Featured Application
Considering the requirements of accelerated bridge construction and green construction, this type of link slab is very suitable for prefabricated bridges, especially urban viaducts and scenic highway bridges.
Abstract
This study investigates the mechanical behavior of a new type of link slab through experimental testing and numerical simulation. A full-scale segmental specimen of an I-shaped steel–concrete composite beam was designed, and a vertical active plus horizontal follow-up loading system was employed to realistically simulate the stress state of the link slab. In parallel, a nonlinear finite element model was established in ABAQUS to validate and extend the experimental findings. Test results indicate that the link slab exhibits favorable static performance with a ductile flexural tensile failure mode. At ultimate load, tensile reinforcement yielded while compressive concrete remained uncrushed, demonstrating high safety reserves. Cracks propagated primarily in the transverse direction, showing a typical flexural tensile cracking pattern. The maximum crack width was limited to 0.4 mm and remained confined within the link slab region, which is beneficial for long-term durability, maintenance, and repair. The FE model successfully reproduced the experimental process, accurately capturing both the crack development and the ultimate bending capacity of the slab. The findings highlight the reliability of the proposed structural system, demonstrate that maximum crack width can be evaluated as an eccentric tension member, and confirm that bending capacity may be assessed using existing design specifications.
1. Introduction
In small- and medium-span highway and municipal bridges, simply supported beam bridges have been widely used due to their low cost, simple design, clear stress distribution, and convenient construction. Multi-span simply supported beam bridges are equipped with expansion joints to adapt to the longitudinal deformations of bridges caused by various working conditions. However, simply supported bridges have multiple expansion joints, which can reduce the overall integrity of the bridge deck and cause vehicles to jump at the expansion joints, thereby affecting the speed, safety, and comfort of driving. On the other hand, due to long-term exposure to repeated vehicle loads, expansion joints are prone to damage. Moreover, the replacement process of expansion joints is complex and requires precision, making maintenance of expansion joints difficult.
The best way to overcome the above problem is to reduce or even eliminate expansion joints. In the 1970s, engineers proposed the concept of a continuous bridge deck and used the method of a continuous simply supported beam bridge to solve it. Continuous bridge deck or continuous simply supported beam bridge both refer to the structure connecting the bridge deck pavement or bridge deck of adjacent simply supported beams to replace expansion joints. This method preserves the mechanical properties of the simply supported structure and can provide continuous lanes for driving, thereby ensuring smooth and comfortable driving. A simply supported beam bridge with a continuous bridge deck structure is easy to construct, cost-effective, and suitable for rapid prefabricated assembly construction.
With the continuous development of bridge engineering technology, new trends and social demands are constantly emerging, such as accelerated bridge construction (ABC) [,], green construction [], and construction and design based on artificial intelligence [,]. Accelerated bridge construction (ABC) and green construction are the two major development trends of current simply supported steel–concrete composite beam bridges, and the use of bridge deck link slabs just meets these two needs. Since the 1980s, Prof. Paul Zia has led a team to comprehensively study a continuous bridge deck structure with a debonded link slab (which can be called DLS continuous bridge deck structure, or DLS for short). DLS is one typical type of link slab. This structure avoids direct interaction between the bridge deck link slab and the girder by setting a certain length of unbonded transition separated from the main beam at the bridge expansion joint. Gastal [], El-Safty [], and Caner [] of the team have successively carried out finite element development and design research on jointless bridge decks, providing a full understanding of the mechanical properties of link slabs. On this basis, they carried out experimental research and published a paper in 1998 []. Based on the results, they determined that the debonded length of the link slab should be 5 percent of the span of each beam. This provided a reference for the design of the debonded length of link slab in later research. The specimen design in this article also referred to this conclusion. Combined with two scale bridge tests, this paper focused on the mechanical properties of a composite beam and a prestressed concrete beam with a link slab, and put forward a practical design method.
After that, there are three aspects of progress in the study of link slabs. The first aspect is to continue to study the mechanical properties and design methods of the structure studied by Prof. Paul Zia. For example, in 2002, Caner, Dogan, and Zia [] studied the seismic performance of a multi-span simply supported beam bridge retrofitted with link slabs. In this paper, it clearly pointed out that the seismic retrofit with link slabs should be more cost-effective than the existing methods, and proposed a simple preliminary design method. In 2005, Wing and Kowalsky [] monitored a multi span simply supported beam bridge with link slabs under vehicle load and temperature load for one year. They made it clear that the assumption of simplifying this bridge into a simply supported beam is acceptable, and proposed a practical design method based on the rotational demand and crack width limit. In 2005, Okeil and El-Safty [] proposed a bending analysis method of a bridge with a jointless deck, which was verified by the test data in Prof. Paul Zia’s paper []. And the parameters were analyzed based on this method. In 2009, Sevgili and Caner [] proposed a new reinforcement design method for edge zones of the link slabs for bridges in high-seismic zones. In 2013, Au, Lam, Au et al. [] conducted scaled model experimental research on bridge deck link slabs and carried out real bridge load tests which proved the rationality of the design method proposed by them. In 2019, based on the test data in Prof. Paul Zia’s paper [], Gergess and Hawi [] proposed a link slab numerical solution and a new design method based on the real structural response. The second aspect is that some scholars try to apply new building materials, such as ECC, FRP, and UHPC, to link slabs. They have steadily studied the mechanical properties and design methods of link slabs with ECC or FRP [,,,,,,,,,,]. The third aspect is to propose a new structure based on debond link slabs. For example, in 2019, Wang [] proposed a steel–concrete composite link slab (SCC-LS), which was analyzed by full-scale model test, finite element analysis, and theoretical analysis [,]. The research showed that SCC-LS can effectively improve the cracking performance of a bridge deck.
According to the literature review, several knowledge gaps remain in link slab research. First, there is a lack of comprehensive full-scale testing of link slabs using ordinary concrete. Existing studies with ECC or FRP are only partially full-scale, as the concrete deck is full-scale while the steel beam is reduced-scale. Second, the development and distribution of concrete cracks in link slabs have not been sufficiently reported. Third, current link slab designs have not effectively addressed the corrosion of steel beam ends caused by water seepage after cracking. Furthermore, in China, the General Specifications for Design of Highway Bridges and Culverts (JTG D60-2015) [] does not provide specific design methods or detailed calculation rules for link slabs.
