Next Article in Journal
Towards Woven Fabrics with Integrated Stainless Steel-Nickel-Carbon Thermopile for Sensing and Cooling Applications
Previous Article in Journal
Modeling and Analysis of Surface Motion Characteristics for a Dual-Propulsion Amphibious Spherical Robot
 
 
Font Type:
Arial Georgia Verdana
Font Size:
Aa Aa Aa
Line Spacing:
Column Width:
Background:
Article

Acoustic Emission and Infrared Radiation Energy Evolution in the Failure of Phosphate Rock: Characteristics and Damage Modeling

1
School of Resource and Safety Engineering, Wuhan Institute of Technology, Wuhan 430079, China
2
Engineering Research Center of Ministry of Education for the Development and Utilization of Phosphorus Resources Development and Utilization, Wuhan Institute of Technology, Wuhan 430079, China
3
Pearl River Water Resources Research Institute, Guangzhou 510640, China
4
Key Laboratory of Water Security Guarantee, Guangdong-Hong Kong-Marco Greater Bay Area of Ministry of Water Resources, Foshan 510380, China
*
Author to whom correspondence should be addressed.
Appl. Sci. 2025, 15(16), 9001; https://doi.org/10.3390/app15169001
Submission received: 6 July 2025 / Revised: 30 July 2025 / Accepted: 1 August 2025 / Published: 14 August 2025

Abstract

Accurately characterizing the energy evolution during rock failure is crucial in understanding instability mechanisms and enabling the real-time monitoring and early warning of geological hazards in mining and geotechnical engineering. However, the energy evolution characteristics and correlations of multi-physics signals like acoustic emission (AE) and infrared radiation (IR) require further investigation. This study specifically investigated the energy evolution of AE and IR and their correlation during the uniaxial compression failure process of phosphate rock. Tests were performed on specimens under different loading rates to analyze energy dissipation and damage progression. Based on damage mechanics theory, damage evolution models were developed to describe the relationship between the cumulative AE energy, IR radiation variations (specifically the change in the average infrared radiation temperature, ΔAIRT), and strain under varying loading conditions. The results indicate that the loading rate significantly influences the energy release mechanism, with higher rates intensifying rock damage. The peak AE energy rate coincides with the inflection point of the cumulative energy curve, marking substantial internal energy release at failure. Additionally, as the loading rate increases, high-temperature regions in IR thermograms appear earlier, while the variation in ΔAIRT follows a decreasing trend. From an energy perspective, the correlation between AE ringing counts and the average IR temperature was analyzed at both the precursor and failure stages, revealing a strong relationship between AE activity and thermal energy dissipation. Furthermore, mathematical expressions for rock damage variables and coupled relationship equations were derived and validated using experimental data, yielding correlation coefficients (R2) exceeding 0.92. These findings provide a theoretical and methodological foundation for the development of enhanced real-time rock monitoring and early warning systems, contributing to improved safety in geological and mining engineering.

1. Introduction

Deep rock formations subjected to high in situ stress are significantly influenced by excavation disturbances, leading to stress concentration and strain energy accumulation near excavation boundaries. When the stored strain energy exceeds the rock’s intrinsic capacity, it can result in rock bursts, spalling, or violent ejections [1,2]. The failure of rock under external loading is inherently a dynamic evolutionary process, characterized by the continuous accumulation, transfer, and dissipation of internal energy. This process is accompanied by the progressive destabilization of rock microstructures, including crack nucleation, propagation, and eventual coalescence [3] Understanding these complex failure mechanisms requires advanced monitoring techniques capable of capturing real-time energy release and mechanical responses.
Acoustic emission (AE) and infrared radiation (IR) monitoring techniques have emerged as essential tools for the study of rock damage evolution, each providing unique insights into energy dissipation processes. AE monitoring detects high-frequency elastic waves generated by crack initiation and propagation, enabling the analysis of stress variations, microfracture activity, and energy release during rock failure [4]. In contrast, IR monitoring quantifies thermal radiation changes associated with stress redistribution and energy dissipation under loading conditions, making it particularly advantageous in investigating energy transfer during rock damage [5]. The complementary nature of AE and IR techniques offers a more comprehensive understanding of rock failure dynamics. Specifically, integrating AE and IR methods can enhance early warning capabilities for rock failure in mining and deep underground engineering applications, improving excavation stability and safety assessments.
In recent years, significant research has been conducted on AE and IR signals for rock damage monitoring, revealing fundamental energy evolution patterns under various loading conditions. To analyze the energy evolution process during rock failure, researchers have employed uniaxial compression tests, cyclic loading–unloading tests, and other experimental methods in conjunction with AE and IR thermal imaging techniques. So far, AE monitoring has been widely used in rock mechanics tests. For example, Khan et al. [6] introduced novel energy ratios—the elastic-to-lost energy ratio (KED) and elastic-to-total energy ratio (KET)—to predict early failure points in sandstone with varying moisture content. Li et al. [7] and Wang et al. [8] proposed that the dynamic damage process in rocks can be revealed through AE activity, where crack propagation triggers an increase in both the AE event count and energy release. Zhang et al. [9] investigated the rock burst tendencies of limestone using AE analysis, demonstrating that the fractal dimension (D) of AE energy exhibited minimal fluctuations with increasing rock burst tendency, providing valuable insights into the energy storage and release characteristics during rock failure. Ou et al. [10] found that the AE response of rocks is closely related to the damage and fracture process. The more brittle the rock is, the less energy is dissipated before failure and the less obvious the AE precursor is, and the RA-AF values can effectively characterize the failure modes of different rocks.
Similarly, IR-based research has yielded important findings on energy dissipation behavior. Su et al. [11] analyzed AE, energy, and damage evolution in coal samples under cyclic loading, identifying nonlinear damage progression and distinct Felicity and post-Kaiser effects. Lin et al. [12] examined the infrared radiation characteristics of red sandstone with varying porosities, revealing a strong correlation between the average infrared radiation temperature (AIRT) evolution and porosity. Li et al. [13] studied the effects of angular fractures on rock damage, showing that the IR temperature on specimen surfaces initially decreased before sharply rising near peak stress, with the most pronounced variations occurring at a 45° prefabricated crack angle. Sun et al. [5] demonstrated that the localized damage severity in sandstone correlated with sudden increases in infrared radiation counts (IRCs), which also reflected changes in elastic and dissipated energy. Wang et al. [14] explored AE and strain energy evolution in deep granite, reporting that the AE activity frequency and intensity increased as rock damage progressed, with strain energy accumulation leading to abrupt energy release at critical failure points. Jiang et al. [15] investigated pore-structured rock damage under cyclic loading, discovering that AE energy accumulation followed a “stepped” pattern, with distinct step intervals depending on the material properties.
While many studies have independently analyzed AE and IR as monitoring techniques, recent research has focused on their combined use for a more comprehensive assessment of rock failure mechanisms. Wu et al. [16] conducted numerical simulations and laboratory experiments on faulted rocks, revealing that AE and IR signals exhibited similar spatial and temporal characteristics during fault rupture. Liu et al. [17] studied the variations in AE and IR in the rock burst process in roadway models with different water content and proposed the characteristics of acoustic and thermal precursors. Xiao et al. [18] analyzed the overall damage and surface damage of coal samples by AE and IR technology and revealed the inherent relation between them. Shan et al. [19] investigated the interplay between AE and IR in water-saturated coal, demonstrating a strong correlation between IR temperature changes and coal-body failure modes. Liang et al. [20] analyzed granite under freeze–thaw cycles, confirming that AE signal peaks coincided with IR temperature fluctuations. Xu et al. [21] proposed a novel quantitative infrared radiation index—the differential infrared energy change rate (DIECR), defined as the rate of change in the squared ΔAIRT per unit time. Based on AE counts and the DIECR, they established an acoustic–thermal loading–unloading response ratio. Hao et al. [22] examined AE-IR interactions in coal–rock composites, showing that combined monitoring improved failure precursor identification. Peng et al. [23] introduced a cumulative temperature damage variable to assess rock damage characteristics, while Yin et al. [24] found that the AE and IR signal intensities increased with the impact severity, leading to a transition in failure modes from tensile to shear failure.
Despite these advancements, most existing studies have focused on qualitative relationships between AE and IR signals rather than developing a robust quantitative framework for damage characterization. While previous research has successfully identified energy dissipation trends, systematic methodologies for the construction of coupled damage evolution models based on AE and IR monitoring data remain underdeveloped. Furthermore, current models lack explicit damage variables that quantitatively describe rock energy transformation during failure.
This study aimed to integrate AE and IR data into a multi-factor coupled damage evolution model, enabling the quantitative characterization of rock energy evolution and failure processes. Through controlled laboratory experiments integrating TAE and IR monitoring techniques, the damage characteristics of phosphate rock under different loading rates were systematically analyzed. Energy evolution patterns were examined, and a mathematical expression for the damage variable of phosphate rock was formulated based on the experimental findings. Additionally, using damage mechanics theory, a nonlinear fitting model was developed to describe the relationships among the loading rate, peak stress, and peak strain. The coupling mechanism between the cumulative AE energy, the temperature coefficient of variation in IR radiation, and the loading rate was also explored. The findings of this study provide both theoretical and practical insights into rock failure mechanisms, contributing to the optimization of mining processes and enhancing overall mine safety.

