Enhanced Path Planning by Repositioning the Starting Point †
Abstract
1. Introduction
Motivation and Contribution
- Novel Distance Decomposition Framework: Introduction of a systematic approach that decomposes drone flight paths into constituent parts, identifying starting point distances (SPDs) as a distinct optimization target separate from inter-station distances.
- Multiple Starting Point Repositioning Methodologies: Development and evaluation of seven different approaches for optimal launch pad positioning, ranging from simple geometric centers to mathematically rigorous optimization techniques.
- Geometric Median Optimization Discovery: Identification of the geometric median approach as the optimal solution for starting point repositioning, achieving identical results to brute-force methods while maintaining computational efficiency.
- Comprehensive Experimental Validation: Execution of extensive testing across 520,000 scenarios (65,000 unique configurations with multiple approaches), demonstrating statistically significant improvements ranging from 4% to 22% in total distance reduction.
- Performance Metric Development: Creation of starting point distance (SPD) and Starting Point Factor (SPF) metrics to quantify the impact of starting point optimization on overall mission efficiency.
- Scalability Analysis: Systematic evaluation of optimization effectiveness across varying numbers of drones (2–10) and stations (5–100), revealing predictable performance patterns for mission planning applications.
- Simulation Framework: Development of a graph-based framework modeling flight planning using mTSP to identify distance-minimizing solutions.
2. Background and Related Work
| Algorithm 1: mTSP using local search operators |
![]() |
3. Proposed Method
3.1. Distance Analysis
3.1.1. Starting Point Distance
3.1.2. Starting Point Factor
3.2. Adjusting the Starting Point
- (a)
- (b)
- (c)
- (d)
- (e)
- Centroid in SPD. Similar to approach (c), but this time focusing exclusively on the endpoints of each route (see Figure 10). It is defined in Equation (9) aswhere and are the coordinates of the first and last stations of route j, m is the number of routes, and is the number of points (each route contributes 2 points: first station and last station).
- (f)
- Geometric median in SPD [49]. The point y that minimizes the sum of distances to all endpoint coordinates of each route (see Figure 11). It is defined in Equation (10) aswhere
- —“Argument of the minimum” means “find the point y that minimizes the following expression” and y represents a candidate starting point with coordinates . We are searching over all possible points y in the 2D plane.
- —“Sum over all endpoints”, m = number of routes (drones) and = total number of endpoint coordinates (each route has 2 endpoints: start and end). We sum over all these endpoint coordinates.
- —“The k-th endpoint coordinate”. are the coordinates of all first and last stations. For example looking at Figure 11,we have 3 routes: = of orange route, = of orange route, = of blue route, = of blue route, = of green route, and = of green route.
- —“Euclidean distance”. This is the straight-line distance between point and candidate point y. If and , then .
- (g)
- Brute force in SPD. Test every point in the MBR area formed by the endpoints of each route and see which one is the optimal point to act as the starting point (see Figure 12). It is defined in Equation (11) aswhere represents all discrete points within the MBR formed by the first and last stations of each route, are the coordinates of the first station in route j, and are coordinates of the last station in route j.The coordinates of the top-left and bottom-right corners of the MBR shown in Figure 12 are (224, 107) and (1326, 518), respectively. The width of the rectangle is calculated as the difference between the x-coordinates (1326 − 224 = 1102), and the height is the difference between the y-coordinates (518 − 107 = 411). With a width of 1102 units and a height of 411 units, there are a total of 1102 × 411 = 452,922 possible starting locations within the MBR. This means that employing the mTSP to find the shortest possible routes (minimum total distance) among these points would require evaluating each of the 452,922 locations as a starting point.Given this massive search space, the computational implications become apparent when comparing different optimization strategies. The brute-force approach requires significantly more computational resources to execute but serves an essential purpose as it consistently identifies the truly optimal point. This makes it invaluable for verifying the accuracy of the other approaches.
