Next Article in Journal
Integrating Finite Element Data with Neural Networks for Fatigue Prediction in Titanium Dental Implants: A Proof-of-Concept Study
Previous Article in Journal
Evaluation and Validation of an Accelerated Weathering Procedure to Characterise the Release of Bisphenol A from Polycarbonate Under Exposure to Simulated Environmental Conditions
Previous Article in Special Issue
A Comprehensive Review of Open Caisson Modeling Technology: Current Practices and Future Prospects
 
 
Font Type:
Arial Georgia Verdana
Font Size:
Aa Aa Aa
Line Spacing:
Column Width:
Background:
Article

Evolution of Warsaw Metro Stations (1983–2019): A Phase-Based Typological Analysis

by
Katarzyna Jasińska
and
Eugeniusz Koda
*
Institute of Civil Engineering, Warsaw University of Life Sciences, 02-776 Warsaw, Poland
*
Author to whom correspondence should be addressed.
Appl. Sci. 2025, 15(19), 10363; https://doi.org/10.3390/app151910363
Submission received: 17 August 2025 / Revised: 19 September 2025 / Accepted: 21 September 2025 / Published: 24 September 2025

Abstract

This paper presents a phase-based analysis of the spatial and architectural development of underground stations in the Warsaw Metro, focusing on 28 non-transfer stations constructed between 1983 and 2019. The research examines how design and functional solutions evolved over five construction phases in response to changing engineering methods, organizational frameworks, and urban contexts. A comparative analytical framework was developed, incorporating quantitative and qualitative parameters related to spatial layout, access schemes, and interior design features. The methodology combines archival documentation analysis, in situ field surveys, and typological classification. Findings reveal a clear trajectory from utilitarian, dual-purpose stations emphasizing structural durability and civil defense, toward more user-oriented designs prioritizing accessibility and intuitive navigation. Later phases show an expansion of multifunctional elements, including retail spaces, reflecting contemporary trends in metro station design. It contributes to a broader understanding of how adaptive design strategies enable metro infrastructure to respond to evolving urban needs and challenges, highlighting the importance of contextual integration for future metro developments.

1. Introduction

Urban metro systems are among the most critical and complex infrastructures in contemporary cities, enabling high-capacity mobility essential for sustainable urban development. By alleviating traffic congestion, reducing emissions, and supporting transit-oriented growth, underground networks optimize land use and contribute to climate-resilient urban environments [1,2]. Today, metro stations have evolved beyond mere points of transit to become multifunctional public spaces that integrate commercial, cultural, and social uses, thereby shaping urban identity and public life [3,4,5].
Designing these multifunctional structures poses complex challenges: beyond operational efficiency stations must deliver architectural quality, intuitive wayfinding, and meaningful integration with their surrounding cityscape [6,7,8]. Technical constraints, construction logistics, accessibility requirements, and safety standards further influence architectural outcomes [9,10,11]. While operational and technical aspects of metro station design have been widely studied, comparatively little is known about how design strategies themselves evolve over time in response to changing urban conditions, governance models, and user needs. Understanding this adaptive capacity is however essential for ensuring the long-term resilience and relevance of metro infrastructure in increasingly complex urban environments.
The Warsaw Metro presents a compelling case for examining this evolution. Its development spans several decades and political regimes—including pre-World War II planning efforts, the socialist era, the post-1989 democratic transition, and Poland’s accession to the European Union—reflecting shifting architectural trends, material technologies, ideologies and public expectations. Despite the richness of this history, the architectural development of the Warsaw Metro has received limited scholarly attention, with existing research typically focusing on technical performance or isolated architectural highlights. This lack of a systematic, comparative overview represents a significant research gap in understanding the underlying drivers of architectural and spatial change. This paper aims to address this gap by systematically examining the following research questions:
(1)
How have political, technological, and urban factors driven the evolution of Warsaw Metro stations?
(2)
How have successive phases responded to changing user needs and international standards?
(3)
What lessons can be derived for future expansion of Warsaw metro?

2. Materials and Methods

2.1. Study Area

2.1.1. General Characteristics of the Warsaw Metro Network

The construction of the Warsaw Metro has for years represented one of the largest infrastructure undertakings implemented within the territory of Poland. The initial project was approved prior to World War II, and its execution has been pursued almost continuously from the 1980s to the present day. Currently, the Warsaw Metro network comprises two lines—M1 and M2—encompassing a total of 38 stations (Figure 1). The metro system serves approximately 197.3 million passengers annually, accounting for 18.1% of all public transport users in Warsaw [12]. Line M1, fully completed and opened to the public in 2008, connects the city along a north–south axis. Line M2, which continues to undergo phased expansion, runs beneath the Vistula River and links the right- and left-bank districts of the city. The two lines intersect at the Świętokrzyska station, which currently functions as the sole transfer station.
This study focuses on 28 non-transfer stations from both lines, built between 1983 and 2019. All data were verified as of the end of 2019 to ensure a consistent temporal reference point. Stations opened after this date are proposed for future research. To enable comparative analysis, the selected stations were categorized into five chronological construction phases (Table 1). Each phase embodies unique historical, technical, and urban conditions that significantly shaped the design of the stations. A detailed list mapping each station to its construction phase and its basic parameters is available in Appendix A (Table A1).