To overcome the limitations of simply supported bridges with multiple expansion joints and the deficiencies of existing continuous bridge deck systems, this study introduces a new type of continuous bridge deck structure that aligns with the requirements of accelerated and green construction. A simply supported channel-type steel–concrete composite beam bridge was selected as the research object, and a full-scale I-shaped composite beam segmental specimen was designed. The investigation focuses on the static performance of the structure, including rebar and concrete strain development in key cross-sections, crack propagation behavior, crack distribution patterns, and failure modes.
2. Methodology
This study investigates the mechanical behavior of a new type of continuous bridge deck structure through experimental testing and numerical simulation.
2.1. Introduction to a New Type of Continuous Bridge Deck Structure
Based on the shortcomings of existing link slabs, this article proposes a new type of continuous bridge deck structure for prefabricated simply supported composite structure bridges, guided by the principles of “simple construction, economic feasibility, and good durability”, as shown in Figure 1.
Figure 1.
Schematic diagram of continuous bridge deck structure.
This structure is suitable for simply supported composite beams with an inverted-T bent cap. A continuous bridge deck structure is installed at the end of the simply supported composite beam, with a link slab length of La and a plate thickness of hc. The bonding length is 2L0 and the debonding length is Lc. Low-elastic-modulus materials are installed within the debonding length range, longitudinal anti-crack reinforcements are installed in the continuous bridge deck structure, and a transition section is set at the end of the continuous bridge deck structure. Stirrup bars and extended studs are installed in the transition section to ensure a smooth transition of stiffness between the end of the continuous bridge deck structure and the composite beam bridge deck. The end of the composite beam is ensured to have a certain thickness by concaving steel beams, which can provide sufficient lateral stiffness of the end crossbeam. At the same time, it provides construction formwork for the link slab, ensuring the corrosion resistance of the steel beams after link slab cracks.
2.2. Experiment Overview
2.2.1. Background Engineering
Now, taking a four span simply supported channel-section constant-load steel–concrete composite beam bridge with an inverted-T bent cap as the research object, the mechanical performance of this new type of link slab is studied. The span of the simply supported steel–concrete composite bridge is 35 m, the width is 26.5 m, and the beam height is 1.8 m. There are 4 main beams, the distance between the main beams is 6.8 m, the length of the cantilever is 1.55 m, the thickness of the bridge deck is 240 mm, and the depth of the haunch is 80 mm. The standard cross-section of the actual project is shown in Figure 2.
Figure 2.
Cross-section of prototype bridge structure (unit: mm).
2.2.2. Specimen Design
Based on a composite beam bridge utilized in a practical engineering, this article designed and produced a full-scale segment model of a simply supported steel–concrete composite beam bridge with this new type of link slab. Considering the transportation and loading conditions, the cross-sectional height of the specimen and the thickness of the concrete slab were kept the same as the background engineering. Under the condition that the neutral axis position remains unchanged during the elastic stage, the test specimen adopted an I-shaped composite cross-section. The elevation and cross-sectional views of the specimen are shown in Figure 3.
Figure 3.
Dimension of specimen (unit: mm): (a) elevation; (b) cross-section; (c) elevation of rebar for link slab.
The total length of the test model was 8.5 m, the height was 1.8 m, the width was 1.8 m, the center distance between the two supports was 2.42 m, and the distance between the two loading points was 7.8 m. The steel beam adopted Q345, with a top plate thickness of 14 mm and a width of 200 mm, a bottom plate thickness of 20 mm and a width of 490 mm, a web thickness of 8 mm, a web height of 1446 mm for the main beam, and a web height of 1226 mm for the part of the continuous bridge deck structure.
C50 was used for the concrete slab, and HRB400 rebar was used in the slab. (1) For the main beam, the thickness of the concrete deck was 240 mm, and the thickness of the haunch was 80 mm. The diameter of the longitudinal steel rebars was 16 mm, with a spacing of 100 mm; the diameter of the transverse steel rebars was 16 mm, with a spacing of 100 mm. Studs with dimensions of 19 × 180 mm (diameter × height) were used to connect the steel top plate and the concrete deck, with a transverse spacing of 100 mm and a longitudinal spacing of 100 mm. (2) For the link slab, the thickness was 280 mm, the diameter of the longitudinal steel rebars was 28 mm, there was a circular overlap, and they had a spacing of 100 mm; the diameter of the transverse steel rebars was 16 mm, with a spacing of 100 mm. For the isolation layer, 20 mm polystyrene foam plate was used between the link slab and the second layer of the concrete deck. Since the concrete part of the test model was poured in two separate actions, this layer of foam plate can be used as the bottom formwork when pouring the link slab.
2.2.3. Loading System
According to the calculation results of the finite element model of the whole bridge in the background engineering [], the new link slab is in a state of bending and tension under both the serviceability limit state and the ultimate limit state, and is mainly subjected to bending. The specimen was subjected to vertical loading with cantilever arms at both ends to achieve bending of the link slab, and subjected to tension with a horizontal jack in the middle. Due to the limited loading conditions in the laboratory, it is difficult to obtain the bending moment–axial force correlation curve of the corresponding real bridge, so it is necessary to simplify the loading method.
This article took the bending moment and axial tension values of this new type of bridge deck continuous structure under the serviceability limit state as target values, and used a vertical active + horizontal follow-up loading system for experimental loading to obtain these target values. The function that this system can achieve is shown in Figure 4, and can be simplified as follows: the horizontal load increases with the increase in vertical load, and when the horizontal load reaches the target value it no longer increases, while the vertical load continues to increase. According to the finite element model calculation results of the whole bridge, the horizontal load target value used in this experiment was Ph = 15 kN, and the bending moment value was M = 227 kN·m.
Figure 4.
Load–time curve.
2.2.4. Experimental Loading
In order to simulate the force situation of a real bridge, this experiment adopted a boundary condition with one side being a PTFE rubber bearing and the other side being a steel rod bearing. The loading system was divided into two stages, screw jack unloading and actuator loading, as shown in Figure 5. (1) Unloading with vertical jacks at both ends using force-controlled loading, achieved by manually unloading the mechanical jacks at both ends. The load readings at each level were displayed by the pressure sensors on each end. (2) When using actuator loading, force control was used first. First, a load of 5 kN per level was applied until the maximum crack width of the link slab reached 0.2 mm. Then, a load of 10 kN per level was applied until the maximum crack width of the concrete link slab reached 0.4 mm. Finally, displacement control loading was switched to continuous displacement loading until the end. There were three criteria for stopping loading: (1) a decrease in vertical load; (2) yielding of tensile longitudinal rebars in the link slab; (3) excessive main cracks on the top surface of the bridge deck. As long as one of these conditions was met, the loading could be stopped.