Methodological Rationale and Strategic Progression
4. Experimental Evaluation
4.1. Experimental Setup
4.2. Evaluation Results
4.2.1. The Experiment
4.2.2. Expanded Experimental Validation
4.2.3. Finding the Best Centering Approach
4.2.4. Employing the Best Centering Approach in the mTSP
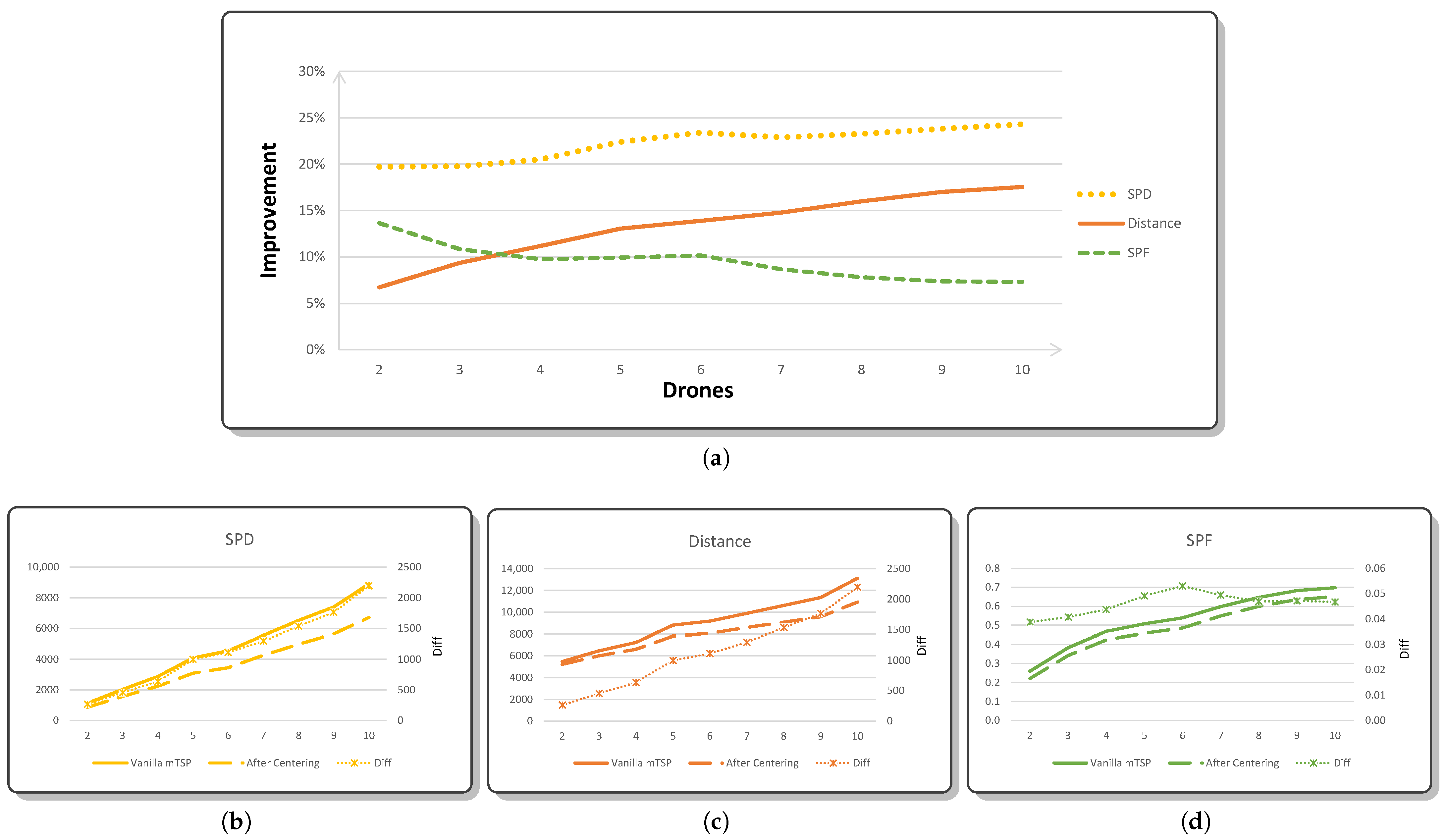
- Analysis of Drone Variation Effects
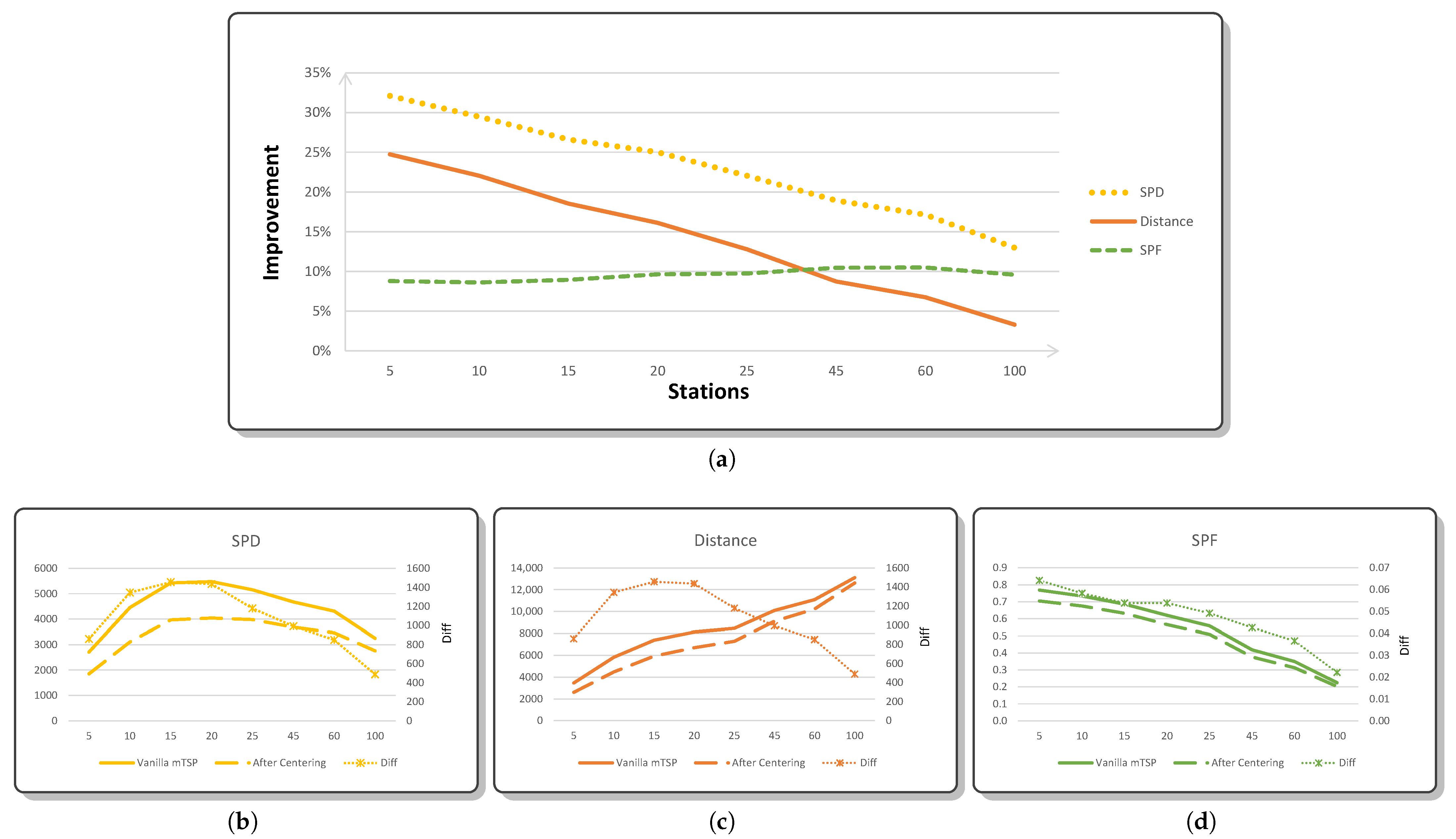
- Analysis of Station Variation Effects
- Computational Efficiency Analysis
4.2.5. Scaled-Up Experimental Analysis
- Comparative Analysis: Original vs. Scaled Results
- Operational Implications and Scaling Insights
5. Conclusions
5.1. Primary Contributions and Research Outcomes
5.2. Operational and Economic Implications
5.3. Research Limitations and Scope Boundaries
5.4. Future Research Trajectories
5.5. Broader Scientific and Technological Impact
Author Contributions
Funding
Institutional Review Board Statement
Informed Consent Statement
Data Availability Statement
Conflicts of Interest
References
- Mademlis, I.; Nikolaidis, N.; Tefas, A.; Pitas, I.; Wagner, T.; Messina, A. Autonomous Unmanned Aerial Vehicles Filming In Dynamic Unstructured Outdoor Environments [Applications Corner]. IEEE Signal Process. Mag. 2019, 36, 147–153. [Google Scholar] [CrossRef]
- Li, X.; Yang, L. Design and Implementation of UAV Intelligent Aerial Photography System. In Proceedings of the 2012 4th International Conference on Intelligent Human-Machine Systems and Cybernetics, Nanchang, China, 26–27 August 2012; Volume 2, pp. 200–203. [Google Scholar] [CrossRef]
- Mesquita, R.; Gaspar, P. A Path Planning Optimization Algorithm Based on Particle Swarm Optimization for UAVs for Bird Monitoring and Repelling—Simulation Results. In Proceedings of the 2020 International Conference on Decision Aid Sciences and Application (DASA), Sakheer, Bahrain, 8–9 November 2020; pp. 1144–1148. [Google Scholar] [CrossRef]
- Doherty, P.; Rudol, P. A UAV search and rescue scenario with human body detection and geolocalization. In Proceedings of the Australasian Joint Conference on Artificial Intelligence, Gold Coast, QLD, Australia, 2–6 December 2007; Springer: Berlin/Heidelberg, Germany, 2007; pp. 1–13. [Google Scholar] [CrossRef]