2. Experimental Equipment and Methods

2.1. Test Equipment and Specimen Preparation

The phosphate rock specimens were collected from a mining site and prepared following the standards set by the International Society for Rock Mechanics (ISRM) [25]. In order to reduce the interference of phosphate sample dispersion and joint characteristics on the test results, the phosphate samples were taken from the same position in the working face and the ore with high homogeneity. The phosphate samples collected onsite were brought back to the laboratory for processing and polishing. The rock cutting machine and end-face grinding machine used in the processing of phyllite specimens are shown in Figure 1.
Each specimen was precisely machined into a cylindrical shape with a diameter of 50 mm and a height of 100 mm, maintaining accuracy of ±0.02 mm. After processing, the specimens were stored indoors to maintain natural drying conditions. The specific manufacturing process was as follows: (1) a vertical diamond drill was used to extract irregular cylindrical specimens with diameters of 50 mm from large phosphate rock blocks; (2) these specimens were then placed on a rock cutting machine to be cut into cylindrical sections with 100 mm heights; (3) the two end faces of the completed specimens were polished smooth using an end-face grinding machine; (4) a total of 12 specimens were processed.
Uniaxial compression tests were conducted on phosphate rock specimens at four different loading rates: 0.0005 mm/s, 0.001 mm/s, 0.005 mm/s, and 0.01 mm/s. Twelve specimens were planned for testing, divided into four groups (A: 0.0005 mm/s, B: 0.001 mm/s, C: 0.005 mm/s, and D: 0.01 mm/s), with each group containing three specimens labeled numerically (1, 2, and 3). The numbering and basic physical parameters of the phosphorite specimens are tabulated in Table 1.
The tests were performed using an RMT-301 rock and concrete mechanical loading system, in conjunction with a DMYB-03 handheld rock burst monitor and a PXWAE-4F acoustic emission monitoring system. This setup ensured the synchronous monitoring of AE and IR signals throughout the experiment. The test setup and equipment layout are illustrated in Figure 1. The vertical effective force measurement range of the test loading machine was 10~1500 kN, and the deformation rate range was 0.0001~1 mm/s. The sensor measurement accuracy was better than 0.3%, and the resolution was higher than 0.02% F.S. It could realize the visual perception and intelligent early warning of rock burst and provide axial pressure for the loading of rock specimens. The PXWAE-4F acoustic emission monitoring system was employed for acoustic emission signal detection. Featuring a 4-channel high-precision data acquisition unit with a 1 MHz sampling frequency, it incorporates a 40 dB preamplifier and an acoustic emission sensor operating within the 75–750 kHz frequency range. The system employs a 24-bit high-precision sampling configuration with a 40 dB threshold setting, achieving a maximum sampling rate of 2.5 MHz. Moreover, the DMYB-03 handheld rock burst detector developed independently was adopted. The spectral range is 8–14 µm, the temperature sensitivity is 0.05 °C, and the frame selection and tracking functions of high- and low-temperature areas can be realized.

2.2. Test Procedure

Prior to the test, place the phyllite specimen at the center of the lower punch on the test table, with the upper punch positioned above it to maintain alignment. Install and calibrate an infrared thermal camera 1.0 m in front of the specimen. As thermal images correspond to the rock’s surface temperature distribution, select the effective area of the thermal image within the system interface to avoid boundary effects. Before loading, apply a properly sized PTFE gasket on the specimen’s top to eliminate stress concentration. Apply a 1 KN axial pre-loading force until the specimen stabilizes, and then collect the entire process’s stress–strain curve through displacement control.
To minimize initial temperature inconsistencies, a controlled cooling procedure was implemented before testing. Instead of using a rapid cooling spray, which lacked theoretical justification, a temperature stabilization protocol was adopted to ensure uniform thermal conditions across all specimens. Additionally, external influences, such as ambient temperature fluctuations, personnel movement, and airflow disturbances, were mitigated by installing a protective bracket and light shield around the testing setup [26].

3. Results and Discussion

3.1. Effect of Loading Rate on Mechanical Properties of Phlogopite

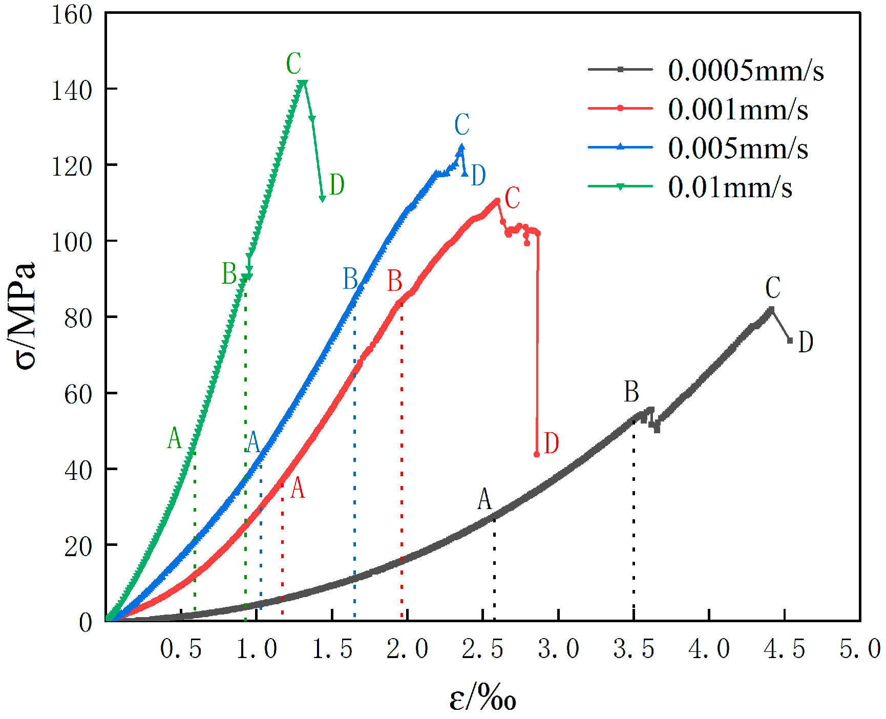
It can be seen from the stress–strain curve in Figure 2 that the uniaxial compression failure process of phyllite under different loading rates mainly experienced four stages: compaction of pore fractures, linear elasticity, plasticity, and post-peak failure.
According to the influence of the loading rate on the stress–strain curves of the rock specimens, the mechanical parameters in the uniaxial loading of phlogopite under different loading rates were statistically calculated, as shown in Table 2.
The analysis reveals that the peak strength exhibits an exponential dependence on the loading rate, with higher loading rates correlating to greater peak values and progressively slower growth rates. When the loading rate increased from 0.0005 mm/s to 0.005 mm/s, the average peak strength rose from 107.39 MPa to 141.19 MPa, representing a 31.5% increase. At 0.005 mm/s to 0.01 mm/s loading rates, the average peak strength reached 149.16 MPa, showing a 5.6% increase. Higher loading rates allow sufficient time for initial damage and microcracks to develop within the specimen. Consequently, lower strength is observed as the crack propagation duration shortens with increased loading rates, thereby reducing specimen damage and sustaining continuous strength enhancement.