Figure 5.
Load introduction (unit: mm): (a) Stage 1; (b) Stage 2.
The on-site situation of the experimental loading is shown in Figure 6.
Figure 6.
Loading instrumentation: (a) on-site loading diagram; (b) horizontal loading device.
2.2.5. Layout of Measuring Points
Strain gauge arrangement: Strain gauges were arranged at key cross-sections to monitor the strain changes in the specimen during the testing process. In this experiment, more attention was paid to the M-side section of the specimen because its support conditions were closer to the actual bridge. The cross-sectional situation on the C side could be used as a supplement. The M-side section that this experiment focused on includes: (1) Section 1-M: the starting cross-section of the debonded section of the link slab; (2) Section 2-M: the cross-section of the link slab corresponding to the end of the second layer deck; (3) Section 3-M: the mid span cross-section. The position of the C-side section was symmetrical to the M-side.
Except for section 2-C, all sections were horizontally arranged with 5 concrete strain gauges along the top surface of the link slab. Strain gauges for each section on internal upper and lower longitudinal reinforcement surfaces corresponded one-to-one with the top concrete strain gauges in the transverse bridge direction. Due to the fact that only the middle part of the bottom surface of the link slab was exposed, concrete strain gauges were arranged on the bottom surface of section 2-M, section 3-M, and section 2-C. The arrangement of strain gauges on the specimen is shown in Figure 7.
Figure 7.
Arrangement of strain gauges for the specimen (unit: mm): (a) strain gauges on the top surface of the link slab; (b) strain gauges on the bottom surface of the link slab; (c) strain gauges of longitudinal reinforcements in the link slab.
Displacement gauge arrangement: Vertical displacement gauges were arranged at key cross-sections to monitor the deformation of the specimen during the test process. This experiment focused on the vertical displacement gauges at the loading points on the M and C sides. The displacement gauge arrangement of the specimen is shown in Figure 8.
Figure 8.
Arrangement of displacement sensors for the specimen (unit: mm).
2.2.6. Material Property Testing
Material performance tests were conducted on the concrete and main steel rebars used in this experiment. Among them, the yield strengths of steel rebars with diameters of 16 mm and 28 mm were 467 MPa and 485 MPa, respectively. The standard cubic concrete block with a side length of 150 mm had a strength of 50 MPa after 28 days.
2.3. Finite Element Model Overview
To ensure the reliability of the test results, this article used nonlinear finite element analysis to comprehensively simulate and analyze the structural test process. This also laid the foundation for further structural analysis.
In this paper, the general finite element software ABAQUS was used to analyze the nonlinear finite element model of the specimen. This model used ABAQUS/Standard solver for calculation. Regarding mesh sensitivity, after multiple calculations it was found that when the size of the concrete deck mesh was 40 mm, the tensile damage nephogram was fairly fine, but it took more than twice as long as the current time to obtain the calculation results. When the size of the concrete deck mesh was 60 mm, the tensile damage nephogram was more coarse, and the load–displacement curve was also inconsistent with the test results. Therefore, in order to take into account the computational efficiency and accuracy, the mesh size of the concrete should be selected as 50 mm. As shown in Figure 9 and Figure 10, the steel beam was simulated by S4R element with a grid size of 100 mm. The steel rebar was simulated by T3D2 element with a grid size of 50 mm. The concrete was simulated by C3D8R element with a grid size of 50 mm. In order to simplify the calculation, the weld studs between the concrete slab and the steel beam were simulated by tie contact. Because the elastic modulus of the foam plate was very small, this paper did not simulate it in order to simplify the calculation. Surface-to-surface contact was adopted between the bottom surface of the link slab and the top surface of the second layer slab. Embedded region contact was used between the concrete and reinforcement. Considering the convergence of calculation, it was necessary to simplify the rubber bearing as a reference point coupled with the bottom surface of the steel beam, and set the constraint on the reference point as U1 = 0 and U2 = 0. The steel rod support was simplified as a line on the bottom of the steel beam, and the constraint on the line was set as U1 = 0 and U2 = 0.
Figure 9.
Specimen FEM model.
Figure 10.
Rebar cage of FEM model.
2.3.1. Material Properties
Constitutive Model for Concrete
The concrete constitutive model was concrete damage plasticity (CDP). The stress–strain curve of concrete was calculated in accordance with the Code for Design of Concrete Structures (GB 50010-2010) [].
The stress–strain curve under uniaxial tension can be determined by the following formulas:
where αt is the parameter value of the descending section of the concrete uniaxial tensile stress–strain curve; ft,r is the representative value of the uniaxial tensile strength of concrete and the standard value ft,k is taken here; εt,r is the peak tensile strain of concrete corresponding to the representative value of uniaxial tensile strength ft,r; and Dt is the damage evolution parameter of concrete under uniaxial tension.
The stress–strain curve under uniaxial compression can be determined as follows:
where αc is the parameter value of the descending section of the stress–strain curve of concrete under uniaxial compression; fc,r is the representative value of the uniaxial compressive strength of concrete, and the standard value fc,k is taken here; εc,r is the peak compressive strain of concrete corresponding to the representative value of uniaxial compressive strength fc,r; and Dc is the damage evolution parameter of concrete under uniaxial compression.
The damage factors dt and dc input in ABAQUS are different from the damage evolution parameters Dt and Dc above. This paper calculated damage factors dt and dc according to the Sidiroff energy equivalence principle (EEP) [], as shown in Equation (11). The conversion relationship between damage factors dt, dc, and damage evolution parameters Dt and Dc is shown in Formula (12):
It can be seen from the above that the test value of concrete cube compressive strength was fcu = 50 MPa, and the standard value of concrete axial compressive strength was fck = 33.5 MPa after conversion. The peak compressive strain εc,r was calculated according to the specification formula. According to the material property test results, the concrete axial tensile strength was ft = 3.08 MPa, and the elastic modulus was Ec = 37,400 MPa.