- Aljalaud, F.; Kurdi, H.; Youcef-Toumi, K. Autonomous Multi-UAV Path Planning in Pipe Inspection Missions Based on Booby Behavior. Mathematics 2023, 11, 2092. [Google Scholar] [CrossRef]
- Gonzalez, L.F.; Montes, G.A.; Puig, E.; Johnson, S.; Mengersen, K.; Gaston, K.J. Unmanned Aerial Vehicles (UAVs) and Artificial Intelligence Revolutionizing Wildlife Monitoring and Conservation. Sensors 2016, 16, 97. [Google Scholar] [CrossRef] [PubMed]
- Bondi, E.; Fang, F.; Hamilton, M.; Kar, D.; Dmello, D.; Noronha, V.; Choi, J.; Hannaford, R.; Iyer, A.; Joppa, L.; et al. Automatic Detection of Poachers and Wildlife with UAVs. In Artificial Intelligence and Conservation; Artificial Intelligence for Social Good; Cambridge University Press: Cambridge, UK, 2019; pp. 77–100. [Google Scholar] [CrossRef]
- Guo, T.; Kujirai, T.; Watanabe, T. Mapping Crop Status from an Unmanned Aerial Vehicle for Precision Agriculture Applications. ISPRS—Int. Arch. Photogramm. Remote Sens. Spat. Inf. Sci. 2012, XXXIX-B1, 485–490. [Google Scholar] [CrossRef]
- He, L.; Yanqiu, N.; Moning, Z.; Hu, X.; Ma, H. Optimization of Pesticide Spraying Tasks via Multi-UAVs Using Genetic Algorithm. Math. Probl. Eng. 2017, 2017, 7139157. [Google Scholar] [CrossRef]
- Yinka-Banjo, C.; Ajayi, O. Sky-farmers: Applications of unmanned aerial vehicles (UAV) in agriculture. In Autonomous Vehicles; IntechOpen: London, UK, 2019; pp. 107–128. [Google Scholar] [CrossRef]
- Khadka, A.; Fick, B.; Afshar, A.; Tavakoli, M.; Baqersad, J. Non-contact vibration monitoring of rotating wind turbines using a semi-autonomous UAV. Mech. Syst. Signal Process. 2020, 138, 106446. [Google Scholar] [CrossRef]
- Bemposta Rosende, S.; Sánchez-Soriano, J.; Gómez Muñoz, C.Q.; Fernández Andrés, J. Remote Management Architecture of UAV Fleets for Maintenance, Surveillance, and Security Tasks in Solar Power Plants. Energies 2020, 13, 5712. [Google Scholar] [CrossRef]
- Erdelj, M.; Król, M.; Natalizio, E. Wireless Sensor Networks and Multi-UAV systems for natural disaster management. Comput. Netw. 2017, 124, 72–86. [Google Scholar] [CrossRef]
- Ecke, S.; Dempewolf, J.; Frey, J.; Schwaller, A.; Endres, E.; Klemmt, H.J.; Tiede, D.; Seifert, T. UAV-Based Forest Health Monitoring: A Systematic Review. Remote Sens. 2022, 14, 3205. [Google Scholar] [CrossRef]