3.2. Analysis of Acoustic Emission Field Energy Rate and Cumulative Energy

The acoustic emission (AE) energy rate quantifies the total energy released per unit time, while the cumulative AE energy reflects the progressive accumulation of released energy [27] Fluctuations in the AE energy rate indicate transitions between transient energy release and steady-state energy accumulation. A steep slope represents rapid energy release, whereas a shallow slope suggests sustained energy accumulation. By processing AE monitoring data, the trends of the AE energy rate and cumulative energy over time during phosphate rock failure at different loading rates were plotted [28], as shown in Figure 3.
The dynamic characteristics of phosphate rock failure can be systematically classified into six distinct stages: a calm period; particulate matter; an intermittent period of calm; particle disintegration and debris fallout; another brief period of calm; and a bursting out period [29,30,31].
During the calm period, which constitutes approximately 80% of the loading process, the AE energy rate remains low, and the cumulative energy increases gradually, representing an energy accumulation phase. This phase is followed by particle disintegration initiation, where the initial detachment of particles from the specimen surface results in a sudden surge in the AE energy rate and a stepwise increase in cumulative energy, marking the onset of energy release, as indicated by point A in Figure 3.
A transient calm interval follows, during which the AE energy rate decreases, stabilizing the cumulative energy in a step-like manner, as observed at point I in Figure 3. As loading progresses, particle fragmentation and debris ejection occur, leading to a peak in the AE energy rate at point B, coupled with a corresponding increase in cumulative energy. Another brief calm period is observed at point II, where the AE energy rate stabilizes again, while the cumulative energy exhibits a steeper increase, indicating accelerated internal energy release.
Finally, during the bursting stage, represented by point C in Figure 3, the rock undergoes catastrophic failure. This phase is marked by a dramatic surge in the AE energy rate and a sharp increase in cumulative energy, signifying the massive release of stored elastic energy. The inflection points of the cumulative energy curve align with the AE energy peaks, demonstrating that higher loading rates accelerate energy release and intensify rock failure [32].

3.3. Analysis of Evolution Characteristics of Infrared Radiation Temperature Field

Figure 4, Figure 5, Figure 6 and Figure 7 present representative infrared differential thermal images of phosphate rock specimens subjected to four different loading rates at stress levels of 20%σ, 40%σ, 60%σ, 80%σ, and 100%σ.
Figure 4, Figure 5, Figure 6 and Figure 7 illustrate the relationship between the appearance of high-temperature regions in phosphate rock specimens and the applied loading rate. The results indicate that an increase in the loading rate accelerates the emergence of red high-temperature patches in the infrared thermal images, suggesting a direct correlation between the loading rate and the concentration of internal energy [33,34].
At a low loading rate of 0.0005 mm/s, red high-temperature patches appear only at 100% of peak stress, indicating a gradual and progressive energy accumulation process. This suggests that slow deformation allows the rock to redistribute stress more evenly, delaying the onset of microcrack propagation and associated thermal anomalies.
At moderate loading rates of 0.001 mm/s and 0.005 mm/s, red high-temperature patches appear at 80% of peak stress, demonstrating that energy dissipation occurs earlier in the loading process. This suggests that, at intermediate strain rates, the rock structure reaches a critical damage threshold sooner, leading to a more rapid thermal response due to increased microcrack formation and friction-induced heating.
At the highest loading rate of 0.01 mm/s, red high-temperature patches emerge as early as 60% of peak stress, signifying an accelerated process of energy concentration and release. At this rate, the rock’s internal energy storage capacity is exceeded at an earlier stage, causing microcracks to coalesce into macroscopic fractures more rapidly. This is accompanied by increased frictional heating along crack interfaces, resulting in a more pronounced infrared radiation response.
These observations suggest that, as the loading rate increases, the thermal response of the rock becomes both more intense and more advanced in time. This phenomenon can be attributed to the fact that higher loading rates restrict the rock’s ability to redistribute stress, leading to localized energy concentration and more abrupt failure patterns. Consequently, microcrack evolution is accelerated, promoting rapid thermal emission and the expansion of high-temperature zones. The infrared thermal response thus serves as a key indicator of the energy dissipation process, with earlier and more intense infrared signals correlating with higher loading rates and increased rock instability.
These findings highlight the critical role of the loading rate in governing the damage evolution mechanism of phosphate rock, demonstrating that infrared thermography is an effective tool for the monitoring of internal structural changes and predicting failure onset. The shift in high-temperature patch formation at different stress levels further validates the strong coupling between mechanical loading, energy accumulation, and thermal emission. This reinforces the importance of integrating infrared radiation analysis with acoustic emission monitoring for a more comprehensive assessment of rock damage and failure precursors.