2.1.2. Phase 1: Southern Section of Line M1 (1983–1998)

The first construction phase of the Warsaw Metro encompassed the southern segment of Line M1, extending from Kabaty to Centrum. Although conceptual planning for a rapid transit system in Warsaw had commenced several decades earlier, actual construction did not begin until 1983, following prolonged delays caused by wartime destruction and subsequent political and economic instability [13]. The project was guided by design and engineering concepts developed in the late 1960s and early 1970s, which prioritized cost-efficiency, structural simplicity, and dual-purpose functionality [14]. In line with the standards of the time, the stations were conceived not only as transportation facilities but also as civil defense shelters capable of protecting the civilian population during armed conflict. Architecturally, the design drew heavily from Soviet and Central European metro systems, particularly those in Moscow, Prague, and Budapest. However, Polish architects—led by Jasna Strzałkowska-Ryszka of Metroprojekt—also incorporated influences from Western European networks, including Paris and Vienna [15].
Construction took place during Poland’s ongoing economic crisis, and building techniques evolved significantly over the course of the project. Works began in the southern districts, connecting newly developing residential neighborhoods on Warsaw’s left bank with the city center. The earliest stations, particularly in the Ursynów district, were constructed in parallel with large-scale housing developments. The initial segment—from Kabaty to Pole Mokotowskie—was built using open-cut excavation supported by Berlin-type retaining walls and temporary struts. From Racławicka station onward, ground anchors gradually replaced struts, indicating a shift in stabilization methods. Diaphragm walls were introduced experimentally first at Politechnika station. Platform slab levels generally did not exceed 15 m in depth. Structural systems varied, including both monolithic prefabricated shells and flat-slab configurations. The stations were opened in stages beginning in 1995, with Centrum—the terminus of this phase—completed in 1998.

2.1.3. Phase 2: Central–Northern Section of Line M1 (1998–2006)

The second construction phase of the Warsaw Metro reflects the broader post-socialist transformation of Poland, marked by the introduction of modern construction technologies, diversified funding sources, and evolving design standards. Stations from Ratusz-Arsenał to Marymont were designed and built between 1998 and 2006, building on lessons learned during the first phase. This section traversed the central urban area, connecting the northern part of the city with the center.
For the first time in Warsaw, the cut-and-cover top–down method was applied on a larger scale. Diaphragm walls became a standard, functioning both as excavation supports and permanent structural walls, with platform slabs depths ranging from 10 m to 18 m. Architectural responsibilities were distributed among three studios selected for the first time through competitive tender: AiB—Architectural and Construction Design Office (responsible for Ratusz-Arsenał and Marymont), APA Kuryłowicz & Associates (developed the concept for Dworzec Gdański), and AMC—Andrzej M. Chołdzyński (designed Plac Wilsona, later praised by CNN and the MetroRail Conference as one of the most beautiful metro stations in Europe and the world).

2.1.4. Phase 3: Northern Terminus of Line M1 (2006–2008)

The final extension of Line M1, completed between 2006 and 2008, added four stations from Słodowiec to Młociny. This segment ran through low-density residential areas under major thoroughfares. Due to favorable hydrological and urban site conditions, all stations were constructed at shallow depths—platform slab level no deeper than 8 m—using the open-cut method. Unlike earlier phases, these stations were designed as single-level facilities, simplifying construction logistics.
Architectural responsibilities were again shared between two studios: AiB—Architectural and Construction Design Office (Słodowiec and Stare Bielany) and AMC—Andrzej M. Chołdzyński (Wawrzyszew and Młociny).

2.1.5. Phase 4: Central Section of Line M2 (2010–2015)

The central segment of Line M2, inaugurated in 2015, marked a significant technical and architectural advancement for the Warsaw Metro. The route passes under Warsaw’s dense historic center, beneath both heritage buildings and complex technical infrastructure. Traversing beneath the Vistula River, major road tunnels, and densely built urban areas, this phase required sophisticated engineering solutions.
All stations were constructed using the top–down method, supported by substantial underground diaphragm walls. Due to the river crossing, the Nowy Świat–Uniwersytet station reaches a platform slab depth of 21.95 m, with diaphragm walls 1.2 m thick. Centrum Nauki Kopernik is the deepest station, with a platform slab depth of 22.81 m and diaphragm walls 1.4 m thick. In both cases, three intermediate slabs were incorporated to resist high bending moments in the walls [16]. An unprecedented engineering approach in Warsaw was employed at Centrum Nauki Kopernik, where mining techniques enabled the metro tunnel to pass beneath an existing expressway tunnel.
The architectural design was led again by AMC—Andrzej M. Chołdzyński. However, the visual identity of the stations was further enhanced through collaboration with renowned Polish artist Wojciech Fangor, who contributed to the cohesive graphic and artistic language across this section.

2.1.6. Phase 5: Eastern Section of Line M2 (2015–2019)

The fifth phase involved the extension of Line M2 into Warsaw’s right-bank Praga district, completed in 2019. The surrounding urban contexts of the stations vary considerably: Targówek Mieszkaniowy and Trocka were located beneath wide arterial roads in predominantly low-density residential districts, whereas Szwedzka lies within a dense pre-war urban fabric, adjacent to tenement buildings in advanced structural deterioration.
All three stations were constructed using the top–down method, with platform slab depths not exceeding 15 m, consistent with contemporary metro engineering standards. The design was led by ILF Consulting Engineers, selected through an architectural competition.

2.2. Data Collection and Analytical Procedure

This study utilized a mixed-methods approach, combining qualitative and quantitative data gathered through document analysis and fieldwork. Primary sources included architectural drawings, construction records, technical reports, and design specifications obtained from Metro Warszawskie (Warsaw, Poland), design firms (Metroprojekt, Warsaw, Poland; AMC, Warsaw, Poland; ILF, Warsaw, Poland), and construction contractors. Secondary data were sourced from academic journals, conference papers, and architectural publications. To validate the design documentation, on-site observations and photographic surveys were conducted. The analysis focused on key parameters categorized into three groups: (1) Spatial layout—functional zoning, spatial dimensions, and platform hall structure; (2) Access schemes—entrance design, vertical circulation, and intermodal connections; and (3) Interior features—color and material palettes, lighting systems, and integration of art (Table 2). Based on these criteria, a comparative typology was developed to trace trends in spatial planning, technical solutions, and aesthetic strategies across different construction phases.