- Torresan, C.; Berton, A.; Carotenuto, F.; Di Gennaro, S.F.; Gioli, B.; Matese, A.; Miglietta, F.; Vagnoli, C.; Zaldei, A.; Wallace, L. Forestry applications of UAVs in Europe: A review. Int. J. Remote Sens. 2017, 38, 2427–2447. [Google Scholar] [CrossRef]
- Gröschler, K.C.; Oppelt, N. Using Drones to Monitor Broad-Leaved Orchids (Dactylorhiza majalis) in High-Nature-Value Grassland. Drones 2022, 6, 174. [Google Scholar] [CrossRef]
- Miller, I.J.; Schieber, B.; Bey, Z.D.; Benner, E.; Ortiz, J.D.; Girdner, J.; Patel, P.; Coradazzi, D.G.; Henriques, J.; Forsyth, J. Analyzing crop health in vineyards through a multispectral imaging and drone system. In Proceedings of the 2020 Systems and Information Engineering Design Symposium (SIEDS), Charlottesville, VA, USA, 24 April 2020; pp. 1–5. [Google Scholar] [CrossRef]
- Wich, S.A.; Koh, L.P. Conservation Drones: Mapping and Monitoring Biodiversity; Oxford University Press: Oxford, UK, 2018; pp. 1–118. [Google Scholar] [CrossRef]
- Tovar-Sánchez, A.; Román, A.; Roque-Atienza, D.; Navarro, G. Applications of unmanned aerial vehicles in Antarctic environmental research. Sci. Rep. 2021, 11, 21717. [Google Scholar] [CrossRef]
- Baldazo, D.; Parras, J.; Zazo, S. Decentralized Multi-Agent Deep Reinforcement Learning in Swarms of Drones for Flood Monitoring. In Proceedings of the 2019 27th European Signal Processing Conference (EUSIPCO), A Coruna, Spain, 2–6 September 2019; pp. 1–5. [Google Scholar] [CrossRef]
- Bandini, F.; Jakobsen, J.; Olesen, D.; Reyna-Gutierrez, J.A.; Bauer-Gottwein, P. Measuring water level in rivers and lakes from lightweight Unmanned Aerial Vehicles. J. Hydrol. 2017, 548, 237–250. [Google Scholar] [CrossRef]
- Green, D.R.; Hagon, J.J.; Gómez, C.; Gregory, B.J. Chapter 21—Using Low-Cost UAVs for Environmental Monitoring, Mapping, and Modelling: Examples From the Coastal Zone. In Coastal Management; Krishnamurthy, R., Jonathan, M., Srinivasalu, S., Glaeser, B., Eds.; Academic Press: Cambridge, MA, USA, 2019; pp. 465–501. [Google Scholar] [CrossRef]
- Koparan, C.; Koc, A.B.; Privette, C.V.; Sawyer, C.B. In Situ Water Quality Measurements Using an Unmanned Aerial Vehicle (UAV) System. Water 2018, 10, 264. [Google Scholar] [CrossRef]