The constitutive curve of concrete was calculated according to the above formulas, as shown in Figure 11. Accordingly, the CDP model parameter curves for ABAQUS are shown in Figure 12. The values of input parameters for the CDP model are shown in Table 1. These parameters were determined through multiple calculations. For example, several values of viscosity coefficient were selected for comparison: 0.01, 0.001, and 0.0001. Through trial calculations, it can be found that a viscosity coefficient of 0.01 could lead to significant deviations between the calculated load–displacement curve and the experimental results. When the viscosity coefficient was set to 0.0001, the convergence of the entire model calculation took a lot of time. Therefore, after repeated calculations and comparisons, the viscosity coefficient was ultimately determined to be 0.001.
Figure 11.
Concrete constitutive curve: (a) uniaxial compressive constitutive model; (b) uniaxial tensile constitutive model.
Figure 12.
CDP model parameter curves input in ABAQUS: (a) yield stress–inelastic strain curve; (b) compression damage–inelastic strain curve; (c) yield stress–crack strain curve; (d) tension damage–crack strain curve.
Table 1.
CDP model input parameters.
Constitutive Model for Steel Rebar
The ideal elastic–plastic model was adopted for the constitutive model of steel rebar. Wherein, the yield strengths of reinforcement were fy(22) = 467 MPa and fy(28) = 485 MPa, and the modulus of elasticity was Es = 190 GPa.
Constitutive Model for Steel Plate
Since the steel plate was in elastic state throughout the test, the steel plate constitutive model was linear elastic, and the elastic modulus of the steel plate was Es = 205 GPa.
2.3.2. Loading Method
As shown in Figure 9, a vertical load loading point was set at side M and side C, respectively. The loading point was coupled with an area on the top surface of the specimen, which was the same size as the distribution beam. The vertical load was loaded by displacement for the whole process. Similarly, a horizontal load loading point was set on the left and right of the position of the horizontal jack, respectively, and the loading point was coupled with the plane of the loading plate. The horizontal load was loaded by force, as shown in Figure 13.
Figure 13.
Horizontal load–time curve.
3. Test Results
3.1. Load–Displacement Curve and Failure Mode
The entire experimental process required real-time monitoring of the strain and displacement response of the specimen, and periodic observation of the development of cracks on the surface of the specimen.
The specimen exhibited good elastic performance during the initial loading stage, and the deformation of the link slab increased with the increase in load. The horizontal load increased with the increase in vertical load, and when it reached the upper limit of 15 kN the horizontal load would not continue to increase. When loaded to a vertical load of Pv = 30.75 kN and a horizontal load of Ph = 3.80 kN, cracks began to appear on the surface near the 1/4 span of the link slab. As the load increased, the number of cracks on the top surface of the link slab gradually increased, the crack width continued to increase, and the side cracks also continued to develop downward. When the load reached Pv = 287.39 kN and Ph = 13.73 kN, the tensile longitudinal rebars of the mid-span section of the link slab had clearly yielded, the concrete in the compression zone did not collapse, and the compressive longitudinal rebars did not yield throughout the entire process. At the same time, significant main cracks appeared near section 2-M and section 2-C, and the loading was stopped. Due to the main crack, the deformation of the link slab and the second layer slab was not coordinated, and at this time the end of the second layer slab came into partial upwards contact with the link slab. The failure mode of the specimen belonged to the bending–tensile failure of the reinforced concrete slab. The failure mode of the specimen is shown in Figure 14.
Figure 14.
Failure modes of specimen: (a) deformation of the specimen; (b) main crack on the top surface of link slab; (c) local contact between the second layer slab and link slab.
The load–displacement curve of the specimen is shown in Figure 15, where displacement refers to the vertical displacement of the M-side loading point. The horizontal load–displacement curve can be roughly divided into two stages: linear growth stage and plateau stage. As the vertical load increased, the horizontal load maintained a linear increase. When the vertical load reached Pv = 56.14 kN, the horizontal load reached 15 kN for the first time. After that, the horizontal load no longer increased. Due to fluctuations in hydraulic pressure of the jack, the reading may fluctuate slightly.
Figure 15.
Load–displacement curve of loading points.
The vertical load–displacement curve can be roughly divided into three stages: the stage of linear elasticity before cracking, the stage of constant stiffness after cracking, and the stage of stiffness change after cracking. When the vertical load reached Pv = 30.75 kN, cracks began to appear on the surface of the link slab, with a maximum crack width of 0.04 mm; however, the slope of the curve did not change significantly. When loaded to Pv = 50.54 kN, the slope of the curve began to change significantly. At this point, the cracks in the link slab had developed to the entire debonded section, with a maximum crack width of 0.1 mm. It can be seen that only when the number and width of cracks developed to a certain extent would it affect the stiffness of the specimen. When the vertical load continued to increase from Pv = 50.54 kN to the ultimate load Pv = 287.39 kN, the vertical load–displacement curve still maintained an approximately linear relationship. When the vertical load reached the ultimate load Pv = 287.39 kN, the link slab did not reach the ultimate bearing capacity limit state, but the maximum crack width was far greater than 0.4 mm. Therefore, the specimen was designed under the control of the serviceability limit state.
3.2. Steel Rebar Strain
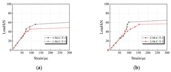
The longitudinal steel rebar load–strain curves of five sections of the specimen are shown in Figure 16. For the strain data of each section, the abnormal data has been removed before analysis.

Figure 16.
Load–strain curve of longitudinal rebars in link slab of specimen: (a) upper longitudinal rebar of section 1-M; (b) lower longitudinal rebar of section 1-M; (c) upper longitudinal rebar of section 2-M; (d) lower longitudinal rebar of section 2-M; (e) upper longitudinal rebar of section 3-M; (f) lower longitudinal rebar of section 3-M; (g) upper longitudinal rebar of section 2-C; (h) lower longitudinal rebar of section 2-C; (i) upper longitudinal rebar of section 1-C; and (j) lower longitudinal rebar of section 1-C.
From Figure 16, it can be seen that: (1) The upper longitudinal rebars of all five sections were in a tensile state throughout the entire experimental loading process. When the vertical load was loaded to Pv = 30.75 kN, cracks began to appear on the surface of the link slab, but the slope of the steel bar load–strain curve did not change significantly. When loaded to Pv = 50.54 kN, the maximum crack width was 0.1 mm, and the slope of the curve began to change significantly, with the first inflection point appearing on the curve. This was because the cracks that appeared within the debonded range at this time caused a significant change in the stiffness of the specimen, resulting in a large-scale stress redistribution inside the specimen. When the vertical load reached the ultimate load Pv = 287.39 kN, the upper longitudinal steel rebars of all five sections approached or reached 2000 με, indicating that the upper longitudinal rebars yielded under tension.