3. Results

3.1. Spatial Layout

3.1.1. Functional Zoning

The spatial organization of Warsaw Metro stations can be divided into three functional zones: (1) the technical zone, reserved exclusively for metro staff and service operations; (2) the passenger zone, accessible to travelers during operating hours and including circulation areas, ticket halls, and platforms; and (3) the public zone, consisting of spaces open to all users regardless of metro access—typically adjoining passageways, and street-level connections equipped with commercial space.
The configuration of the functional zones differs significantly between construction phases with Phases 1 and 3 exhibiting particularly distinctive characteristics. Phase 1 stations, constructed during the initial development of the M1 line, are predominantly single-level structures featuring island platforms. In these stations, technical zones are situated outside the station heads at platform level. Stations from Phases 2, 4, and 5 also feature island platforms but demonstrate a shift in functional zoning through more compact, multi-level layouts. In these designs, technical facilities are positioned between the station heads, above the platform hall. Phase 3 stations, while returning to a single-level configuration, are distinguished by their side platforms, with technical rooms located along both sides of the platform edges.
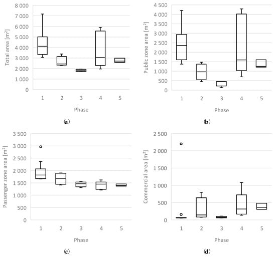
In terms of area, Phase 1 stations exhibit the largest median total, passenger, and public zones, yet paradoxically have the smallest median commercial space (Figure 2). Phase 3 stations, being more compact, have the smallest passenger and public zones, but their commercial areas remain comparable to those of Phase 1, reflecting a modest retail presence. In contrast, newer M2 line stations (Phases 4 and 5) feature significantly expanded commercial zones despite having smaller passenger and public areas, indicating a deliberate shift toward commercial integration. Except for Phase 1, the median area allocated to the passenger zone remains relatively consistent across Phases 2 through 5, suggesting the establishment of a standardized functional core designed for operational efficiency.

3.1.2. Spatial Dimensions

A functional shift between Phase 1 and the later phases enabled shorter stations and reduced structural cross-sections. As a result, Phase 1 stations remain distinctive in their internal dimensions, with lengths ranging from 270 to 380 m—significantly longer than those of subsequent phases. From Phase 2 onward, station lengths were standardized, generally not exceeding 200 m, reflecting a deliberate move toward more compact designs (Table 3).
Vertically, concourse halls and underground passageways show a clear trend toward greater spaciousness. Earlier stations (Phases 1–3) generally have hall heights between 3.3 and 4.0 m. In contrast, newer stations on Line M2 (Phases 4 and 5) range from 3.5 to 4.2 m, creating a more open and accessible passenger environment.
An important transformation is also visible in platform hall heights in the latest phases. Phase 1 and phase 2 stations often feature tall, expansive platform spaces—some reaching heights up to 9 m in their multi-level configurations. Meanwhile, M2 stations (Phases 4 and 5) tend to be lower in height, reflecting a shift in architectural priorities—maximizing openness and user comfort in entrance areas while optimizing structural volume and construction costs below platform level.
Platform widths remain consistent throughout the system. Island platforms typically measure between 10 and 12 m wide, while side platforms range from 4.5 to 4.8 m. One notable exception is Centrum station, where the side platform reaches 7 m in width to accommodate significantly higher passenger volumes due to its central location.

3.1.3. Platform Hall Structure

Most platform halls (25 out of 28 applicable stations) are designed as single-story spaces, providing a straightforward layout. However, several exceptions appear in the earliest phases (Phases 1 and 2), where more spatially diverse and architecturally expressive solutions were implemented (Table 4). Phase 1 stations showcase the greatest variety of spatial configurations. These early platform halls range from open, column-free interiors with either arched or rectangular cross-sections to multi-aisled layouts (two- or three-aisled) divided by one or two rows of columns. This diversity creates a rich typological spectrum, from monumental volumes to more intimate, rhythmically structured spaces.
In some Phase 1 and 2 stations, vertical differentiation is introduced through mezzanines or internal footbridges, adding complexity while enhancing both visual interest and passenger circulation. At Plac Wilsona, a semicircular mezzanine spans the southern end of the platform hall, serving as a distinctive architectural feature and functional overlook. Dworzec Gdański includes a footbridge crossing the platform, along with elevated viewpoints and visual connections linking the lower hall to upper-level spaces. In contrast, newer stations on Line M2 (Phases 4 and 5) adopt a more standardized and efficient design approach. These stations typically feature single-level platform halls supported by one or two rows of columns. The design focus here is on clarity, compactness, and structural regularity.