3.4. Average Infrared Radiation Temperature Change Characteristics

In infrared radiation signal processing, noise reduction is essential to prevent significant image quality degradation. To achieve this, infrared data denoising was applied, and the average infrared radiation temperature (AIRT) in temperature difference mode was selected to quantitatively characterize the surface temperature variations during rock failure [35]. The relationship between stress, the AIRT, and the loading time under different loading rates was plotted to analyze temperature and stress evolution over time during phosphate rock failure. These relationship curves are presented in Figure 8.
The infrared radiation (IR) temperature variations of phosphate rock specimens at different loading rates exhibit distinct phase transitions, which can be categorized into four key stages: an initial fluctuation period, a temperature stabilization period, a rapid temperature drop period, and a rapid warming period. The thermal response of phosphate rock under uniaxial loading is directly linked to crack propagation, energy dissipation, and material instability, all of which are significantly influenced by the loading rate.
At a low loading rate of 0.0005 mm/s, the IR temperature evolution follows a stepwise increase. During the temperature drop period, the temperature decreases by 0.2 °C, which can be attributed to gas discharge from internal pores as the pore pressure density reduces, leading to energy loss. Subsequently, during the rapid warming period, surface debris detaches due to progressive crack coalescence, and the IR temperature increases sharply by 0.4 °C, indicating localized heat generation from friction between fractured surfaces.
At a moderate loading rate of 0.001 mm/s, the temperature initially drops by 0.1 °C during the initial fluctuation period, reflecting minor microcrack compaction and localized stress redistribution. However, during the rapid warming period, a stepwise 0.2 °C increase is observed, coinciding with the formation of macroscopic tensile cracks. This suggests that, at moderate loading rates, energy dissipation occurs more gradually than at lower rates, with thermal anomalies corresponding to specific damage stages.
At a higher loading rate of 0.005 mm/s, the initial fluctuation period exhibits a slow, steady temperature increase, followed by a brief, minor temperature drop during the rapid temperature drop period. This cooling effect is likely caused by the sudden release of accumulated elastic energy, resulting in transient crack relaxation. As loading continues, the temperature rises rapidly when macroscopic failure occurs, reinforcing the notion that higher loading rates accelerate crack growth and energy dissipation into heat.
At the highest loading rate of 0.01 mm/s, initial warming of 0.1 °C occurs, followed by a stabilization period where gas discharge from internal pores leads to cooling. However, during the rapid warming period, the rock undergoes catastrophic failure, with significant crack propagation and frictional slip between newly formed crack surfaces, leading to a 0.2 °C temperature surge. The pronounced temperature rise at this stage indicates that, at high loading rates, the energy accumulated within the rock is quickly released over a short duration, triggering abrupt thermal responses.
The above analysis reveals a clear trend: as the loading rate increases, infrared radiation temperature evolution follows a progressively fluctuating pattern, while the overall captured temperature change (∆AIRT) decreases. Lower loading rates allow for gradual energy dissipation, resulting in a more stable, stepwise temperature increase. In contrast, higher loading rates accelerate microcrack nucleation and growth, facilitating rapid crack coalescence and macrocrack formation. Consequently, the temperature curve exhibits sudden jumps and fluctuations. At high loading rates, energy release is concentrated within a shorter time frame, leading to lower cumulative temperature changes. This occurs because the rapid expansion of microcracks reduces the material’s capacity to store and sustain elastic energy, resulting in a sharp but brief thermal response. The slope of the ∆AIRT curve decreases with increasing loading rates, indicating that high strain rates promote failure with less prolonged thermal buildup. Instead of gradual heat accumulation, energy is released suddenly in a burst-like manner, limiting the temperature variation observed in infrared thermography.
These findings highlight the critical influence of the loading rate on the thermal and mechanical response of phosphate rock. The observed IR temperature evolution provides valuable insights into real-time rock failure mechanisms, which can be leveraged for early warning systems in geotechnical engineering and mining operations. The correlation between temperature anomalies and damage progression suggests that integrating infrared radiation with other real-time monitoring techniques, such as acoustic emission (AE) analysis, can significantly enhance the accuracy of rock stability assessments. Furthermore, the distinct thermal signatures at different damage stages offer a potential quantitative basis for the evaluation of structural integrity and optimization of safety measures in underground excavations and high-stress environments.

3.5. Analysis of Correlation Between Acoustic Emission and Infrared Radiation from Energy Perspective

Four representative test groups were selected to plot the variation curves for stress, AE ringing counts, and the IR temperature over time. Additionally, the underlying causes of IR temperature changes were identified, where ① represents frictional heat generation, ② denotes thermoelastic effects, and ③ corresponds to crack propagation, as shown in Figure 9.
During the initial compaction stage (I), the external load applied to the phosphate rock specimen is minimal, causing the gradual closure of pores and pre-existing microcracks within the rock matrix. At this stage, AE activity remains weak, indicating that internal damage is negligible. However, a gradual increase in the IR temperature is observed, primarily due to the thermomechanical effects of crack closure. The slow temperature rise suggests that minor frictional interactions between internal particles generate heat, albeit without significant structural damage. This phase represents the fundamental energy accumulation stage preceding crack nucleation.
As the loading increases and the specimen enters the linear elasticity stage (II), stress-induced deformation occurs, while the structural integrity of the rock remains largely intact. AE signals remain low and relatively stable, as microcrack initiation is still limited. Meanwhile, the IR temperature exhibits minor fluctuations, indicating that heat generation primarily results from elastic deformation rather than frictional dissipation from crack propagation. This stage serves as a precursor to damage, with energy progressively stored in the rock, setting the foundation for subsequent crack evolution.
The plastic deformation stage (III) is marked by rapid microcrack propagation and coalescence, ultimately leading to macroscopic fracture formation. This results in a sharp increase in AE activity, reflecting intensified crack interactions and material failure. A brief calm period in the AE signal precedes another surge, corresponding to internal stress redistribution within the specimen. Simultaneously, the IR temperature rises significantly, driven by frictional heat at crack interfaces and shear-induced energy dissipation. This stage signifies a critical transition from stable deformation to catastrophic failure, characterized by pronounced variations in both AE and IR signals.
In the post-peak damage stage (IV), the structural integrity of the phosphate rock specimen is severely compromised, causing a rapid decline in the IR temperature as the material fractures and releases stored thermal energy. However, AE signals remain highly active, capturing ongoing fragmentation, debris collapse, and the formation of new fracture surfaces. The observed discrepancy between AE and IR behavior suggests that IR primarily reflects surface-level damage, whereas AE continues to monitor internal fracture evolution. As the fragmentation process introduces new fracture surfaces, the infrared thermal imaging characteristics change, resulting in localized temperature variations.
The correlation between AE signals and IR temperature variations provides critical insights into phosphate rock fracture dynamics under different loading rates. Notably, AE signals exhibit an early-stage response, preceding significant IR temperature changes. For example, at a loading rate of 0.0005 mm/s, the AE count surges around 413 s, while the IR temperature remains relatively unchanged. A similar trend is observed at 0.001 mm/s, where the AE signals fluctuate at 117.08 s, yet the IR temperature remains subdued. As the loading rate increases to 0.005 mm/s and 0.01 mm/s, AE activity intensifies even earlier, reinforcing the notion that AE is a more sensitive precursor to damage than IR thermal imaging.
A comprehensive comparison of the IR and AE variations suggests that microcrack initiation and elastic wave emissions occur before noticeable temperature changes in the specimen. This confirms that AE can serve as an early warning indicator of structural instability, while IR monitoring provides complementary information about macro-scale damage progression. During the transition from the elastic to plastic stage, AE signals escalate rapidly, followed by a delayed IR temperature surge. This sequence highlights the progressive nature of energy dissipation, where internal stress redistribution first manifests as AE emissions before becoming thermally detectable.
Given the complexity of rock fracture in real-world applications, the integrated use of AE and IR monitoring techniques significantly enhances rock stability assessment. AE technology effectively captures subsurface damage evolution, while IR imaging provides spatially resolved surface temperature distribution, allowing for a more comprehensive evaluation of rock failure mechanisms. The strong correlation between these two indicators underscores their potential for early warning systems in mining and geotechnical engineering, offering a robust framework for the prediction of rock failures and the mitigation of associated hazards.