- Chabot, D.; Bird, D.M. Wildlife research and management methods in the 21st century: Where do unmanned aircraft fit in? J. Unmanned Veh. Syst. 2015, 3, 137–155. [Google Scholar] [CrossRef]
- Song, K.; Brewer, A.; Ahmadian, S.; Shankar, A.; Detweiler, C.; Burgin, A.J. Using unmanned aerial vehicles to sample aquatic ecosystems. Limnol. Oceanogr. Methods 2017, 15, 1021–1030. [Google Scholar] [CrossRef]
- Julien, C.; Nazri, G.A. Solid State Batteries: Materials Design and Optimization; Springer Science & Business Media: Norwell, MA, USA, 1994; Volume 271. [Google Scholar] [CrossRef]
- Gugan, G.; Haque, A. Path Planning for Autonomous Drones: Challenges and Future Directions. Drones 2023, 7, 169. [Google Scholar] [CrossRef]
- Boukoberine, M.N.; Zhou, Z.; Benbouzid, M. A critical review on unmanned aerial vehicles power supply and energy management: Solutions, strategies, and prospects. Appl. Energy 2019, 255, 113823. [Google Scholar] [CrossRef]
- Vashisth, A.; Batth, R.S.; Ward, R. Existing Path Planning Techniques in Unmanned Aerial Vehicles (UAVs): A Systematic Review. In Proceedings of the 2021 International Conference on Computational Intelligence and Knowledge Economy (ICCIKE), Dubai, United Arab Emirates, 17–18 March 2021; pp. 366–372. [Google Scholar] [CrossRef]
- Aggarwal, S.; Kumar, N. Path planning techniques for unmanned aerial vehicles: A review, solutions, and challenges. Comput. Commun. 2020, 149, 270–299. [Google Scholar] [CrossRef]
- Townsend, A.; Jiya, I.N.; Martinson, C.; Bessarabov, D.; Gouws, R. A comprehensive review of energy sources for unmanned aerial vehicles, their shortfalls and opportunities for improvements. Heliyon 2020, 6, e05285. [Google Scholar] [CrossRef]
- Kim, J.; Choi, Y.; Jeon, S.; Kang, J.; Cha, H. Optrone: Maximizing Performance and Energy Resources of Drone Batteries. IEEE Trans. Comput.-Aided Des. Integr. Circuits Syst. 2020, 39, 3931–3943. [Google Scholar] [CrossRef]
- Bektaş, T. The multiple traveling salesman problem: An overview of formulations and solution procedures. Omega-Int. J. Manag. Sci. 2006, 34, 209–219. [Google Scholar] [CrossRef]
- Cheikhrouhou, O.; Khoufi, I. A Comprehensive Survey on the Multiple Travelling Salesman Problem: Applications, Approaches and Taxonomy. Comput. Sci. Rev. 2021, 40, 100369. [Google Scholar] [CrossRef]
