the figure that the horizontal displacement values at different positions increased with time. Before 200 days, the horizontal displacement values of all location points rapidly increased, but the increase varied depending on the distance from the hydraulic boundary. The closer the hydraulic boundary was, the more the horizontal displacement value increased. After 200 days, the growth rate of all location points slowed down and eventually reached equilibrium.
Figure 7. (a) Variation curve of horizontal displacement with time; (b) variation curve of horizontal displacement with radial distance.
As shown in Figure 7b, the horizontal displacement showed a trend of first increasing and then decreasing with the radial distance, with the maximum horizontal displacement at 0.25–0.3 m, and then decreasing in order. Because the two ends of the tank body were fixed boundaries, negative horizontal displacement was generated under the compression of water absorption and expansion force. As the experiment progressed, the soil gradually saturated, and the horizontal displacement value increased. As the soil continued to absorb water and saturate, the previously compressed part of the soil continued to absorb water to generate expansion force, squeezing the previously displaced soil particles, resulting in a decrease in the horizontal displacement value.

4.4. Temperature Change Process

As shown in Figure 8a, the closer the heater was, the higher the temperature was, and the temperature decreased from near the heater to the outer boundary in a linear distribution. The temperature in the buffer layer was kept at 30 °C on the 10th day and increased rapidly on the 100th day after heating. On day 1000, the temperature at the buffer layer close to the surrounding rock was below 30 °C, indicating that heat transfer and groundwater infiltration had penetrated the whole buffer layer. At 500 d and 1000 d, the temperature distribution changed little and tended to be stable. The changes in temperature with time are shown in Figure 8b; the heater did not release heat at the initial stage, and the whole repository was at a low temperature. When the heater began to release heat, the temperature at each monitoring point increased with time; after that, the temperature of each point tended to be constant as the heat release of the heater decreased. The temperature of the buffer layer near the heater soon reached 80 °C, and then the temperature increase slowed and became stable. The temperature in the middle of the buffer layer soon reached 50 °C and stabilized. Under the conditions of the thermo-hydro-mechanical coupling simulation, the water saturation had some effect on the thermal conductivity of bentonite, and the buffer layer had good thermal stability. According to the design of disposal banks and research experience in various countries, the design of disposal banks with buffer backfill materials generally limits the surface temperature of the waste body to 100 °C. Under the simulated conditions, the temperature of bentonite could reach the maximum within 500 days, and the maximum temperature was 92.3 °C, which is in line with the thermodynamic standard of limiting the surface temperature of waste to 100 °C [53,54].
Figure 8. (a) Variation curve of temperature with radial distance; (b) variation curve of temperature with time.

4.5. Swelling Pressure Change Process

As shown in Figure 9a, there was a strong correlation between expansion stress and water saturation distribution; the stress source of the buffer layer was thermal stress produced by temperature change and expansion stress produced by the saturation process. There was no obvious stress concentration in the high-temperature area around the heater, which may have been due to the relatively weak thermal stress caused by the small range of temperature change. The expansion force began to increase near the boundary of the surrounding rock and decreased near the heater. The reason is that the boundary of the surrounding rock was more strongly affected by water flow and the water saturation was higher, which led to higher expansion stress. The maximum stress of the buffer layer was 4.25 MPa.
Figure 9. (a) Variation curve of swelling pressure with radial distance; (b) variation curve of swelling pressure with time.
The changes in swelling pressure with time are shown in Figure 9b; the expansion force at each point increased with the increase in time, and the time history curve of the expansion force underwent a rapid expansion, a slow expansion and a gradual stabilization. The closer the water injection boundary, the steeper the curve slope was and the greater the expansion force growth rate. The closer to the heater, the slower the slope of the curve, and the smaller the rate of expansion force growth. The moisture content decreased gradually from the heater to the buffer layer, and the redistribution of moisture resulted in the increase in local expansion force. The water injection pressure constantly increased because the water was continuously injected into the buffer zone, the saturation value of the buffer zone increased continuously, and the pore pressure was formed around the buffer zone; the pore pressure and saturation of the buffer layer were constantly re-distributed and adjusted, so the curve of the swelling force had a small fluctuation.