4. Phosphorate Rock Damage Evolution Analysis Under Load

4.1. Modeling of Damage in Phosphorate Rock at Different Loading Rates

To investigate the relationship between the AE signals generated by energy dissipation and IR during the rock damage process, an in-depth analysis of the AE characteristics and IR variation patterns is conducted based on damage mechanics theory. The cumulative AE energy parameter is used to characterize internal rock damage variables, while the cumulative coefficient of variation (CV) of IR is employed to describe the evolution of surface damage in phosphate rock. A relationship is established between the cumulative AE energy, the cumulative IR coefficient of variation (IRCV), and strain, leading to the development of a damage evolution model for phosphate rock under different loading rates [36].
In displacement-controlled loading mode, there is a linear relationship between rock strain and time, which can be expressed as follows:
ε = k t + ε 0
where k is the slope of the fitted curve, and ε0 is the initial strain, obtained from test data fitting.
The AE accumulative energy and time for phosphate rock specimens loaded at rates of 0.0005 mm/s, 0.001 mm/s, 0.005 mm/s, and 0.01 mm/s yield the following functional relationships:
E A E = A 2 + ( A 1 A 2 ) / ( 1 + exp ( ( t B ) / C ) )
E A E = A 1 exp ( t / F )
E A E = a t b
where a and b are constants, and A1, A2, B, C, and F are obtained through experimental data fitting.
By substituting Equation (1) into Equations (2)–(4), the expressions for the AE cumulative energy as a function of strain are derived:
E A E = A 2 + ( A 1 A 2 ) / ( 1 + exp ( ε ε 0 k B k C )
E A E = A 1 exp ( ε ε 0 k F )
E A E = a ( ε ε 0 k ) b
Similarly, by analyzing the cumulative variation coefficient of the IR temperature over time, the following equation is obtained:
Y I R = c t d
where c and d are constants.
By combining Equations (1) and (8), the cumulative variation coefficient of the IR temperature can be expressed in terms of strain:
E I R = c ( ε ε 0 k ) d
Rock materials exhibit non-homogeneous and anisotropic behavior. When subdivided into multiple microelements, each microelement exhibits different strength properties. The strength of these microelements follows a Weibull distribution:
φ ( ε ) = m α ε m 1 e x p ( ε m α )
where m and   α   are Weibull distribution parameters related to the degree of rock homogeneity. These parameters are defined as follows:
m = 1 l n ( E ε C / σ C )
α = m ε C m
where σC represents the peak stress and εc represents the peak strain.
A linear fit of the specimen peak intensity at different loading rates yields the following relationship:
y = 150.31 42.26 e ( ξ / 0.0028 )
where y represents the peak intensity of the specimen (MPa), x is the loading rate (mm/s), and R2 is the correlation coefficient.
According to mechanical theory, the peak stress variation with the loading rate is given by
σ C = ( 150.31 42.26 × exp ( v 0.0028 ) × 1 1962.5
Similarly, the average peak strain and its dependence on the loading rate are fitted, as illustrated in Figure 10:
ε C = c v d
By substituting Equations (14) and (15) into Equation (11), the following relationship is obtained:
m = 1 ln ( ( E c v d ) / ( 150.31 42.26 × exp ( v 0.0028 ) ) × 1 1962.5
Incorporating Equation (16) into Equation (12) yields
α = m × ε m
The damage variable D is associated with the microdestruction probability density function as follows:
d D d ε = φ ( ε )
From Equations (10) and (16), the relationship between the damage variable D and the strain ε is expressed as
D = 0 ε φ ( ε ) d ε = 1 exp ( ε m α )
By combining Equations (5)–(7) with Equation (18), the relationship between cumulative AE energy EAE and the damage variable D is derived:
D = 1 exp ( 1 ( k C ln A 1 E A E E A 2 + ε 0 + k B ) m )
D = 1 exp ( 1 ( ε 0 + k ( E A E a ) 1 b ) m )
where a and b are constants, and A1, A2, B, C, and F are obtained from experimental data fitting.
Similarly, by combining Equations (9) and (17), the relationship between the cumulative coefficient of variation of the IR temperature Y I R and the damage variable D is given by
D = 1 exp ( 1 ( ε 0 + k ( E I R c ) 1 d ) m )
Coupling Equations (16) and (17) with Equations (20) and (21), the model describing the coupling relationship between the cumulative AE energy, loading rates, and damage variable is obtained:
D = 1 exp ( 1 α ( k C ln A 1 E A E E A E A 2 + ε 0 + k B ) m )
D = 1 exp ( 1 α ( ε 0 k F ln E A E A 1 ) m )
D = 1 exp ( 1 α ( ε 0 + k ( E A E a ) 1 b ) m )
Similarly, coupling Equations (16) and (17) with Equation (22), the model describing the coupled relationship between the cumulative IR temperature coefficient of variation, loading rates, and damage variable is expressed as
D = 1 exp ( 1 α ( ε 0 + k ( E I R c ) 1 d ) m )

4.2. Model Validation and Analysis

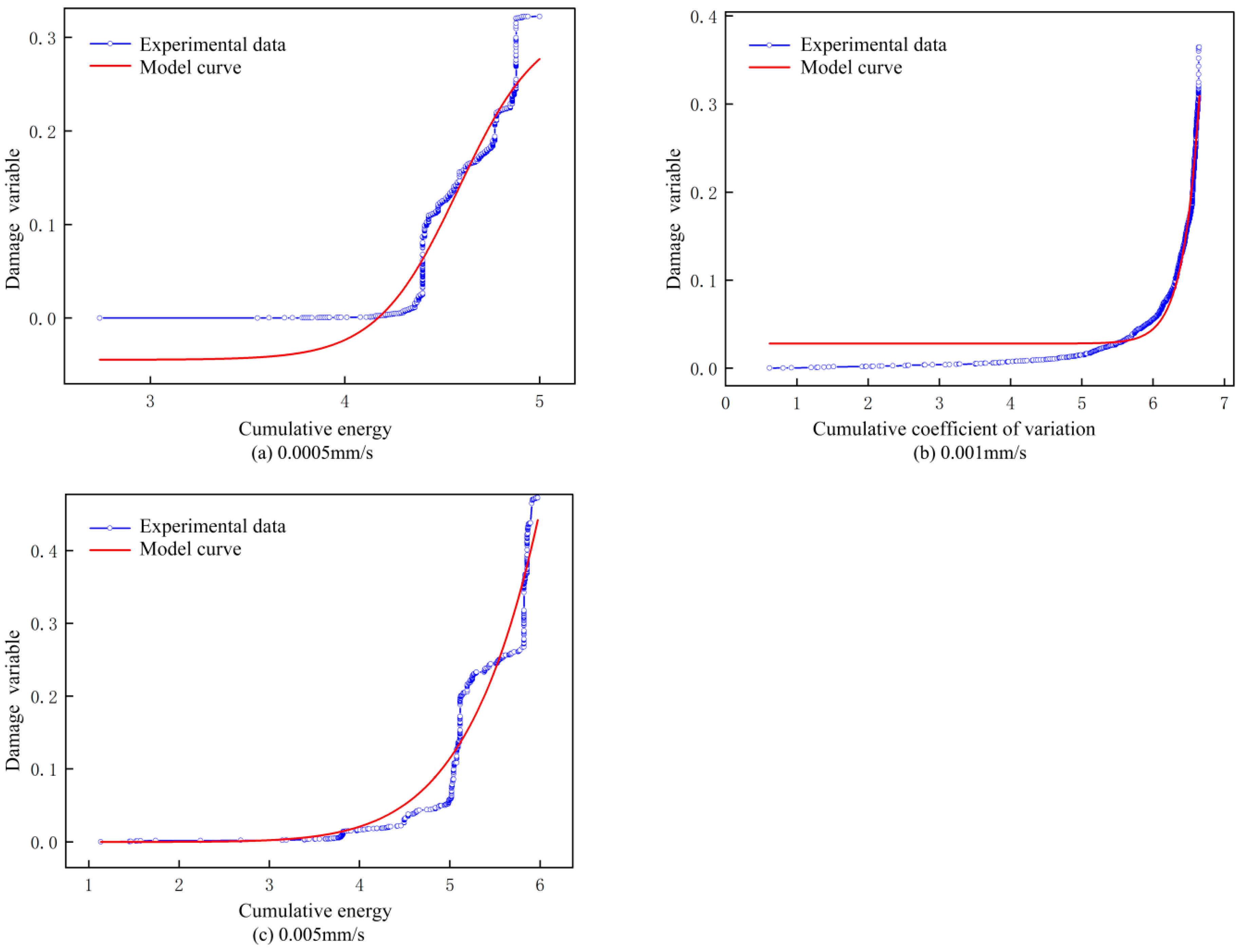
To verify the rationality and reliability of the proposed model, laboratory test data on AE and IR under the uniaxial compression of phosphate rock specimens were utilized. The required model parameters corresponding to different loading rates were obtained through data fitting, as presented in Table 3 and Table 4.
By substituting the fitted parameters into Equations (23)–(26), the theoretical constitutive relationship curves were generated and subsequently compared with experimental data. The results exhibited a high degree of agreement between the theoretical model predictions and the observed experimental trends, as illustrated in Figure 11 and Figure 12.
The correlation coefficients R2 for all cases exceeded 0.92, confirming the robustness and reliability of the proposed damage constitutive model. This strong correlation indicates that the model effectively captures the fundamental characteristics of phosphate rock failure across different loading rates, providing a quantitative framework for understanding its damage evolution.
The validation results highlight the effectiveness of the defined damage variables, which are based on both the cumulative AE energy and the coefficient of variation of the IR temperature. These parameters accurately characterize the progressive damage mechanisms within the rock, capturing both internal stress redistribution and surface energy dissipation processes. The model’s ability to predict rock behavior across varying loading rates underscores its practical significance in geotechnical applications, particularly for rock stability assessment and mining safety.
Furthermore, the high accuracy of the constitutive model suggests that the coupling relationship between AE energy accumulation and IR temperature variation serves as a reliable indicator of rock damage progression. This finding is critical for real-world applications requiring the continuous monitoring of rock structures. By integrating acoustic and thermal signals, the model offers a comprehensive approach to assessing structural integrity and enabling early failure detection. Future refinements may involve incorporating additional environmental factors, such as moisture content and temperature fluctuations, to enhance the model’s applicability across diverse geological conditions.