3.2. Access Scheme and Entrance Design

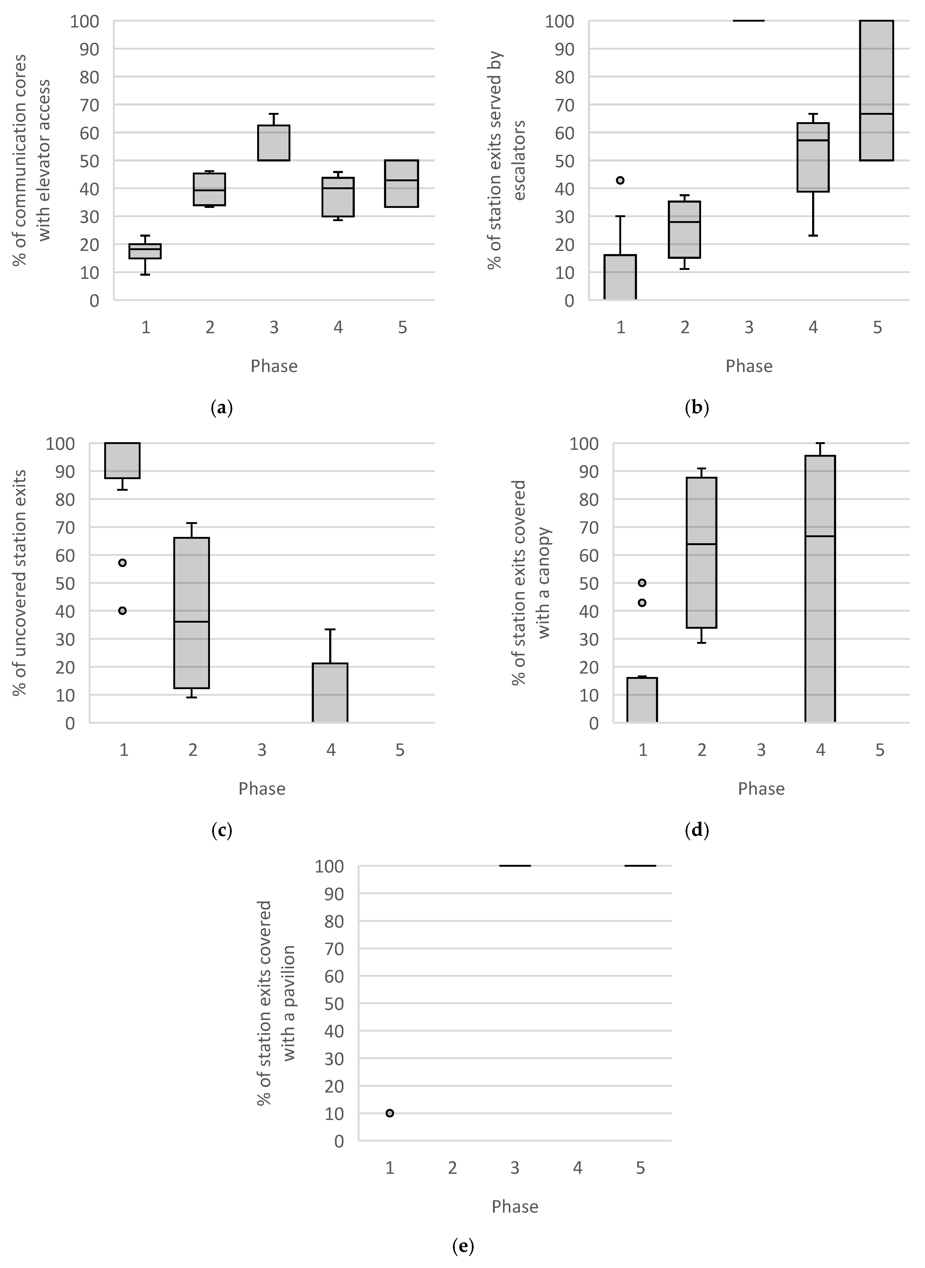
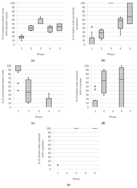
Most stations feature vertical circulation systems, with 66.8% of entrances marked by above-ground structures such as glass canopies or small pavilions. Only three stations, located in the oldest section of Line M1 (Phase 1), use horizontally oriented entrances that incorporate ramps and gentle terrain slopes to provide access. A notable example is Centrum station, which includes a gradual descent into a recessed basin approximately 3 m deep. This sunken urban square functions as a public space and connects to street level via open-air stairs, ramps, and elevators, while also integrating with the existing network of underground passages at the nearby roundabout.
From an accessibility perspective, however, Phase 1 stations are the least accommodating (Figure 3). Only 17% of their circulation shafts are equipped with elevators, and most exits rely solely on fixed stairs. Escalators were installed at just 7% of exits. In contrast, later phases show significant improvements: Phase 3 stations are particularly notable, with elevators installed in nearly all circulation cores and escalators present at every exit.
The architectural expression of entrances has also evolved across phases. In Phase 1, over 90% of exits lack overhead cover (canopy or pavilion), making them less visually prominent within the urban environment. Later phases introduced more articulated entrance designs. Phases 2 and 4 feature simple canopies made of neutral or tinted glass, each station with its own unique design. In Phase 4, these canopies are supported by steel structures and tinted in colors associated with each station—such as blue, turquoise, purple, gray, or red—enhancing station identity. Phase 3 stations stand out with architecturally expressive entrance pavilions, while Phase 5 stations employ minimalist, monolithic structures made of architectural concrete.
Despite these advancements, most stations remain disconnected from existing buildings or commercial infrastructure. Notable exceptions include Centrum station (Phase 1), which links directly to a pre-existing underground pedestrian passage, and three Phase 2 stations, which integrate with earlier underground corridors and, in one case—Dworzec Gdański—connect directly to the railway station.