5. Conclusions

In this research, we conducted a numerical simulation using the finite element software COMSOL Multiphysics. The coupling phenomenon of multiple THM fields in the unsaturated medium of the buffer layer of an HLW disposal repository was explored. The suction variation of buffer materials in the Mock-up test was significantly influenced by the hydration process. The suction values continued to decrease over time. The variation of porosity ranged from 0.35 to 0.4. Near the heater, the porosity decreased and the buffer layer shrank. At the hydraulic boundary, the porosity tended to increase. The horizontal displacement slowly increased towards the heating direction. After 360 days, the horizontal displacement value of the buffer layer tended to be consistent. The effect of temperature on the buffer layer was great, especially the generation of water vapor around the heater, which led to an increase in gas pressure inside the buffer layer and a horizontal increase in temperature from the outside to the inside.
Some of the coupling parameters in the current theoretical model come from Beijing Research Institute of Uranium Geology (BRIUG). The next step requires a series of indoor experiments, which are needed to complete the determination of relevant parameters. In general, the numerical models in COMSOL Multiphysics were able to reproduce the coupled THM behavior of buffer materials in the Mock-up experiments. The models in COMSOL must be continuously validated using valuable data from Mock-up experiments. In order to improve the applicability and accuracy of numerical models, existing models will be further optimized in the future. The influence of moisture content on the mechanical properties of unsaturated soils will be considered to obtain more realistic simulation results of stress and displacement fields. The proposed model can be modified to include the influence of the microstructure alteration during the hydration process on the mechanical behavior of buffer materials. In addition, the application and development of emerging technologies such as artificial intelligence can be considered in the field to improve the authenticity and effectiveness of simulations.

Author Contributions

Y.-P.W. and Z.W. designed the overall framework and conceived the idea for this paper, Y.-P.W. and F.-C.Y. analyzed the data, L.F. and Y.L. provided some suggestions on the structure of the paper and Y.-P.W. wrote the paper. All authors have read and agreed to the published version of the manuscript.

Funding

This work was funded by the university-level scientific research project of Yibin University (No. 2023QH22), Scientific Research Projects of Decommissioning Nuclear Facilities and Radioactive Waste Treatment of the State Administration of Science, Technology and Industry for National Defense (No. 20181521).

Institutional Review Board Statement

Not applicable.

Data Availability Statement

The original contributions presented in the study are included in the article, further inquiries can be directed to the corresponding author.

Acknowledgments

The authors would like to thank Zhi-Qiang Zeng for their assistance in revising the manuscript.

Conflicts of Interest

The authors declare no conflicts of interest.

Abbreviations

u displacement vector
Ttemperature
χ Bishop’s coefficient
K drainage bulk modulus
δ Kronecker Delta tensor
Fbody force
nporosity
ε v volumetric strain of soil
p l pore water pressure
p g pore gas pressure
n porosity
k intrinsic permeability tensor
k r l relative permeability of water bodies
μ l dynamic viscosity coefficient of water
p l liquid pressure
S saturation
c l p compressibility coefficient
c l p suction influence coefficient of saturation
ω liquid-phase migration coefficient
HHenry solubility
λthermal conductivity coefficient