(2) The lower longitudinal rebars of all five sections were under compression throughout the entire loading process. When the vertical load was loaded to Pv = 30.75 kN, there was no significant change in the slope of the steel rebar load–strain curve. When loaded to Pv = 50.54 kN, the maximum crack width was 0.1 mm and the slope of the curve began to change significantly, with the first inflection point appearing on the curve. Subsequently, the compressive strain of the lower longitudinal reinforcement increased nonlinearly with the increase in vertical load. During the entire loading process of the experiment the maximum compressive strain of the compressed steel rebars did not exceed 1700 με, so the longitudinal rebars under compression were in an elastic state throughout the entire process.
3.3. Concrete Strain
The concrete load–strain curves of five sections of the specimen are shown in Figure 17 and Figure 18. For the strain data of each section, the abnormal data has been removed before analysis. It should be noted that the strain data of the concrete on the top surface of section 2-C is entirely abnormal, hence there is no data available for this section.

Figure 17.
Load–strain curve of top concrete in link slab of specimen: (a) top concrete of section 1-M; (b) bottom concrete of section 2-M; (c) top concrete of section 3-M; and (d) top concrete of section 1-C.
Figure 18.
Load–strain curve of bottom concrete in link slab of specimen: (a) bottom concrete of section 2-M; (b) bottom concrete of section 3-M; and (c) bottom concrete of section 2-C.
From Figure 17 and Figure 18, it can be seen that: (1) The top concrete of the M-side and C-side sections was in a tensile state throughout the entire experimental loading process. When the vertical load reached Pv = 30.75 kN, cracks began to appear on the surface of the link slab and the load–strain curve of the top concrete showed the first inflection point. At this point, the tensile strain of the concrete was about 70 με. When loaded to Pv = 50.54 kN, the maximum crack width was 0.1 mm, and the curve showed a second inflection point. At this point, the tensile strain of the concrete had exceeded 100 με, indicating that these measuring points had failed.
(2) The strain development trend of the bottom concrete of the M-side and C-side sections was generally the same, and the sections were under compression throughout the entire experimental loading process. When the vertical load was loaded to Pv = 30.75 kN, there was no significant change in the slope of the concrete load–strain curve. When the vertical load reached Pv = 50.54 kN, the maximum crack width was 0.1 mm and the slope of the curve began to change significantly, with the first inflection point appearing. Subsequently, the compressive strain of the bottom concrete increased nonlinearly with the increase in vertical load. During the entire loading process of the experiment the maximum compressive strain of the bottom concrete did not exceed 1600 με, so the compressed concrete remained in an elastic state throughout the entire process and did not collapse.
3.4. Concrete Cracks
The development of cracks on the top surface of the concrete connecting plate is shown in Figure 19, with a grid size of 100 mm × 100 mm. During the entire loading process of the experiment, the cracks basically spread along the transverse direction of the bridge link slab in a straight line, with a small number of accompanying cracks appearing. Cracks were uniformly distributed, which was a typical bending–tensile crack morphology. Meanwhile, as shown in Figure 19, the average crack spacing of the link slab was about 50–200 mm.

Figure 19.
Crack distribution (unit: mm): (a) Pv = 30.75 kN, Wmax = 0.04 mm; (b) Pv = 50.54 kN, Wmax = 0.1 mm; (c) Pv = 96.15 kN, Wmax = 0.21 mm; and (d) Pv = 156.37 kN, Wmax = 0.41 mm.
The development of cracks was as follows: when the vertical load was loaded to Pv = 30.75 kN, cracks began to appear on the surface near the 1/4 span of the link slab, with a maximum crack width of 0.04 mm. At this time, the five cracks were still very short and did not penetrate transversely along the link slab. Therefore, the slope of the vertical load–displacement curve did not change at this moment. When the vertical load was loaded to Pv = 50.54 kN, cracks had already penetrated transversely along the link slab and the cracks in the link slab had developed from the initial position to the entire debonded zone, with a maximum crack width of 0.1 mm. At this point, there were about 11 cracks that nearly penetrated transversely through the link slab, and these cracks were evenly distributed in the debonded zone of link slab. The appearance of these cracks essentially affected the bending stiffness of link slab. This was also the fundamental reason why the slope of the vertical load–displacement curve began to change dramatically. When the load was loaded to Pv = 96.15 kN, the maximum crack width was 0.21 mm, and the cracks on the link slab only appeared within a length range of 4.1 m and did not extend to the interface between new and old concrete. At this point, 17 cracks had already penetrated transversely through the link slab, and these cracks were evenly distributed in the debonded area of link slab. The maximum spacing between these cracks was 20–30 mm, which was too large for ordinary concrete, meaning that new cracks would still appear. When loaded to Pv = 156.37 kN, cracks developed in the starting section of the link slab, with almost no new cracks appearing. The maximum crack width was 0.41 mm, located at observation point A. At this time, the crack width at observation point H was 0.38 mm. The main crack that appeared when loaded to the ultimate load was a crack that passed through observation point A and point H.
From the development of cracks, it can be seen that when the bridge is in-service, cracks would only appear within the range of the link slab and would not appear in the bridge deck of the adjacent girders, which would be beneficial for operation and maintenance. When the maximum crack width of the link slab does not meet the crack width limit of the serviceability limit state, it only needs to remove all the link slabs and pour them again.
Here, it is worth mentioning the comparison between the durability and maintenance costs of the link slab in this article and existing solutions. The existing link slabs generally only have one layer of slab and when the crack completely penetrates the link slab, water will directly flow onto the steel beam causing corrosion at the end of the steel beam. Meanwhile, this new link slab structure has a second layer slab. When the crack completely penetrates the link slab, water can flow to the surface of the second layer slab instead of directly flowing onto the steel beam, effectively solving the problem of corrosion at the end of the steel beam. This increases the durability of the main beam. In addition, the existing link slabs mostly use overlapped longitudinal rebars, which require a lot of on-site welding work. The link slab proposed in this article uses circular longitudinal rebars and U-shaped longitudinal rebars, which can reduce the workload of on-site welding during construction. Moreover, when replacing the link slab it can also accelerate the construction speed and reduce interference with traffic. This greatly reduces the maintenance costs of the bridge.