3.3. Aesthetics

In most stations (17 out of 28 applicable stations) color plays a central role in interior design, serving both to support passenger orientation and to reinforce station identity (Table 5). The remaining stations are finished in subdued, monochromatic palettes. In Phase 1 stations, a distinctive color scheme was designed to reflect geographic orientation—cool greens and browns in the north, reds and pinks in the center, and warm yellows and sepia tones in the south. Each station was also intended to feature site-specific artistic elements. However, due to the economic constraints of 1980s Poland, this concept was only partially realized. Nonetheless, the stations maintain strong individual color identities, visible in platform walls, underground passages, and entrance hall finishes.
Later phases introduced more restrained design approaches. Phase 2 stations are characterized by minimalist aesthetics, emphasizing glass and metal surfaces. Phase 3 adopts a palette of natural tones—grays, beiges, and browns. In contrast, Phases 4 and 5 reintroduce color in more deliberate ways: each Phase 4 station features a dominant accent color (such as blue, turquoise, purple, gray, or red), while Phase 5 stations along the northeastern extension of Line M2 return to monochromatic compositions, prominently using raw architectural concrete.
Artistic elements also enrich the visual and spatial quality of the stations. Approximately 30% of stations (8 out of 28 applicable stations) feature integrated artworks, ranging from wall mosaics by Krzysztof Jachiewicz and Andrzej Drzewiecki (Phase 1), to reliefs by Marek Kowalski (Phase 3), and even exhibition spaces such as the one at Marymont station based on a concept by Mirosław Duchowski (Phase 2). Platform wall graphics designed by Wojciech Fangor serve as a unifying feature across all Phase 4 stations. A standout example is also Plac Wilsona (Phase 2), internationally recognized for its design quality. The station includes a monumental lighting installation that shifts in color throughout the day.
Lighting design, while primarily functional, also contributes to the spatial and aesthetic atmosphere of the stations. At 18% of stations (5 out of 28 applicable stations), lighting is treated as a key architectural element. Notable examples include the light-reflecting ceiling vault at Kabaty (Phase 1), the aforementioned monumental skylight lantern at Plac Wilsona (Phase 2), the diffused structural lighting at Wawrzyszew and Młociny (Phase 3), and the illuminated oval ceiling cutouts at Nowy Świat-Uniwersytet (Phase 4). In the remaining stations, lighting is primarily provided by integrated spotlights or suspended fluorescent fixtures. Skylights are rare, appearing in only two stations—one each from Phases 2 and 4.

4. Discussion

The spatial and architectural evolution of the Warsaw Metro reflects a dynamic response to shifting political, technological and urban conditions. Across successive construction stages, the system has transitioned from a primarily utilitarian transport infrastructure toward a more civic-oriented and human-centered public space. This trajectory shows a gradual shift from purely functional priorities toward the recognition of metro stations as key elements of urban life.
In the earliest phase, stations were designed with dual functions: not only to facilitate transit but also to serve as civil defense shelters during a period marked by political uncertainty and security concerns. This dual purpose resulted in oversized, monumental platform halls—often much taller than functionally necessary. While prioritizing durability and functionality, architects sought to humanize these underground spaces through rhythmic spatial divisions and carefully designed lighting, enhancing passenger comfort within austere structural constraints. Thus, even in Phase 1, there was an effort to balance structural robustness with a minimum level of spatial quality.
As political and technological conditions evolved, so too did functional priorities. Later phases introduced more compact station typologies focused on improving user experience. Advances in construction technology (e.g., diaphragm walls, top–down construction methods) enabled the introduction of multilevel structures, leading to more compact and economical designs. These innovations allowed for more efficient use of space, resulting in shorter stations. Ceiling heights were moderately reduced, but concourse areas were deliberately expanded to improve pedestrian flow, safety, and comfort.
These changes correspond to the adoption of international accessibility standards and growing emphasis on intuitive navigation and spatial legibility. Vertical circulation infrastructure—including elevators, escalators, and architecturally framed entrances—became standardized features, marking a shift from engineering-driven to human-centered infrastructure solutions that address both physical access and the psychological experience of movement underground [17]. This alignment with international norms demonstrates that Warsaw Metro’s design evolution was not only technologically but also socio-culturally adaptive, responding to rising expectations for inclusivity, safety, and passenger comfort.
Concurrently, the architectural language of Warsaw Metro stations evolved to balance efficiency with aesthetic quality. Early stations featured expressive color schemes, mosaic panels, and distinctive visual identities that supports intuitive wayfinding and fosters a sense of place [18]. Although budgetary constraints limited extensive artistic interventions, many stations maintained strong thematic or contextual references. Subsequent phases exhibited greater diversity: some stations adopted more restrained material palettes, while others embraced vibrant finishes, bold colors, and refined detailing. Public art remained a consistent priority, highlighted by collaborations with prominent Polish artists. A key factor stimulating this architectural diversity was the shift in how designers were selected. Whereas Phase 1 stations were designed by a single firm (Metroprojekt), architectural competitions and competitive tenders introduced from Phase 2 onward allowed for the involvement of multiple renowned architectural offices. This model not only introduced competition but also opened the door to more daring and unique solutions, best exemplified by the award-winning Plac Wilsona station. Subsequent phases continued this trend, engaging various designers and artists, such as Wojciech Fangor in Phase 4, proving that the shift in the management model was as crucial to the metro’s aesthetic evolution.
Alongside architectural enhancements, functional changes signaled a broader transformation in the social function of metro infrastructure. Initially, commercial activities were limited to small kiosks, but newer stations—particularly on Line M2—incorporate integrated retail and service spaces. This shift aligns with global trends that reimagine transit spaces as multifunctional urban hubs, promoting vibrant, everyday social interaction rather than serving solely as conduits for movement [3,4,5].
Despite these advances, a critical limitation persists: Warsaw’s metro stations largely remain physically and functionally isolated from their urban context. An exception can be found in the earliest M1 Line stations, which were constructed in parallel with adjacent residential districts; here, ramp-like entrances were more closely integrated with the emerging urban fabric. Elsewhere, entrances are typically designed as standalone canopies or pavilions, disconnected from adjacent buildings, public spaces, or pedestrian networks. There is a notable absence of underground connections that could enhance permeability and ease of movement between transit and surrounding urban fabric. Although some recent stations exhibit stronger above-ground architectural presence, comprehensive integration—such as mixed-use developments, transit plazas, or physical links to existing structures—remains rare. From an urban planning perspective, this disconnection represents a missed opportunity. In contrast to Warsaw, many cities worldwide have successfully transformed their metro stations from isolated infrastructure points into deeply integrated urban nodes. A prime example is Montreal’s underground network (RÉSO), which connects stations with shopping centers, universities, and residential buildings, creating a vibrant, weather-protected pedestrian system that enhances urban life [4,19]. Similarly, Toronto’s PATH system demonstrates how underground connections can foster social and commercial activity, turning transit hubs into multifunctional destinations [3]. Successful integration is also visible on a smaller scale, where station entrances are seamlessly incorporated into the fabric of adjacent buildings, as seen in Helsinki or Prague. These international examples underscore that the full potential of metro infrastructure is realized only when it is conceived not as an isolated system, but as a vital and embedded component of the city’s spatial, social, and cultural life [20,21]. Future expansions and retrofitting initiatives must therefore prioritize contextual integration, positioning stations as vital anchors of connectivity and social interaction. Design strategies need to address both underground functionality and surface-level urbanism, ensuring metro infrastructure aligns with broader goals of resilience, sustainability, and social cohesion.