References

  1. United States Nuclear Regulatory Commission. Backgrounder on Radioactive Waste. 2024. Available online: https://www.nrc.gov/docs/ML0501/ML050110277.pdf (accessed on 30 January 2024).
  2. Pescatore, C. Beyond one million years: The intrinsic radiation hazard of high-level nuclear wastes. Nukleonika 2024, 69, 215–224. [Google Scholar] [CrossRef]
  3. Duan, X.Z.; Ni, S.J.; Wang, C.Z. Safety evaluation study on the geological disposal of high-level radioactive waste: A case study of Beishan, Gansu province. China Min. Mag. 2021, 30, 56–63. (In Chinese) [Google Scholar]
  4. Kurniawan, T.A.; Othman, M.H.D.; Singh, D. Technological solutions for long-term storage of partially used nuclear waste: A critical review. Ann. Nucl. Energy 2021, 166, 108736. [Google Scholar] [CrossRef]
  5. Oettingen, M. Assessment of the radiotoxicity of spent nuclear fuel from a fleet of PWR reactors. Energies 2021, 14, 3094. [Google Scholar] [CrossRef]
  6. Ewing, R.C.; Park, S. The concept of geological disposal of highly radioactive nuclear waste. Encycl. Nucl. Energy 2021, 588–602. [Google Scholar] [CrossRef]
  7. Haynes, H.M.; Bailey, M.; Lloyd, J.R. Bentonite barrier materials and the control of microbial processes: Safety case implications for the geological disposal of radioactive waste. Chem. Geol. 2021, 581, 120353. [Google Scholar] [CrossRef]
  8. Wang, P.; Wang, J.; Huang, S.T.; Man, M.Q. Top-level design of field test data management in underground laboratory of high level radioactive waste disposal. World Nucl. Geosci. 2024, 41, 997–1005. (In Chinese) [Google Scholar]
  9. Liu, J.J.; Yao, C.Q.; Su, W.B.; Zhao, Y.Z. Research progress on the influence of thermo-chemical effects on the swelling pressure of bentonite. Appl. Sci. 2023, 13, 5580. [Google Scholar] [CrossRef]
  10. Zhang, C.L. Thermo-hydro-mechanical behavior of clay rock for deep geological disposal of high-level radioactive waste. J. Rock Mech. Geotech. 2018, 10, 992–1008. [Google Scholar] [CrossRef]
  11. Zhan, Y.; Shao, J.F.; Minh, N.V. Numerical study of thermo-hydro-mechanical responses of in situ heating test with phase-field model. Int. J. Rock Mech. Min. 2021, 138, 104542. [Google Scholar]
  12. Collin, F.; Li, X.L.; Radu, J.P. Thermo-hydro-mechanical coupling in clay barriers. Eng. Geol. 2002, 64, 179–193. [Google Scholar] [CrossRef]
  13. Zhang, J.; Ling, H.A.; Zhao, H.L.; Qiu, Y. Numerical analysis of thermo-hydro-mechanical coupling of clay surrounding rock for high-level-radioactive waste disposal repository. Saf. Environ. Eng. 2023, 30, 64–77. (In Chinese) [Google Scholar]
  14. Wei, T.Y.; Wang, X.H.; Lü, T. Analysis of the influence of wetting expansion and sand mixing rate on the THM coupling process of hybrid buffer material. Rock Soil Mech. 2022, 43, 549–562. [Google Scholar]
  15. Liang, S.Y.; Lin, W.S.; Lin, G.F.; Liu, C.W.; Fan, C.H. The effect of porosity change in bentonite caused by decay heat on radionuclide transport through buffer material. Appl. Sci. 2021, 11, 7933. [Google Scholar] [CrossRef]
  16. Gabriele, D.V.; Cristina, J.; Enrique, R. A fully coupled elastic-plastic hydro-mechanical model for compacted soils accounting for clay activity. Int. J. Numer. Anal. Met. 2012, 37, 503–535. [Google Scholar]
  17. Graupner, B.J.; Shao, H.; Wang, X. Comparative modelling of the coupled thermal-hydraulic-mechanical (THM) processes in a heated bentonite pellet column with hydration. Environ. Earth Sci. 2018, 77, 10. [Google Scholar] [CrossRef]
  18. Gens, A.; Alcoverro, J.; Blaheta, R. HM and THM interactions in bentonite engineered barriers for nuclear waste disposal. Int. J. Rock Mech. Min. 2021, 137, 104572. [Google Scholar] [CrossRef]
  19. Schrefler, B.A.; Pesavento, F. Multiphase flow in deforming porous material. Comput. Geotech. 2004, 31, 237–250. [Google Scholar] [CrossRef]
  20. Yao, K.; Wang, W.; Li, N.; Zhang, C.; Wang, L. Investigation on strength and microstructure characteristics of Nano-MgO admixed with cemented soft soil. Constr. Build. Mater. 2019, 206, 160–168. [Google Scholar] [CrossRef]