The crack width data of eight observation points were obtained in this test, and the load–crack width curve can be seen in Figure 20. As shown in the figure, the crack width increased linearly with the increase in load. The observation points A, G, and H of the link slab were typical representatives of the development law of crack width in the specimen. When the vertical load was Pv = 96.15 kN, the maximum crack width was 0.21 mm, located at observation point G. At this time, the crack width at observation point A was 0.2 mm, and the crack width at observation point H was 0.18 mm.
Figure 20.
Load–crack width curve of measuring points.
4. FEA Results
For the nonlinear finite element model of the specimen, the main results such as load–displacement curve and tensile damage distribution were extracted and compared with the test results.
4.1. Load–Displacement Curve
The comparison between the test result and simulation result of the load–displacement curve of the specimen is shown in Figure 21. It can be seen from the figure that the finite element value of the load displacement curve of the specimen was in good agreement with the test value in the whole process of the test. (1) As far as the horizontal load vertical displacement curve was concerned, the test value was completely consistent with the finite element value. (2) For the vertical load–vertical displacement curve, the test value was basically consistent with the finite element value within the range of the test section. Before the inflection point value appeared, the finite element curve almost coincided with the test curve. When the vertical load finite element value reached Pv-m = 50.83 kN, the slope of the finite element curve began to change significantly, while when the vertical load test value reached Pv-t = 50.54 kN, the slope of the test curve began to change significantly. Therefore, the two inflection points were almost the same. After these two inflection points, the coincidence degree of the finite element curve and test curve was also very high. When loaded to Pv-m = 276.73 kN, the second inflection point appeared in the finite element curve. At this time, the second layer slab in the model was in local contact with the link slab, as shown in Figure 22. When loaded to Pv-t = 275.80 kN, the second inflection point appeared in the test curve. Therefore, the second inflection point of the two curves was almost the same. After that, the test stopped loading when loaded to Pv-t = 287.39 kN, and the test did not reach the true ultimate bearing capacity. The finite element curve achieved the true ultimate bearing capacity of Pv-m = 370.69 kN.
Figure 21.
Load–displacement curve.
Figure 22.
Local contact occurs between the second layer of the concrete deck and the link slab.
4.2. Tensile Damage Contour Map and Crack Distribution of Link Slab
The CDP model of ABAQUS cannot truly simulate the cracking of concrete. At present, it is generally accepted that the crack distribution of the specimen can be roughly judged through the tensile damage nephogram of concrete. According to the above, crack observation was not conducted after the test was loaded to Pv-t = 156.37 kN. The tensile damage nephogram of the link slab when loaded to Pv-m = 155.30 kN can be seen in Figure 23a. Comparing it with the measured cracks, it can be seen that the tensile damage nephogram of the link slab calculated by the model was similar to the measured crack distribution.
Figure 23.
Tensile damage contour map and crack distribution of link slab: (a) Pv-m = 155.30 kN, tensile damage contour map of link slab; and (b) Pv-t = 156.37 kN, crack distribution of link slab.
5. Discussion on Test Results and FEA Results
5.1. Maximum Crack Width of Link Slab
According to Section 2.2.2 of this article, the width of the link slab of the specimen is b = 1800 mm, and the slab thickness is h = 280 mm. The nominal diameter of the steel rebars is d = 28 mm, with a quantity of n = 18. The distance from the center of the tensile longitudinal rebars to the upper surface of the link slab is as = 60 mm, and the distance from the center of the compressive longitudinal rebars to the lower surface of the link slab is a′s = 44 mm. The steel rebar elastic modulus used is Es = 190 GPa. According to the experimental results, when the bending moment Ms is 234.87 kN·m and the axial tension Ns is 17.66 kN then the maximum crack width Wtest is 0.21 mm. According to Specifications for Design of Highway Reinforced Concrete and Prestressed Concrete Bridges and Culverts (JTG 3362-2018) [] (hereinafter Specifications for Design of Concrete Bridges and Culverts for short), the calculation formula for the maximum crack width Wcr is:
where C1, C2, and C3 are the surface shape coefficient of the steel rebar, the long-term effect coefficient, and the coefficient related to the stress of the component, respectively; σss is the stress of steel rebars; c is the thickness of the concrete protective layer for longitudinal tensile steel rebars; d is the diameter of the longitudinal tensile steel rebars; Es is the elastic modulus of longitudinal tensile steel rebars; ρte is the effective reinforcement ratio of longitudinal tensile steel rebars; As is the cross-sectional area of longitudinal steel rebars under tension; Ate is the effective tensile concrete cross-sectional area; e′s is the distance from the axial force action point to the resultant force point of longitudinal steel rebars in the compression zone; Ns and Ms are the axial force and bending moment values calculated based on the frequent combination of actions; and h0 is the effective height of the cross-section.
From the formulas above, the following can be seen: (1) According to the calculation of eccentric tension member, when the bending moment Ms is 234.87 kN·m and the axial tension Ns is 17.66 kN, the calculated maximum crack width Wcr is 0.17 mm and the ratio of the measured value to the calculated value is Wtest/Wcr = 1.24. (2) According to the calculation of the bending member, when the bending moment Ms is 234.87 kN·m, the calculated maximum crack width Wcr is 0.16 mm and the ratio of the measured value to the calculated value is Wtest/Wcr = 1.31.
From this, it can be seen that the maximum crack width value Wcr calculated by both methods is smaller than the measured value, and the calculated value based on the eccentric force component is closer to the measured value. The reason why the calculated value is relatively small here is that there is occasional error in the measured value. Therefore, the maximum crack width of link slab can be calculated according to the formula for the maximum crack width of eccentric tension member in Specifications for Design of Concrete Bridges and Culverts (JTG 3362-2018) [].
When the maximum crack width is 0.2 mm under the serviceability limit state, the converted axial tension of the actual bridge is Nt = 15 kN and the bending moment value is Mt = 227 kN·m. When the maximum crack width Wtest is 0.21 mm, the axial tension Ns is 17.66 kN and the bending moment Ms is 234.87 kN·m. Due to Ns/Nt = 1.18 and Ms/Mt = 1.03, the calculated values of actual bridge bending moment and axial force under the serviceability limit state are safe.