- Laporte, G. The traveling salesman problem: An overview of exact and approximate algorithms. Eur. J. Oper. Res. 1992, 59, 231–247. [Google Scholar] [CrossRef]
- Liu, W.; Li, S.; Zhao, F.; Zheng, A. An ant colony optimization algorithm for the Multiple Traveling Salesmen Problem. In Proceedings of the IEEE Conference on Industrial Electronics and Applications, Xi’an, China, 25–27 May 2009; pp. 1533–1537. [Google Scholar] [CrossRef]
- Rostami, A.S.; Mohanna, F.; Keshavarz, H.; Hosseinabadi, A.A.R. Solving multiple traveling salesman problem using the gravitational emulation local search algorithm. Appl. Math. Inf. Sci. 2015, 9, 699–709. [Google Scholar] [CrossRef]
- Michalewicz, Z.; Fogel, D.B. How to Solve It: Modern Heuristics; Springer Science & Business Media: Norwell, MA, USA, 2013. [Google Scholar] [CrossRef]
- Hamza, A.; Darwish, A.; Rihawi, O. A new local search for the bees algorithm to optimize multiple traveling salesman problem. Intell. Syst. Appl. 2023, 18, 200242. [Google Scholar] [CrossRef]
- He, P.; Hao, J. Hybrid search with neighborhood reduction for the multiple traveling salesman problem. Comput. Oper. Res. 2022, 142, 105726. [Google Scholar] [CrossRef]
- Russell, S.; Norvig, P. Artificial Intelligence: A Modern Approach, 4th ed.; Pearson: San Antonio, TX, USA, 2020. [Google Scholar]
- Laporte, G.; Babin, G.; Deneault, S. Improvements to the Or-opt heuristic for the symmetric travelling salesman problem. J. Oper. Res. Soc. 2007, 58, 402–407. [Google Scholar] [CrossRef]
- Liu, X.X.; Liu, D.; Yang, Q.; Liu, X.F.; Yu, W.J.; Zhang, J. Comparative Analysis of Five Local Search Operators on Visiting Constrained Multiple Traveling Salesmen Problem. In Proceedings of the 2021 IEEE Symposium Series on Computational Intelligence (SSCI), Orlando, FL, USA, 5–7 December 2021; pp. 1–8. [Google Scholar] [CrossRef]
- Bräysy, O.; Gendreau, M. Tabu Search heuristics for the Vehicle Routing Problem with Time Windows. Top 2002, 10, 211–237. [Google Scholar] [CrossRef]
- Gasteratos, G.; Karydis, I. Path Planning Optimisation for Multiple Drones: Repositioning the Starting Point. In Proceedings of the IFIP International Conference on Artificial Intelligence Applications and Innovations, Corfu, Greece, 27–30 June 2024; Springer: Berlin/Heidelberg, Germany, 2024; pp. 211–223. [Google Scholar] [CrossRef]