5. Conclusions

The evolution of the Warsaw Metro demonstrates how underground transport infrastructure adapts to broader political, technological, and urban transitions. Each construction phase embodies distinct priorities: from security-oriented facilities in the early years, to compact, efficiency-driven stations shaped by modern construction methods, and finally toward contemporary typologies that integrate accessibility, legibility, and commercial functions. This progression reflects not only engineering advancement but also a growing recognition of metro stations as civic spaces.
Yet, the system’s development highlights persistent challenges. Most notably, stations remain weakly connected to their surrounding urban fabric, limiting their role as active public anchors within the city. While architectural quality and user experience have improved over time, the absence of systematic integration with surface-level public space continues to constrain their transformative potential.
The evolution of the Warsaw Metro provides several instructive lessons for addressing these challenges and guiding future development. Planning frameworks should emphasize the seamless integration of station entrances with surrounding pedestrian networks and public spaces, thereby reinforcing their function as active urban nodes. At the same time, a sustained commitment to universal design and inclusive accessibility is essential to ensure that stations serve all users equitably, strengthening the social dimension of public transport. Furthermore, fostering close collaboration among engineers, architects, artists and urban designers can enhance the cultural and civic significance of metro infrastructure, enabling stations to function not merely as transport hubs but as meaningful elements of the urban landscape. Taken together, these insights offer a strategic roadmap for the forthcoming M2 extensions and the planned M3 line, while also providing a comparative framework for other cities seeking to balance technical performance with public value.

Author Contributions

Conceptualization, K.J. and E.K.; methodology, K.J.; formal analysis, K.J.; investigation, K.J.; writing—original draft preparation, K.J.; writing—review and editing, K.J. and E.K.; visualization, K.J.; supervision, E.K.; funding acquisition, E.K. All authors have read and agreed to the published version of the manuscript.

Funding

This research received no external funding.

Data Availability Statement

The raw data supporting the conclusions of this article will be made available by the authors on request.

Acknowledgments

The authors gratefully acknowledge the National Science Centre, Poland, for supporting the data collection [grant number 2015/19/N/HS6/00607].

Conflicts of Interest

The authors declare no conflicts of interest.

Appendix A

Table A1. Key parameters of the 28 Warsaw Metro stations included in the analysis.
Table A1. Key parameters of the 28 Warsaw Metro stations included in the analysis.
PhaseYear of OpeningStation’s NameTotal Area [Thousands of m2]Depth [m] *Annual Number
of Passengers [M] *
11995Kabaty4.88.425.93
1995Natolin4.08.144.88
1995Imielin3.38.185.23
1995Stokłosy3.27.884.69
1995Ursynów3.17.93.46
1995Służew3.58.636.88
1995Wilanowska5.18.9211.01
1995Wierzbno5.58.639.40
1995Racławicka3.38.934.83
1995Pole Mokotowskie4.29.078.08
1995Politechnika4.711.713.22
1998Centrum7.214.719.79
22001Ratusz-Arsenał3.410.69.75
2003Dworzec Gdański2.49.985.84
2005Plac Wilsona2.5103.89
2006Marymont2.318.313.28
32008Słodowiec1.97.053.23
2008Stare Bielany1.95.992.26
2008Wawrzyszew1.86.693.75
2008Młociny1.77.138.11
42015Rondo Daszyńskiego3.013.186.70
2015Rondo ONZ5.211.384.64
2015Nowy Świat-Uniwersytet2.621.954.65
2015Centrum Nauki Kopernik2.022.812.76
2015Dworzec Wileński5.911.788.56
52019Szwedzka2.613.540.24
2019Targówek Mieszkaniowy2.712.860.49
2019Trocka3.014.731.12
* Depth calculated as the estimated depth of the platform slab in relation to the ground level; annual number of passengers based on data from Metro Warszawskie [22].