5. Conclusions

This study systematically investigates the damage characteristics and energy evolution of phosphate rock under different loading rates by integrating AE and IR monitoring technologies in controlled laboratory tests. A damage evolution model was developed to describe the relationship between the cumulative AE energy, IR variability, and strain under varying loading conditions.
The findings indicate that the loading rate plays a crucial role in the energy release mechanism, with higher loading rates leading to accelerated energy dissipation and intensified rock damage. The AE energy rate peaks at the inflection point of the cumulative energy curve, signifying the substantial release of internal energy as the rock approaches failure. IR monitoring further reveals distinct thermal response patterns: at low loading rates, the temperature increases stepwise, while, at high loading rates, a step fluctuation pattern emerges with reduced temperature variation slopes. A comparative analysis of the AE and IR signals demonstrates that, during the plastic deformation stage, both AE activity and the IR temperature rise sharply, corresponding to rapid energy dissipation. The strong correlation between these two monitoring techniques suggests that their combined application can enhance rock stability assessments in practical mining operations. Additionally, a Weibull statistical damage model was formulated using AE and IR data from uniaxial compression tests. The model’s theoretical curves aligned well with the experimental results, with R2 values exceeding 0.92, confirming its reliability in characterizing the rock damage evolution process.
Future research should validate the model in field conditions, integrate multi-scale damage analysis with numerical simulations, and develop intelligent AE-IR systems for real-time assessments. Exploring environmental factors like moisture, pressure, and temperature will improve the predictive accuracy. Comparative studies with technologies such as digital image correlation and computed tomography could enhance the understanding of rock failure, boosting mining safety and efficiency.

Author Contributions

Conceptualization, M.L. and X.P.; methodology, Y.C. and X.P.; software, X.L. (Xianglong Liu).; validation, M.L., Q.L. and X.L. (Xiqi Liu).; formal analysis, X.P.; investigation, X.P. and Y.C.; resources, M.L.; data curation, X.P.; writing—original draft preparation, X.P. and Y.C.; writing—review and editing, M.L., Q.L. and X.L. (Xiqi Liu); supervision, M.L. and Q.L.; funding acquisition, M.L. and X.L. (Xiqi Liu). All authors have read and agreed to the published version of the manuscript.

Funding

This research was funded by the National Natural Science Foundation of China grant number 52174085, 42077228, 42407253), the Wuhan Institute of Technology Innovation Fund grant number CX2024043, the Open Project of Engineering Research Center of Phosphorus Resources Development and Utilization of Ministry of Education grant number NECP2022-08, and the Guangdong Basic and Applied Basic Research Foundation grant number 2025A1515010547. And The APC was funded by the Open Project of Engineering Research Center of Phosphorus Resources Development and Utilization of Ministry of Education.

Acknowledgments

Funding for this work was provided by the National Natural Science Foundation of China (No. 52174085, No. 42077228, No. 42407253), the Wuhan Institute of Technology Innovation Fund (CX2024043), and the Guangdong Basic and Applied Basic Research Foundation (2025A1515010547).

Conflicts of Interest

The authors declare that they have no known competing financial interests or personal relationships that could have appeared to influence the work reported in this paper.