5.2. Bending Capacity of Link Slab
For rectangular section bending members using longitudinal internal steel rebars, the flexural bearing capacity Mud of the normal section is calculated as follows according to the provisions of Specifications for Design of Concrete Bridges and Culverts (JTG 3362-2018) []:
where fsd is the tensile strength design of longitudinal ordinary steel rebars, As is the cross-sectional area of longitudinal ordinary steel rebars in the tension zone, h is the effective height of the section, as is the distance from the resultant force point of ordinary steel rebars in the tension zone to the edge of the tension zone, and a′s is the distance from the resultant force point of ordinary steel rebars in the compression zone to the edge of the compression zone.
Using the design value of tensile strength of HRB400 rebar, fsd = 330 MPa, the bending capacity of the normal section Mud = 643.73 kN·m is obtained. Since the concrete crushing in the compression zone does not occur when the tensile rebar reaches yield in the test, Muk = 780.28 kN·m is calculated when the standard tensile strength of the rebar is fsk = 400 MPa, and Mur = 946.09 kN·m is calculated when the yield strength of the rebar obtained from the material test is used. The ultimate bending moment of the section obtained from the static load test of the link slab is Mut = 756.73 kN·m, and the ultimate bending moment of the link slab calculated by the finite element model of the specimen is Muf = 979.86 kN·m. The ratio between the test value and the calculated value from the standard value is Mut/Muk = 0.97, indicating that the two are very close. The ratio of the measured bending capacity of the link slab to the calculated value from the design value of material properties is Mut/Mud = 1.2. The ratio of the calculated value from the material property test value and the finite element value is Mur/Muf = 0.97, indicating that the two are very close. Therefore, it is feasible to calculate the bending capacity of the link slab with the specification formula.
6. Conclusions
In this paper, a new type of continuous bridge deck structure was proposed. Taking a dead-load-trough steel–concrete composite bridge as the background project, a full-scale segmental steel–concrete composite bridge test model was designed. A set of vertical active + horizontal follow-up loading systems were used to simulate its bending and tensile stress states for test loading, and a nonlinear finite element model of the specimen was established by ABAQUS software for analysis. The results showed that the structure had good static performance. The specific conclusions are as follows:
- The link slab of the continuous bridge deck structure was in a state of bending and tensile stress. The failure mode was a bending–tensile failure mode, which belonged to ductile failure. At the time of failure, the tensile rebar of the link slab yielded, the concrete was not crushed, and the maximum width of the crack had far exceeded 0.4 mm.
- The crack distribution pattern of the link slab was a typical bending–tensile crack pattern. The cracks basically propagated in a straight line along the transverse direction of the link slab, with a small number of accompanying cracks appearing. The cracks overall present a uniformly distributed state. When the maximum crack width reached 0.4 mm, the cracking range of the entire continuous bridge deck structure was limited to the range of the link slab, which would be very beneficial for later maintenance and repair.
- The nonlinear finite element model of the specimen could well simulate the whole loading process. The tensile damage nephogram of the link slab was very close to the crack distribution, and the finite element value of the load–displacement curve was in good agreement with the test value in the whole process of the test. In addition, the real bending capacity of the link slab could be obtained by the finite element model.
- The maximum crack width of the link slab could be calculated according to the formula for the maximum crack width of an eccentric tension member in the specification. Under the serviceability limit state, the calculated values of bending moment and axial force corresponding to the actual bridge were safe.
- The bending capacity of the link slab can be calculated according to the specification. Comparing the test results with the calculated values, the ratio of the ultimate bending moment test value of the link slab to the calculated value obtained from the material design value is Mut/Mud = 1.2.
- This vertical active + horizontal follow-up loading system can simulate the bending and tensile stress state well and provide reference for other similar experiments.
Author Contributions
Conceptualization, L.X., Q.S., and Q.W.; Investigation, Writing—Original draft preparation, Software, and Validation, L.X.; Methodology, Supervision, and Writing—Reviewing and Editing, Q.S.; Resources and Funding acquisition, Q.W. All authors have read and agreed to the published version of the manuscript.
Funding
This research was funded by the National Natural Science Foundation of China (Grant No. 52478197) and project funds of Tongji Architectural Design (Group) Co., Ltd.
Data Availability Statement
The original contributions presented in the study are included in the article, further inquiries can be directed to the corresponding author.
Acknowledgments
The authors would like to express their gratitude to all members of Study Room 608 in Bridge Building at Tongji University for their help in the test.
Conflicts of Interest
Author Qingquan Wang was employed by the Tongji Architectural Design (Group) Co., Ltd. The remaining authors declare that the research was conducted in the absence of any commercial or financial relationships that could be construed as a potential conflict of interest. The authors declare that this study received funding from the Tongji Architectural Design (Group) Co., Ltd. The funder was not involved in the study design, collection, analysis, interpretation of data, the writing of this article or the decision to submit it for publication.