References

  1. Broere, W. Urban underground space: Solving the problems of today’s cities. Tunn. Undergr. Space Technol. 2016, 55, 245–248. [Google Scholar] [CrossRef]
  2. Thewes, M.; Godard, J.P.; Kocsonya, F.P.; Nisji, J.; Arends, G.; Broere, W.; Elioff, A.; Parker, H.; Sterling, R. Report on Underground Solutions for Urban Problems. ITA Report. April 2012. Available online: https://repository.tudelft.nl/islandora/object/uuid%3A27f4b9b2-6065-4454-80de-8dddf4a29ccc (accessed on 23 March 2025).
  3. Bélanger, P. Underground landscape: The urbanism and infrastructure of Toronto’s downtown pedestrian network. Tunn. Undergr. Space Technol. 2007, 22, 272–292. [Google Scholar] [CrossRef]
  4. Boivin, D.J. Montreal’s underground network: A study of the downtown pedestrian system. Tunn. Undergr. Space Technol. 1991, 6, 83–91. [Google Scholar] [CrossRef]
  5. Ma, C.-X.; Peng, F.-L.; Qiao, Y.-K.; Li, H. Evaluation of spatial performance of metro-led urban underground public space: A case study in Shanghai. Tunn. Undergr. Space Technol. 2022, 124, 104484. [Google Scholar] [CrossRef]
  6. Durmisevic, S.; Sariyildiz, S. A systematic quality assessment of underground spaces—Public transport stations. Cities 2001, 18, 13–23. [Google Scholar] [CrossRef]
  7. Jasińska, K.; Kłosek-Kozłowska, D. Passengers’ experience in underground non-transfer metro stations: The impact of spatial characteristics. Tunn. Undergr. Space Technol. 2024, 143, 105482. [Google Scholar] [CrossRef]
  8. van der Hoeven, F.; Juchnevic, K. The significance of the underground experience: Selection of reference design cases from the underground public transport stations and interchanges of the European Union. Tunn. Undergr. Space Technol. 2016, 55, 176–193. [Google Scholar] [CrossRef]
  9. Ceccato, V.; Uittenbogaard, A.; Bamzar, R. Security in Stockholm’s underground stations: The importance of environmental attributes and context. Secur. J. 2013, 26, 33–59. [Google Scholar] [CrossRef]
  10. Lee, J.Y.S.; Lam, W.H.K. Levels of Service for Stairway in Hong Kong Underground Stations. J. Transp. Eng. 2003, 129, 196–202. [Google Scholar] [CrossRef]
  11. Prasertsubpakij, D.; Nitivattananon, V. Evaluating accessibility to Bangkok Metro Systems using multi-dimensional criteria across user groups. IATSS Res. 2012, 36, 56–65. [Google Scholar] [CrossRef]
  12. Zarząd Transportu Miejskiego w Warszawie. Raport 2024; Zarząd Transportu Miejskiego w Warszawie: Warszawa, Poland, 2024. [Google Scholar]
  13. Romanowski, T. The first metro line in Warsaw. Tunn. Undergr. Space Technol. 1987, 2, 55–58. [Google Scholar] [CrossRef]
  14. Sobolewski, E. Założenia Techniczno-Ekonomiczne Budowy 1 Linii Metra w Warszawie od Młocin do Natolina: Tymczasowe Wytyczne Techniczne Projektowania Linii Metra w Warszawie; Biuro Projektów Budownictwa Komunalnego i Specjalnego “Metroprojekt”: Warszawa, Poland, 1973. [Google Scholar]
  15. Kłosiewicz, L. Na Otwarcie Pierwszej Linii Metra w Warszawie. Krajobraz Warszawski. 1995. Available online: https://architektura.um.warszawa.pl/-/krajobraz-warszawski-nr-11-kwiecien-1995 (accessed on 14 January 2019).
  16. Siemińska-Lewandowska, A.; Kuszyk, R. II linia metra w Warszawie—Metody budowy, oddziaływanie na środowisko. Nowocz. Bud. Inżynieryjne 2023, 1, 66–74. [Google Scholar]
  17. Sterling, R.L.; Carmody, J. Underground Space Design: Part 1: Overview of Subsurface Space Utilization; Part 2: Design for People in Underground Facilities, 1st ed.; John Wiley & Sons: Hoboken, NJ, USA, 1993. [Google Scholar]
  18. Passini, R. Wayfinding in Architecture; Van Nostrand Reinhold: New York, NY, USA, 1992. [Google Scholar]
  19. Durmisevic, S. The future of the underground space. Cities 1999, 16, 233–245. [Google Scholar] [CrossRef]
  20. Labbé, M. Architecture of underground spaces: From isolated innovations to connected urbanism. Tunn. Undergr. Space Technol. 2016, 55, 153–175. [Google Scholar] [CrossRef]
  21. Jasińska, K. Underground as An Integral Part of the Contemporary City: Functional, Spatial and Visual Aspects. March 2016. Available online: https://www.semanticscholar.org/paper/Underground-as-an-integral-part-of-the-contemporary-Jasi%C5%84ska/6ec85c4996b36c2589e55c8849579a9d94ad2176 (accessed on 23 March 2025).
  22. Metro Warszawskie. 2020 Raport Roczny Annual Report (No. RR2020); Metro Warszawskie: Warsaw, Poland, 2021. [Google Scholar]
Figure 1. Warsaw Metro system map. Source: Plan systemu metra w Warszawie by Obywatel A.N., licensed under CC BY-SA 4.0.
Figure 1. Warsaw Metro system map. Source: Plan systemu metra w Warszawie by Obywatel A.N., licensed under CC BY-SA 4.0.
Applsci 15 10363 g001
Figure 2. Median area values for (a) total area; (b) public zone area; (c) passenger zone area; (d) commercial area of Warsaw Metro stations across five construction phases.
Figure 2. Median area values for (a) total area; (b) public zone area; (c) passenger zone area; (d) commercial area of Warsaw Metro stations across five construction phases.
Applsci 15 10363 g002