References

  1. Lin, M.; Gao, C.; Xia, Y.; Zhang, D.; Liu, X.; Liang, X. Rock burst initiation and precursors in a model specimen based on acoustic emission and infrared monitoring. Arab. J. Geosci. 2022, 15, 333. [Google Scholar] [CrossRef]
  2. Li, X.; Wang, H.; Zhao, Y.; Xue, H.; Li, L. Experimental investigation into rock burst proneness of rock materials considering strain rate and size effect. Front. Earth Sci. 2023, 11, 1169750. [Google Scholar] [CrossRef]
  3. Zhang, Z.; Xie, H.; Zhang, R.; Zhang, Z.; Gao, M.; Jia, Z.; Xie, J. Deformation damage and energy evolution characteristics of coal at different depths. Rock Mech. Rock Eng. 2019, 52, 1491–1503. [Google Scholar] [CrossRef]
  4. Shen, F.; He, S.; Song, D.; He, X.; Yang, G.; Baig, O. Response characteristics of acoustic emission signal and judgment criteria for different fracture modes. Eng. Fract. Mech. 2024, 296, 109862. [Google Scholar] [CrossRef]
  5. Sun, H.; Zhu, H.-Y.; Han, J.; Fu, C.; Chen, M.-M.; Wang, K. Energy and infrared radiation characteristics of the sandstone damage evolution process. Materials 2023, 16, 4342. [Google Scholar] [CrossRef] [PubMed]
  6. Khan, N.M.; Ma, L.; Cao, K.; Hussain, S.; Liu, W.; Xu, Y.; Yuan, Q.; Gu, J. Prediction of an early failure point using infrared radiation characteristics and energy evolution for sandstone with different water contents. Bull. Eng. Geol. Environ. 2021, 80, 6913–6936. [Google Scholar] [CrossRef]
  7. Li, J.; Zhao, J.; Wang, H.C.; Liu, K.; Zhang, Q. Fracturing behaviours and AE signatures of anisotropic coal in dynamic Brazilian tests. Eng. Fract. Mech. 2021, 252, 107817. [Google Scholar] [CrossRef]
  8. Wang, Z.; Yang, Y.; Xu, Y.; Xin, C.; Liang, P.; Guo, N. Analysis of energy evolution and acoustic emission characteristics of rocks under cyclic loading and unloading. Appl. Sci. 2023, 13, 10453. [Google Scholar] [CrossRef]
  9. Zhang, H.; Chen, Q.; Wang, X.; Zhao, K.; Zeng, Q. Acoustic emission parameter characterization of damage process of the limestone with different rockburst tendencies. Minerals 2022, 12, 1423. [Google Scholar] [CrossRef]
  10. Ou, J.; Wang, E.; Wang, X.; Wang, B.; Zhu, G. Acoustic emission characteristics and damage evolution of different rocks under uniaxial compression conditions. Sci. Rep. 2024, 14, 4179. [Google Scholar] [CrossRef]
  11. Su, Z.; Jing, S.; Xie, W.; Tang, Q. Research on coal acoustic emission characteristics and damage evolution during cyclic loading. Front. Earth Sci. 2022, 10, 818452. [Google Scholar] [CrossRef]
  12. Lin, Y.; Zheng, Z.; Zhou, K.; Gu, Z.; Pan, Z. Research on the characteristics of infrared radiation and energy evolution law of red sandstone with different porosity during uniaxial compression. Sustainability 2022, 14, 7698. [Google Scholar] [CrossRef]
  13. Li, B.; He, Y.; Li, L.; Zhang, J.; Shi, Z.; Zhang, Y. Damage evolution of rock containing prefabricated cracks based on infrared radiation and energy dissipation. Theor. Appl. Fract. Mech. 2023, 125, 103853. [Google Scholar] [CrossRef]
  14. Wang, C.; Du, G.; Han, Y.; He, K.; Li, E. Evolution characteristics of acoustic emission and strain energy for deep granite under different damage stages. Geomech. Geophys. Geo-Energy Geo-Resour. 2023, 9, 14. [Google Scholar] [CrossRef]
  15. Jiang, H.; Dang, J.; Chen, G.; Wang, X.; Li, K.; Chen, Z.; Cao, S.; Liu, J. Acoustic emission characteristics and energy evolution law of rock damage process of different pore structures under cyclic loading. Sci. Rep. 2024, 14, 1850. [Google Scholar] [CrossRef]
  16. Wu, L.; Tang, C.A.; Zhong, S.; Wu, Y.; Zhang, H.; Tan, Z. Comparison of thermal infrared radiation from discontinuous jointed faults fracturing with its acoustic emission and stress field. Yanshilixue Yu Gongcheng Xuebao/Chin. J. Rock Mech. Eng. 2006, 25, 1111–1117. [Google Scholar]
  17. Liu, X.; Liang, Z.; Zhang, Y.; Liang, P.; Tian, B. Experimental study on the monitoring of rockburst in tunnels under dry and saturated conditions using AE and infrared monitoring. Tunn. Undergr. Space Technol. 2018, 82, 517–528. [Google Scholar] [CrossRef]
  18. Xiao, F.; He, J.; Liu, Z.; Shen, Z.; Liu, G. Analysis on warning signs of damage of coal samples with different water contents and relevant damage evolution based on acoustic emission and infrared characterization. Infrared Phys. Technol. 2019, 97, 287–299. [Google Scholar] [CrossRef]
  19. Shan, T.; Li, Z.; Zhang, X.; Niu, Y.; Tian, H.; Zhang, Q.; Zang, Z.; Gu, Z.; Cai, C.; Liu, C. Infrared radiation and acoustic emission of damage evolution and failure precursory for water-bearing coal. Rock Mech. Rock Eng. 2022, 55, 7657–7674. [Google Scholar] [CrossRef]
  20. Liang, Y.; Yang, Q.; Zhu, L.; Jiang, T.; Gao, M. Study on the acoustic emission and thermal infrared signal characteristics of granite with freeze-thaw damage in cycle loading process. Front. Earth Sci. 2022, 10, 1002888. [Google Scholar] [CrossRef]
  21. Xu, H.; Ma, L.; Cao, K.; Khan, N.M.; Hussain, S.; Niu, D.; Alarifi, S.S.; Bacha, S. Precursors of cyclic loading and unloading sandstone failure based on “acoustic-thermal” loading–unloading response ratio. Sustainability 2023, 15, 10158. [Google Scholar] [CrossRef]
  22. Hao, T.; Wang, G.; Li, F.; Tang, Y.; Yuan, M. Study on the characteristics of acoustic-thermal precursors of destabilization damage in coal-rock combination bodies with different proportions. Sci. Rep. 2024, 14, 25661. [Google Scholar] [CrossRef]
  23. Peng, S.; Yang, Y.; Xu, Q.; Xu, J.; Qin, C.; Nong, X. Study on Impact Tendency and Damage Characteristics of Rock-Like Materials Based on Acoustic and Thermal Responses. Rock Mech. Rock Eng. 2024, 57, 10367–10383. [Google Scholar] [CrossRef]
  24. Yin, S.; Li, Z.; Wang, E.; Liu, Y.; Niu, Y.; Yang, H. Damage Status and Failure Precursors of Different Coal Impact Types Based on Comprehensive Monitoring of Infrared Radiation and Acoustic Emission. Appl. Sci. 2024, 14, 8792. [Google Scholar] [CrossRef]
  25. Fairhurst, C.E.; Hudson, J.A. Draft ISRM suggested method for the complete stress-strain curve for intact rock in uniaxial compression. Int. J. Rock Mech. Min. Sci. 1999, 36, 279–289. [Google Scholar]
  26. Cai, R.; Pan, Y.; Xiao, Y.; Liu, F. Study on Loading Rate and Rock–Coal Strength Ratio Effect on Mechanical Properties of Coal–Rock Combination. J. Min. Sci. 2024, 60, 196–209. [Google Scholar] [CrossRef]
  27. Wang, H.; Zhao, F.; Huang, Z.; Yu, H.; Niu, J.; Zhang, P. Study on acoustic emission characteristics of sandstone under different fracture modes. Arab. J. Geosci. 2018, 11, 772. [Google Scholar] [CrossRef]
  28. Jin, X.; Zheng, J. Acoustic Emission Features of Anthracite under the Influence of Loading Rate. Ann. De Chim. Sci. Des Matériaux 2021, 45, 393. [Google Scholar] [CrossRef]
  29. Liu, S.; Zheng, H.; Chen, G.; Hu, Y.; Meng, K. Acoustic emission precursor information of rock failure under true triaxial loading and unloading conditions. Front. Earth Sci. 2023, 11, 1182413. [Google Scholar] [CrossRef]
  30. Cao, A.; Jing, G.; Ding, Y.-L.; Liu, S. Mining-induced static and dynamic loading rate effect on rock damage and acoustic emission characteristic under uniaxial compression. Saf. Sci. 2019, 116, 86–96. [Google Scholar] [CrossRef]
  31. Zha, E.; Zhang, R.; Zhang, Z.; Ai, T.; Ren, L.; Zhang, Z.; Liu, Y.; Lou, C. Acoustic emission characteristics and damage evolution of rock under different loading modes. Energies 2020, 13, 3649. [Google Scholar] [CrossRef]
  32. Wang, C.; Wan, H.; Ma, J.; Chen, X.; Oterkus, E. Acoustic Emission Characteristics and Initiation Mechanism of Instantaneous Rock Burst for Beishan Granite. Shock. Vib. 2024, 2024, 6813580. [Google Scholar] [CrossRef]
  33. Gao, C.; Lin, M.; Lu, Y.; Zhang, D.; Feng, G.; Liang, X. Characteristics of infrared radiation in the failure of phosphate rock at different loading rates. Front. Earth Sci. 2022, 9, 812661. [Google Scholar] [CrossRef]
  34. Gao, C.; Wang, L.; Lin, M.; Zheng, L.; Zhu, L.; He, Y.; An, C.; Liang, X. Study on the acoustic-thermal effects and damage models during uniaxial compression failure process of phosphorite with different H/Di. Infrared Phys. Technol. 2024, 138, 105267. [Google Scholar] [CrossRef]
  35. Liu, S.J.; Wu, L.X.; Zhang, Y.B.; Chen, Q.L. Change feature of infrared radiation from loaded damp rock. J. Northeast. Univ. (Nat. Sci.) 2010, 31, 265. [Google Scholar]
  36. Zhang, K.; Liu, X.; Chen, Y.; Cheng, H. Quantitative description of infrared radiation characteristics of preflawed sandstone during fracturing process. J. Rock Mech. Geotech. Eng. 2021, 13, 131–142. [Google Scholar] [CrossRef]
Figure 1. Schematic diagram of the experimental system.
Figure 1. Schematic diagram of the experimental system.
Applsci 15 09001 g001
Figure 2. Stress–strain curves of the destruction process of phlogopite under different loading rates.
Figure 2. Stress–strain curves of the destruction process of phlogopite under different loading rates.
Applsci 15 09001 g002
Figure 3. Characteristics of acoustic emission energy parameters during the failure of phosphate rock at different loading rates: (a) 0.0005 mm/s, (b) 0.001 mm/s, (c) 0.005 mm/s, and (d) 0.01 mm/s.
Figure 3. Characteristics of acoustic emission energy parameters during the failure of phosphate rock at different loading rates: (a) 0.0005 mm/s, (b) 0.001 mm/s, (c) 0.005 mm/s, and (d) 0.01 mm/s.
Applsci 15 09001 g003
Figure 4. Infrared thermal images and visible light images of the failure process of specimen A-1 at a loading rate of 0.0005 mm/s.
Figure 4. Infrared thermal images and visible light images of the failure process of specimen A-1 at a loading rate of 0.0005 mm/s.
Applsci 15 09001 g004
Figure 5. Infrared thermal images and visible light images of the failure process of specimen B-1 at a loading rate of 0.001 mm/s.
Figure 5. Infrared thermal images and visible light images of the failure process of specimen B-1 at a loading rate of 0.001 mm/s.
Applsci 15 09001 g005
Figure 6. Infrared thermal images and visible light images of the failure process of specimen C-1 at a loading rate of 0.005 mm/s.
Figure 6. Infrared thermal images and visible light images of the failure process of specimen C-1 at a loading rate of 0.005 mm/s.
Applsci 15 09001 g006
Figure 7. Infrared thermal images and visible light images of the failure process of specimen D-1 at a loading rate of 0.01 mm/s.
Figure 7. Infrared thermal images and visible light images of the failure process of specimen D-1 at a loading rate of 0.01 mm/s.
Applsci 15 09001 g007
Figure 8. Average infrared radiation temperature characteristics of the phosphate rock failure process at different loading rates: (a) 0.0005 mm/s, (b) 0.001 mm/s, (c) 0.005 mm/s, and (d) 0.01 mm/s.
Figure 8. Average infrared radiation temperature characteristics of the phosphate rock failure process at different loading rates: (a) 0.0005 mm/s, (b) 0.001 mm/s, (c) 0.005 mm/s, and (d) 0.01 mm/s.
Applsci 15 09001 g008
Figure 9. Characteristic plot of infrared radiation temperature and acoustic emission over time: (a) 0.0005 mm/s, (b) 0.001 mm/s, (c) 0.005 mm/s, and (d) 0.01 mm/s.
Figure 9. Characteristic plot of infrared radiation temperature and acoustic emission over time: (a) 0.0005 mm/s, (b) 0.001 mm/s, (c) 0.005 mm/s, and (d) 0.01 mm/s.
Applsci 15 09001 g009
Figure 10. Average peak strain variation of phosphate rock specimens as function of loading rate.
Figure 10. Average peak strain variation of phosphate rock specimens as function of loading rate.
Applsci 15 09001 g010
Figure 11. Comparison of cumulative AE energy under uniaxial compression between the theoretical model and experimental data for phosphate rock.
Figure 11. Comparison of cumulative AE energy under uniaxial compression between the theoretical model and experimental data for phosphate rock.
Applsci 15 09001 g011
Figure 12. Comparison of the cumulative variation in IR under uniaxial compression between the theoretical model and experimental data for phosphate rock.
Figure 12. Comparison of the cumulative variation in IR under uniaxial compression between the theoretical model and experimental data for phosphate rock.
Applsci 15 09001 g012
Table 1. Basic physical parameters of the rock specimens.
Table 1. Basic physical parameters of the rock specimens.
NumberLoading Rate (mm·s−1)Quality (g)Height (mm)Diameter (mm)Density (g·cm−3)
A-10.0005569.5100.0149.852.92
A-2587.099.9349.933.01
A-3589.099.9049.833.02
B-10.001580.599.9949.832.98
B-2576.599.9749.682.98
B-3589.5100.2849.843.01
C-10.005591.0100.2049.893.02
C-2573.5100.0149.772.95
C-3582.0100.1449.892.97
D-10.01586.5100.1849.823.01
D-2578.0100.0149.493.01
D-3583.099.9649.553.03
Table 2. Results of uniaxial loading tests on phyllite at different loading rates.
Table 2. Results of uniaxial loading tests on phyllite at different loading rates.
NumberLoading Rate (mm·s−1)Peak Intensity (MPa)Average Peak Intensity (MPa)Elastic Modulus (GPa)Peak Strain (10−2)Poisson’s Ratio
A-10.0005124.51107.3983.014.530.140
A-2116.0682.691.650.391
A-381.9022.232.360.249
B-10.001107.93131.4794.271.960.408
B-2144.7375.512.860.373
B-3141.7597.532.671.399
C-10.005137.19141.19164.811.250.554
C-2121.0281.272.430.328
C-3165.3777.032.930.278
D-10.01141.67149.16135.171.431.405
D-2180.9770.023.051.769
D-3124.83203.311.070.932
Table 3. Fitted parameters for the cumulative AE energy of phosphate rock at different loading rates.
Table 3. Fitted parameters for the cumulative AE energy of phosphate rock at different loading rates.
vk ε 0 A 1 A 2 BCFab
0.00050.0050.008−22,356.32160,278.93461.2620.91///
0.0010.010.00675.47///−24.38//
0.0050.050.012/////0.00000437.61
0.010.10.0190.000000017///−0.417//
Table 4. Fitted parameters for the cumulative coefficient of variation of IR in phosphate rock at different loading rates.
Table 4. Fitted parameters for the cumulative coefficient of variation of IR in phosphate rock at different loading rates.
vk ε 0 cd
0.00050.0050.0080.0130.99
0.0010.010.0060.0110.99
0.0050.050.0120.0120.93
0.010.10.0190.0130.89
Disclaimer/Publisher’s Note: The statements, opinions and data contained in all publications are solely those of the individual author(s) and contributor(s) and not of MDPI and/or the editor(s). MDPI and/or the editor(s) disclaim responsibility for any injury to people or property resulting from any ideas, methods, instructions or products referred to in the content.