  21. Birkholzer, J.T.; Tsang, C.F.; Bond, A.E. 25 years of DECOVALEX-Scientific advances and lessons learned from an international research collaboration in coupled subsurface processes. Int. J. Rock Mech. Min. 2019, 122, 103995. [Google Scholar] [CrossRef]
  22. Zhao, J.; Chen, L.; Collin, F.; Liu, Y.; Wang, J. Numerical modeling of coupled thermal-hydro-mechanical behavior of GMZ bentonite in the China-Mock-up test. Eng. Geol. 2016, 214, 116–126. [Google Scholar] [CrossRef]
  23. Xu, H.; Zheng, L.; Rutqvist, J.; Birkholzer, J. Numerical study of the chemo-mechanical behavior of FEBEX bentonite in nuclear waste disposal based on the Barcelona expansive model. Comput. Geotech. 2021, 132, 103968. [Google Scholar] [CrossRef]
  24. Xia, J.G.; Hou, W.; Wang, X.H. Analysis on the thermal fields of barrier system for geological disposal of high-level radioactive waste in China. Ind. Build. 2020, 50, 5. (In Chinese) [Google Scholar]
  25. Wang, Y.P.; Wang, Z.; Zhao, Y.; Yi, F.C.; Zhu, B.L. Swelling properties and permeability of GMZ bentonite-sand mixtures during different solutions infiltration. Sustainability 2021, 13, 1622. [Google Scholar] [CrossRef]
  26. Lloret, A.; Villar, M.V. Advances on the knowledge of the thermo-hydro-mechanical behaviour of heavily compacted “FEBEX” bentonite. Phys. Chem. Earth Parts A/B/C 2007, 32, 701–715. [Google Scholar] [CrossRef]
  27. Cao, S.; Liu, Y.; Xie, J. Study on thermo-hydro-mechanical coupling behaviors of buffer material. Chin. J. Undergr. Space Eng. 2020, 16, 8. (In Chinese) [Google Scholar]
  28. Lee, C.; Lee, J.; Kim, G.Y. Numerical analysis of coupled hydro-mechanical and thermo-hydro-mechanical behaviour in buffer materials at a geological repository for nuclear waste: Simulation of EB experiment at Mont Terri URL and FEBEX at Grimsel test site using Barcelona basic model. Int. J. Rock Mech. Min. 2021, 139, 104663. [Google Scholar] [CrossRef]
  29. Cho, W.J.; Lee, J.O.; Kwon, S. Analysis of thermos-hydro-mechanical process in the engineered barrier system of a high-level waste repository. Nucl. Eng. Des. 2010, 240, 1688–1698. [Google Scholar] [CrossRef]
  30. Cleall, P.J.; Melhuish, T.A.; Thomas, H.R. Modelling the three-dimensional behaviour of a prototype nuclear waste repository. Eng. Geol. 2006, 85, 212–220. [Google Scholar] [CrossRef]
  31. Hoekmark, H.; Ledesma, A.; Lassabatere, T. Modelling heat and moisture transport in the ANDRA/SKB temperature buffer test. Phys. Chem. Earth 2007, 32, 753–766. [Google Scholar] [CrossRef]
  32. Bag, R. Coupled Thermos-Hydro-Mechanical-Chemical Behaviour of MX80 Bentonite in Geotechnical Applications. Ph.D. Thesis, Cardiff University, Cardiff, UK, 2011. [Google Scholar]
  33. Samper, J.; Zheng, L.; Montenegro, L. Coupled thermo-hydro-chemical models of compacted bentonite after FEBEX in situ test. Appl. Geochem. 2008, 23, 1186–1201. [Google Scholar] [CrossRef]
  34. Michalec, Z.; Blaheta, R.; Hasal, M. Fully coupled thermo-hydro-mechanical model with oversaturation and its validation to experimental data from FEBEX experiment. Int. J. Rock Mech. Min. 2021, 139, 104567. [Google Scholar] [CrossRef]
  35. Ye, W.M.; Wan, M.; Chen, B. An unsaturated hydraulic conductivity model for compacted GMZ01 bentonite with consideration of temperature. Environ. Earth Sci. 2014, 71, 1937–1944. [Google Scholar] [CrossRef]
  36. Chen, B.; Peng, F.; Zhang, L.; Sun, D.A. Investigation on swelling characteristics of GMZ bentonite with different initial water contents. Ann. Nucl. Energy 2023, 181, 109565. [Google Scholar] [CrossRef]
  37. Wang, Z.; Zhou, H.T.; Yi, F.C.; Niu, S.J.; Ma, P.J. Research on permeability of high compacted sand-bentonite mixtures as buffer material. Sci. Technol. Eng. 2017, 17, 231–235. (In Chinese) [Google Scholar]
  38. Wang, Z.; Wang, Y.P.; Yi, F.C. Effect of various aqueous mediums on the microstructure of compacted bentonite–sand mixture characterized by X-ray CT investigation. Sustainability 2022, 14, 9427. [Google Scholar] [CrossRef]