- Freeman, H.; Shapira, L. Determining the minimum-area encasing rectangle for an arbitrary closed curve. Commun. ACM 1975, 18, 409–413. [Google Scholar] [CrossRef]
- Deakin, R.; Bird, S.; Grenfell, R. The Centroid? Where would you like it to be be? Cartography 2002, 31, 153–167. [Google Scholar] [CrossRef]
- Pacheco-Valencia, V.; Vakhania, N.; Hernandez, J.; Hernández-Gómez, J.C. A Fast Algorithm for Euclidean Bounded Single-Depot Multiple Traveling Salesman Problem. Algorithms 2021, 1, 898. [Google Scholar]
- Minsker, S.; Strawn, N. The Geometric Median and Applications to Robust Mean Estimation. arXiv 2023, arXiv:2307.03111. [Google Scholar] [CrossRef]
- Bernard, R.; Robert, J.G.; Mei-Ling, T.L. The Wilcoxon signed rank test for paired comparisons of clustered data. Biometrics 2006, 62, 185–192. [Google Scholar] [CrossRef]


















| Drones | Stations |
|---|---|
| 5 | 5 |
| 6 | 5 |
| 7 | 5 |
| 8 | 5 |
| 9 | 5 |
| 10 | 5 |
| 10 | 10 |
Disclaimer/Publisher’s Note: The statements, opinions and data contained in all publications are solely those of the individual author(s) and contributor(s) and not of MDPI and/or the editor(s). MDPI and/or the editor(s) disclaim responsibility for any injury to people or property resulting from any ideas, methods, instructions or products referred to in the content. |
© 2025 by the authors. Licensee MDPI, Basel, Switzerland. This article is an open access article distributed under the terms and conditions of the Creative Commons Attribution (CC BY) license (https://creativecommons.org/licenses/by/4.0/).
Share and Cite
Gasteratos, G.; Karydis, I. Enhanced Path Planning by Repositioning the Starting Point. Appl. Sci. 2025, 15, 8786. https://doi.org/10.3390/app15168786
Gasteratos G, Karydis I. Enhanced Path Planning by Repositioning the Starting Point. Applied Sciences. 2025; 15(16):8786. https://doi.org/10.3390/app15168786
Chicago/Turabian StyleGasteratos, Gregory, and Ioannis Karydis. 2025. "Enhanced Path Planning by Repositioning the Starting Point" Applied Sciences 15, no. 16: 8786. https://doi.org/10.3390/app15168786
APA StyleGasteratos, G., & Karydis, I. (2025). Enhanced Path Planning by Repositioning the Starting Point. Applied Sciences, 15(16), 8786. https://doi.org/10.3390/app15168786