Share and Cite

MDPI and ACS Style

Lin, M.; Peng, X.; Chen, Y.; Liao, Q.; Lu, X.; Liu, X. Acoustic Emission and Infrared Radiation Energy Evolution in the Failure of Phosphate Rock: Characteristics and Damage Modeling. Appl. Sci. 2025, 15, 9001. https://doi.org/10.3390/app15169001

AMA Style

Lin M, Peng X, Chen Y, Liao Q, Lu X, Liu X. Acoustic Emission and Infrared Radiation Energy Evolution in the Failure of Phosphate Rock: Characteristics and Damage Modeling. Applied Sciences. 2025; 15(16):9001. https://doi.org/10.3390/app15169001

Chicago/Turabian Style

Lin, Manqing, Xuan Peng, Ye Chen, Qi Liao, Xianglong Lu, and Xiqi Liu. 2025. "Acoustic Emission and Infrared Radiation Energy Evolution in the Failure of Phosphate Rock: Characteristics and Damage Modeling" Applied Sciences 15, no. 16: 9001. https://doi.org/10.3390/app15169001

APA Style

Lin, M., Peng, X., Chen, Y., Liao, Q., Lu, X., & Liu, X. (2025). Acoustic Emission and Infrared Radiation Energy Evolution in the Failure of Phosphate Rock: Characteristics and Damage Modeling. Applied Sciences, 15(16), 9001. https://doi.org/10.3390/app15169001

Note that from the first issue of 2016, this journal uses article numbers instead of page numbers. See further details here.

Article Metrics

Back to TopTop