Figure 3. Accessibility and entrance cover features of Warsaw metro stations across five phases of construction: (a) percentage of communication cores with elevator access; (b) percentage of station exits served by escalators; (c) percentage of uncovered station exits; (d) percentage of station exits covered with a canopy; (e) percentage of station exits covered with a pavilion.
Figure 3. Accessibility and entrance cover features of Warsaw metro stations across five phases of construction: (a) percentage of communication cores with elevator access; (b) percentage of station exits served by escalators; (c) percentage of uncovered station exits; (d) percentage of station exits covered with a canopy; (e) percentage of station exits covered with a pavilion.
Applsci 15 10363 g003
Table 1. The chronological stages of the construction of Warsaw Metro System (1983–2019).
Table 1. The chronological stages of the construction of Warsaw Metro System (1983–2019).
LinePhaseTime of ConstructionSectionLength# of Stations
M111983–1995Kabaty—Politechnika (southern section)11 km11
1995–1998Politechnika—Centrum1.5 km1
21998–2001Centrum—Ratusz Arsenał1.7 km2
2001–2003Ratusz Arsenał—Dworzec Gdański1.5 km1
2003–2005Dworzec Gdański—Plac Wilsona1.5 km1
2005–2006Plac Wilsona—Marymont0.9 km1
32006–2008Marymont—Młociny (northern section)3.6 km4
M242010–2015Rondo Daszyńskiego—Dworzec Wileński (central section)6.3 km7
52015–2019Dworzec Wileński—Trocka (eastern extension)3.1 km3
Table 2. Selected parameters for comparative analysis across five construction phases of Warsaw metro stations.
Table 2. Selected parameters for comparative analysis across five construction phases of Warsaw metro stations.
CategoryParameterDescription
SpatialFunctional ZoningDistribution of public, passenger, commercial and technical areas
LayoutSpatial DimensionsStation length, platform width, height and concourse height
Platform Hall StructureShape and spatial form
AccessEntrance designPresence and form of above-ground structures
SchemesVertical circulation systemsNumber of exits with escalators and elevators
Intermodal connectionsDirect connections to other above-ground or underground buildings
InteriorColor & Material PaletteDominant finishes and combinations
FeaturesLighting SchemeType and lighting concept
Art ElementsPresence of murals, installations, integrated artworks
Table 3. Spatial dimensions of Warsaw metro stations across five phases of construction.
Table 3. Spatial dimensions of Warsaw metro stations across five phases of construction.
Phase 1Phase 2Phase 3Phase 4Phase 5
Station length [m]270–380154–180142–195.7133–157.6128–161
Concourse level height [m]3.3–4.03.5–4.03.33.5–4.24.2
Island/(side) platform width [m] (7.0) 10.0–11.010.0–12.0(4.5)–(4.8)10.5–12.011.0
Platform hall height [m]4.4–7.03.5–9.03.5–4.54.04.0
Numbers in parentheses denote the width of side platforms.
Table 4. Typology of platform hall construction of Warsaw metro stations across five phases of construction.
Table 4. Typology of platform hall construction of Warsaw metro stations across five phases of construction.
Platform Hall TypePhase 1Phase 2Phase 3Phase 4Phase 5
Arched open space hall with island platform
Rectangular open space hall with island platform
Three-aisled hall with island platform
Two-aisled hall with island platform
Three-aisled hall with side platforms
Multi-level platform hall
(•) indicates the presence of the given feature in at least one station within the phase.
Table 5. Interior design patterns of Warsaw metro stations across five phases of construction.
Table 5. Interior design patterns of Warsaw metro stations across five phases of construction.
Interior Design PatternsPhase 1Phase 2Phase 3Phase 4Phase 5
Rich and vibrant color & material palette
Art elements at concourse level
Art elements at platform hall
Skylight
Lighting as a core interior shaping element
(•) indicates the presence of the given feature in at least one station within the phase.
Disclaimer/Publisher’s Note: The statements, opinions and data contained in all publications are solely those of the individual author(s) and contributor(s) and not of MDPI and/or the editor(s). MDPI and/or the editor(s) disclaim responsibility for any injury to people or property resulting from any ideas, methods, instructions or products referred to in the content.

Share and Cite

MDPI and ACS Style

Jasińska, K.; Koda, E. Evolution of Warsaw Metro Stations (1983–2019): A Phase-Based Typological Analysis. Appl. Sci. 2025, 15, 10363. https://doi.org/10.3390/app151910363

AMA Style

Jasińska K, Koda E. Evolution of Warsaw Metro Stations (1983–2019): A Phase-Based Typological Analysis. Applied Sciences. 2025; 15(19):10363. https://doi.org/10.3390/app151910363

Chicago/Turabian Style

Jasińska, Katarzyna, and Eugeniusz Koda. 2025. "Evolution of Warsaw Metro Stations (1983–2019): A Phase-Based Typological Analysis" Applied Sciences 15, no. 19: 10363. https://doi.org/10.3390/app151910363

APA Style

Jasińska, K., & Koda, E. (2025). Evolution of Warsaw Metro Stations (1983–2019): A Phase-Based Typological Analysis. Applied Sciences, 15(19), 10363. https://doi.org/10.3390/app151910363

Note that from the first issue of 2016, this journal uses article numbers instead of page numbers. See further details here.

Article Metrics

Back to TopTop