References
- CME Associates. Accelerated Bridge Construction-Experience in Design, Fabrication and Erection of Prefabricated Bridge Elements and Systems. In Federal Highway Administration Research Report FHWA-HIF-12-013; Federal Highway Administration: McLean, VA, USA, 2011. [Google Scholar]
- Khan, M.A. Accelerated Bridge Construction: Best Practices and Techniques; Elsevier: Boston, MA, USA, 2015. [Google Scholar]
- Editorial Department of China Journal of Highway and Transport. Review on China’s Bridge Engineering Research: 2024. China J. Highw. Transp. 2024, 37, 1–160. [Google Scholar]
- Sarfarazi, S.; Mascolo, I.; Modano, M.; Guarracino, F. Application of Artificial Intelligence toSupport Design and Analysis of Steel Structures. Metals 2025, 15, 408. [Google Scholar] [CrossRef]
- Gastal, F.P.S.L. Instantaneous and Time-Dependent Response and Strength of Jointless Bridge Beams. Ph.D. Dissertation, North Carolina State University, Raleigh, NC, USA, 1987. [Google Scholar]
- El-Safty, A.K. Behavior of Jointless Bridge Decks. Ph.D. Dissertation, North Carolina State University, Raleigh, NC, USA, 1994. [Google Scholar]
- Caner, A. Analysis and Design of Jointless Bridge Decks Supported by Simple-Span Girders. Ph.D. Dissertation, North Carolina State University, Raleigh, NC, USA, 1996. [Google Scholar]
- Caner, A.; Zia, P. Behavior and design of link slabs for jointless bridge decks. PCI J. 1998, 43, 68–80. [Google Scholar] [CrossRef]
- Caner, A.; Dogan, E.; Zia, P. Seismic performance of multisimple-span bridges retrofitted with link slabs. J. Bridge Eng. 2002, 7, 85–93. [Google Scholar] [CrossRef]
- Wing, K.M.; Kowalsky, M.J. Behavior, analysis, and design of an instrumented link slab bridge. J. Bridge Eng. 2005, 10, 331–344. [Google Scholar] [CrossRef]
- Okeil, A.M.; El-Safty, A.K. Partial continuity in bridge girders with jointless decks. Pract. Period. Struct. Des. Constr. 2005, 10, 229–238. [Google Scholar] [CrossRef]
- Sevgili, G.; Caner, A. Improved seismic response of multisimple-span skewed bridges retrofitted with link slabs. J. Bridge Eng. 2009, 14, 452–459. [Google Scholar] [CrossRef]
- Au, A.; Lam, C.; Au, J.; Tharmabala, B. Eliminating deck joints using debonded link slabs: Research and field tests in Ontario. J. Bridge Eng. 2013, 18, 768–778. [Google Scholar] [CrossRef]
- Gergess, A.N.; Hawi, P.F. Structural Behavior of Debonded Link-Slabs in Continuous Bridge Decks. J. Bridge Eng. 2019, 24, 04019030. [Google Scholar] [CrossRef]
- Li, V.C.; Lepech, M.; Li, M. Field Demonstration of Durable Link Slabs for Jointless Bridge Decks Based on Strain-Hardening Cementitious Composites. In Michigan Department of Transportation Research Report RC-1471; Michigan Department of Transportation: Lansing, MI, USA, 2005. [Google Scholar]
- Kim, Y.Y.; Fischer, G.; Li, V.C. Performance of bridge deck link slabs designed with ductile ECC. ACI Struct. J. 2004, 101, 792–801. [Google Scholar]
- Kim, Y.Y.; Li, V.C. Fatigue response of bridge deck link slabs designed with ductile Engineered Cementitious Composite (ECC). In Proceedings of the International Conference on Concrete Under Severe Conditions, Seoul, Republic of Korea, 27–30 June 2004. [Google Scholar]
- Lepech, M.; Li, V.C. Design and field demonstration of ECC link slabs for jointless bridge decks. In Proceedings of the Third International Conference on Construction Materials: Performance, Innovations and Structural Implications and Mindess Symposium, Vancouver, BC, Canada, 22–24 August 2005. [Google Scholar]
- Lepech, M.D.; Li, V.C. Application of ECC for bridge deck link slabs. Mater. Struct. 2009, 42, 1185–1195. [Google Scholar] [CrossRef]
- Saber, A.; Aleti, A.R. Behavior of FRP link slabs in jointless bridge decks. Adv. Civ. Eng. 2012, 2012, 452987. [Google Scholar] [CrossRef]
- Zheng, Y.; Zhang, L.F.; Xia, L.P. Investigation of the behaviour of flexible and ductile ECC link slab reinforced with FRP. Constr. Build. Mater. 2018, 166, 694–711. [Google Scholar] [CrossRef]
- Zhong, J.; Shen, J.; Wang, W.; Shi, J.; Yang, X.; Zhou, G. Working state of ECC link slabs used in continuous bridge decks. Appl. Sci. 2019, 9, 4667. [Google Scholar] [CrossRef]
- Chu, K.; Hossain, K.M.A.; Lachemi, M. Fatigue behavior of GFRP-reinforced ECC link slabs under variable stress levels and number of cycles. Eng. Struct. 2020, 222, 111130. [Google Scholar] [CrossRef]
- Chu, K.; Hossain, K.M.A.; Lachemi, M. Static and fatigue behaviour of ECC link slabs in reinforced concrete girder Joint-Free bridges. Structures 2022, 41, 1301–1310. [Google Scholar] [CrossRef]
- Hossain, K.M.A.; Chu, K.; Lachemi, M. Fatigue performance of ECC link slab incorporated full RC girder joint-free bridges. Adv. Bridge Eng. 2024, 5, 5. [Google Scholar] [CrossRef]
- Wang, C.; Shen, Y.; Zou, Y.; Zhuang, Y.; Li, T. Analysis of mechanical characteristics of steel-concrete composite flat link slab on simply-supported beam bridge. KSCE J. Civ. Eng. 2019, 23, 3571–3580. [Google Scholar] [CrossRef]
- Wang, C.; Xie, J.; Shen, Y.; Jiang, J. Research on the Mechanical Behavior of a Steel-Concrete Composite Link Slab on a Simply Supported Girder Bridge. Metals 2022, 12, 1410. [Google Scholar] [CrossRef]
- Wang, C.; Liu, R.; Wang, K.; Liang, Y.; Ning, Y. Performance and Interfacial Bonding Mechanism of High-Performance ECC in Steel-Concrete Composite Link Slab in Simply Supported Bridges. Buildings 2025, 15, 2277. [Google Scholar] [CrossRef]
- JTG D60-2015; Ministry of Transport of the People’s Republic of China. General Specifications for Design of Highway Bridges and Culverts. China Communications Press Co., Ltd.: Beijing, China, 2015.
- Wang, Q.; Cao, P.; Deng, Q. Mechanical properties and parametric analysis of a new type of continuous deck structure of simply supported steel-concrete composite beam bridge. Struct. Eng. 2023, 39, 35–44. [Google Scholar]
- GB 50010-2010; Ministry of Housing and Urban-Rural Development of the People’s Republic of China. Code for Design of Concrete Structures. China Architecture & Building Press: Beijing, China, 2010.
- Mander, J.B.; Priestley, M.J.N.; Park, R. Theoretical stress-strain model for confined concrete. J. Struct. Eng. 1988, 114, 1804–1826. [Google Scholar] [CrossRef]
- JTG 3362-2018; Ministry of Transport of the People’s Republic of China. Specifications for Design of Highway Reinforced Concrete and Prestressed Concrete Bridges and Culverts. China Communications Press Co., Ltd.: Beijing, China, 2018.
Disclaimer/Publisher’s Note: The statements, opinions and data contained in all publications are solely those of the individual author(s) and contributor(s) and not of MDPI and/or the editor(s). MDPI and/or the editor(s) disclaim responsibility for any injury to people or property resulting from any ideas, methods, instructions or products referred to in the content. |
© 2025 by the authors. Licensee MDPI, Basel, Switzerland. This article is an open access article distributed under the terms and conditions of the Creative Commons Attribution (CC BY) license (https://creativecommons.org/licenses/by/4.0/).