  39. Cui, S.L.; Zhang, H.Y.; Liu, J.S.; Liang, J. Experimental study of swelling characteristics of highly compacted bentonite-sand mixture. China Min. Magzine 2021, 30, 173–180. (In Chinese) [Google Scholar]
  40. Wang, Y.P.; Wang, Z.; Zhao, Y. Research on the effect of pore solutions on the expansibility and permeability of highly compacted bentonite-sand mixtures. Ind. Miner. Process. 2022, 51, 33–38. (In Chinese) [Google Scholar]
  41. Wang, Y.P.; Wang, Z.; Zhao, Y. Experimental study on three-dimensional swelling pressure of compacted GMZ bentonite–sand mixtures. Environ. Earth. Sci. 2021, 80, 483. [Google Scholar] [CrossRef]
  42. Nair, S. Introduction to Continuum Mechanics; Cambridge University Press: Cambridge, UK, 2009. [Google Scholar]
  43. Yan, J.; Wang, H.J.; Yang, Y. Mathematical Models of Multi-Field Coupling in Porous Media and Their Applications; China Water & Power Press: Beijing, China, 2018. (In Chinese) [Google Scholar]
  44. Zhu, X. Study on Thermo-Hydro-Mechanical Coupling Process of Composite Buffer Blocks for High-Level Radioactive Waste Disposal Repository. Ph.D. Thesis, Beijing Jiaotong University, Beijing, China, 2018. (In Chinese). [Google Scholar]
  45. Wang, Y.-P.; Wang, Z.; Zeng, Z.-Q.; Yi, F.-C.; Luo, Y. A Numerical Simulation Study on the Migration of the 90Sr Nuclide of Buffer Material Under the Coupling Effect of Multiple Factors. Sustainability 2024, 16, 10537. [Google Scholar] [CrossRef]
  46. Laloui, L.; Klubertanz, G.; Vulliet, L. Solid–liquid–air coupling in multiphase porous media. Int. J. Numer. Anal. Met. 2003, 27, 183–206. [Google Scholar] [CrossRef]
  47. Guvanasen, V.; Chan, T. A three-dimensional numerical model for thermos-hydro-mechanical deformation with hysteresis in a fractured rock mass. Int. J. Rock Mech. Min. 2000, 37, 89–106. [Google Scholar] [CrossRef]
  48. Zhang, J.T.; Wang, B.X. Effect of capillarity at liquid–vapor interface on phase change without surfactant. Int. J. Heat Mass Tran. 2002, 45, 2689–2694. [Google Scholar] [CrossRef]
  49. Tao, G.L.; Luo, C.C.; Li, L.H. A method for predicting air-entry value of deformable soils based on Van Genuchten model. J. Yangtze River Sci. Res. Inst. 2021, 38, 84–88, 102. (In Chinese) [Google Scholar]
  50. Tao, S.; Wei, C.H.; Chen, P. The effect of saturation and shrinkage deformation on the small strain stiffness of soils. Chin. J. Rock Mech. Eng. 2020, 39, 1023–1031. (In Chinese) [Google Scholar]
  51. Narkuniene, A.; Grigaliuniene, D.; Poskas, G. THC Modelling of Bentonite Barrier of Geological Repository in Granite and Its Impact on Long-Term Safety. Appl. Sci. 2024, 14, 7851. [Google Scholar] [CrossRef]
  52. Morozov, I.; Zakusin, S.; Kozlov, P.; Zakusina, O.; Roshchin, M.; Chernov, M.; Boldyrev, K.; Zaitseva, T.; Tyupina, E.; Krupskaya, V. Bentonite-Concrete Interactions in Engineered Barrier Systems during the Isolation of Radioactive Waste Based on the Results of Short-Term Laboratory Experiments. Appl. Sci. 2022, 12, 3074. [Google Scholar] [CrossRef]
  53. Zhou, X.Y.; Sun, D.A.; Xu, Y.F. A new thermal analysis model with three heat conduction layers in the nuclear waste repository. Nucl. Eng. Des. 2021, 371, 110929. [Google Scholar] [CrossRef]
  54. Zhou, X.Y.; Xu, Y.S.; Sun, D.A. Three-dimensional thermal–hydraulic coupled analysis in the nuclear waste repository. Ann. Nucl. Energy 2021, 151, 107866. [Google Scholar] [CrossRef]
Disclaimer/Publisher’s Note: The statements, opinions and data contained in all publications are solely those of the individual author(s) and contributor(s) and not of MDPI and/or the editor(s). MDPI and/or the editor(s) disclaim responsibility for any injury to people or property resulting from any ideas, methods, instructions or products referred to in the content.

Article Metrics

Citations

Article Access Statistics

Multiple requests from the same IP address are counted as one view.